Infrared Thermography as an Operando Tool for the Analysis of Catalytic Processes: How to Use it?
Abstract
1. Introduction
2. Design of the Cell for Operando IR Thermography
2.1. Selection of the IR Camera
2.2. Design of the Reaction Cell
2.2.1. Selection of the Cell Window
2.2.2. Selection of the Heating System
2.2.3. Coupled Concentration Measurements
3. Design of the IR Thermography Experiments
3.1. Formulation of Heat Balances
3.2. Reaction Engineering Considerations
Estimation of Temperature Profiles in the Sabatier Reaction
3.3. Experimental Design Routine for IR Thermography Tests
Determination of Reactor Requirements
4. Examples of IR Thermography Experiments
4.1. Experimental Setup
4.2. Surface Reduction Experiments
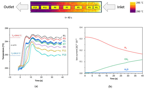
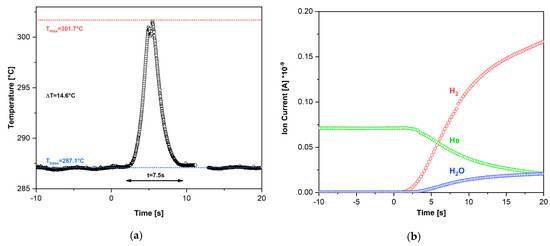
4.3. Sabatier Reaction Experiments
5. Conclusions
- The IR camera must be chosen in agreement with the temperature of the application and appropriately calibrated. Most of the IR thermography applications in catalysis require that the camera can follow a large temperature window without incurring in signal saturation problems.
- The experimental setup must fulfill both requirements of IR transparency and withstand the process pressure. As a tradeoff exists between IR transmittance and thickness of the window, the appropriate material must be selected. Several materials are appropriate to this scope and should be screened with the routines derived in Section 2 to find the most suitable one.
- The reaction cell must be heated with the appropriate system (i.e., in power control) to avoid contamination of the experimental results by external factors. Additionally, particular attention should be posed to the insulation of the system to avoid the formation of excessive temperature gradients between the two sides of the window. Several heating methods such as cartridge heaters, heating plates and IR transmitting ovens were discussed.
- The system must be able to record the effects of the chemical reaction on the catalyst temperature. This means that the oscillation of the temperature baseline must not cover the hotspot of the chemical reaction and the latter must be sufficient to compensate for the heat loss by convection and radiation.
- The system can be optimized prior to the investigation with a model based experimental design routine, so that the experimental effort is minimized by avoiding the trial and error approach. In this sense, we proposed a model-based experimental design routine in Section 3, validated with the case studies presented in this paper.
Supplementary Materials
Author Contributions
Funding
Data Availability Statement
Acknowledgments
Conflicts of Interest
References
- Frenken, J.; Groot, I. Operando Research in Heterogeneous Catalysis; Springer International Publishing AG: Cham, Switzerland, 2017; ISBN 978-3-319-44437-6. [Google Scholar]
- Ring, E.F.J. The historical development of thermometry and thermal imaging in medicine. J. Med. Eng. Technol. 2006, 30, 192–198. [Google Scholar] [CrossRef]
- Green, T.C.; Gresh, R.H.; Cochran, D.A.; Crobar, K.A.; Blass, P.M.; Ostrowski, A.D.; Campbell, D.J.; Xie, C.; Torelli, A.T. Invisibility Cloaks and Hot Reactions: Applying Infrared Thermography in the Chemistry Education Laboratory. J. Chem. Educ. 2020, 97, 710–718. [Google Scholar] [CrossRef]
- Lucchi, E. Applications of the infrared thermography in the energy audit of buildings: A review. Renew. Sustain. Energy Rev. 2018, 82, 3077–3090. [Google Scholar] [CrossRef]
- Milovanović, B.; Pečur, I.B. Review of active IR thermography for detection and characterization of defects in reinforced concrete. J. Imaging 2016, 2, 11. [Google Scholar] [CrossRef]
- Ring, F.J.; Ring, F.J. Pioneering progress in infrared imaging in medicine Pioneering progress in infrared imaging in medicine. Quant. Infrared Thermogr. J. 2014, 11, 57–65. [Google Scholar] [CrossRef]
- Razeghi, M.; Nguyen, B.M. Advances in mid-infrared detection and imaging: A key issues review. Rep. Prog. Phys. 2014, 77. [Google Scholar] [CrossRef]
- Deane, S.; Avdelidis, N.P.; Ibarra-Castanedo, C.; Zhang, H.; Nezhad, H.Y.; Williamson, A.A.; Mackley, T.; Maldague, X.; Tsourdos, A.; Nooralishahi, P. Comparison of cooled and uncooled ir sensors by means of signal-to-noise ratio for ndt diagnostics of aerospace grade composites. Sensors 2020, 20, 3381. [Google Scholar] [CrossRef] [PubMed]
- Schüler, C.; Wolf, M.; Hinrichsen, O. Contactless temperature measurements under static and dynamic reaction conditions in a single-pass fixed bed reactor for CO2 methanation. J. CO2 Util. 2018, 25, 158–169. [Google Scholar] [CrossRef]
- Gräf, I.; Rühl, A.K.; Kraushaar-Czarnetzki, B. Experimental study of heat transport in catalytic sponge packings by monitoring spatial temperature profiles in a cooled-wall reactor. Chem. Eng. J. 2014, 244, 234–242. [Google Scholar] [CrossRef]
- Türks, D.; Mena, H.; Armbruster, U.; Martin, A. Methanation of CO2 on Ni/Al2O3 in a structured fixed-bed reactor—A scale-up study. Catalysts 2017, 7, 152. [Google Scholar] [CrossRef]
- Shakir, O.; Yezerets, A.; Currier, N.W.; Epling, W.S. Spatially resolving concentration and temperature gradients during the oxidation of propylene on Pt/Al2O3. Appl. Catal. A Gen. 2009, 365, 301–308. [Google Scholar] [CrossRef]
- Simeone, M.; Salemme, L.; Menna, L. Methane autothermal reforming in a reverse flow reactor on Rh/Al2O3 catalyst. Int. J. Hydrog. Energy 2012, 37, 9049–9057. [Google Scholar] [CrossRef]
- Russell, A.; Henry, C.; Currier, N.W.; Yezerets, A.; Epling, W.S. Spatially resolved temperature and gas species concentration changes during C3H6 oxidation over a Pt/Al2O3 catalyst following sulfur exposure. Appl. Catal. A Gen. 2011, 397, 272–284. [Google Scholar] [CrossRef]
- Frey, M.; Romero, T.; Roger, A.C.; Edouard, D. Open cell foam catalysts for CO2 methanation: Presentation of coating procedures and in situ exothermicity reaction study by infrared thermography. Catal. Today 2016, 273, 83–90. [Google Scholar] [CrossRef]
- Zech, T.; Bohner, G.; Laus, O.; Klein, J.; Fischer, M. Design, fabrication, and application of a massively parallel single-bead microreactor system for high-throughput experimentation in heterogeneous catalysis. Rev. Sci. Instrum. 2005, 76. [Google Scholar] [CrossRef]
- Kopyscinski, J.; Schildhauer, T.J.; Vogel, F.; Biollaz, S.M.A.; Wokaun, A. Applying spatially resolved concentration and temperature measurements in a catalytic plate reactor for the kinetic study of CO methanation. J. Catal. 2010, 271, 262–279. [Google Scholar] [CrossRef]
- Mutschler, R.; Moioli, E.; Zhao, K.; Lombardo, L.; Oveisi, E.; Porta, A.; Falbo, L.; Visconti, C.G.; Lietti, L.; Züttel, A. Imaging Catalysis: Operando Investigation of the CO2 Hydrogenation Reaction Dynamics by Means of Infrared Thermography. ACS Catal. 2020, 10, 1721–1730. [Google Scholar] [CrossRef]
- Mutschler, R.; Moioli, E.; Züttel, A. Modelling the CO2 hydrogenation reaction over Co, Ni and Ru/Al2O3. J. Catal. 2019, 375, 193–201. [Google Scholar] [CrossRef]
- Falbo, L.; Martinelli, M.; Visconti, C.G.; Lietti, L.; Bassano, C.; Deiana, P. Kinetics of CO2 methanation on a Ru-based catalyst at process conditions relevant for Power-to-Gas applications. Appl. Catal. B Environ. 2018, 225, 354–363. [Google Scholar] [CrossRef]
- Moioli, E.; Mutschler, R.; Borsay, A.; Calizzi, M.; Züttel, A. Synthesis of grid compliant substitute natural gas from a representative biogas mixture in a hybrid Ni/Ru catalysed reactor. Chem. Eng. Sci. X 2020, 8, 100078. [Google Scholar] [CrossRef]
- Moioli, E.; Züttel, A. A model-based comparison of Ru and Ni catalysts for the Sabatier reaction. Sustain. Energy Fuels 2020, 4, 1396–1408. [Google Scholar] [CrossRef]
- Hernandez Lalinde, J.A.; Kofler, K.; Huang, X.; Kopyscinski, J. Improved kinetic data acquisition using an optically accessible catalytic plate reactor with spatially-resolved measurement techniques. Case of study: CO2 methanation. Catalysts 2018, 8, 86. [Google Scholar] [CrossRef]
- Schüler, C.; Hinrichsen, O. Entwicklung eines optisch zugänglichen Reaktors zur Thermographiemessung in einer Katalysatorschüttung. Chemie-Ingenieur-Technik 2016, 88, 1693–1702. [Google Scholar] [CrossRef]
- Frey, M.; Romero, T.; Roger, A.C.; Edouard, D. An intensification of the CO2 methanation reaction: Effect of carbon nanofiber network on the hydrodynamic, thermal and catalytic properties of reactors filled with open cell foams. Chem. Eng. Sci. 2019, 195, 271–280. [Google Scholar] [CrossRef]
- Flir Thermography Cameras. Available online: https://www.flir.eu/browse/professional-tools/thermography-cameras/ (accessed on 23 January 2021).
- InfraTech Camera Series. Available online: https://www.infratec.eu/thermography/infrared-camera/ (accessed on 23 January 2021).
- Yavorskiy, D.; Karpierz, K.; Grynberg, M.; Knap, W.; Łusakowski, J. Indium antimonide detector for spectral characterization of terahertz sources. J. Appl. Phys. 2018, 123. [Google Scholar] [CrossRef]
- Kalchmair, S.; Gansch, R.; Ahn, S.I.; Andrews, A.M.; Detz, H.; Zederbauer, T.; Mujagić, E.; Reininger, P.; Lasser, G.; Schrenk, W.; et al. Detectivity enhancement in quantum well infrared photodetectors utilizing a photonic crystal slab resonator. Opt. Express 2012, 20, 5622. [Google Scholar] [CrossRef]
- Honniball, C.I.; Wright, R.; Lucey, P.G. Spectral Response of Microbolometers for Hyperspectral Imaging. In Proceedings of the SPIE Defense + Security, Anaheim, CA, USA, 9–13 April 2017; Infrared Technology and Applications XLIII. Volume 10177. [Google Scholar] [CrossRef]
- Crystran Ltd. Barium Fluoride Properties. Available online: https://www.crystran.co.uk/optical-materials/barium-fluoride-baf2 (accessed on 23 December 2020).
- The Correct Material for Infrared (IR) Applications. Available online: https://www.edmundoptics.com/knowledge-center/application-notes/optics/the-correct-material-for-infrared-applications/ (accessed on 23 January 2021).
- Optical Materials. Available online: https://www.crystran.co.uk/optical-materials (accessed on 23 January 2021).
- Mutschler, R.; Luo, W.; Moioli, E.; Züttel, A. Fast real time and quantitative gas analysis method for the investigatiin of the CO2 reduction reaction mechanism. Rev. Sci. Instrum. 2018, 89, 114102. [Google Scholar] [CrossRef] [PubMed]
- Kimmerle, B.; Baiker, A.; Grunwaldt, J.D. Oscillatory behaviour of catalytic properties, structure and temperature during the catalytic partial oxidation of methane on Pd/Al2O 3. Phys. Chem. Chem. Phys. 2010, 12, 2288–2291. [Google Scholar] [CrossRef] [PubMed]
- Bosco, M.; Vogel, F. Optically accessible channel reactor for the kinetic investigation of hydrocarbon reforming reactions. Catal. Today 2006, 116, 348–353. [Google Scholar] [CrossRef]
- Porta, A.; Falbo, L.; Visconti, C.G.; Lietti, L.; Bassano, C.; Deiana, P. Synthesis of Ru-based catalysts for CO 2 methanation and experimental assessment of intraporous transport limitations. Catal. Today 2019, 343, 38–47. [Google Scholar] [CrossRef]
- Donazzi, A.; Livio, D.; Beretta, A.; Groppi, G.; Forzatti, P. Surface temperature profiles in CH4 CPO over honeycomb supported Rh catalyst probed with in situ optical pyrometer. Appl. Catal. A Gen. 2011, 402, 41–49. [Google Scholar] [CrossRef]
- Hernandez Lalinde, J.A.; Roongruangsree, P.; Ilsemann, J.; Bäumer, M.; Kopyscinski, J. CO2 methanation and reverse water gas shift reaction. Kinetic study based on in situ spatially-resolved measurements. Chem. Eng. J. 2020, 390, 124629. [Google Scholar] [CrossRef]
- Zhao, K.; Wang, L.; Calizzi, M.; Moioli, E.; Zuttel, A. In situ Control of the Adsorption Species in CO2 Hydrogenation: Determination of Intermediates and Byproducts. J. Phys. Chem. C 2018, 122, 20888–20893. [Google Scholar] [CrossRef]
- Zhao, K.; Wang, L.; Moioli, E.; Calizzi, M.; Züttel, A. Identifying Reaction Species by Evolutionary Fitting and Kinetic Analysis: An Example of CO2 Hydrogenation in DRIFTS. J. Phys. Chem. C 2019, 123, 8785–8792. [Google Scholar] [CrossRef]












| Detector Type | Temperature Resolution (°C) | Temperature Range (°C) | Exposure Time (ms) | Frame Rate (fps) | Approximate Spectral Detection Range (μm) |
|---|---|---|---|---|---|
| Microbolometer | 0.075 | From −20 | 12 | 60 | 7–17 |
| Indium antimonide (InSb) | 0.020 | 50 to 350 | 1 | 170 | 3–5 |
| QWIP | 0.025 | −10 to 1500 | 16 | 380 | 6–8 |
| Material | Transmitting Wavelength Range (μm) | Modulus of Rupture (RM) (MPa) | Calculated Required Thickness for Bar (mm) | Transmission at 8 μm | Transmission at 4 μm | Melting Temperature (°C) |
|---|---|---|---|---|---|---|
| BaF2 | 0.2–16 | 26.9 | 4.0 | 90% | 94% | 1386 |
| CsI | 0.6–30 | 5.6 | 7.1 | 45% | 90% | 621 |
| CaF2 | 0.2–8 | 36.5 | 2.8 | 95% | 95% | 1360 |
| Fused silica | 0.3–4 | 50 | 2.4 | 1% | 94% | 1600 |
| Ge | 3–14 | 72.4 | 2.0 | 45% | 46% | 936 |
| KBr | 0.3–26 | 1.1 | 16.1 | 90% | 90% | 730 |
| KCl | 0.5–15 | 2.3 | 11.1 | 95% | 94% | 776 |
| LiF | 0.2–6 | 11.2 | 5.1 | 45% | 95% | 848 |
| MgF2 | 0.15–8 | 49.6 | 2.4 | 75% | 95% | 1255 |
| NaCl | 0.3–18 | 2.4 | 10.9 | 90% | 90% | 801 |
| Sapphire | 0.3–6 | 448 | 0.8 | 1% | 85% | 2040 |
| Si | 2–10 | 125 | 1.5 | 1% | 47–54% | 1420 |
| ZnSe | 0.5–16 | 55 | 2.3 | 60% | 70% | 1525 |
| GaAs (material of the lens used) | 2–18 | 71.9 | 2.9 | 55% | 55% | 1511 |
Publisher’s Note: MDPI stays neutral with regard to jurisdictional claims in published maps and institutional affiliations. |
© 2021 by the authors. Licensee MDPI, Basel, Switzerland. This article is an open access article distributed under the terms and conditions of the Creative Commons Attribution (CC BY) license (http://creativecommons.org/licenses/by/4.0/).
Share and Cite
Mutschler, R.; Moioli, E. Infrared Thermography as an Operando Tool for the Analysis of Catalytic Processes: How to Use it? Catalysts 2021, 11, 311. https://doi.org/10.3390/catal11030311
Mutschler R, Moioli E. Infrared Thermography as an Operando Tool for the Analysis of Catalytic Processes: How to Use it? Catalysts. 2021; 11(3):311. https://doi.org/10.3390/catal11030311
Chicago/Turabian StyleMutschler, Robin, and Emanuele Moioli. 2021. "Infrared Thermography as an Operando Tool for the Analysis of Catalytic Processes: How to Use it?" Catalysts 11, no. 3: 311. https://doi.org/10.3390/catal11030311
APA StyleMutschler, R., & Moioli, E. (2021). Infrared Thermography as an Operando Tool for the Analysis of Catalytic Processes: How to Use it? Catalysts, 11(3), 311. https://doi.org/10.3390/catal11030311

