MRI for Predicting Response and 10-Year Outcome of Neoadjuvant Chemotherapy with or Without Additional Bevacizumab Treatment in HER2-Negative Breast Cancer
Simple Summary
Abstract
1. Introduction
2. Materials and Methods
2.1. Study Cohort
2.2. Treatment
2.3. MRI Acquisition
2.4. MRI Reading
2.5. Histopathological Analysis and Clinical Long-Term Outcome
2.6. Statistics
3. Results
3.1. Monitoring Treatment Response
3.2. Histopathology
3.3. Hormone Receptor
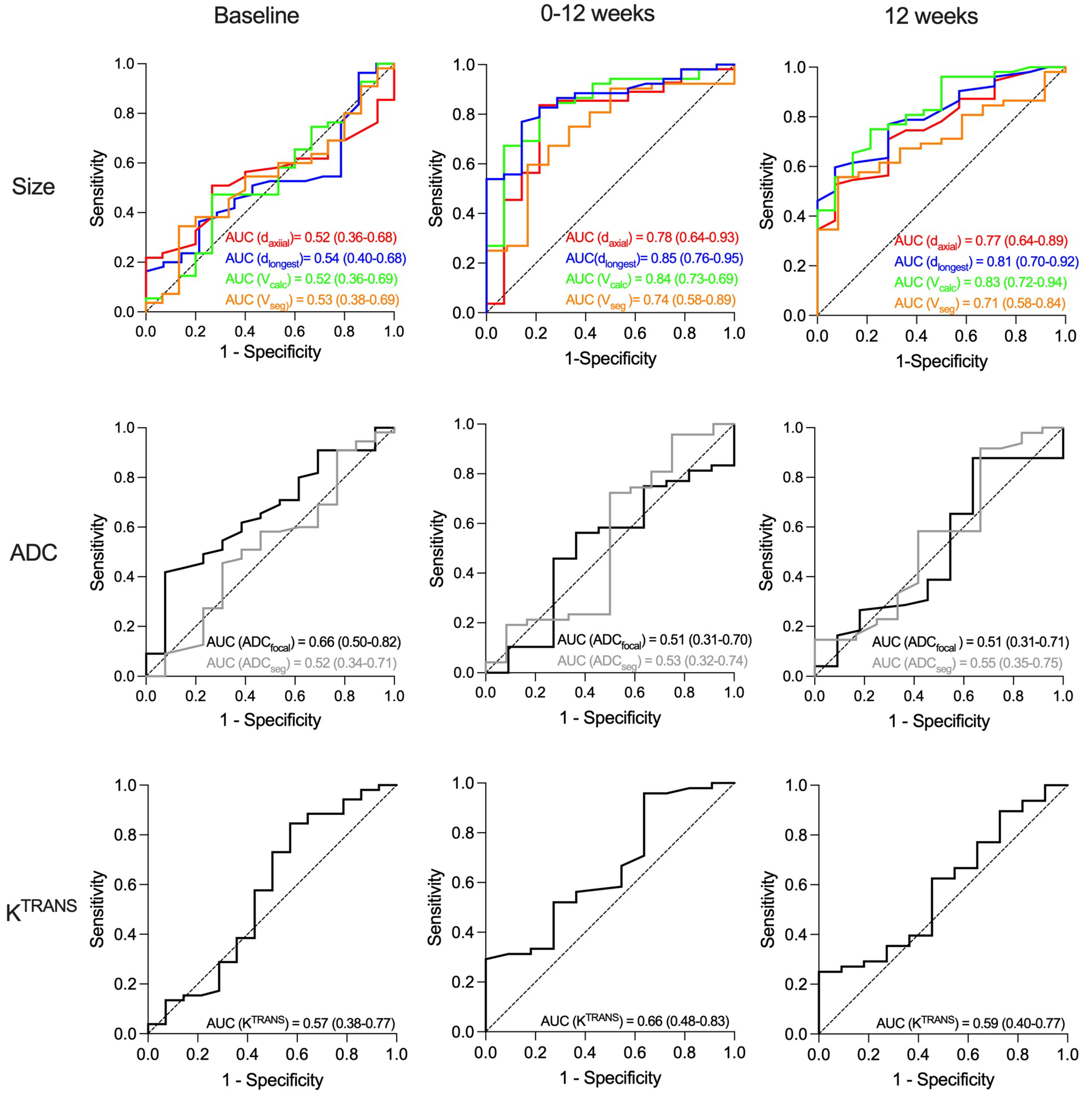
3.4. Prediction of Pathological Complete Response
3.5. Long-Term Outcome
3.6. Prediction of Long-Term Outcome
4. Discussion
5. Conclusions
Supplementary Materials
Author Contributions
Funding
Institutional Review Board Statement
Informed Consent Statement
Data Availability Statement
Acknowledgments
Conflicts of Interest
Abbreviations
| ADC | Apparent diffusion coefficient |
| ADCfocal | Apparent diffusion coefficient in focal area |
| ADCseg | Apparent diffusion coefficient in segmented area |
| AUC | Area under the curve |
| daxial | Axial diameter |
| dcc | Craniocaudal diameter |
| dortho | Orthogonal diameter |
| DCE | Dynamic contrast-enhanced |
| DWI | Diffusion-weighted imaging |
| FOV | Field of view |
| HER2 | Human epidermal growth factor 2 |
| HR | Hormone receptor |
| KTRANS | Volume transfer constant |
| KWIC | k-space weighted image contrast |
| MRI | Magnetic resonance imaging |
| NACT | Neoadjuvant chemotherapy |
| pCR | Pathological complete response |
| ROC | Receiver operating characteristic |
| SE EPI | Spin-echo echo-planar imaging |
| SPGR | Spoiled gradient-echo |
| TSE | Turbo spin-echo |
| Vcalc | Calculated volume |
| Vseg | Segmented volume |
References
- Loibl, S.; André, F.; Bachelot, T.; Barrios, C.H.; Bergh, J.; Burstein, H.J.; Cardoso, M.J.; Carey, L.A.; Dawood, S.; Del Mastro, L.; et al. Early breast cancer: ESMO Clinical Practice Guideline for diagnosis, treatment and follow-up. Ann. Oncol. 2024, 35, 159–182. [Google Scholar] [CrossRef]
- Kim, K.J.; Li, B.; Winer, J.; Armanini, M.; Gillett, N.; Phillips, H.S.; Ferrara, N. Inhibition of vascular endothelial growth factor-induced angiogenesis suppresses tumour growth in vivo. Nature 1993, 362, 841–844. [Google Scholar] [CrossRef]
- Roviello, G.; Bachelot, T.; Hudis, C.A.; Curigliano, G.; Reynolds, A.R.; Petrioli, R.; Generali, D. The role of bevacizumab in solid tumours: A literature based meta-analysis of randomised trials. Eur. J. Cancer 2017, 75, 245–258. [Google Scholar] [CrossRef]
- European Medicines Agency. European Public Assessment Report for Avastin. Available online: https://www.ema.europa.eu/en/medicines/human/EPAR/avastin (accessed on 9 April 2025).
- Sikov, W.M.; Berry, D.A.; Perou, C.M.; Singh, B.; Cirrincione, C.T.; Tolaney, S.M.; Kuzma, C.S.; Pluard, T.J.; Somlo, G.; Port, E.R.; et al. Impact of the addition of carboplatin and/or bevacizumab to neoadjuvant once-per-week paclitaxel followed by dose-dense doxorubicin and cyclophosphamide on pathologic complete response rates in stage II to III triple-negative breast cancer: CALGB 40603 (Alliance). J. Clin. Oncol. 2015, 33, 13–21. [Google Scholar] [CrossRef] [PubMed]
- Nahleh, Z.A.; Barlow, W.E.; Hayes, D.F.; Schott, A.F.; Gralow, J.R.; Sikov, W.M.; Perez, E.A.; Chennuru, S.; Mirshahidi, H.R.; Corso, S.W.; et al. SWOG S0800 (NCI CDR0000636131): Addition of bevacizumab to neoadjuvant nab-paclitaxel with dose-dense doxorubicin and cyclophosphamide improves pathologic complete response (pCR) rates in inflammatory or locally advanced breast cancer. Breast Cancer Res. Treat. 2016, 158, 485–495. [Google Scholar] [CrossRef] [PubMed]
- Bear, H.D.; Tang, G.; Rastogi, P.; Geyer, C.E., Jr.; Robidoux, A.; Atkins, J.N.; Baez-Diaz, L.; Brufsky, A.M.; Mehta, R.S.; Fehrenbacher, L.; et al. Bevacizumab added to neoadjuvant chemotherapy for breast cancer. N. Engl. J. Med. 2012, 366, 310–320. [Google Scholar] [CrossRef] [PubMed]
- Earl, H.M.; Hiller, L.; Dunn, J.A.; Blenkinsop, C.; Grybowicz, L.; Vallier, A.L.; Abraham, J.; Thomas, J.; Provenzano, E.; Hughes-Davies, L.; et al. Efficacy of neoadjuvant bevacizumab added to docetaxel followed by fluorouracil, epirubicin, and cyclophosphamide, for women with HER2-negative early breast cancer (ARTemis): An open-label, randomised, phase 3 trial. Lancet Oncol. 2015, 16, 656–666. [Google Scholar] [CrossRef]
- Silwal-Pandit, L.; Nord, S.; von der Lippe Gythfeldt, H.; Møller, E.K.; Fleischer, T.; Rødland, E.; Krohn, M.; Borgen, E.; Garred, Ø.; Olsen, T.; et al. The Longitudinal Transcriptional Response to Neoadjuvant Chemotherapy with and without Bevacizumab in Breast Cancer. Clin. Cancer Res. 2017, 23, 4662–4670. [Google Scholar] [CrossRef]
- Bear, H.D.; Tang, G.; Rastogi, P.; Geyer, C.E., Jr.; Liu, Q.; Robidoux, A.; Baez-Diaz, L.; Brufsky, A.M.; Mehta, R.S.; Fehrenbacher, L.; et al. Neoadjuvant plus adjuvant bevacizumab in early breast cancer (NSABP B-40 [NRG Oncology]): Secondary outcomes of a phase 3, randomised controlled trial. Lancet Oncol. 2015, 16, 1037–1048. [Google Scholar] [CrossRef]
- Earl, H.M.; Hiller, L.; Dunn, J.A.; Blenkinsop, C.; Grybowicz, L.; Vallier, A.L.; Gounaris, I.; Abraham, J.E.; Hughes-Davies, L.; McAdam, K.; et al. Disease-free and overall survival at 3.5 years for neoadjuvant bevacizumab added to docetaxel followed by fluorouracil, epirubicin and cyclophosphamide, for women with HER2 negative early breast cancer: ARTemis Trial. Ann. Oncol. Off. J. Eur. Soc. Med. Oncol. 2017, 28, 1817–1824. [Google Scholar] [CrossRef]
- Marinovich, M.L.; Macaskill, P.; Irwig, L.; Sardanelli, F.; Mamounas, E.; von Minckwitz, G.; Guarneri, V.; Partridge, S.C.; Wright, F.C.; Choi, J.H.; et al. Agreement between MRI and pathologic breast tumor size after neoadjuvant chemotherapy, and comparison with alternative tests: Individual patient data meta-analysis. BMC Cancer 2015, 15, 662. [Google Scholar] [CrossRef] [PubMed]
- Scheel, J.R.; Kim, E.; Partridge, S.C.; Lehman, C.D.; Rosen, M.A.; Bernreuter, W.K.; Pisano, E.D.; Marques, H.S.; Morris, E.A.; Weatherall, P.T.; et al. MRI, Clinical Examination, and Mammography for Preoperative Assessment of Residual Disease and Pathologic Complete Response After Neoadjuvant Chemotherapy for Breast Cancer: ACRIN 6657 Trial. Am. J. Roentgenol. 2018, 210, 1376–1385. [Google Scholar] [CrossRef] [PubMed]
- Marinovich, M.L.; Macaskill, P.; Irwig, L.; Sardanelli, F.; von Minckwitz, G.; Mamounas, E.; Brennan, M.; Ciatto, S.; Houssami, N. Meta-analysis of agreement between MRI and pathologic breast tumour size after neoadjuvant chemotherapy. Br. J. Cancer 2013, 109, 1528–1536. [Google Scholar] [CrossRef] [PubMed]
- Mann, R.M.; Cho, N.; Moy, L. Breast MRI: State of the Art. Radiology 2019, 292, 520–536. [Google Scholar] [CrossRef]
- Pickles, M.D.; Lowry, M.; Manton, D.J.; Gibbs, P.; Turnbull, L.W. Role of dynamic contrast enhanced MRI in monitoring early response of locally advanced breast cancer to neoadjuvant chemotherapy. Breast Cancer Res. Treat. 2005, 91, 1–10. [Google Scholar] [CrossRef]
- Pickles, M.D.; Lowry, M.; Manton, D.J.; Turnbull, L.W. Prognostic value of DCE-MRI in breast cancer patients undergoing neoadjuvant chemotherapy: A comparison with traditional survival indicators. Eur. Radiol. 2015, 25, 1097–1106. [Google Scholar] [CrossRef]
- Hylton, N.M.; Blume, J.D.; Bernreuter, W.K.; Pisano, E.D.; Rosen, M.A.; Morris, E.A.; Weatherall, P.T.; Lehman, C.D.; Newstead, G.M.; Polin, S.; et al. Locally advanced breast cancer: MR imaging for prediction of response to neoadjuvant chemotherapy--results from ACRIN 6657/I-SPY TRIAL. Radiology 2012, 263, 663–672. [Google Scholar] [CrossRef]
- Hylton, N.M.; Gatsonis, C.A.; Rosen, M.A.; Lehman, C.D.; Newitt, D.C.; Partridge, S.C.; Bernreuter, W.K.; Pisano, E.D.; Morris, E.A.; Weatherall, P.T.; et al. Neoadjuvant Chemotherapy for Breast Cancer: Functional Tumor Volume by MR Imaging Predicts Recurrence-free Survival-Results from the ACRIN 6657/CALGB 150007 I-SPY 1 TRIAL. Radiology 2016, 279, 44–55. [Google Scholar] [CrossRef]
- Reig, B.; Lewin, A.A.; Du, L.; Heacock, L.; Toth, H.K.; Heller, S.L.; Gao, Y.; Moy, L. Breast MRI for Evaluation of Response to Neoadjuvant Therapy. RadioGraphics 2021, 41, 665–679. [Google Scholar] [CrossRef]
- Padhani, A.R.; Khan, A.A. Diffusion-weighted (DW) and dynamic contrast-enhanced (DCE) magnetic resonance imaging (MRI) for monitoring anticancer therapy. Target. Oncol. 2010, 5, 39–52. [Google Scholar] [CrossRef]
- Wedam, S.B.; Low, J.A.; Yang, S.X.; Chow, C.K.; Choyke, P.; Danforth, D.; Hewitt, S.M.; Berman, A.; Steinberg, S.M.; Liewehr, D.J.; et al. Antiangiogenic and Antitumor Effects of Bevacizumab in Patients with Inflammatory and Locally Advanced Breast Cancer. J. Clin. Oncol. 2006, 24, 769–777. [Google Scholar] [CrossRef]
- Mann, R.M.; Kuhl, C.K.; Kinkel, K.; Boetes, C. Breast MRI: Guidelines from the European Society of Breast Imaging. Eur. Radiol. 2008, 18, 1307–1318. [Google Scholar] [CrossRef]
- Song, H.K.; Dougherty, L. Dynamic MRI with projection reconstruction and KWIC processing for simultaneous high spatial and temporal resolution. Magn. Reson. Med. 2004, 52, 815–824. [Google Scholar] [CrossRef] [PubMed]
- Tofts, P.S.; Brix, G.; Buckley, D.L.; Evelhoch, J.L.; Henderson, E.; Knopp, M.V.; Larsson, H.B.; Lee, T.Y.; Mayr, N.A.; Parker, G.J.; et al. Estimating kinetic parameters from dynamic contrast-enhanced T(1)-weighted MRI of a diffusable tracer: Standardized quantities and symbols. J. Magn. Reson. Imaging 1999, 10, 223–232. [Google Scholar] [CrossRef]
- Mo, T.; Brandal, S.H.B.; Geier, O.M.; Engebråten, O.; Nilsen, L.B.; Kristensen, V.N.; Hole, K.H.; Hompland, T.; Fleischer, T.; Seierstad, T. MRI Assessment of Changes in Tumor Vascularization during Neoadjuvant Anti-Angiogenic Treatment in Locally Advanced Breast Cancer Patients. Cancers 2023, 15, 4662. [Google Scholar] [CrossRef] [PubMed]
- Eisenhauer, E.A.; Therasse, P.; Bogaerts, J.; Schwartz, L.H.; Sargent, D.; Ford, R.; Dancey, J.; Arbuck, S.; Gwyther, S.; Mooney, M.; et al. New response evaluation criteria in solid tumours: Revised RECIST guideline (version 1.1). Eur. J. Cancer 2009, 45, 228–247. [Google Scholar] [CrossRef]
- Kuhl, C.K.; Mielcareck, P.; Klaschik, S.; Leutner, C.; Wardelmann, E.; Gieseke, J.; Schild, H.H. Dynamic breast MR imaging: Are signal intensity time course data useful for differential diagnosis of enhancing lesions? Radiology 1999, 211, 101–110. [Google Scholar] [CrossRef]
- Mo, T.; Brandal, S.H.B.; Köhn-Luque, A.; Engebraaten, O.; Kristensen, V.N.; Fleischer, T.; Hompland, T.; Seierstad, T. Quantification of Tumor Hypoxia through Unsupervised Modelling of Consumption and Supply Hypoxia MR Imaging in Breast Cancer. Cancers 2022, 14, 1326. [Google Scholar] [CrossRef]
- Prevos, R.; Smidt, M.L.; Tjan-Heijnen, V.C.; van Goethem, M.; Beets-Tan, R.G.; Wildberger, J.E.; Lobbes, M.B. Pre-treatment differences and early response monitoring of neoadjuvant chemotherapy in breast cancer patients using magnetic resonance imaging: A systematic review. Eur. Radiol. 2012, 22, 2607–2616. [Google Scholar] [CrossRef]
- Partridge, S.C.; Gibbs, J.E.; Lu, Y.; Esserman, L.J.; Tripathy, D.; Wolverton, D.S.; Rugo, H.S.; Hwang, E.S.; Ewing, C.A.; Hylton, N.M. MRI measurements of breast tumor volume predict response to neoadjuvant chemotherapy and recurrence-free survival. Am. J. Roentgenol. 2005, 184, 1774–1781. [Google Scholar] [CrossRef]
- Minarikova, L.; Bogner, W.; Pinker, K.; Valkovič, L.; Zaric, O.; Bago-Horvath, Z.; Bartsch, R.; Helbich, T.H.; Trattnig, S.; Gruber, S. Investigating the prediction value of multiparametric magnetic resonance imaging at 3 T in response to neoadjuvant chemotherapy in breast cancer. Eur. Radiol. 2017, 27, 1901–1911. [Google Scholar] [CrossRef] [PubMed]
- Virostko, J.; Sorace, A.G.; Slavkova, K.P.; Kazerouni, A.S.; Jarrett, A.M.; DiCarlo, J.C.; Woodard, S.; Avery, S.; Goodgame, B.; Patt, D.; et al. Quantitative multiparametric MRI predicts response to neoadjuvant therapy in the community setting. Breast Cancer Res. 2021, 23, 110. [Google Scholar] [CrossRef] [PubMed]
- Fangberget, A.; Nilsen, L.B.; Hole, K.H.; Holmen, M.M.; Engebraaten, O.; Naume, B.; Smith, H.J.; Olsen, D.R.; Seierstad, T. Neoadjuvant chemotherapy in breast cancer-response evaluation and prediction of response to treatment using dynamic contrast-enhanced and diffusion-weighted MR imaging. Eur. Radiol. 2011, 21, 1188–1199. [Google Scholar] [CrossRef] [PubMed][Green Version]
- Marinovich, M.L.; Sardanelli, F.; Ciatto, S.; Mamounas, E.; Brennan, M.; Macaskill, P.; Irwig, L.; von Minckwitz, G.; Houssami, N. Early prediction of pathologic response to neoadjuvant therapy in breast cancer: Systematic review of the accuracy of MRI. Breast 2012, 21, 669–677. [Google Scholar] [CrossRef]
- Spring, L.M.; Fell, G.; Arfe, A.; Sharma, C.; Greenup, R.; Reynolds, K.L.; Smith, B.L.; Alexander, B.; Moy, B.; Isakoff, S.J.; et al. Pathologic Complete Response after Neoadjuvant Chemotherapy and Impact on Breast Cancer Recurrence and Survival: A Comprehensive Meta-analysis. Clin. Cancer Res. 2020, 26, 2838–2848. [Google Scholar] [CrossRef]
- Álvarez-Benito, M. Imaging evaluation of neoadjuvant breast cancer treatment: Where do we stand? Eur. Radiol. 2024, 34, 6271–6272. [Google Scholar] [CrossRef]
- Surov, A.; Wienke, A.; Meyer, H.J. Pretreatment apparent diffusion coefficient does not predict therapy response to neoadjuvant chemotherapy in breast cancer. Breast 2020, 53, 59–67. [Google Scholar] [CrossRef]
- Surov, A.; Pech, M.; Meyer, H.J.; Bitencourt, A.G.V.; Fujimoto, H.; Baxter, G.C.; Santamaría, G.; Gilbert, F.J.; Wienke, A. Evaluation of pretreatment ADC values as predictors of treatment response to neoadjuvant chemotherapy in patients with breast cancer—A multicenter study. Cancer Imaging 2022, 22, 68. [Google Scholar] [CrossRef]
- Partridge, S.C.; Zhang, Z.; Newitt, D.C.; Gibbs, J.E.; Chenevert, T.L.; Rosen, M.A.; Bolan, P.J.; Marques, H.S.; Romanoff, J.; Cimino, L.; et al. Diffusion-weighted MRI Findings Predict Pathologic Response in Neoadjuvant Treatment of Breast Cancer: The ACRIN 6698 Multicenter Trial. Radiology 2018, 289, 618–627. [Google Scholar] [CrossRef]
- Hottat, N.A.; Badr, D.A.; Lecomte, S.; Besse-Hammer, T.; Jani, J.C.; Cannie, M.M. Assessment of diffusion-weighted MRI in predicting response to neoadjuvant chemotherapy in breast cancer patients. Sci. Rep. 2023, 13, 614. [Google Scholar] [CrossRef]
- Luo, N.; Ji, Y.; Huang, X.; Liu, Y.; Liu, L.; Jin, G.; Zhao, X.; Zhu, X.; Su, D. Changes in Apparent Diffusion Coefficient as Surrogate Marker for Changes in Ki-67 Index Due to Neoadjuvant Chemotherapy in Patients with Invasive Breast Cancer. Acad. Radiol. 2019, 26, 1352–1357. [Google Scholar] [CrossRef] [PubMed]
- Bedair, R.; Priest, A.N.; Patterson, A.J.; McLean, M.A.; Graves, M.J.; Manavaki, R.; Gill, A.B.; Abeyakoon, O.; Griffiths, J.R.; Gilbert, F.J. Assessment of early treatment response to neoadjuvant chemotherapy in breast cancer using non-mono-exponential diffusion models: A feasibility study comparing the baseline and mid-treatment MRI examinations. Eur. Radiol. 2017, 27, 2726–2736. [Google Scholar] [CrossRef] [PubMed]
- Pereira, N.P.; Curi, C.; Osório, C.A.B.T.; Marques, E.F.; Makdissi, F.B.; Pinker, K.; Bitencourt, A.G.V. Diffusion-Weighted Magnetic Resonance Imaging of Patients with Breast Cancer Following Neoadjuvant Chemotherapy Provides Early Prediction of Pathological Response—A Prospective Study. Sci. Rep. 2019, 9, 16372. [Google Scholar] [CrossRef] [PubMed]
- Hayes, C.; Padhani, A.R.; Leach, M.O. Assessing changes in tumour vascular function using dynamic contrast-enhanced magnetic resonance imaging. NMR Biomed. 2002, 15, 154–163. [Google Scholar] [CrossRef]
- Woolf, D.K.; Padhani, A.R.; Taylor, N.J.; Gogbashian, A.; Li, S.P.; Beresford, M.J.; Ah-See, M.L.; Stirling, J.; Collins, D.J.; Makris, A. Assessing response in breast cancer with dynamic contrast-enhanced magnetic resonance imaging: Are signal intensity-time curves adequate? Breast Cancer Res. Treat. 2014, 147, 335–343. [Google Scholar] [CrossRef]
- Liang, X.; Chen, X.; Yang, Z.; Liao, Y.; Wang, M.; Li, Y.; Fan, W.; Dai, Z.; Zhang, Y. Early prediction of pathological complete response to neoadjuvant chemotherapy combining DCE-MRI and apparent diffusion coefficient values in breast Cancer. BMC Cancer 2022, 22, 1250. [Google Scholar] [CrossRef]
- Krüger, K.; Silwal-Pandit, L.; Wik, E.; Straume, O.; Stefansson, I.M.; Borgen, E.; Garred, Ø.; Naume, B.; Engebraaten, O.; Akslen, L.A. Baseline microvessel density predicts response to neoadjuvant bevacizumab treatment of locally advanced breast cancer. Sci. Rep. 2021, 11, 3388. [Google Scholar] [CrossRef]







| Acquisition Parameters | T1W | T2W | T1W DCE | DWI |
|---|---|---|---|---|
| Pulse sequence | 2D TSE | 2D TSE | 3D SPGR | SE EPI |
| Acquisition plane | Sagittal | Transversal | Axial | Axial |
| Echo time (ms) | 9.4 | 80 | 2.59 | 69 |
| Repetition time (ms) | 666 | 4570 | 5.46 | 5200 |
| Flip angle (°) | 150 | 150 | 15 | 90 |
| Slice thickness (mm) | 4 | 3 | 1.5 | 3 |
| Slice gap (mm) | 1 | 0 | 0 | 1.5 |
| Number of excitations | 1 | 0.66 | 1 | 6 |
| Inplane resolution (mm) | 0.43 × 0.43 | 0.33 × 0.33 | 1.00 × 1.00 | 2.57 × 2.57 |
| Echo train | 5 | 17 | ||
| Bandwidth (Hz/pixel) | 220 | 220 | 460 | 1116 |
| FOV (mm) | 220 × 220 | 340 × 340 | 320 × 320 | 360 × 185 |
| Matrix size (pixel) | 512 × 512 | 512 × 512 | 320 × 320 | 140 × 72 |
| b-values (s/mm2) | 0, 50, 250, 500, 800 | |||
| Time resolution (min:s) | 0:14/1:51 | |||
| Acquisition time (min:s) | 2:23 | 4:32 | 9:25 | 7:02 |
| All | Chemotherapy-Only | Chemotherapy + Bevacizumab | p | |
|---|---|---|---|---|
| Patients | n = 70 (100%) | n = 32 (45%) | n = 38 (55%) | |
| Age (years) | 0.78 a | |||
| Minimum | 30 | 30 | 31 | |
| Maximum | 70 | 64 | 70 | |
| Median | 49.5 | 50.5 | 48.0 | |
| Tumour diameter (mm) | 0.76 b | |||
| Minimum | 29.0 | 29.0 | 29.0 | |
| Maximum | 92.0 | 92.0 | 76.0 | |
| Median | 47.0 | 47.0 | 46.5 | |
| Stage | 0.73 b | |||
| T2 | 20 (28.6) | 10 (31.3) | 10 (26.3) | |
| T3 | 46 (65.7) | 20 (62.5) | 26 (68.4) | |
| T4 | 4 (5.7) | 2 (6.2) | 2 (5.3) | |
| Histopathology | 0.71 c | |||
| IDC | 60 (85.7) | 27 (84.4) | 33 (86.8) | |
| ILC | 9 (12.9) | 4 (12.5) | 5 (13.2) | |
| IMC | 1 (1.4) | 1 (3.1) | 0 (0.0) | |
| Grade | 0.10 b | |||
| I | 6 (8.6) | 0 (0.0) | 6 (15.8) | |
| II | 49 (70.0) | 24 (75.0) | 25 (65.8) | |
| III | 15 (21.4) | 8 (25.0) | 7 (18.4) | |
| Estrogen receptor status | 1.00 c | |||
| Positive | 59 (84.3) | 27 (84.4) | 32 (84.2) | |
| Negative | 11 (15.7) | 5 (15.6) | 6 (15.8) | |
| Nodal status | 0.74 b | |||
| cN0 | 36 (51.4) | 15 (46.9) | 21 (55.3) | |
| cN1 | 5 (7.2) | 4 (12.5) | 1 (2.6) | |
| pN1 | 29 (41.4) | 13 (40.6) | 16 (42.1) |
Disclaimer/Publisher’s Note: The statements, opinions and data contained in all publications are solely those of the individual author(s) and contributor(s) and not of MDPI and/or the editor(s). MDPI and/or the editor(s) disclaim responsibility for any injury to people or property resulting from any ideas, methods, instructions or products referred to in the content. |
© 2026 by the authors. Licensee MDPI, Basel, Switzerland. This article is an open access article distributed under the terms and conditions of the Creative Commons Attribution (CC BY) license.
Share and Cite
Brandal, S.H.B.; Mo, T.; Fangberget, A.; Nilsen, L.B.; Geier, O.M.; Bjørndal, H.; Holmen, M.M.; Engebråten, O.; Garred, Ø.; Hole, K.H.; et al. MRI for Predicting Response and 10-Year Outcome of Neoadjuvant Chemotherapy with or Without Additional Bevacizumab Treatment in HER2-Negative Breast Cancer. Cancers 2026, 18, 393. https://doi.org/10.3390/cancers18030393
Brandal SHB, Mo T, Fangberget A, Nilsen LB, Geier OM, Bjørndal H, Holmen MM, Engebråten O, Garred Ø, Hole KH, et al. MRI for Predicting Response and 10-Year Outcome of Neoadjuvant Chemotherapy with or Without Additional Bevacizumab Treatment in HER2-Negative Breast Cancer. Cancers. 2026; 18(3):393. https://doi.org/10.3390/cancers18030393
Chicago/Turabian StyleBrandal, Siri Helene Bertelsen, Torgeir Mo, Anne Fangberget, Line Brennhaug Nilsen, Oliver Marcel Geier, Hilde Bjørndal, Marit Muri Holmen, Olav Engebråten, Øystein Garred, Knut Håkon Hole, and et al. 2026. "MRI for Predicting Response and 10-Year Outcome of Neoadjuvant Chemotherapy with or Without Additional Bevacizumab Treatment in HER2-Negative Breast Cancer" Cancers 18, no. 3: 393. https://doi.org/10.3390/cancers18030393
APA StyleBrandal, S. H. B., Mo, T., Fangberget, A., Nilsen, L. B., Geier, O. M., Bjørndal, H., Holmen, M. M., Engebråten, O., Garred, Ø., Hole, K. H., & Seierstad, T. (2026). MRI for Predicting Response and 10-Year Outcome of Neoadjuvant Chemotherapy with or Without Additional Bevacizumab Treatment in HER2-Negative Breast Cancer. Cancers, 18(3), 393. https://doi.org/10.3390/cancers18030393

