SnO2/UV/H2O2 and TiO2/UV/H2O2 Efficiency for the Degradation of Reactive Yellow 160A: By-Product Distribution, Cytotoxicity and Mutagenicity Evaluation
Abstract
:1. Introduction
2. Materials and Methods
2.1. Reagents and Chemical
2.2. RY-160A Dye Treatment
2.3. RY-160A Dye Analysis
2.4. Toxicity Analysis
3. Results and Discussion
3.1. Effect of UV Irradiation Time on Degradation
3.2. Effect of H2O2 on Degradation
3.3. Effect of Photocatalysts Dose
3.4. Effect of Initial RY-160A Concentration
3.5. Effect of Medium pH
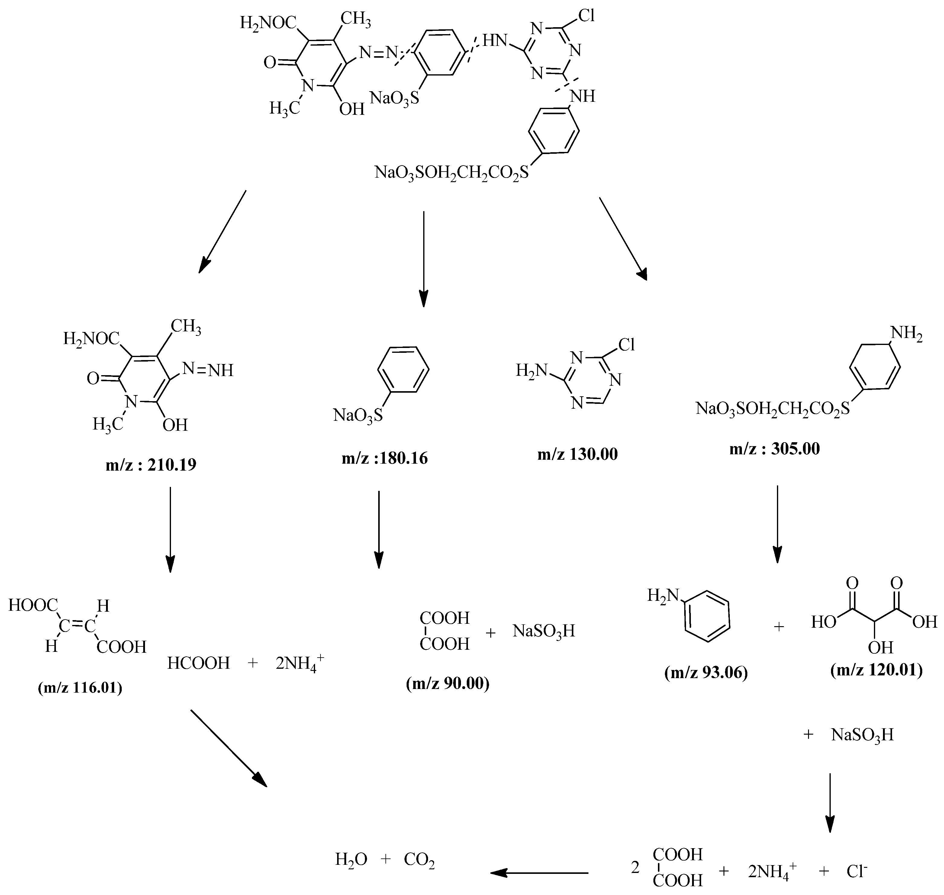
3.6. By-Products Distribution
3.7. Proposed Degradation Pathway of Reactive Yellow 160A
3.8. Effect of Treatment on Toxicity
4. Conclusions
Author Contributions
Funding
Acknowledgments
Conflicts of Interest
References
- Viswanaathan, S.; Perumal, P.K.; Sundaram, S. Integrated Approach for Carbon Sequestration and Wastewater Treatment Using Algal–Bacterial Consortia: Opportunities and Challenges. Sustainability 2022, 14, 1075. [Google Scholar] [CrossRef]
- Wong, T.P.; Babcock, R.W.; Uekawa, T.; Schneider, J.; Hu, B. Effects of Waste Activated Sludge Extracellular Polymeric Substances on Biosorption. Water 2022, 14, 218. [Google Scholar] [CrossRef]
- Starkl, M.; Brunner, N.; Das, S.; Singh, A. Sustainability Assessment for Wastewater Treatment Systems in Developing Countries. Water 2022, 14, 241. [Google Scholar] [CrossRef]
- Grillini, V.; Verlicchi, P.; Zanni, G. SWOT-SOR Analysis of Activated Carbon-Based Technologies and O3/UV Process as Polishing Treatments for Hospital Effluent. Water 2022, 14, 243. [Google Scholar] [CrossRef]
- Singh, N.; Nagpal, G.; Agrawal, S. Rachna Water purification by using Adsorbents: A Review. Environ. Technol. Innov. 2018, 11, 187–240. [Google Scholar] [CrossRef]
- Tahir, N.; Bhatti, H.N.; Iqbal, M.; Noreen, S. Biopolymers composites with peanut hull waste biomass and application for Crystal Violet adsorption. Int. J. Biol. Macromol. 2016, 94, 210–220. [Google Scholar] [CrossRef]
- Jabeen, S.; Ali, S.; Nadeem, M.; Arif, K.; Qureshi, N.; Shar, G.A.; Soomro, G.A.; Iqbal, M.; Nazir, A.; Siddiqua, U.H. Statistical Modeling for the Extraction of Dye from Natural Source and Industrial Applications. Pol. J. Environ. Stud. 2019, 28, 2145–2150. [Google Scholar] [CrossRef]
- El Haddad, M.; Regti, A.; Laamari, M.R.; Mamouni, R.; Saffaj, N. Use of Fenton reagent as advanced oxidative process for removing textile dyes from aqueous solutions. J. Mater. Environ. Sci. 2014, 5, 667–674. [Google Scholar]
- Alasadi, A.; Khaili, F.; Awwad, A. Adsorption of Cu (II), Ni (II) and Zn (II) ions by nano kaolinite: Thermodynamics and kinetics studies. Chem. Int. 2019, 5, 258–268. [Google Scholar]
- Hassen, E.B.; Asmare, A.M. Predictive performance modeling of Habesha brewery wastewater treatment plant using artificial neural networks. Chem. Int. 2019, 5, 87. [Google Scholar]
- Bokhari, T.H.; Ahmad, N.; Jilani, M.I.; Saeed, M.; Usman, M.; Haq, A.U.; Rehman, R.; Iqbal, M.; Nazir, A.; Javed, T. UV/H2O2, UV/H2O2/SnO2 and Fe/H2O2 based advanced oxidation processes for the degradation of disperse violet 63 in aqueous medium. Mater. Res. Express 2020, 7, 015531. [Google Scholar] [CrossRef]
- Karthikeyan, N.; Narayanan, V.; Stephen, A. Degradation of textile effluent using nanocomposite TiO2/SnO2 semiconductor photocatalysts. Int. J. ChemTech Res. 2015, 8, 443–449. [Google Scholar]
- Rehman, R.; Zaman, W.U.; Raza, A.; Noor, W.; Batool, A.; Maryem, H. Photocatalytic Degradation of Alizarin Red S, Amaranth, Congo Red, and Rhodamine B Dyes Using UV Light Modified Reactor and ZnO, TiO2, and SnO2 as Catalyst. J. Chem. 2021, 2021, 6655070. [Google Scholar] [CrossRef]
- Jamil, A.; Bokhari, T.H.; Javed, T.; Mustafa, R.; Sajid, M.; Noreen, S.; Zuber, M.; Nazir, A.; Iqbal, M.; Jilani, M.I. Photocatalytic degradation of disperse dye Violet-26 using TiO2 and ZnO nanomaterials and process variable optimization. J. Mater. Res. Technol. 2019, 9, 1119–1128. [Google Scholar] [CrossRef]
- Al-Hamdi, A.M.; Rinner, U.; Sillanpää, M. Tin dioxide as a photocatalyst for water treatment: A review. Process Saf. Environ. Prot. 2017, 107, 190–205. [Google Scholar] [CrossRef]
- Bedolla-Guzman, A.; Sirés, I.; Thiam, A.; Peralta-Hernández, J.M.; Gutiérrez-Granados, S.; Brillas, E. Application of anodic oxidation, electro-Fenton and UVA photoelectro-Fenton to decolorize and mineralize acidic solutions of Reactive Yellow 160 azo dye. Electrochim. Acta 2016, 206, 307–316. [Google Scholar] [CrossRef]
- Nath, K.; Patel, T.M.; Dave, H.K. Performance characteristics of surfactant treated commercial polyamide membrane in the nanofiltration of model solution of reactive yellow 160. J. Water Process Eng. 2016, 9, e27–e37. [Google Scholar] [CrossRef]
- Arshad, R.; Bokhari, T.H.; Khosa, K.K.; Bhatti, I.A.; Munir, M.; Iqbal, M.; Iqbal, D.N.; Khan, M.; Iqbal, M.; Nazir, A. Gamma radiation induced degradation of anthraquinone Reactive Blue-19 dye using hydrogen peroxide as oxidizing agent. Radiat. Phys. Chem. 2019, 168, 108637. [Google Scholar] [CrossRef]
- Sirés, I.; Brillas, E.; Oturan, M.A.; Rodrigo, M.A.; Panizza, M. Electrochemical Advanced Oxidation Processes: Today and Tomorrow. A Review. Environ. Sci. Pollut. Res. 2014, 21, 8336–8367. [Google Scholar] [CrossRef]
- Powell, W.; Catranis, C.; Maynard, C. Design of self-processing antimicrobial peptides for plant protection. Lett. Appl. Microbiol. 2000, 31, 163–168. [Google Scholar] [CrossRef]
- Iqbal, M.; Abbas, M.; Nisar, J.; Nazir, A.; Qamar, A. Bioassays based on higher plants as excellent dosimeters for ecotoxicity monitoring: A review. Chem. Int. 2019, 5, 1–80. [Google Scholar]
- Abbas, M.; Ali, A.; Arshad, M.; Atta, A.; Mehmood, Z.; Tahir, I.M.; Iqbal, M. Mutagenicity, cytotoxic and antioxidant activities of Ricinus communis different parts. Chem. Central J. 2018, 12, 3. [Google Scholar] [CrossRef] [PubMed] [Green Version]
- Gaber, M.; Abu Ghalwa, N.; Khedr, A.M.; Salem, M.F. Electrochemical degradation of reactive yellow 160 dye in real wastewater using C/PbO2−, Pb+ Sn/PbO2 + SnO2−, and Pb/PbO2 modified electrodes. J. Chem. 2013, 2013, 691763. [Google Scholar] [CrossRef] [Green Version]
- Iqbal, M.; Bhatti, I.A. Gamma radiation/H2O2 treatment of a nonylphenol ethoxylates: Degradation, cytotoxicity, and mutagenicity evaluation. J. Hazard. Mater. 2015, 299, 351–360. [Google Scholar] [CrossRef] [PubMed]
- Saquib, M.; Muneer, M. Semiconductor mediated photocatalysed degradation of an anthraquinone dye, Remazol Brilliant Blue R under sunlight and artificial light source. Dye. Pigment. 2002, 53, 237–249. [Google Scholar] [CrossRef]
- Habibi, M.H.; Hassanzadeh, A.; Mahdavi, S. The effect of operational parameters on the photocatalytic degradation of three textile azo dyes in aqueous TiO2 suspensions. J. Photochem. Photobiol. A Chem. 2005, 172, 89–96. [Google Scholar] [CrossRef]
- Bibi, I.; Nazar, N.; Iqbal, M.; Kamal, S.; Nawaz, H.; Nouren, S.; Safa, Y.; Jilani, K.; Sultan, M.; Ata, S.; et al. Green and eco-friendly synthesis of cobalt-oxide nanoparticle: Characterization and photo-catalytic activity. Adv. Powder Technol. 2017, 28, 2035–2043. [Google Scholar] [CrossRef]
- Kansal, S.K.; Singh, M.; Sud, D. Studies on photodegradation of two commercial dyes in aqueous phase using different photocatalysts. J. Hazard. Mater. 2007, 141, 581–590. [Google Scholar] [CrossRef]
- Riaz, M.; Rasool, N.; Bukhari, I.H.; Shahid, M.; Zubair, M.; Rizwan, K.; Rashid, U. In Vitro Antimicrobial, Antioxidant, Cytotoxicity and GC-MS Analysis of Mazus goodenifolius. Molecules 2012, 17, 14275–14287. [Google Scholar] [CrossRef] [Green Version]
- Sasmaz, M.; Senel, G.U.; Obek, E. Boron Bioaccumulation by the Dominant Macrophytes Grown in Various Discharge Water Environments. Bull. Environ. Contam. Toxicol. 2021, 106, 1050–1058. [Google Scholar] [CrossRef]
- Hussain, F.; Shah, S.Z.; Ahmad, H.; Abubshait, S.A.; Abubshait, H.A.; Laref, A.; Manikandan, A.; Kusuma, H.S.; Iqbal, M. Microalgae an ecofriendly and sustainable wastewater treatment option: Biomass application in biofuel and bio-fertilizer production. A review. Renew. Sustain. Energy Rev. 2020, 137, 110603. [Google Scholar] [CrossRef]
- Sasmaz, M.; Senel, G.U.; Obek, E. Strontium accumulation by the terrestrial and aquatic plants affected by mining and municipal wastewaters (Elazig, Turkey). Environ. Geochem. Health 2020, 43, 2257–2270. [Google Scholar] [CrossRef] [PubMed]
- Sasmaz, A.; Zagnitko, V.M.; Sasmaz, B. Major, trace and rare earth element (REE) geochemistry of the Oligocene stratiform manganese oxide-hydroxide deposits in the Nikopol, Ukraine. Ore Geol. Rev. 2020, 126, 103772. [Google Scholar] [CrossRef]
- Elsherif, K.M.; El-Dali, A.; Alkarewi, A.A.; Mabrok, A. Adsorption of crystal violet dye onto olive leaves powder: Equilibrium and kinetic studies. Chem. Int. 2021, 7, 79–89. [Google Scholar]
- Jalal, G.; Abbas, N.; Deeba, F.; Butt, T.; Jilal, S.; Sarfraz, S. Efficient removal of dyes in textile effluents using aluminum-based coagulants. Chem. Int. 2021, 7, 197–207. [Google Scholar]
- Noreen, M.; Shahid, M.; Iqbal, M.; Nisar, J. Measurement of cytotoxicity and heavy metal load in drains water receiving textile effluents and drinking water in vicinity of drains. Measurement 2017, 109, 88–99. [Google Scholar] [CrossRef]
- Chham, A.; Khouya, E.; Oumam, M.; Abourriche, A.; Gmouh, S.; Mansouri, S.; Elhammoudi, N.; Hanafi, N.; Hannache, H. The use of insoluble mater of Moroccan oil shale for removal of dyes from aqueous solution. Chem. Int. 2018, 4, 67–77. [Google Scholar]
- Mene, D.F.; Iwuoha, G.N. Genotoxicity and carcinogenicity of traditionally roasted meat using indicator polycyclic aromatic hydrocarbons (PAHs), Port Harcourt, Nigeria. Chem. Int. 2021, 7, 217–223. [Google Scholar]
- Daij, K.B.; Bellebia, S.; Bengharez, Z. Comparative experimental study on the COD removal in aqueous solution of pesticides by the electrocoagulation process using monopolar iron electrodes. Chem. Int. 2017, 3, 420–427. [Google Scholar]
- Minas, F.; Chandravanshi, B.S.; Leta, S. Chemical precipitation method for chromium removal and its recovery from tannery wastewater in Ethiopia. Chem. Int. 2017, 3, 392–405. [Google Scholar]
- Iqbal, M.; Nisar, J.; Adil, M.; Abbas, M.; Riaz, M.; Tahir, M.A.; Younus, M.; Shahid, M. Mutagenicity and cytotoxicity evaluation of photo-catalytically treated petroleum refinery wastewater using an array of bioassays. Chemosphere 2016, 168, 590–598. [Google Scholar] [CrossRef] [PubMed]
- Abbas, N.; Butt, M.T.; Ahmad, M.M.; Deeba, F.; Hussain, N. Phytoremediation potential of Typha latifolia and water hyacinth for removal of heavy metals from industrial wastewater. Chem. Int. 2021, 7, 103–111. [Google Scholar]












| Parameters | Reactive Yellow 160A |
|---|---|
| Molecular formula | C25H22ClNa2N9O12S3 |
| Mol. weight (g/mol) | 818.13 |
| Color Index name | Yellow 160 |
| λ-max (nm) | 432 |
| Chemical class | Azo |
| Sr. No | Structures | m/z Value | Molecular Weight | Remarks |
|---|---|---|---|---|
| 1. | ![]() | 210.08 | 210.19 | Detected |
| 2. | ![]() | 179.99 | 180.16 | Detected |
| 3. | ![]() | 116.01 | 116.06 | Not Detected |
| 4. | ![]() | 93.06 | 93.13 | Not Detected |
| 5. | ![]() | 120.01 | 120.06 | Detected |
| 6. | ![]() | 90.00 | 90.03 | Not Detected |
Publisher’s Note: MDPI stays neutral with regard to jurisdictional claims in published maps and institutional affiliations. |
© 2022 by the authors. Licensee MDPI, Basel, Switzerland. This article is an open access article distributed under the terms and conditions of the Creative Commons Attribution (CC BY) license (https://creativecommons.org/licenses/by/4.0/).
Share and Cite
Kousar, T.; Bokhari, T.H.; Altaf, A.; Haq, A.u.; Muneer, M.; Farhat, L.B.; Alwadai, N.; Alfryyan, N.; Jilani, M.I.; Iqbal, M.; et al. SnO2/UV/H2O2 and TiO2/UV/H2O2 Efficiency for the Degradation of Reactive Yellow 160A: By-Product Distribution, Cytotoxicity and Mutagenicity Evaluation. Catalysts 2022, 12, 553. https://doi.org/10.3390/catal12050553
Kousar T, Bokhari TH, Altaf A, Haq Au, Muneer M, Farhat LB, Alwadai N, Alfryyan N, Jilani MI, Iqbal M, et al. SnO2/UV/H2O2 and TiO2/UV/H2O2 Efficiency for the Degradation of Reactive Yellow 160A: By-Product Distribution, Cytotoxicity and Mutagenicity Evaluation. Catalysts. 2022; 12(5):553. https://doi.org/10.3390/catal12050553
Chicago/Turabian StyleKousar, Tasneem, Tanveer Hussain Bokhari, Awais Altaf, Atta ul Haq, Majid Muneer, Lamia Ben Farhat, Norah Alwadai, Nada Alfryyan, Muhammad Idrees Jilani, Munawar Iqbal, and et al. 2022. "SnO2/UV/H2O2 and TiO2/UV/H2O2 Efficiency for the Degradation of Reactive Yellow 160A: By-Product Distribution, Cytotoxicity and Mutagenicity Evaluation" Catalysts 12, no. 5: 553. https://doi.org/10.3390/catal12050553
APA StyleKousar, T., Bokhari, T. H., Altaf, A., Haq, A. u., Muneer, M., Farhat, L. B., Alwadai, N., Alfryyan, N., Jilani, M. I., Iqbal, M., Khan, M. I., & Khosa, M. K. (2022). SnO2/UV/H2O2 and TiO2/UV/H2O2 Efficiency for the Degradation of Reactive Yellow 160A: By-Product Distribution, Cytotoxicity and Mutagenicity Evaluation. Catalysts, 12(5), 553. https://doi.org/10.3390/catal12050553







