Abstract
Using carbon dioxide as a feedstock for synthesizing organic molecules with added value can contribute to a more sustainable chemical industry since CO2 is an abundant, inexpensive, and nontoxic renewable carbon resource. In this regard, the synthesis of cyclic carbonates and related organic compounds from CO2 as building blocks has been widely studied, and less attention has been paid to their stereocontrolled process. Therefore, this review focuses on the recent development of enantioselective catalysts for the CO2-mediated formation of chiral organic carbonates.
1. Introduction
Carbon dioxide (CO2) is one of the greenhouse gases that most significantly contribute to climate change. This gas’s concentration in the atmosphere reached 417.06 ppm in 2022, higher than 50% of the pre-industrial levels [1]. Different initiatives, among CO2 emission reduction by human activities, are in development, such as new technologies for CO2 capture from industrial sources or ambient air [2]. Once CO2 is captured, its utilization as feedstock for synthesizing added-value chemical products is a challenge for new industry opportunities. Furthermore, recycling a C atom from CO2 avoids the utilization of fossil fuel sources, contributing to a more sustainable chemical industry. However, although CO2 is an abundant, inexpensive, and nontoxic renewable C1 resource, its high kinetic stability causes CO2 valorization processes to require a high amount of energy to reach the activation energy needed in the reaction; this required energy input can be reduced by the presence of a catalyst, the thermocatalytic CO2 conversion to organic molecules, which is the most common route for large-scale industrial applications [3].
Conversely, most processes using CO2 as a feedstock concern the preparation of achiral chemicals (Figure 1) [3,4]. In this regard, the synthesis of cyclic carbonates and related organic compounds has been widely studied. Cyclic carbonates have been identified as key compounds in several applications, ranging from their use as solvents to intermediates for chemicals with added value. Far less attention has been paid to the stereocontrolled catalytic CO2 conversion processes for the preparation of added-value carbonates. This review is intended to highlight the advances (concerning the last two decades) in the use of enantioselective catalysts for the CO2-mediated formation of chiral carbonates (see the top part of Scheme 1). Although different reviews have been written recently on this topic [5], this review is mainly focused on the nature of the chiral catalyst, with each part subdivided by the type of chiral active site, instead of focusing on the formation of C–C or C–O asymmetric bonds with CO2 as reported in previous reviews [5,6,7,8,9,10]. Besides the CO2 cycloaddition to epoxides, its ring-opening polymerization with CO2 is an interesting route toward polycarbonates as renewable plastics. Therefore, we also comment on the synthesis of polycarbonates from CO2 and epoxides using the same type of stereo-selective catalysts (see the bottom part of Scheme 1).
Scheme 1.
Synthesis of organic products from CO2, the catalytic CO2 cycloaddition to epoxides (or their ring-opening polymerization), in order to produce cyclic carbonates (top part) or polycarbonates (bottom part), the two processes reviewed in this work. Adapted from ref. [6]. Copyright (2013) Wiley.
Recently, interesting reviews have been published on the kinetic resolution of epoxides with CO2 [11], the CO2-based synthesis of cyclic carbonates with bifunctional catalysts [12], and the stereoselective synthesis of biodegradable polymers by salen-type metal catalysts (a transition metal complexed with a ligand derived from N,N′-bis(salicylidene)ethylenediamine) [13]. This has triggered a vast number of research articles on the topic of chiral catalysts for enantioselective CO2-based cyclic carbonates and polycarbonates during the last few years. In order to summarize and compare most of the recent advances in the field, we provide here a comprehensive revision of the work conducted so far on this environmentally and industrially relevant catalytic process during the last two decades. Although the most common synthetic route for producing chiral cyclic carbonates from CO2 is based on the coupling reaction to epoxides, other substrates besides epoxides have also been employed for the asymmetric synthesis of cyclic carbonates. For instance, the enantioselective carboxylative cyclization of propargyl alcohols and the reaction of homoallylic alcohols with CO2 represent other methods for the synthesis of chiral cyclic carbonates (see the left part of Scheme 2).
Scheme 2.
Enantioselective catalytic CO2 cycloaddition to epoxides and alcohols (left part) catalyzed by two (a) or one (b) component catalytic systems (right part).
The kinetic resolution of racemic epoxides by nucleophilic ring-opening reactions affords enantiopure epoxides and optically active organic carbonates. In this regard, a representative example developed by Jacobsen and co-workers is the covalently linked dimeric complex SalenCr(III)Cl, which is able to catalyze asymmetric ring opening of epoxides using TMSN3 [14,15]. Most of the catalytic approaches for the CO2 cycloaddition to epoxides make use of two-component catalytic systems based on the combination of Lewis acids or bases with a co-catalyst that acts as the nucleophilic source (generally a halide ammonium salt). The Lewis acid sites (LA), such as the above-mentioned metal–salen Jacobsen catalyst, activate the C–O bond of the epoxide, whereas the Lewis bases (LB) facilitate CO2 activation (see Scheme 2a). The design of multifunctional catalytic systems not requiring any additional co-catalysts is a greener approach representing a current hot topic in the field of CO2 activation. In this regard, the two required functional sites (Lewis base or acid and the nucleophile) belong to the same molecule and commonly are connected via covalent bonds using chemical spacers that modulate the conformational features of the final catalytic species (see Scheme 2b) [16,17].
Mechanistically, the in situ generated metal alkoxide intermediate, formed after the nucleophilic attack on the oxirane ring, reacts with CO2 to yield the cyclic carbonate [18,19,20,21]. The catalytic cycle usually follows a first step of epoxide activation at the metal sites with the Lewis acid character, after which the epoxide ring opens via a nucleophilic site (see Scheme 3). Then, the CO2 is added between the opened epoxide and the metal catalyst, and the nucleophile is recovered with the formation of the cyclic carbonate. Also, a bimetallic or bifunctional synergistic effect is frequently observed in the cycloaddition of CO2 to an epoxide and in the co-polymerization of epoxides with CO2 using coordination polymerization catalysis. Herein, we focus mainly on recent chiral catalysts for the stereoselective CO2 addition to epoxides, leading to its opening/polymerization or cycloaddition to cyclic carbonates. The reader is referred to pioneering works for more information on the topic [22,23,24,25,26,27,28,29,30,31,32,33,34,35,36,37].
Scheme 3.
Key steps for the coupling of CO2 and oxiranes to produce cyclic carbonates (top) and polycarbonates (below). M = metal complex; Nu = nucleophile. Reproduced with permission of ref. [18]. Copyright (2015) ACS.
2. Chiral Organometallic Complex Catalyst
The most studied catalytic systems for the asymmetric CO2 cycloaddition into epoxides to yield cyclic carbonates are based on chiral Schiff-base metal complexes [38,39], one of the first chiral salen complexes reported by Shi and coworkers in 2003 [38]. Besides cyclic carbonates, polycarbonates have been obtained using N,N′-bis(salicylidene) ethylenediamine salen-type chiral ligands of Co, Al, or Cr in combination with anionic co-catalysts. As we will show in this review, these catalysts have been widely employed for the ring-opening copolymerization of epoxides with CO2 in order to produce stereoregular polyesters or polycarbonates [40]. In this reaction, the catalysts most often work via coordination insertion and ring opening of the epoxide, this being the last reaction, the rate-limiting step. Using various examples, we will highlight the mono- or bi-functional nature of the catalysts according to Scheme 2.
2.1. Schiff-Base Metal Complexes
2.1.1. Cobalt Catalyst Based on Chiral Schiff-Base Metal Complexes
A binary catalyst system incorporating a metal–salen (salen = N,N’-bis(salicylidene)cyclohexenediaminato) complex and a quaternary “onium” salt (ammonium or phosphonium) is the most efficient catalyst reported to date for the cycloaddition of carbon dioxide to epoxides [41]. A quaternary ammonium group was recently introduced into the frame of the salen ligand, thus leading to a novel bifunctional catalyst in one molecule. The metal site (i.e., Co) complexed with the salen ligand in the catalyst provides a good chiral Lewis acidic center, and the relevant anion of the quaternary onium salt (i.e., X for 1 in Figure 1) simultaneously supplies the Lewis basic center for this cycloaddition reaction.
Figure 1.
Configuration of bifunctional Co-salen-“onium” catalyst and Jacobsen catalysts SalenCoX for CO2 cycloaddition to epoxides [41].
Figure 1.
Configuration of bifunctional Co-salen-“onium” catalyst and Jacobsen catalysts SalenCoX for CO2 cycloaddition to epoxides [41].

Since the chloride and acetate counterions gave the best enantioselectivities and the cobalt metal give the best activity, the bifunctional cobalt acetate –phosphonium chloride derivative of 1 catalyst was employed for the synthesis of chiral (S)-propylene carbonate (25% yield and up to 78% e.e.) at 0 °C using 6 bar of CO2 and 0.1 %mol of catalyst (see entry 1 in Table 1). After the reaction, the propylene oxide substrate was isolated via distillation and collected in a cooled flask in order to measure the conversion of propylene oxide. The chiral bifunctional catalyst was recovered by precipitation with diethyl ether and subsequent filtration for its reuse in the five additional cycles. No significant decrease in yield or enantioselectivity was observed after the successive recycles.
The SalenCoX Jacobsen catalyst 2 (Figure 1) presented asymmetric induction in the presence of cinchona-derived quaternary ammonium salts as co-catalysts [42]. When the catalyst (S,S)-(+)-1,2-cyclohexanediamino(N,N-bis(3,5-di-tert-butyl-salicylidene) cobalt(III) acetate ((S,S)-2) was combined with the co-catalyst (8R, 9S)-N-benzylquininium chloride, the highest 73% e.e. for (R)-propylene carbonate was obtained in the CO2 (8 bar) cycloaddition to propylene oxide at 20 °C, for 24 h (see entry 2 in Table 1). The authors claimed that both the Lewis acidity of the chiral cobalt catalysts and the chirality of the anion of the cinchona-based co-catalyst were responsible for the asymmetric cycloaddition. In this regard, the reaction was carried out under the same conditions using the enantiomer (8S, 9R)-N-benzylquininium chloride as the co-catalyst; lower e.e. was subsequently obtained (63% e.e. of the (R)-propylene carbonate).
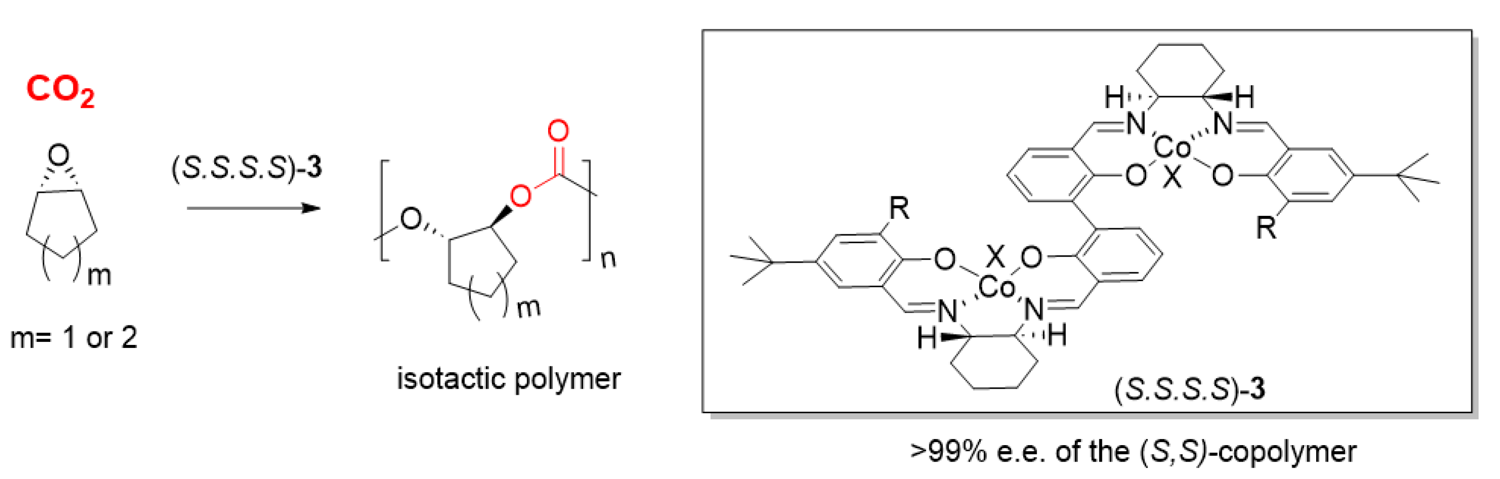
The desymmetrization of the meso-epoxides via nucleophilic ring opening using CO2 in the presence of chiral catalysts based on (S,S,S,S)-enantiopure dinuclear Co(III) complexes with a rigid bridging biphenyl linker (S,S,S,S)-3 resulted in optically active polycarbonates with chiral (S,S)-trans-1,2-diol units with >99% carbonate linkages (Figure 2) [43]. In the presence of a nucleophilic co-catalyst PPNX (X = 2,4-dinitrophenoxide), the catalyst 3 (X = H) (0.1 %mol) exhibited turnover frequencies (TOF) of about 200 h−1 and >99% e.e. of the S,S configuration at an ambient temperature under 20 bar of CO2. Notably, the catalyst could operate at a high efficiency with CO2 even at atmospheric pressures, with a TOF of 235 h−1 and enantioselectivity of 86% at ambient temperature in the absence of a co-catalyst. The same catalyst systems were also tested for the asymmetric copolymerization of CO2 with cyclohexene oxide; in this case, catalytic activity and copolymer enantioselectivity were dramatically enhanced by adding PPNX, resulting in TOFs of about 1400 h−1.
Figure 2.
Unprecedented enantioselectivity and catalytic activity of dinuclear CoIII complex for the asymmetric copolymerization of CO2 with meso-epoxides into isotactic copolymers [43].
On the one hand, the biphenol-linked dinuclear Co(III) salen complex (S,S,S,S)-3 was employed for the synthesis of isotactic polycarbonates, with a unique crystalline gradient temperature from the enantioselective polymerization of meso-3,4-epoxytetrahydrofuran, cyclopentene oxide and CO2 [44]. The catalyst exhibited excellent enantioselectivities (up to 99% e.e. to the (S)-configuration) and activity (TOF = 170 h−1 and >99% carbonate linkages) under mild conditions (25 °C). On the other hand, (S,S,S,S)-salen-like biphenol-linked dinuclear Co(III) complexes 3 showed unprecedented activity (TOF = 1409 h−1), and enantioselectivity (81% e.e. to the (S,S) polycarbonate) for the asymmetric coupling CO2 (20 bar) with meso-epoxides afforded the corresponding isotactic polycarbonates at 25 °C [45]. The enantioselective polymer chain growth takes place at the (inside cleft of the) bimetallic active sites of the binuclear catalyst.
The same group employed the above-mentioned enantiopure dinuclear Co(III) complexes as chiral catalysts for the selective synthesis of chiral carbamates from carbon dioxide via polycarbonate intermediates [46]. This was achieved via the dissymmetric copolymerization of meso-epoxides. With 70% yield, 99% e.e. was achieved of the carbamate (from degradation reaction of the resultant polycarbonates with an amine) at room temperature. This methodology showed a predominantly broad substrate scope for both amine nucleophiles and meso-epoxides. A similar enantiopure biphenyl-linked dinuclear Co(III) complex 3 (R = Me) was employed for the innovative enantioselective terpolymerization of carbon dioxide (CO2), cyclohexene oxide and racemic β-butyrolactone (BBL) were placed in a one-pot reaction to optically synthesize active poly(carbonate-co-ester)s [47]. Epoxide conversions up to 70% and e.e. up to 90% were obtained using 20 bar of CO2 and 0.5 %mol of catalysts at 40 °C. An intramolecular bimetallic mechanism was proposed for the dinuclear cobalt complex, in which active species initiated terpolymerization and polymer-chain growth.
To finish this part, we will comment on diastereomeric cationic octahedral Co(III) salen-complexes (R,R)-4, based on commercially available (R,R)-1,2-diphenylethylenediamine and salicylaldehyde. The bifunctional catalyst architecture has both acidic hydrogen-bond donating (HBD) NH moieties and nucleophilic sites, such as halide anions (Figure 3) [48]. This bifunctional catalyst promoted the kinetic resolution of different epoxides with CO2 with a 30% conversion and 40% e.e. to the (R,R)-trans cyclic carbonate at 50 °C using 2 %mol of catalysts and 20 bar of CO2.
Figure 3.
Λ and Δ diastereomers of the chiral-at-metal Co(III) salen complexes Λ(R,R)-2 I− and Δ(R,R)-2 I− based on (R,R)-1,2-diphenylethylenediamine and salicylaldehyde. Reproduced with permission of ref. [48]. Copyright (2021) ACS.
2.1.2. Ionic Liquid-Containing Cosalen Catalysts
An example of ionic liquid-containing Cosalen catalysts is the salen Co(OOCCCl3) 2 in combination with chiral metal-containing ionic liquids (CMILs). This system consists of the cation of crown ether-chelated potassium/sodium and the anion of chiral amino acids. The designed and synthesized salenCo(OOCCCl3)/[18-C-6K][L-Val]·0.5H2O gave the highest e.e. value of (S)-propylene carbonate (53.8%), with a 44% yield of carbonate using 0.1 %mol of salenCo(OOCCCl3) catalyst (R,R)-2 and [18-C-6K][L-Val]·0.5H2O co-catalyst at 25 °C and under 6 bar of CO2 [49]. The CO2 cycloaddition to propylene oxide can be performed during 5 cycles using the same catalyst without significant activity or enantioselectivity decrease after the recycle of the catalyst via re-oxidization under an oxygen atmosphere and the addition of CH2Cl2 + CCl3COOH upon the distillation of the product (see entry 3 in Table 1).
Another example of metal–salen catalysts employing chiral ionic liquid-modified amino acids is the salen-Co(OAc) catalyst (R,R)-2. The ionic liquid [TBA]2[L-Tar] was employed as a chiral co-catalyst, in 0.1 %mol, for the coupling of CO2 and propylene oxide in an enantioselective manner (50% e.e. and 45% yield of the carbonate) at 25 °C in the presence of 7 bar CO2 [50]. The enantioselectivity was higher for low conversion and for epoxides with small substituents. The catalytic system could be recycled via precipitation with methanol, and the enantioselectivity and activity values were similar after three cycles (see entry 4 in Table 1).
The kinetic resolution of racemic epoxides with CO2 in the presence of a chiral Salen-Co(III) complex results in chiral cyclic carbonates and an enantiomerically enriched epoxide [51]. In this sense, a metal complex containing a chiral ligand, i.e., N,N′-bis(salicyclidene) cyclohexene diaminatecobalt, and an ionic liquid-like imidazolium salt (in a 0.1 %mol with respect to the epoxide substrate) was used, which was the catalyst 5 (see Figure 4) with acetate anion—the more active one (50% yield, TON = TOF = 74 h−1)—while the catalyst 5 with tosylate anion was the most enantioselective one (40% e.e. to the R,R-cyclic carbonate) in the synthesis of chiral propylene oxide from CO2 (12 bar) at room temperature. On one hand, the counter ion acts as a nucleophile and strongly increases the catalyst activity and selectivity. On the other hand, the imidazolium moiety with a longer alkyl chain length is key to promoting the catalyst activity, but not their enantioselectivity (see entry 5 in Table 1).
Figure 4.
Chiral Cosalen catalysts 4 and 5 for CO2 cycloaddition to epoxides [51].
Polyhalide ammonium salts are interesting co-catalysts with ionic liquid character for the nucleophilic attack on the epoxide. In this sense, quaternary onium tribromide (QOTB) and the related metal-containing catalysts of SalenCoX/phenyltrimethylammonium tribromide (PTAT, one of QOTB compounds) exhibited high activity in the CO2 cycloaddition to epoxides [52]. SalenCo (Cl3CCO2) in 0.1 %mol and PTAT in 0.2 %mol with respect to the epoxide resulted in a 90% yield of the epoxide and a TOF of 611 h−1 at room temperature and 7 bar. The PTAT (0.5 %mol) itself can also act as an efficient organic catalyst in this coupling reaction (90% yield to carbonate) under atmospheric pressure at 50 °C. A Lewis acid-base mechanism was proposed (Figure 5), where the epoxide is activated by the Lewis acid salenCo center, which is subsequently attacked by nucleophilic reagent Br3− to produce the requisite metal/heteroatom alkoxide intermediates suffering insertion of CO2 to lead cyclic carbonates. When chiral (R,R)-SalenCoX catalyst 2 was used, e.e. values of chiral (R)-propylene carbonate varied between 30 and 49% (see entry 6 in Table 1 for (R,R)-2 X = p-MeC6H4SO3).
Figure 5.
Mechanism proposed for the salenCo-onium Br catalyzed epoxide ring opening with CO2. Adapted with permission of reference [52]. Copyright (2007) Elsevier.
In order to guide the reader to the different examples of chiral catalysts reviewed so far, we summarized the widely employed CoSalen catalysts described in this section in the following table (Table 1), choosing the synthesis of the cyclic carbonate derived from CO2 and propylene oxide as the proof-of-concept reaction:
Table 1.
CO2 cycloaddition to propylene oxide catalyzed by cobalt-salen-based catalysts.
Table 1.
CO2 cycloaddition to propylene oxide catalyzed by cobalt-salen-based catalysts.
| Entry | Catalyst | Co-Catalyst | Reaction Conditions | % Yield | % e.e. | Cycles | Ref |
|---|---|---|---|---|---|---|---|
| 1 | (R,R)-1 | none | 48 h, 0 °C, 6 bar | 24 | 78(S) | 5 | [41] |
| 2 | (S,S)-2 | N-benzylquininium chloride | 24 h, 20 °C, 8 bar | 8 | 73(R) | none | [42] |
| 3 | (R,R)-2 (X = Cl3CCO2) | [18-C-6K][L-Val]·0.5H2O | 5.5 h, 25 °C, 6 bar | 44 | 54(S) | 5 | [49] |
| 4 | (R,R)-2 (X = AcO) | [TBA]2[L-Tar] ionic liquid | 25 °C, 7 bar | 45 | 50(S) | 3 | [50] |
| 5 | (S,S)-5 (X = Br, Y = AcO, R = But) | none | 9 d, 25 °C, 12 bar | 6.2 | 57(R) | none | [51] |
| 6 | (R,R)-2 (X = p-MeC6H4SO3) | PTAT | 10 h, −5 °C, 7 bar | 43 | 49(R) | none | [52] |
2.1.3. BINOL-Cosalen Complexes
The second most employed chiral ligand (besides the salen one previously described) for complexing Lewis acids with activity in the stereoselective activation of epoxides is the 1,1′-Bi-2-naphthol (BINOL). Chiral salen complexes consisting of a BINOL-frame and a backbone of Schiff base exhibit synergic effects in the cycloaddition of CO2 to epoxides in an enantioselective fashion. In particular, (R,R,R,R)-BINADCo(III)(OAc) 6-7 (see Figure 6), BINAD = Bis(1,10-2-hydroxy-20-alkoxy-3-naphthylidene)-1,2-cyclohexane-diamine, and phenyltrimethylammonium tribromide (PTAT) can provide propylene carbonate with up to 45% (TOF = 77 h−1) conversion and 60% e.e. to the (S)-propylene carbonate at 25 °C and 5 bar CO2 using only 0.05 %mol of catalyst and 0.1 %mol of PTAT co-catalyst [53]. The presence of two Co-salen chiral centers positively affects enantioselectivity with respect to having just one chiral center. Both the anion and cation of ammonium salts as co-catalysts have significant effects on the catalytic kinetic resolution of terminal epoxides with CO2 as a reagent.
Figure 6.
Monomethalic and bimethalin BINOL Cosalen catalyst 6–8 [53].
The use of a nucleophilic co-catalyst with strong leaving ability and/or excess co-catalyst loading is beneficial for cyclic carbonate formation. An ammonium salt consisting of an anion with poor leaving ability and a bulky cation is beneficial for improving the enantioselectivity. This fact is employed in two routes for cyclic carbonate formation, one concerning the intramolecular cyclic elimination of the formed linear carbonate and the other regarding the depolymerization of the propagating polycarbonate resulting from consecutive alternating enchainment of epoxide and CO2 [54].
To finish this part, we will comment on some exotic cobalt-containing BINOL-like catalysts as 8 and 8-diastereomer, such as chiral basket-handle porphyrin catalysts, having both quiral 1,1′-bi-2-naphthol and L-phenylalanine moieties. A yield of 34% and 33% e.e. (to the (S) isomer of propylene carbonate) were obtained in the reaction between propylene oxide and CO2 using catalyst 8 in 0.5 %mol amount and tetrabutylammonium chloride as co-catalyst (1 %mol) at room temperature and 1 atm. However, 96 h of reaction was requested [55].
2.1.4. Al Salen Catalysts
Different Al(III), Cr(III), Mn(III), Co(III), and Zn(II) metal sites were complexed with salen ligands containing ionic liquid substituents with alkyl ammonium, pyridinium, or imidazolium groups, thus having catalytically active Lewis acid (transition metal) and Nucleophilic (ionic liquid) sites [56]. A linear relationship between calculated energy spans and the metal–oxygen bond length was found for chiral metal salen complexes as catalysts of the CO2 cycloaddition to epoxides. Such theoretical calculations indicated the following order of the catalytic activity of the metal salen complexes tethered by pyridine ionic liquid: Co(III) > Cr(III) > Zn(II) ~ Al(III) > Mn(III). For example, earth-abundant, inexpensive, and sustainable bimetallic aluminum (salen) complexes (2.5 %mol) in the presence of TBABr cocatalyst were able to synthesize cyclic carbonates from 1 bar of CO2 (Figure 7), in yields up to 60% with enantiomeric ratios of 30:70 for the cyclic carbonate with the (R) configuration [57].
Figure 7.
Synthesis of cyclic carbonates using Al salen catalysts. Reproduced with permission of ref. [57]. Copyright (2015) ACS.
2.1.5. Silver Salen Complexes
Regarding the use of transition metal catalysts different from cobalt, in this section, we will mention a couple of examples of Ag-based chiral catalysts. On one hand, an enantioselective carboxylative cyclization of optical active tertiary propargylic alcohols (up to 50% recovery and 60% e.e.) and CO2 (5 bar) was realized under mild conditions (25 °C), based on a kinetic resolution strategy, which enabled the synthesis of chiral cyclic carbonates with the (R) configuration, in up to 50% yield and 40% e.e. [58]. The catalyst employed contained AgOAc (10 %mol) in the presence of a chiral salen-type ligand 9 (see Figure 8). In this chiral silver catalysis, we achieved the catalytic asymmetric carboxylative cyclization of 1-indanone-derived racemic propargylic alcohols with CO2. With the combination of the chiral Schiff-base ligand and AgOAc, chiral cyclic carbonates were synthesized in up to 58% yield and 43% e.e. Meanwhile, the optically active (S)-propargylic alcohols could be recovered in up to 59% yield and 60% e.e. The kinetic resolution of non-cyclic propargylic alcohol was also attempted, but low enantioselectivity was obtained.
Figure 8.
Chiral salen type ligand 9 [59].
On one hand, it is worth mentioning the possibilities of the cyclohexane diamine backbone to prepare silver-containing salen complex 9 (see Figure 8), which was employed to obtain the product from the enantioselective chemical incorporation of CO2 (10 bar) into bispropargylic alcohols [59]. High selectivity (92% yield with 70% e.e.) was obtained by using the chiral Schiff base ligand (1 %mol) derived from 1,2-diaminocyclohexane and 2-pyridinecarboxyaldehyde in the presence of 10 %mol of silver acetate at 0 °C.
2.1.6. Zinc Salen and BINOL Complexes
Inspired by the high activity and selectivity of enzyme catalysts with Zn sites for CO2 activation, our group developed several binuclear Zn2+ complexes of pseudopeptidic macrocycles 10 exhibiting Lewis acidic groups (Zn2+, amide groups, and acidic hydrogen atoms of the coordinated amines), Lewis basic groups (amino groups), and activated nucleophiles (iodide counterions). These bio-inspired macrocyclic catalysts were employed as multifunctional supramolecular catalysts for the cycloaddition of CO2 to epoxides [60]. The chiral catalyst 10 (Figure 9) was prepared via imine condensation of the open-chain C2-pseudopeptidic bisaminoamides with 5-(tert-butyl)-2-hydroxyisophthalaldehyde followed by in situ reduction. The iodine-containing macrocyclic compound shares with enzymes not only the capacity to be active under mild conditions (45% conversion at room temperature) but also the presence of a well-defined chiral environment (69% enantiomeric excess for (R)-styrene carbonate). The high activity of this chiral catalyst was attributed to the synergy between the crowded coordination sphere of the Zn2+ metallic cores (which are the recognition and activation centers of one of the enantiomers of the oxirane group), and, as a result, the presence of highly nucleophilic “naked” iodide anions able to open the oxirane ring (and thus facilitate the cycloaddition of CO2).
Figure 9.
Binuclear pseudopeptidic Zn salen complex 10 [60].
Another hemo-like Zn-based chiral supramolecular system is shown in Figure 10. Such type of chiral porphyrins having coordinated Zn(II) catalytic active sites (0.05 %mol) and strapped by BINOL-like groups (Figure 10) were employed as catalysts of the kinetic resolution of styrene oxide with CO2 (17 bar) at 50 °C, using TBAB as co-catalyst (0.1 %mol) [61,62]. Yields of 39% and e.e. of 34% were obtained after 6 h of reaction. Longer times (and conversion values) decrease the e.e.
Figure 10.
Chiral binaphthyl-strapped Zn(II) porphyrins with triazolium halide units were synthesized as bifunctional catalysts for the kinetic resolution of epoxides with CO2. Reproduced with permission from ref. [62]. Copyright (2019) ACS.
2.1.7. Miscellaneous Salen/BINOL Metal Catalyst
Other metallic acid sites have been employed for the activation of epoxides and subsequent reaction with CO2. For example, chiral Ti catalysis made of titanium isopropoxide (1 %mol) and BINOL (1 %mol) is able to carry out the kinetic resolution of epichlorohydrin and styrene oxide with 5 bars of CO2 at room temperature, using TBAI as the co-catalyst (4 %mol). After 12 h, 41% conversion and 24% e.e. was obtained [63]. The enantioselective insertion of CO2 into the oxirane ring allows obtaining the non-reacted (R) enantiomer of epichlorohydrin and the (S) enantiomer of styrene oxide, with close to full selectivity to the cyclic epoxide (minimizing isomerization and polymerization reactions).
In another study, O/N/P-containing commercial chiral ligands ((4S, 5S)-4,5-bis(Diphenylphosphino-methyl)-2,2-dimethyl-1,3-dioxolane (DIOP), 2,2-methylene-bis(4S)-phenyl-oxazoline (MBPO), S-2-anilinomethyl(pyrrolidine) (AMP), and 1,2-bis(diphenylphosphino)ethane (diphos)) of Nb (IV/V) catalytic active sites were also employed for the reaction of styrene oxide and CO2 in DMF [64]. However, harsh conditions are employed (50 bar CO2 and 130 °C), which leads to the low e.e. due to the optically active ligand exchange with the solvent. The use of such ligands increases the TON from 38 (using niobium chloride with coordinated THF) to 142 (using S-2-aminomethyl pyrrolidine as the ligand) for the CO2 cycloaddition to styrene oxide. Although in this last case, the e.e. was poor (<5%); the use of 2,2-methylene-bis(4S)-phenyl-oxazoline resulted in 22% e.e.
Other heterocyclic ligands of noble metals were employed, such as a biscyclometalated benzoxazole iridium complex 11 (see Figure 11) [65]. The 1 %mol of iridium catalyst is able to act at room temperature and 20 bar of CO2 to form the cyclic carbonate of several epoxides with 20% yield and 50% e.e., in the presence of 1.5 %mol of tetraethylammonium bromide and dioxane as solvent. The inverse trend between conversion and e.e. is clearly observed for the glycidyl phenyl ether substrate.
Figure 11.
Miscellaneous Salen/Salan/BINOL complexes 11–13 [65,66].
To finish this part of metal catalysis, we will comment on chiral Cr catalysts, such as those coordinated to Schiff-based Salen or Salan (the saturated version of salen) ligands 12 and 13, respectively [66]. Those chiral chromium complexes of tetradentate N,N′-disubstituted bis(aminophenoxide) were employed as catalysts (see Figure 11), using TBA(NO3) as a co-catalyst (both in 1 %mol amount), in the co-polymerization of CO2 (15 bar) and propylene oxide, resulting in poly(propylene carbonate) (PPC) with >95% head-to-tail linkages, moderate enantioselectivity (see Scheme 4) and high product selectivity (>99% PPC vs. cyclic PC) and stereochemistry of carbonate unit sequence in a polymer (50 e.e. given by the cyclic PC obtained after degradation of PCC).
Scheme 4.
Regio- and stereochemistry of poly(propylene carbonate) derived from the copolymerization of CO2 and propylene oxide. Reproduced with permission of reference [66]. Copyright (2008) Wiley.
3. Chiral Organocatalyst
The organocatalyzed cascade transformation of inert CO2, vicinal diols, and propargylic alcohol into high added-value heterocycles, i.e., functionalized five-membered cyclic carbonates, was achieved via dual Lewis base (LB) organocatalytic systems involving LB–CO2 adducts and commercially available organic amines, resulting in high product yields (up to 92%) under mild reaction conditions (10 %mol, 25 °C, 1 atm of CO2) [67]. Although this was not a chiral catalyst, using MTBD = 1-methyl-1,5,7-triazabicyclo[4.4.0]dec-5-ene as an organic Lewis base, the highest yield of 98% to the cyclic carbonate was obtained. Interestingly, when the reaction was carried out starting from chiral substrates, a retention of stereochemistry was observed in the cyclic carbonate formed.
A bifunctional catalyst with chiral and achiral (thio)urea-containing quaternary ammonium salts (with the iodide counterion) presented a synergistic combination for CO2 fixation to epoxides. When the bifunctional (thio)urea catalyst was used, 35% conversion at 60 °C in the presence of 1 atm of CO2 and 6 h of reaction were obtained [68]. Unfortunately, in neither case any enantiomeric enrichment of the recovered starting epoxide or the formed carbonate could be achieved. Theoretical calculations indicated a mechanism based on a first nucleophilic addition of the iodide anion. Detailed DFT calculations substantiate a mechanism involving an initial addition of the nucleophilic iodide anion of the ammonium salt, after which a CO2 (balloon) cycloaddition to the H-bonding activated epoxide occurs.
The nucleophilic phosphine-catalyzed cycloaddition of CO2 with isatin-derived γ-hydroxyl alkynone was carried out using 20 %mol of the PBu3 at room temperature, obtaining an 81% yield of the product. The authors reported chiral and highly nucleophilic bifunctional tio(urea)-derived phosphine catalysts for the kinetic resolution of propargyl alcohols via carbon dioxide fixation having e.e. up to 76% for the corresponding (R)-cyclic carbonate using threonine derivative (2S, 3R)-15 (see Figure 12) at 1 bar and −40 °C [69].
Figure 12.
Chiral organocatalyst 15–18 [69,70,71,72,73].
Metal-free small organic molecules were successful organocatalysts to promote the three-component carboxylation/alkene functionalization reaction of homoallylic alcohols homoallylic alcohols, an electrophilic source of iodine (N-Iodosuccinimide in 120 %mol amount) and CO2 to produce chiral cyclic carbonates [70]. In particular, trans-stilbene diamine (5 %mol) as a base ligand of Bronsted acid HNTf2 resulted in an organocatalyst complex providing 91% e.e. and 95% yield of carbonate product. Mechanistic proposal based on Bronsted acid-base interactions with the substrates and the catalyst with hydrogen-bond donor and acceptor functionalities support the activation and orientation of the substrates in an enantioselective fashion (see Scheme 5).
Scheme 5.
Metal-free small molecule Brønsted acid/base activation achieves the three-component reaction between a homoallylic alcohol, carbon dioxide, and an electrophilic source of iodine. Reproduced from ref. [70]. Copyright 2015 ACS.
A bifunctional chiral quaternary phosphonium iodide salt catalyst (S)-16 (see Figure 12) was applied for the CO2 cycloaddition to epoxides, leading to cyclic carbonates (carbon fixation), as well as optically pure epoxides (kinetic resolution) [71]. The phosphonium salts with a biphenyl backbone were readily prepared via the reaction with triphenylphosphine and the corresponding arylmethyl bromides. The authors tuned the distance between the two functionalities (OH and halide anion) on the bifunctional catalyst, the iodide containing one with the OH in or to the most active one (91% yield to carbonate using 1 %mol catalyst, 1 bar CO2 at 60 °C), probably due to hydrogen bonding between the hydroxyl group and the counter-anion (Br−). This hydrogen bond is broken upon the OH H-bond activation of the epoxide for its subsequent opening with the nucleophilic attack of the iodide anion. Regarding the kinetic resolution, moderate values of 20% yield and 31% e.e. to the (S)-epoxide -and 12% e.e. to the (R) cyclic carbonate- were obtained at 50 °C under similar reaction conditions as reported for the cycloaddition.
An interesting example of an H-bond donor organocatalyst was that of binaphthyl-linked hemisquaramide tweezers organocatalysts 17 in 5 %mol (see Figure 12). These organocatalysts were employed in the presence of TBAI co-catalyst (5 %mol) for the kinetic resolution of epoxides via CO2 cycloaddition at −20 °C [72]. Moderate values of yield (17%) and enantioselectivity (47%) were obtained. The catalytic activity of this system (99% yield of carbonate at room temperature and 1 bar of CO2) was based on the dual activation of the epoxide (via H-bonding with the two NH groups) and iodine nucleophilic attack.
To finish this part, we will briefly comment on reported chiral organocatalysts with the general structure (R)-18 (see Figure 12) [73]. These macrocycles were prepared based on macrocycles with chiral cavity and multiple hydrogen-bonding sites (i.e., NH groups); 3,5-bis(trifluoromethyl)phenylethynyl groups were suitable for the enantioselective activation of epoxides. In the case of the (R,R) cyclic carbonate, 48% yield and >70% e.e. was obtained at 50 °C, 3 %mol, and 1 bar of CO2.
4. Immobilized Catalysts into Organic and Metal–Organic Chiral Polymers
The binding of organometallic and organocatalysts into a solid via covalent bonds is the preferred method for the heterogenization of chiral catalysts, although it is also possible via adsorption, encapsulation, or entrapment [74,75]. Depending on the nature of the solid, i.e., porosity, functionality, and particle size, the immobilization will lead to a more active, selective, leaching-free, and deactivation-resistant chiral catalyst with respect to the homogeneous case. In this section, we will describe a few examples of heterogeneous chiral catalysts (for the CO2 and epoxide reactions described in the review) in which there is a positive effect of the organic/metal–organic polymer support on the performance of the immobilized chiral catalyst. In particular, we will focus on the increase in cyclic carbonate yield and its enantiomeric excess during several reaction cycles, highlighting the beneficial effect of the polymeric matrix, either organic or metal–organic, on the catalytic enhancement.
4.1. Cosalen Polymer Catalysts
The chirality of spiro and diaminocyclohexane discrete moieties was incorporated into an oligomeric chiral system via polymerization at vinyl and imine functional groups. Chiral oligomers of spiro-salenCo(III)X (spiro = 1.1′-spirobiindane-7.7′-diol) complexes 19 have been employed as catalysts (0.1 %mol) in the presence of tetrabutylammonium fluoride co-catalyst, resulting in a 40% conversion of epoxide and 67% e.e. of the cyclic carbonate product with the (S) configuration at 0 °C and using 8 bar of CO2 and catalyst (S,R,R,S)-19 X = CCl3CO2 (see Figure 13) [76]. The oligomeric catalysts could be recovered by precipitation with ethanol and reused five times without apparent loss of activity or enantioselectivity.
Figure 13.
Configurations of polymeric catalyst 19–21 [76,77,78].
Other bifunctional chiral polymeric Co(III) salen complexes 20 with built-in Lewis acid-base were derived from (1R,2R)-(-)-1,2-diaminocyclohexane and a salen moiety [77]. The imine-based covalent–organic framework was formed via a reaction between a terminal aldehyde and an amine, reacting to two aromatic aldehyde groups at the triazine–piperazine core with two chiral amino groups from the diaminocyclohexane moiety. Thus, the chiral catalyst was integrated with a triazine–piperazine core and was reported as polymeric recyclable catalysts—in the absence of a co-catalyst (Lewis base)-asymmetric cycloaddition of CO2 (1 bar) to epoxide at 0 °C. The reaction yields optically active propylene carbonate up to 40% and e.e. up to 74% to the (R)-carbonate in the presence of (R,R)-20 X = Cl3CCO2. The catalytic system could be recycled 10 times without a significant decrease in activity or enantioselectivity.
A final example of polymeric (S)/(R)-BINOL and (S,S)/(R,R)-salen cobalt (III) catalyst will be mentioned in this section (see catalyst 21 in Figure 13). This system was employed to prepare a polymeric catalyst 21 (0.1 %mol), which allows—in the presence of TBAF (0.2 %mol) as co-catalyst—a maintained conversion of 50% and an e.e. of 99%, for the CO2 cycloaddition to propylene oxide with >70% e.e. for ten cycles (12 bar) at 0 °C after 12 h. The authors concluded that the chirality of the BINOL moiety in the polymer has a key influence on the optical selectivity of the salen-Co(III) active sites. Furthermore, the hydrolytic kinetic resolution of propylene oxide using catalyst (R,R,S)-21, affords both re-covered unreacted epoxide (>99% e.e.) and 1,2-diol (99% e.e.) in highly enantioenriched forms for eight catalyst recycles [78].
4.2. Chiral Metal–Organic Polymeric Catalysts: MOFs
A three-dimensional (3D) chiral mixed metal–organic framework based on a new enantiopure dicarboxylic-functionalized Ni(saldpen) metalloligand and a novel tetranuclear cadmium cluster having 1D open channels (~1.1 × 0.9 nm), exhibited good stability, permanent porosity, Lewis acid sites, and moderate uptake for CO2 [79]. The self-supported metalosalen heterogeneous catalyst promoted the asymmetric cycloaddition of CO2 with racemic propylene oxide for the synthesis of optically active propylene carbonate (with 28% yield and 51% e.e.) under relatively mild conditions (20 bar CO2, 25 °C, and 4 h), but in the presence of ammonium salts as co-catalysts (2 %mol). The MOF catalyst was reused three times without apparent loss in catalytic activity or enantioselectivity.
A different example of MOF-based chiral catalyst for the synthesis of optically pure cyclic carbonates is the porphyrin−salen chiral heterometallic (Cd−Cu, Cd−Zn, Cd−Ni, and Cd−Co) MOFs. These polymers were employed as efficient, recyclable heterogeneous catalysts for the asymmetric addition reaction of CO2 with epoxides under mild conditions (0 °C and 1 bar of CO2) in the presence of 1 %mol of TBABr as a co-catalyst [80]. The MOF could be recycled five times without apparent loss in activity (22% yield) or enantioselectivity (30% e.e.).
Finally, we will comment on a bifunctional zinc-bipyridine type MOF, having a pyrrolidine moiety as a chiral organocatalyst and a polyoxometalate as an oxidation catalyst, both integrated into its structure [81]. The bifunctional catalysts were employed in the oxidation of terminal alkenes to the corresponding epoxide and subsequent CO2 cycloaddition to form chiral cyclic carbonates (Scheme 6). In the case of styrene, for the one-pot asymmetric reaction, a 92% yield of cyclic carbonate with 80% e.e. was obtained using TBHP as the oxidant and 5 bar CO2, 50 °C, 96 h, and 0.1 %mol catalyst. The catalysts could be reused at least three times with moderate loss of activity (from 92 to 88% yield) and with a slight decrease in selectivity (from 80 to 77% e.e.).
Scheme 6.
Synthetic procedure of the metal–organic framework, showing the constitutive/constructional fragments of the MOF, and the schematic representation of tandem catalysis for the asymmetric cyclic carbonate transformation from olefins and carbon dioxide. Reproduced from ref. [81]. Copyright (2015) Nature Springer.
5. Outlook and Future Perspectives
In this contribution, the recent studies on the catalytic activity and stereoselectivity of homogeneous and heterogeneous catalytic systems for the reaction between CO2 and epoxides are analyzed according to the nature of the system. We selected two proof-of-concept reactions for such catalysts related to stereocontrolled activation of epoxides and CO2 leading to enantiomerically rich cyclic carbonates and polycarbonates. On the one hand, homogeneous systems, i.e., those in the same liquid form as the epoxide, are classified according to the nature of the active site: organometallic (e.g., salen and/or BINOL-like complexes of transition metal catalysts with Lewis acid character) and organocatalysts (e.g., metal-free organic molecules with nucleophilic and/or hydrogen-bonding character). In both cases, the use of co-catalysts, such as ammonium halides, increases the conversion of the epoxide into the carbonate. However, in the case of homogeneous catalysts, isolation and recycling are an issue (requiring costly precipitation and work-up steps), in contrast to the simple centrifugation of immobilized catalysts.
In the case of homogeneous catalysts, traditional high-performance chiral metal–salen complexes of Co(III) have been extended to other transition metals with different Lewis acidities, such as Ti(IV), Nb(IV/V), Al(III), Cr(III), Mn(III), Ir(III), Ag(II), and Zn(II). The design of bi- or multi-functional homogeneous catalysts based on such metal–salen complexes and organic moieties, such as chiral ammonium/phosphonium salts, amino acids, (tio)ureas, polyamines/amides, etc., is an elegant manner to tune the activity and selectivity of traditional metal-based homogeneous catalysts. Such organic molecules can work by themselves as organocatalysts in the absence of any metal sites, exhibiting promising yields and enantioselectivities.
In the case of heterogeneous catalysts, two main strategies were followed in order to immobilize the above-mentioned discrete homogeneous catalysts into a solid material. On the one hand, the incorporation of monomer groups, e.g., vinyl, alkoxy, or alkyl amine, into the catalyst structure allows for the polymerization and formation of a material with sufficient molecular weight in order to simplify its isolation and recycling from the liquid reaction medium. On the other hand, the isolation of active sites into porous solids facilitates the diffusion of the reagents into confined spaces and avoids the self-deactivation of active sites. This is the case of metal–organic frameworks, allowing the covalent grafting of organometallic sites into a porous and crystalline network, increasing the activity, enantioselectivity, and stability of their homogeneous counterparts.
However, it is highly challenging to adjust the stereoselectivity of the product, i.e., increase the e.e. values of a particular cyclic carbonate enantiomer, so it deserves more attention in the future. The stereochemical outcome of the reaction reviewed here depends mostly on the mechanism of epoxide and carbon dioxide activation (either simultaneously or separately, depending on the single/dual nature of the catalyst active sites) [82]. Thus, variations on the catalyst design (e.g., nature and distances between the nucleophilic and acid sites, as well as their environment) will have a key role in the stereochemistry of the substrates (i.e., epoxide) and product (i.e., cyclic carbonate) during the activation steps of the mechanism of CO2 cycloaddition to the epoxide. The chiral recognition of one of the enantiomers of the epoxide by the appropriate chiral site at the catalyst will control its further conversion into enantiomerically rich cyclic carbonates. In addition to that, controlling the reaction conditions and the use of halide salts as Lewis base co-catalysts is key for increasing the stereoselectivity in addition to the design of chiral Lewis acid organometallic catalysts.
Future prospects in the field should be focused on decreasing the chiral catalyst loading in order to minimize the cost of the desired optically active cyclic carbonate enantiomer synthesis. This is particularly a problem when an immobilization of the chiral catalyst is not yet developed, and the reuse of the catalyst is not as straightforward as in the supported case. Therefore, the dispersion and immobilization of very small amounts (i.e., ideally single atom catalysts) of the chiral complex in adequate support will allow to decrease the catalyst loading and thus increase the number of turnovers with respect to benchmark catalytic systems. It also will contribute to the upscaling of the catalyst toward pilot plants or even industrial plants.
Another challenge when aiming at industrial application is to pass from batch to continuous flow mode in order to increase the efficiency, safety, scalability, and reproducibility of the cyclic carbonate synthesis. This will become feasible as highly available and high-performance immobilized chiral catalysts are developed (exhibiting adequate stability), given the simplicity of shaping and packing of solid catalysts in fixed-bed continuous flow reactors. The application of MOFs and derived materials as scalable heterogeneous catalysts in continuous-flow fixed-bed-type reactors will allow for diversification of the products obtained from CO2, going to other oxygenate compounds (besides cyclic carbonates), such as methanol or even hydrocarbons and light olefins for the petrochemical industry [83,84].
A final goal that should be pursued in this CO2-valorization process is to develop chiral catalysts able to work under low CO2 concentrations and ambient pressure. The use of diluted CO2, i.e., from post-combustion steps- has not been evaluated on the activity and enantioselectivity of traditional chiral catalysts for the reaction between CO2 and epoxides. This will pave the road toward the commercial application of novel chiral catalysts for CO2-based (poly)carbonates.
Author Contributions
All authors have contributed equally. All authors have read and agreed to the published version of the manuscript.
Funding
“Ramon y Cajal” contract with code RYC2020-028681-I funded MCIN/AEI/10.13039/501100011033 and by “ESF investing in your future”, “European Union NextGenerationEU/PRTR”. Other funding: MICINN-FEDER-AEI 10.13039/501100011033 (PID2021-124695OB-C22), MCIN/AEI/10.13039/501100011033, and the European Union Next Generation EU-PRTR (TED2021-129626B-I00 and TED2021-130288B-I00).
Data Availability Statement
No new data were created.
Acknowledgments
F.G.C. acknowledges the “Ramon y Cajal” contract with code RYC2020-028681-I funded MCIN/AEI/10.13039/501100011033 and by “ESF investing in your future”, “European Union NextGenerationEU/PRTR”. This work has been partially supported by MICINN-FEDER-AEI 10.13039/501100011033 (PID2021-124695OB-C22), MCIN/AEI/10.13039/501100011033, and by the European Union Next Generation EU-PRTR (TED2021-129626B-I00 and TED2021-130288B-I00).
Conflicts of Interest
The authors declare no conflict of interest. The funders had no role in the design of the study; in the collection, analyses, or interpretation of data; in the writing of the manuscript; or in the decision to publish the results.
References
- Friedlingstein, P.; O’Sullivan, M.; Jones, M.W.; Andrew, R.M.; Gregor, L.; Hauck, J.; Le Quéré, C.; Luijkx, I.T.; Olsen, A.; Peters, G.P.; et al. Global Carbon Budget 2022. Earth Syst. Sci. Data 2022, 14, 4811–4900. [Google Scholar] [CrossRef]
- Liu, Q.; Wu, L.; Jackstell, R.; Beller, M. Using carbon dioxide as a building block in organic synthesis. Nat. Commun. 2015, 6, 5933. [Google Scholar] [CrossRef] [PubMed]
- Patra, B.R.; Gouda, S.P.; Pattnaik, F.; Nanda, S.; Dalai, A.K.; Naik, S. A brief overview of recent advancements in CO2 capture and valorization technologies. In Carbon Dioxide Capture and Conversion; Nanda, S., Vo, D.V.N., Nguyen, V.H., Eds.; Elsevier: Amsterdam, The Netherlands, 2022; pp. 1–16. [Google Scholar]
- Yaashikaa, P.R.; Kumar, P.S.; Varjani, S.J.; Saravanan, A. A review on photochemical, biochemical and electrochemical transformation of CO2 into value-added products. J. CO2 Util. 2019, 33, 131–147. [Google Scholar] [CrossRef]
- Mori, T.; Nishiyori, R.; Sumida, S.; Furuya, Y.; Shirakawa, S. Chiral Organocatalysts in Enantioselective CO2 Utilization Reactions. Eur. J. Org. Chem. 2023, 26, e202300551. [Google Scholar] [CrossRef]
- Kielland, N.; Whiteoak, C.J.; Kleij, A.W. Stereoselective Synthesis with Carbon Dioxide. Adv. Synth. Catal. 2013, 355, 2115–2138. [Google Scholar] [CrossRef]
- Childers, M.I.; Longo, J.M.; Van Zee, N.J.; LaPointe, A.M.; Coates, G.W. Stereoselective Epoxide Polymerization and Copolymerization. Chem. Rev. 2014, 114, 8129–8152. [Google Scholar] [CrossRef]
- Vaitla, J.; Guttormsen, Y.; Mannisto, J.K.; Nova, A.; Repo, T.; Bayer, A.; Hopmann, K.H. Enantioselective Incorporation of CO2: Status and Potential. ACS Catal. 2017, 7, 7231–7244. [Google Scholar] [CrossRef]
- Guo, X.; Wang, Y.; Chen, J.; Li, G.; Xia Chin, J.-B. Recent Advances of CO2 Fixation via Asymmetric Catalysis for the Direct Synthesis of Optically Active Small Molecules. Chin. J. Org. Chem. 2020, 40, 2208–2220. [Google Scholar] [CrossRef]
- Ran, C.-K.; Chen, X.-W.; Gui, Y.-Y.; Liu, J.; Song, L.; Ren, K.; Yu, D.-G. Recent advances in asymmetric synthesis with CO2. Sci. China Chem. 2020, 63, 1336–1351. [Google Scholar] [CrossRef]
- Wu, X.; Castro-Osma, J.A.; North, M. Synthesis of Chiral Cyclic Carbonates via Kinetic Resolution of Racemic Epoxides and Carbon Dioxide. Symmetry 2016, 8, 4. [Google Scholar] [CrossRef]
- Okuno, K.; Nishiyori, R.; Hiraki, M.; Shirakawa, S. Environmentally Benign Synthesis of Cyclic Carbonates from Epoxides and Carbon Dioxide Using Binary and Bifunctional Catalysts. Heterocycles 2021, 103, 94–109. [Google Scholar]
- Liao, X.; Su, Y.; Tang, X. Stereoselective synthesis of biodegradable polymers by salen-type metal catalysts. Sci. China Chem. 2022, 65, 2096–2121. [Google Scholar] [CrossRef]
- Schaus, S.E.; Brandes, B.D.; Larrow, J.F.; Tokunaga, M.; Hansen, K.B.; Gould, A.E.; Furrow, M.E.; Jacobsen, E.N. Highly Selective Hydrolytic Kinetic Resolution of Terminal Epoxides Catalyzed by Chiral (salen)CoIII Complexes. Practical Synthesis of Enantioenriched Terminal Epoxides and 1,2-Diols. J. Am. Chem. Soc. 2002, 124, 1307–1315. [Google Scholar] [CrossRef] [PubMed]
- Jacobsen, E.N. Asymmetric catalysis of epoxide ring-opening reactions. Acc. Chem. Res. 2000, 33, 421–431. [Google Scholar] [CrossRef]
- Cavalleri, M.; Panza, N.; di Biase, A.; Tseberlidis, G.; Rizzato, S.; Abbiati, G.; Caselli, A. [Zinc(II)(Pyridine-Containing Ligand)] Complexes as Single-Component Efficient Catalyst for Chemical Fixation of CO2 with Epoxides. Eur. J. Org. Chem. 2021, 19, 2764–2771. [Google Scholar] [CrossRef]
- North, M.; Pasquale, R.; Young, C. Synthesis of cyclic carbonates from epoxides and CO2. Green Chem. 2010, 12, 1514–1539. [Google Scholar] [CrossRef]
- Martín, C.; Fiorani, G.; Kleij, A.W. Recent Advances in the Catalytic Preparation of Cyclic Organic Carbonates. ACS Catal. 2015, 5, 1353–1370. [Google Scholar] [CrossRef]
- Wang, M.-Y.; Song, Q.-W.; Ma, R.; Xie, J.-N.; He, L.-N. Efficient conversion of carbon dioxide at atmospheric pressure to 2-oxazolidinones promoted by bifunctional Cu(II)-substituted polyoxometalate-based ionic liquids. Green Chem. 2016, 18, 282–287. [Google Scholar] [CrossRef]
- Shaikh, R.R.; Pornpraprom, S.; D’Elia, V. Catalytic Strategies for the Cycloaddition of Pure, Diluted, and Waste CO2 to Epoxides under Ambient Conditions. ACS Catal. 2018, 8, 419–450. [Google Scholar] [CrossRef]
- Shi, Y.; Pan, B.W.; Zhou, Y.; Zhou, J.; Liu, Y.L.; Zhou, F. Catalytic enantioselective synthesis using carbon dioxide as a C1 synthon. Org. Biomol. Chem. 2020, 18, 8597–8619. [Google Scholar] [CrossRef]
- Nakano, K.; Hiyama, T.; Nozaki, K. Asymmetric amplification in asymmetric alternating copolymerization of cyclohexene oxide and carbon dioxide. Chem. Commun. 2005, 1871–1873. [Google Scholar] [CrossRef] [PubMed]
- Abbina, S.; Du, G.D. Chiral Amido-Oxazolinate Zinc Complexes for Asymmetric Alternating Copolymerization of CO2 and Cyclohexene Oxide. Organometallics 2012, 31, 7394–7403. [Google Scholar] [CrossRef]
- Xiao, Y.; Wang, Z.; Ding, K. Copolymerization of Cyclohexene Oxide with CO2 by Using Intramolecular Dinuclear Zinc Catalysts. Chem. Eur. J. 2005, 11, 3668–3678. [Google Scholar] [CrossRef] [PubMed]
- Wu, G.P.; Ren, W.M.; Luo, Y.; Li, B.; Zhang, W.Z.; Lu, X.B. Enhanced Asymmetric Induction for the Copolymerization of CO2 and Cyclohexene Oxide with Unsymmetric Enantiopure SalenCo(III) Complexes: Synthesis of Crystalline CO2-Based Polycarbonate. J. Am. Chem. Soc. 2012, 134, 5682–5688. [Google Scholar] [CrossRef]
- Martinez, L.E.; Leighton, J.L.; Carsten, D.H.; Jacobsen, E.N. Highly Enantioselective Ring Opening of Epoxides Catalyzed by (salen)Cr(III) Complexes. J. Am. Chem. Soc. 1995, 117, 5897–5898. [Google Scholar] [CrossRef]
- Konsler, R.G.; Karl, J.; Jacobsen, E.N. Cooperative Asymmetric Catalysis with Dimeric Salen Complexes. J. Am. Chem. Soc. 1998, 120, 10780–10781. [Google Scholar] [CrossRef]
- Nakano, K.; Hashimoto, S.; Nozaki, K. Bimetallic mechanism operating in the copolymerization of propylene oxide with carbon dioxide catalyzed by cobalt–salen complexes. Chem. Sci. 2010, 1, 369–373. [Google Scholar] [CrossRef]
- Vagin, S.I.; Reichardt, R.; Klaus, S.; Rieger, B.A. Stable Doubly Hydrogen-Bridged Butterfly Shaped Diborane(4) Compound. J. Am. Chem. Soc. 2010, 132, 14367–14369. [Google Scholar] [CrossRef]
- Klaus, S.; Lehenmeier, M.W.; Anderson, C.E.; Rieger, B. Recent advances in CO2/epoxide copolymerization—New strategies and cooperative mechanisms. Coord. Chem. Rev. 2011, 255, 1460–1479. [Google Scholar] [CrossRef]
- Kember, M.R.; Knight, P.D.; Reung, P.T.R.; Williams, C.K. Highly Active Dizinc Catalyst for the Copolymerization of Carbon Dioxide and Cyclohexene Oxide at One Atmosphere Pressure. Angew. Chem. 2009, 121, 949–951. [Google Scholar] [CrossRef]
- Jutz, F.; Buchard, A.; Kember, M.R.; Fredriksen, S.B.; Williams, C.K. Mechanistic Investigation and Reaction Kinetics of the Low-Pressure Copolymerization of Cyclohexene Oxide and Carbon Dioxide Catalyzed by a Dizinc Complex. J. Am. Chem. Soc. 2011, 133, 17395–17405. [Google Scholar] [CrossRef]
- Kember, M.R.; Williams, C.K. Efficient Magnesium Catalysts for the Copolymerization of Epoxides and CO2; Using Water to Synthesize Polycarbonate Polyols. J. Am. Chem. Soc. 2012, 134, 15676–15679. [Google Scholar] [CrossRef] [PubMed]
- Kember, M.R.; Jutz, F.; Buchard, A.; White, A.J.P.; Williams, C.K. Di-cobalt(II) catalysts for the copolymerisation of CO2 and cyclohexene oxide: Support for a dinuclear mechanism? Chem. Sci. 2012, 3, 1245–1255. [Google Scholar] [CrossRef]
- Darensbourg, D.J.; Wildeson, J.R.; Yarbrough, J.C.; Reibenspies, J.H. Bis 2,6-difluorophenoxide Dimeric Complexes of Zinc and Cadmium and Their Phosphine Adducts: Lessons Learned Relative to Carbon Dioxide/Cyclohexene Oxide Alternating Copolymerization Processes Catalyzed by Zinc Phenoxides. J. Am. Chem. Soc. 2000, 122, 12487–12496. [Google Scholar] [CrossRef]
- Moore, D.R.; Cheng, M.; Lobkovsky, E.B.; Coates, G.W. Mechanism of the Alternating Copolymerization of Epoxides and CO2 Using β-Diiminate Zinc Catalysts: Evidence for a Bimetallic Epoxide Enchainment. J. Am. Chem. Soc. 2003, 125, 11911–11924. [Google Scholar] [CrossRef] [PubMed]
- Lee, B.Y.; Kwon, H.Y.; Na, S.J.; Han, S.; Yun, H.; Lee, H.; Park, Y.W. Bimetallic Anilido-Aldimine Zinc Complexes for Epoxide/CO2 Copolymerization. J. Am. Chem. Soc. 2005, 127, 3031–3037. [Google Scholar] [CrossRef] [PubMed]
- Shen, Y.-M.; Duan, W.-L.; Shi, M. Chemical fixation of carbon dioxide catalyzed by binaphthyldiamino Zn, Cu, and Co salen-type complexes. J. Org. Chem. 2003, 68, 1559–1562. [Google Scholar] [CrossRef] [PubMed]
- Lu, X.-B.; Liang, B.; Zhang, Y.-J.; Tian, Y.-Z.; Wang, Y.-M.; Bai, C.-X.; Wang, H.; Zhang, R. Asymmetric Catalysis with CO2: Direct Synthesis of Optically Active Propylene Carbonate from Racemic Epoxides. J. Am. Chem. Soc. 2004, 126, 3732. [Google Scholar] [CrossRef] [PubMed]
- Zhang, H.; Qin, X.; Wang, J.; Ma, L.; Chen, T. Metal complex catalysts broaden bioorthogonal reactions. Sci. China Chem. 2023. [Google Scholar] [CrossRef]
- Chang, T.; Jin, L.; Jing, H. Bifunctional Chiral Catalyst for the Synthesis of Chiral Cyclic Carbonates from Carbon Dioxide and Epoxides. ChemCatChem 2009, 1, 379–383. [Google Scholar] [CrossRef]
- Suling, Z.; Yingying, S.; Huanwang, J.; Peng, Y.; Qiang, C. Cinchona-Derived Quaternary Ammonium Salts-Improved Asymmetric Cycloaddition of CO2 to Epoxides. Chin. J. Catal. 2009, 30, 1255–1260. [Google Scholar]
- Liu, Y.; Ren, W.M.; Liu, J.; Lu, X.B. Asymmetric Copolymerization of CO2 with meso-Epoxides Mediated by Dinuclear Cobalt(III) Complexes: Unprecedented Enantioselectivity and Activity. Angew. Chem. Int. Ed. 2013, 52, 11594–11598. [Google Scholar] [CrossRef] [PubMed]
- Liu, L.; Ren, W.M.; He, K.K.; Lu, X.-B. Crystalline-gradient polycarbonates prepared from enantioselective terpolymerization of meso-epoxides with CO2. Nat. Commun. 2014, 5, 5687. [Google Scholar] [CrossRef] [PubMed]
- Liu, Y.; Ren, W.M.; Liu, C.; Fu, S.; Wang, M.; He, K.K.; Li, R.R.; Zhang, R.; Lu, X.B. Highly Regioselective and Alternating Copolymerization of Racemic Styrene Oxide and Carbon Dioxide via Heterogeneous Double Metal Cyanide Complex Catalyst. Macromolecules 2014, 47, 7775–7788. [Google Scholar] [CrossRef]
- Liu, Y.; Ren, W.M.; He, K.K.; Zhang, W.Z.; Li, W.B.; Wang, M.; Lu, X.B.J. CO2-Mediated Formation of Chiral Carbamates from meso-Epoxides via Polycarbonate Intermediates. Org. Chem. 2016, 81, 8959–8966. [Google Scholar] [CrossRef] [PubMed]
- Li, W.B.; Liu, Y.; Lu, X.B. Bimetallic Cobalt Complex-Mediated Enantioselective Terpolymerizations of Carbon Dioxide, Cyclohexene Oxide, and β-Butyrolactone. Organometallics 2020, 39, 1628–1633. [Google Scholar] [CrossRef]
- Emelyanov, M.A.; Stoletova, N.V.; Smolyakov, A.F.; Ilin, M.M.; Maleev, V.I.; Larionov, V.A. Synthesis and a Catalytic Study of Diastereomeric Cationic Chiral-at Cobalt Complexes Based on (R, R)-1,2-Diphenylethylenediamine. Inorg. Chem. 2021, 60, 13960–13967. [Google Scholar] [CrossRef]
- Ying, S.Y.; Ru, J.Q.; Ling, Z.S.; Wang, J.H.; Qian, Z.Q. Chiral metal-containing ionic liquid: Synthesis and applications in the enantioselective cycloaddition of carbon dioxide to epoxides. Sci. China Chem. 2011, 54, 1044. [Google Scholar]
- Zhang, S.; Huang, Y.; Jing, H.; Yao, W.; Yan, P. Chiral ionic liquids improved the asymmetric cycloaddition of CO2 to epoxides. Green Chem. 2009, 11, 935–938. [Google Scholar] [CrossRef]
- Duan, S.; Jing, X.; Li, D.; Jing, H. Catalytic asymmetric cycloaddition of CO2 to epoxides via chiral bifunctional ionic liquids. J. Mol. Catal. A 2016, 411, 34–39. [Google Scholar] [CrossRef]
- Chang, T.; Jing, H.; Jin, L.; Qiu, W. Quaternary onium tribromide catalyzed cyclic carbonate synthesis from carbon dioxide and epoxides. J. Mol. Catal. A 2007, 264, 241–247. [Google Scholar]
- Jin, L.; Huang, Y.; Jing, H.; Chang, T.; Yan, P. Chiral catalysts for the asymmetric cycloaddition of carbon dioxide with epoxides. Tetrahedron Asymmetry 2008, 19, 1947–1953. [Google Scholar] [CrossRef]
- Ren, W.-M.; Wu, G.-P.; Lin, F.; Jiang, J.-Y.; Liu, C.; Luo, Y.; Lu, X.-B. Role of the co-catalyst in the asymmetric coupling of racemic epoxides with CO2 using multichiral Co(III) complexes: Product selectivity and enantioselectivity. Chem. Sci. 2012, 3, 2094–2102. [Google Scholar] [CrossRef]
- Fu, X.; Jing, X.; Jin, L.; Zhang, L.; Zhang, X.; Hu, B.; Jing, H. Chiral basket-handle porphyrin-Co complexes for the catalyzed asymmetric cycloaddition of CO2 to epoxides. Chin. J. Catal. 2018, 39, 997–1003. [Google Scholar] [CrossRef]
- Yang, H.Q.; Chen, Z.Q. Theoretical investigation on conversion of CO2 with epoxides to cyclic carbonates by bifunctional metal-salen complexes bearing ionic liquid substituents. Mol. Catal. 2021, 511, 111733. [Google Scholar] [CrossRef]
- North, M.; Quek, S.C.Z.; Pridmore, N.E.; Whitwood, A.C.; Wu, X. Aluminum(salen) Complexes as Catalysts for the Kinetic Resolution of Terminal Epoxides via CO2 Coupling. ACS Catal. 2015, 5, 3398–3402. [Google Scholar] [CrossRef]
- Xie, S.; Gao, X.; Zhou, F.; Wu, H.; Zhou, J. Enantioselective carboxylative cyclization of propargylic alcohol with carbon dioxide under mild conditions. J. Chin. Chem Lett. 2020, 31, 324–328. [Google Scholar] [CrossRef]
- Yoshida, S.; Fukui, K.; Kikuchi, S.; Yamada, T. Silver-Catalyzed Enantioselective Carbon Dioxide Incorporation into Bispropargylic Alcohols. J. Am. Chem. Soc. 2010, 132, 4072–4073. [Google Scholar] [CrossRef]
- Esteve, F.; Porcar, R.; Bolte, M.; Altava, B.; Luis, S.V.; García-Verdugo, E. A bioinspired approach toward efficient supramolecular catalysts for CO2 conversion. Chem. Catal. 2023, 3, 100482. [Google Scholar] [CrossRef]
- Maeda, K.; Ogawa, K.; Sadanaga, K.; Takaishi, K.; Ema, T. Chiroptical and catalytic properties of doubly binaphthyl-strapped chiral porphyrins. Chem. Commun. 2019, 55, 1064–1106. [Google Scholar] [CrossRef]
- Ema, T. Chiral Bifunctional Metalloporphyrin Catalysts for Kinetic Resolution of Epoxides with Carbon Dioxide. Org. Lett. 2019, 21, 1853. [Google Scholar]
- Brunner, M.; Mußmann, L.; Vogt, D. Kinetic Resolution of Oxiranes by Use of Chiral Lewis Acid Catalysts. Synlett 1993, 12, 893–894. [Google Scholar] [CrossRef]
- Aresta, M.; Dibenedetto, A.; Gianfrate, L.; Pastore, C. Enantioselective synthesis of organic carbonates promoted by Nb(IV) and Nb(V) catalysts. Appl. Catal. A 2003, 255, 5–11. [Google Scholar] [CrossRef]
- Qin, M.J.; Larionov, V.A.; Harms, K.; Meggers, E. Kinetic Resolution of Epoxides with CO2 Catalyzed by a Chiral-at-Iridium Complex. ChemSusChem 2019, 12, 320–325. [Google Scholar] [CrossRef]
- Li, B.; Wu, G.-P.; Ren, W.-M.; Wang, Y.-M.; Rao, D.-Y.; Lu, X.-B. Asymmetric, Regio- and Stereo-Selective Alternating Copolymerization of CO2 and Propylene Oxide Catalyzed by Chiral Chromium Salan Complexes. J. Polym. Sci. Part A Polym. Chem. 2008, 46, 6102–6113. [Google Scholar] [CrossRef]
- Zhou, H.; Zhang, H.; Mu, S.; Zhang, W.Z.; Ren, W.M.; Lu, X.B. Highly regio- and stereoselective synthesis of cyclic carbonates from biomass-derived polyols via organocatalytic cascade reaction. Green Chem. 2019, 21, 6335–6341. [Google Scholar] [CrossRef]
- Schörgenhumer, J.; Tifner, M.; Waser, M. (Thio)urea containing quaternary ammonium salts for the CO2-fixation with epoxides. Monatshefte Für Chem.—Chem. Mon. 2019, 150, 789–794. [Google Scholar] [CrossRef]
- Sun, Y.L.; Wei, Y.; Shi, M. Phosphine-catalyzed fixation of CO2 with γ-hydroxyl alkynone under ambient temperature and pressure: Kinetic resolution and further conversion. Org. Chem. Front. 2019, 6, 2420. [Google Scholar] [CrossRef]
- Vara, B.A.; Struble, T.J.; Wang, W.; Dobish, M.C.; Johnston, J.N. Enantioselective Small Molecule Synthesis by Carbon Dioxide Fixation using a Dual Brønsted Acid/Base Organocatalyst. J. Am. Chem. Soc. 2015, 137, 7302–7305. [Google Scholar] [CrossRef]
- Liu, S.; Suematsu, N.; Maruoka, K.; Shirakawa, S. Design of bifunctional quaternary phosphonium salt catalysts for CO2 fixation reaction with epoxides under mild conditions. Green Chem. 2016, 18, 4611–4615. [Google Scholar] [CrossRef]
- Kazuto Takaishi, Takafumi Okuyama, Shota Kadosaki, Masanobu Uchiyama, and Tadashi Ema, Hemisquaramide Tweezers as Organocatalysts: Synthesis of Cyclic Carbonates from Epoxides and CO2. Org. Lett. 2019, 21, 1397–1401. [CrossRef] [PubMed]
- Ema, T.; Yokoyama, M.; Watanabe, S.; Sasaki, S.; Ota, H.; Takaishi, K. Chiral Macrocyclic Organocatalysts for Kinetic Resolution of Disubstituted Epoxides with Carbon Dioxide. Org. Lett. 2017, 19, 4070–4073. [Google Scholar] [CrossRef] [PubMed]
- Song, C.E.; Lee, S.G. Supported chiral catalysts on inorganic materials. Chem. Rev. 2002, 102, 3495–3524. [Google Scholar] [CrossRef] [PubMed]
- Altava, B.; Burguete, M.I.; García-Verdugo, E.; Luis, S.V. Chiral catalysts immobilized on achiral polymers: Effect of the polymer support on the performance of the catalyst. Chem. Soc. Rev. 2018, 47, 2722–2771. [Google Scholar] [CrossRef]
- Zhu, Z.; Zhang, Y.; Wang, K.; Fu, X.; Chen, F.; Jing, H. Chiral oligomers of spiro-salencobalt(III)X for catalytic asymmetric cycloaddition of epoxides with CO2. Catal. Commun. 2016, 81, 50–53. [Google Scholar] [CrossRef]
- Roy, T.; Kureshy, R.I.; Khan, N.U.H.; Abdi, S.H.R.; Bajaj, H.C. Asymmetric cycloaddition of CO2 and an epoxide using recyclable bifunctional polymeric Co(III) salen complexes under mild conditions. Catal. Sci. Technol. 2013, 3, 2661–2667. [Google Scholar] [CrossRef]
- Yan, P.; Jing, H. Catalytic Asymmetric Cycloaddition of Carbon Dioxide and Propylene Oxide Using Novel Chiral Polymers of BINOL-Salen- Cobalt(III) Salts. Adv. Synth. Catal. 2009, 351, 1325–1332. [Google Scholar] [CrossRef]
- Ren, Y.; Cheng, X.; Yang, S.; Qi, C.; Jiang, H.; Mao, Q. A chiral mixed metal–organic framework based on a Ni(saldpen) metalloligand: Synthesis, characterization and catalytic performances. Dalton Trans. 2013, 42, 9930–9937. [Google Scholar] [CrossRef]
- Li, J.; Fan, Y.; Ren, Y.; Liao, J.; Qi, C.; Jiang, H. Development of Isostructural Porphyrin–Salen Chiral Metal–Organic Frameworks through Postsynthetic Metalation Based on Single-Crystal to Single-Crystal Transformation. Inorg. Chem. 2018, 57, 1203–1212. [Google Scholar] [CrossRef]
- Han, Q.; Qi, B.; Ren, W.; He, C.; Niu, J.; Duan, C. Polyoxometalate-based homochiral metal-organic frameworks for tandem asymmetric transformation of cyclic carbonates from olefins. Nat. Commun. 2015, 6, 10007. [Google Scholar] [CrossRef]
- Guo, L.; Lamb, K.J.; North, M. Recent developments in organocatalysed transformations of epoxides and carbon dioxide into cyclic carbonates. Green Chem. 2021, 23, 77–118. [Google Scholar] [CrossRef]
- Martín, N.; Portillo, A.; Ateka, A.; Cirujano, F.G.; Oar-Arteta, L.; Aguayo, A.; Dusselier, M. MOF-derived/zeolite hybrid catalyst for the production of light olefins from CO2. ChemCatChem 2020, 12, 5750–5758. [Google Scholar] [CrossRef]
- Martín, N.; Cirujano, F.G. Multifunctional heterogeneous catalysts for the tandem CO2 hydrogenation-Fischer Tropsch synthesis of gasoline. J. CO2 Util. 2022, 65, 102176. [Google Scholar] [CrossRef]
Disclaimer/Publisher’s Note: The statements, opinions and data contained in all publications are solely those of the individual author(s) and contributor(s) and not of MDPI and/or the editor(s). MDPI and/or the editor(s) disclaim responsibility for any injury to people or property resulting from any ideas, methods, instructions or products referred to in the content. |
© 2023 by the authors. Licensee MDPI, Basel, Switzerland. This article is an open access article distributed under the terms and conditions of the Creative Commons Attribution (CC BY) license (https://creativecommons.org/licenses/by/4.0/).

















