Lenalidomide Efficacy in Patients with MDS and Del-5q: Real-World Data from the Hellenic (Greek) National Myelodysplastic & Hypoplastic Syndromes Registry (EAKMYS)
Simple Summary
Abstract
1. Introduction
2. Patients & Methods
2.1. Statistical Analysis
2.2. Ethics Approval and Consent to Participate
3. Results
3.1. Analysis on an Intention to Treat Basis
3.2. Analysis on Evaluable Patients
3.3. Hematological Response
3.4. Predictors of Hematological Response
3.5. Changes in Hematological Parameters
3.6. Transfusion Independence
3.7. Cytogenetic Response
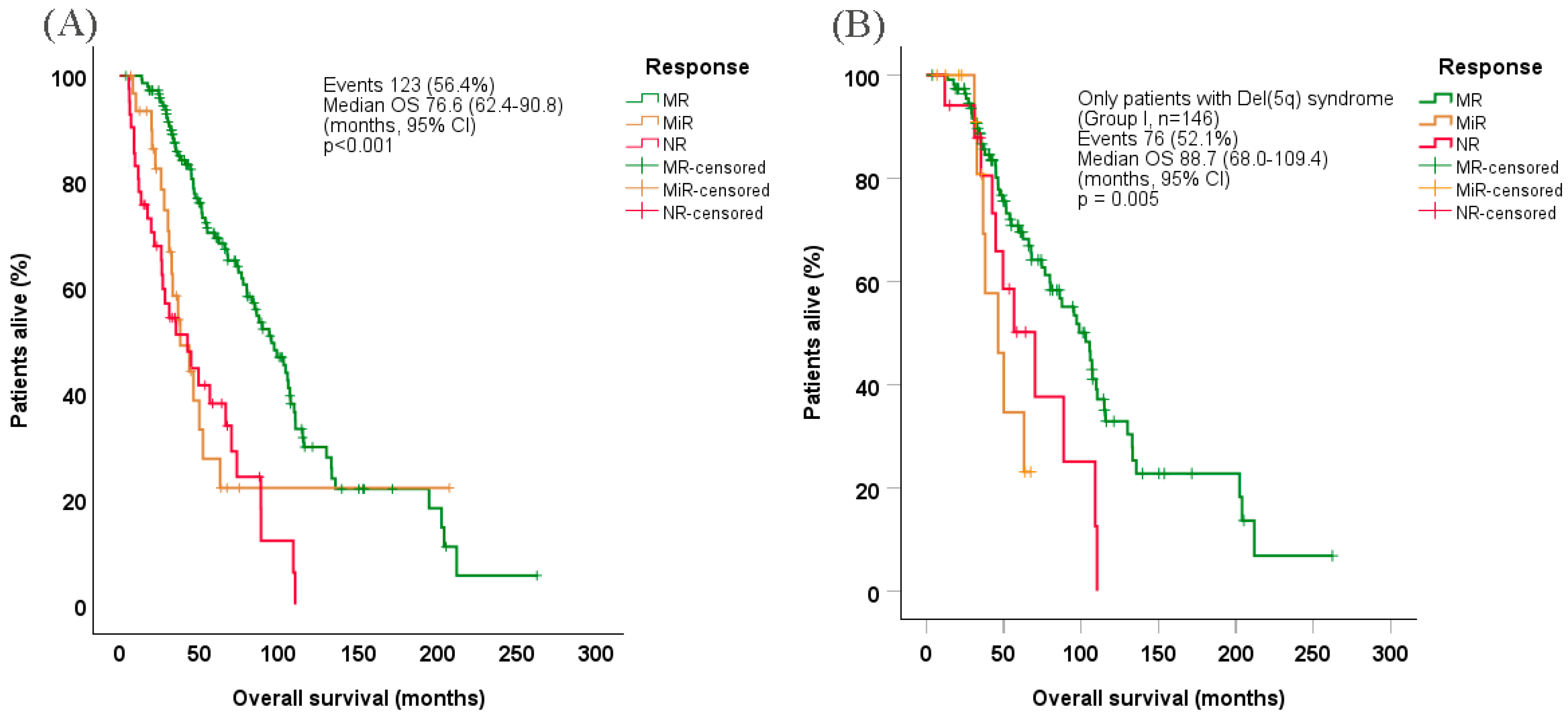
3.8. Survival
3.9. Safety
4. Discussion
Strengths and Limitations of This Study
5. Conclusions
Supplementary Materials
Author Contributions
Funding
Institutional Review Board Statement
Informed Consent Statement
Data Availability Statement
Acknowledgments
Conflicts of Interest
References
- Lee, J.-H.; List, A.; Sallman, D.A. Molecular pathogenesis of myelodysplastic syndromes with deletion 5q. Eur. J. Haematol. 2019, 102, 203–209. [Google Scholar] [CrossRef] [PubMed]
- Adema, V.; Bejar, R. What lies beyond del(5q) in myelodysplastic syndrome? Haematologica 2013, 98, 1819–1821. [Google Scholar] [CrossRef]
- Talati, C.; Sallman, D.; List, A. Lenalidomide: Myelodysplastic syndromes with del(5q) and beyond. Semin. Hematol. 2017, 54, 159–166. [Google Scholar] [CrossRef]
- Arber, D.A.; Orazi, A.; Hasserjian, R.; Thiele, J.; Borowitz, M.J.; Le Beau, M.M.; Bloomfield, C.D.; Cazzola, M.; Vardiman, J.W. The 2016 revision to the World Health Organization classification of myeloid neoplasms and acute leukemia. Blood 2016, 127, 2391–2405. [Google Scholar] [CrossRef] [PubMed]
- Arcioni, F.; Roncadori, A.; Di Battista, V.; Tura, S.; Covezzoli, A.; Cundari, S.; Mecucci, C.; MORE Study Centres. Lenalidomide treatment of myelodysplastic syndromes with chromosome 5q deletion: Results from the National Registry of the Italian Drug Agency. Eur. J. Haematol. 2018, 101, 78–85. [Google Scholar] [CrossRef] [PubMed]
- Mallo, M.; Del Rey, M.; Ibáñez, M.; Calasanz, M.J.; Arenillas, L.; Larráyoz, M.J.; Pedro, C.; Jerez, A.; Maciejewski, J.; Costa, D.; et al. Response to lenalidomide in myelodysplastic syndromes with del(5q): Influence of cytogenetics and mutations. Br. J. Haematol. 2013, 162, 74–86. [Google Scholar] [CrossRef]
- de Swart, L.; Crouch, S.; Hoeks, M.; Smith, A.; Langemeijer, S.; Fenaux, P.; Symeonidis, A.; Cermâk, J.; Hellström-Lindberg, E.; Stauder, R.; et al. Impact of red blood cell transfusion dose density on progression-free survival in patients with lower-risk myelodysplastic syndromes. Haematologica 2020, 105, 632–639. [Google Scholar] [CrossRef]
- Fenaux, P.; Santini, V.; Spiriti, M.A.A.; Giagounidis, A.; Schlag, R.; Radinoff, A.; Gercheva-Kyuchukova, L.; Anagnostopoulos, A.; Oliva, E.N.; Symeonidis, A.; et al. A phase 3 randomized, placebo-controlled study assessing the efficacy and safety of epoetin-α in anemic patients with low-risk MDS. Leukemia 2018, 32, 2648–2658. [Google Scholar] [CrossRef]
- Garelius, H.K.G.; Johnston, W.T.; Smith, A.G.; Park, S.; de Swart, L.; Fenaux, P.; Symeonidis, A.; Sanz, G.; Čermák, J.; Stauder, R.; et al. Erythropoiesis-stimulating agents significantly delay the onset of a regular transfusion need in nontransfused patients with lower-risk myelodysplastic syndrome. J. Intern. Med. 2017, 281, 284–299. [Google Scholar] [CrossRef]
- Symeonidis, A.; Zikos, P.; Galanopoulos, A.; Kotsianidis, I.; Kouraklis, A.; Terpos, E.; Protopapa, M.; Papadaki, H.; Lambropoulou, V.; Aktypi, A.; et al. Response to ESA treatment in patients with MDS: Determination of a predictive score, from a retrospective analysis of 669 patients. Leuk. Res. 2011, 35, S25. [Google Scholar] [CrossRef]
- Fenaux, P.; Giagounidis, A.; Selleslag, D.; Beyne-Rauzy, O.; Mufti, G.; Mittelman, M.; Muus, P.; Te Boekhorst, P.; Sanz, G.; Del Cañizo, C.; et al. A randomized phase 3 study of lenalidomide versus placebo in RBC transfusion-dependent patients with Low-/Intermediate-1-risk myelodysplastic syndromes with del5q. Blood 2011, 118, 3765–3776. [Google Scholar] [CrossRef]
- Pellagatti, A.; Jädersten, M.; Forsblom, A.M.; Cattan, H.; Christensson, B.; Emanuelsson, E.K.; Merup, M.; Nilsson, L.; Samuelsson, J.; Sander, B.; et al. Lenalidomide inhibits the malignant clone and up-regulates the SPARC gene mapping to the commonly deleted region in 5q- syndrome patients. Proc. Natl. Acad. Sci. USA 2007, 104, 11406–11411. [Google Scholar] [CrossRef]
- Wei, S.; Chen, X.; Rocha, K.; Epling-Burnette, P.K.; Djeu, J.Y.; Liu, Q.; Byrd, J.; Sokol, L.; Lawrence, N.; Pireddu, R.; et al. A critical role for phosphatase haplodeficiency in the selective suppression of deletion 5q MDS by lenalidomide. Proc. Natl. Acad. Sci. USA 2009, 106, 12974–12979, Erratum in: Proc. Natl. Acad. Sci. USA 2013, 110, 14504. [Google Scholar] [CrossRef] [PubMed]
- Matsuoka, A.; Tochigi, A.; Kishimoto, M.; Nakahara, T.; Kondo, T.; Tsujioka, T.; Tasaka, T.; Tohyama, Y.; Tohyama, K. Lenalidomide induces cell death in an MDS-derived cell line with deletion of chromosome 5q by inhibition of cytokinesis. Leukemia 2010, 24, 748–755. [Google Scholar] [CrossRef] [PubMed]
- Merkerova, M.D.; Krejcik, Z.; Belickova, M.; Hrustincova, A.; Klema, J.; Stara, E.; Zemanova, Z.; Michalova, K.; Cermak, J.; Jonasova, A. Genome-wide miRNA profiling in myelodysplastic syndrome with del(5q) treated with lenalidomide. Eur. J. Haematol. 2015, 95, 35–43. [Google Scholar] [CrossRef] [PubMed]
- Hickey, C.J.; Schwind, S.; Radomska, H.S.; Dorrance, A.M.; Santhanam, R.; Mishra, A.; Wu, Y.Z.; Alachkar, H.; Maharry, K.; Nicolet, D.; et al. Lenalidomide-mediated enhanced translation of C/EBPα-p30 protein up-regulates expression of the antileukemic microRNA-181a in acute myeloid leukemia. Blood 2013, 121, 159–169. [Google Scholar] [CrossRef]
- McGraw, K.L.; Basiorka, A.A.; Johnson, J.O.; Clark, J.; Caceres, G.; Padron, E.; Heaton, R.; Ozawa, Y.; Wei, S.; Sokol, L.; et al. Lenalidomide induces lipid raft assembly to enhance erythropoietin receptor signaling in myelodysplastic syndrome progenitors. PLoS ONE 2014, 9, e114249. [Google Scholar] [CrossRef]
- Revlimid|European Medicines Agency (EMA) [Internet]. 2008. Available online: https://www.ema.europa.eu/en/medicines/human/EPAR/revlimid (accessed on 2 September 2024).
- Gabala, M.R.; Besa, E.C. Myelodysplastic syndromes with 5q deletion: Pathophysiology and role of lenalidomide. Ann. Hematol. 2014, 93, 723–733. [Google Scholar] [CrossRef]
- Oliva, E.N.; Lauseker, M.; Aloe Spiriti, M.A.; Poloni, A.; Cortelezzi, A.; Palumbo, G.A.; Balleari, E.; Sanpaolo, G.; Volpe, A.; Ricco, A.; et al. Early lenalidomide treatment for low and intermediate-1 International Prognostic Scoring System risk myelodysplastic syndromes with del(5q) before transfusion dependence. Cancer Med. 2015, 4, 1789–1797. [Google Scholar] [CrossRef] [PubMed]
- Giagounidis, A.A.N.; Haase, S.; Heinsch, M.; Göhring, G.; Schlegelberger, B.; Aul, C. Lenalidomide in the context of complex karyotype or interrupted treatment: Case reviews of del(5q)MDS patients with unexpected responses. Ann. Hematol. 2007, 86, 133–137. [Google Scholar] [CrossRef]
- Mesa, R.A.; Tefferi, A.; Li, C.; Steensma, D.P. Hematologic and cytogenetic response to lenalidomide monotherapy in acute myeloid leukemia arisisng fromJAK2(V617F) positive, del(5)(q13;q33) myelodysplastic syndrome. Leukemia 2006, 20, 2063–2064. [Google Scholar] [CrossRef] [PubMed]
- Dumas, P.Y.; Pigneux, A.; Tabrizi, R.; Milpied, N. Lenalidomide induces remission and mixed quantitative chimerism fluctuations in refractory and relapsed myeloid malignancy with del (5)q. Leuk. Res. 2010, 34, e302–e303. [Google Scholar] [CrossRef]
- Xiong, B.; Liu, X.; Zou, P.; Fan, L.; Chen, W.; Li, W.; Liu, L. Efficacy of lenalidomide treatment and complete cytogenetic remission in a case of myelodysplastic syndrome with del(5q) and del(9q). Leuk. Res. 2010, 34, e169–e172. [Google Scholar] [CrossRef]
- Kasi Loknath Kumar, A.; Weckbaugh, B.; Sirridge, C.; Woodroof, J.; Persons, D.; Kambhampati, S. Myelodysplastic Syndrome with concomitant t(5;21)(q15;q22) and del(5)(q13q33): Case report and review of literature. Stem Cell Investig. 2016, 3, 3. [Google Scholar] [CrossRef]
- Liang, H.-P.; Luo, X.-C.; Zhang, Y.-L.; Liu, B. Del(5q) and inv(3) in myelodysplastic syndrome: A rare case report. World J. Clin. Cases 2022, 10, 3601–3608. [Google Scholar] [CrossRef]
- Xu, F.; Li, X.; Chang, C.; He, Q.; Zhang, Z.; Zhang, Q.; Wu, L. A delayed yet durable response to very short lenalidomide therapy and unexpected clone redistribution in a case of myelodysplastic syndrome with del(5q) and del(20q). Leuk. Res. 2009, 33, e199–e202. [Google Scholar] [CrossRef] [PubMed]
- Al-Jafar, H.A.; Al-Azmi, S.; Qassem, J.A.; Hasan, E.A.; Alduaij, A. Complete Remission of del(5q) Myelodysplastic Syndrome after 7 Days of Lenalidomide Therapy Gives an Alert! Case Rep. Oncol. 2012, 5, 586–591. [Google Scholar] [CrossRef] [PubMed]
- Cannella, L.; Latagliata, R.; Breccia, M.; Carmosino, I.; Loglisci, G.; Volpicelli, P.; Ferretti, A.; Santopietro, M.; Vozella, F.; Girmenia, C.; et al. Very short-term lenalidomide treatment associated with durable resolution of anemia in a patient with myelodysplastic syndrome with chromosome 5q deletion. Ann. Hematol. 2012, 91, 309–310. [Google Scholar] [CrossRef]
- Knop, S.; Einsele, H.; Bargou, R.; Cosgrove, D.; List, A. Adjusted dose lenalidomide is safe and effective in patients with deletion (5q) myelodysplastic syndrome and severe renal impairment. Leuk. Lymphoma 2008, 49, 346–349. [Google Scholar] [CrossRef]
- Greenberg, P.; Cox, C.; LeBeau, M.M.; Fenaux, P.; Morel, P.; Sanz, G.; Sanz, M.; Vallespi, T.; Hamblin, T.; Oscier, D.; et al. International Scoring System for Evaluating Prognosis in Myelodysplastic Syndromes. Blood 1997, 89, 2079–2088. [Google Scholar] [CrossRef]
- Greenberg, P.L.; Tuechler, H.; Schanz, J.; Sanz, G.; Garcia-Manero, G.; Solé, F.; Bennett, J.M.; Bowen, D.; Fenaux, P.; Dreyfus, F.; et al. Revised International Prognostic Scoring System for Myelodysplastic Syndromes. Blood 2012, 120, 2454–2465. [Google Scholar] [CrossRef] [PubMed]
- Della Porta, M.G.; Tuechler, H.; Malcovati, L.; Schanz, J.; Sanz, G.; Garcia-Manero, G.; Solé, F.; Bennett, J.M.; Bowen, D.; Fenaux, P.; et al. Validation of WHO classification-based Prognostic Scoring System (WPSS) for myelodysplastic syndromes and comparison with the revised International Prognostic Scoring System (IPSS-R). A study of the International Working Group for Prognosis in Myelodysplasia (IWG-PM). Leukemia 2015, 29, 1502–1513. [Google Scholar] [CrossRef]
- Cheson, B.D.; Greenberg, P.L.; Bennett, J.M.; Lowenberg, B.; Wijermans, P.W.; Nimer, S.D.; Pinto, A.; Beran, M.; de Witte, T.M.; Stone, R.M.; et al. Clinical application and proposal for modification of the International Working Group (IWG) response criteria in myelodysplasia. Blood 2006, 108, 419–425. [Google Scholar] [CrossRef]
- Platzbecker, U.; Fenaux, P.; Adès, L.; Giagounidis, A.; Santini, V.; van de Loosdrecht, A.A.; Bowen, D.; De Witte, T.; Garcia-Manero, G.; Hellström-Lindberg, E.; et al. Proposals for revised IWG 2018 hematological response criteria in patients with MDS included in clinical trials. Blood 2019, 133, 1020–1030. [Google Scholar] [CrossRef]
- Sekeres, M.A.; Gundacker, H.; Lancet, J.; Advani, A.; Petersdorf, S.; Liesveld, J.; Mulford, D.; Norwood, T.; Willman, C.L.; Appelbaum, F.R.; et al. A phase 2 study of lenalidomide monotherapy in patients with deletion 5q acute myeloid leukemia: Southwest Oncology Group Study S0605. Blood 2011, 118, 523–528. [Google Scholar] [CrossRef] [PubMed]
- Chen, Y.; Kantarjian, H.; Estrov, Z.; Faderl, S.; Ravandi, F.; Rey, K.; Cortes, J.; Borthakur, G. A phase II study of lenalidomide alone in relapsed/refractory acute myeloid leukemia or high-risk myelodysplastic syndromes with chromosome 5 abnormalities. Clin. Lymphoma Myeloma Leuk. 2012, 12, 341–344. [Google Scholar] [CrossRef] [PubMed]
- Díez-Campelo, M.; López-Cadenas, F.; Xicoy, B.; Lumbreras, E.; González, T.; Del Rey González, M.; Sánchez-García, J.; Coll Jordà, R.; Slama, B.; Hernández-Rivas, J.-Á.; et al. Low dose lenalidomide versus placebo in non-transfusion dependent patients with low risk, del(5q) myelodysplastic syndromes (SintraREV): A randomised, double-blind, phase 3 trial. Lancet Haematol. 2024, 11, e659–e670. [Google Scholar] [CrossRef]
- Defina, M.; Rondoni, M.; Gozzetti, A.; Aprile, L.; Chitarrelli, I.; Fabbri, A.; Lauria, F.; Bocchia, M. Lenalidomide on alternative days is effective in myelodysplastic syndrome with 5q- deletion. Br. J. Haematol. 2010, 148, 483–484. [Google Scholar] [CrossRef]
- Harada, H.; Watanabe, M.; Suzuki, K.; Yanagita, S.; Suzuki, T.; Yoshida, Y.; Kimura, A.; Tsudo, M.; Matsuda, A.; Tohyama, K.; et al. Lenalidomide is active in Japanese patients with symptomatic anemia in low- or intermediate-1 risk myelodysplastic syndromes with a deletion 5q abnormality. Int. J. Hematol. 2009, 90, 353–360. [Google Scholar] [CrossRef]
- Coutinho, R.; Costa, D.; Carrió, A.; Muñoz, C.; Vidal, A.; Belkaid, M.; Campo, E.; Nomdedeu, B. Response to lenalidomide in patients with myelodysplastic syndrome with deletion 5q: Clinical and cytogenetic analysis of a single centre series. Ann. Hematol. 2010, 89, 1069–1070. [Google Scholar] [CrossRef][Green Version]
- Abouyahya, I.; Alhan, C.; Westers, T.M.; te Boekhorst, P.A.; Kappers-Klunne, M.C.; Coenen, J.L.; Heyning, F.H.; Huls, G.A.; de Wolf, J.T.; Imholz, A.L.; et al. Treatment with lenalidomide in myelodysplastic syndromes with deletion 5q: Results from the Dutch named patient program. Leuk. Lymphoma 2013, 54, 874–877. [Google Scholar] [CrossRef]
- Aschauer, G.; Greil, R.; Linkesch, W.; Nösslinger, T.; Stauder, R.; Burgstaller, S.; Fiegl, M.; Fridrik, M.; Girschikofsky, M.; Keil, F.; et al. Treatment of Patients With Myelodysplastic Syndrome With Lenalidomide in Clinical Routine in Austria. Clin. Lymphoma Myeloma Leuk. 2015, 15, e143–e149. [Google Scholar] [CrossRef] [PubMed]
- Jonasova, A.; Neuwirtova, R.; Polackova, H.; Siskova, M.; Stopka, T.; Cmunt, E.; Belickova, M.; Moudra, A.; Minarik, L.; Fuchs, O.; et al. Lenalidomide treatment in lower risk myelodysplastic syndromes-The experience of a Czech hematology center. (Positive effect of erythropoietin ± prednisone addition to lenalidomide in refractory or relapsed patients). Leuk. Res. 2018, 69, 12–17. [Google Scholar] [CrossRef]
- Gurnari, C.; Piciocchi, A.; Soddu, S.; Bonanni, F.; Scalzulli, E.; Niscola, P.; Di Veroli, A.; Piccioni, A.L.; Piedimonte, M.; Maiorana, G.; et al. Myelodysplastic syndromes with del(5q): A real-life study of determinants of long-term outcomes and response to lenalidomide. Blood Cancer J. 2022, 12, 132. [Google Scholar] [CrossRef]
- Liu, D.; Xu, Z.F.; Qin, T.J.; Li, C.W.; Hu, N.B.; Pan, L.J.; Qu, S.Q.; Li, B.; Xiao, Z.J. Analysis of clinical characteristics, treatment response rate and survival of 77 myelodysplastic syndrome patients with del (5q) syndrome. Zhonghua Xue Ye Xue Za Zhi Zhonghua Xueyexue Zazhi 2019, 40, 895–900. [Google Scholar] [CrossRef]
- Le Bras, F.; Sebert, M.; Kelaidi, C.; Lamy, T.; Dreyfus, F.; Delaunay, J.; Banos, A.; Blanc, M.; Vey, N.; Schmidt, A.; et al. Treatment by Lenalidomide in lower risk myelodysplastic syndrome with 5q deletion—The GFM experience. Leuk. Res. 2011, 35, 1444–1448. [Google Scholar] [CrossRef]
- Adès, L.; Le Bras, F.; Sebert, M.; Kelaidi, C.; Lamy, T.; Dreyfus, F.; Eclache, V.; Delaunay, J.; Bouscary, D.; Visanica, S.; et al. Treatment with lenalidomide does not appear to increase the risk of progression in lower risk myelodysplastic syndromes with 5q deletion. A comparative analysis by the Groupe Francophone des Myelodysplasies. Haematologica 2012, 97, 213–218. [Google Scholar] [CrossRef] [PubMed]
- List, A.; Dewald, G.; Bennett, J.; Giagounidis, A.; Raza, A.; Feldman, E.; Powell, B.; Greenberg, P.; Thomas, D.; Stone, R.; et al. Lenalidomide in the myelodysplastic syndrome with chromosome 5q deletion. N. Engl. J. Med. 2006, 355, 1456–1465. [Google Scholar] [CrossRef] [PubMed]
- Butrym, A.; Lech-Maranda, E.; Patkowska, E.; Kumiega, B.; Bieniaszewska, M.; Mital, A.; Madry, K.; Torosian, T.; Wichary, R.; Rybka, J.; et al. Polish experience of lenalidomide in the treatment of lower risk myelodysplastic syndrome with isolated del(5q). BMC Cancer 2015, 15, 508. [Google Scholar] [CrossRef][Green Version]
- List, A.F.; Bennett, J.M.; Sekeres, M.A.; Skikne, B.; Fu, T.; Shammo, J.M.; Nimer, S.D.; Knight, R.D.; Giagounidis, A. MDS-003 Study Investigators Extended survival and reduced risk of AML progression in erythroid-responsive lenalidomide-treated patients with lower-risk del(5q) MDS. Leukemia 2014, 28, 1033–1040. [Google Scholar] [CrossRef]
- Zeidan, A.M.; Klink, A.J.; McGuire, M.; Feinberg, B. Treatment sequence of lenalidomide and hypomethylating agents and the impact on clinical outcomes for patients with myelodysplastic syndromes. Leuk. Lymphoma 2019, 60, 2050–2055. [Google Scholar] [CrossRef] [PubMed]
- Zeidan, A.M.; Al Ali, N.H.; Padron, E.; Lancet, J.; List, A.; Komrokji, R.S. Lenalidomide Treatment for Lower Risk Nondeletion 5q Myelodysplastic Syndromes Patients Yields Higher Response Rates When Used Before Azacitidine. Clin. Lymphoma Myeloma Leuk. 2015, 15, 705–710. [Google Scholar] [CrossRef] [PubMed]
- Adès, L.; Boehrer, S.; Prebet, T.; Beyne-Rauzy, O.; Legros, L.; Ravoet, C.; Dreyfus, F.; Stamatoullas, A.; Chaury, M.P.; Delaunay, J.; et al. Efficacy and safety of lenalidomide in intermediate-2 or high-risk myelodysplastic syndromes with 5q deletion: Results of a phase 2 study. Blood 2009, 113, 3947–3952. [Google Scholar] [CrossRef] [PubMed]
- Hong, J.; Lee, Y.J.; Bae, S.H.; Yi, J.H.; Park, S.; Chang, M.H.; Park, Y.H.; Hyun, S.Y.; Chung, J.-S.; Jang, J.E.; et al. Lenalidomide for anemia correction in lower-risk del(5q) myelodysplastic syndrome patients of Asian ethnicity. Blood Res. 2021, 56, 102–108. [Google Scholar] [CrossRef]
- Sekeres, M.A.; Swern, A.S.; Giagounidis, A.; List, A.F.; Selleslag, D.; Mittelman, M.; Schlegelberger, B.; Göhring, G.; Li, J.S.; Sugrue, M.M.; et al. The impact of lenalidomide exposure on response and outcomes in patients with lower-risk myelodysplastic syndromes and del(5q). Blood Cancer J. 2018, 8, 90. [Google Scholar] [CrossRef]
- Ximeri, M.; Galanopoulos, A.; Klaus, M.; Parcharidou, A.; Giannikou, K.; Psyllaki, M.; Symeonidis, A.; Pappa, V.; Kartasis, Z.; Liapi, D.; et al. Effect of lenalidomide therapy on hematopoiesis of patients with myelodysplastic syndrome associated with chromosome 5q deletion. Haematologica 2010, 95, 406–414. [Google Scholar] [CrossRef][Green Version]
- Giagounidis, A.; Mufti, G.J.; Fenaux, P.; Germing, U.; List, A.; MacBeth, K.J. Lenalidomide as a disease-modifying agent in patients with del(5q) myelodysplastic syndromes: Linking mechanism of action to clinical outcomes. Ann. Hematol. 2014, 93, 1–11. [Google Scholar] [CrossRef]
- Meggendorfer, M.; Haferlach, C.; Kern, W.; Haferlach, T. Molecular analysis of myelodysplastic syndrome with isolated deletion of the long arm of chromosome 5 reveals a specific spectrum of molecular mutations with prognostic impact: A study on 123 patients and 27 genes. Haematologica 2017, 102, 1502–1510. [Google Scholar] [CrossRef]
- Ebert, B.L.; Galili, N.; Tamayo, P.; Bosco, J.; Mak, R.; Pretz, J.; Tanguturi, S.; Ladd-Acosta, C.; Stone, R.; Golub, T.R.; et al. An erythroid differentiation signature predicts response to lenalidomide in myelodysplastic syndrome. PLoS Med. 2008, 5, e35. [Google Scholar] [CrossRef]
- Chen, C.; Bowen, D.T.; Giagounidis, A.A.N.; Schlegelberger, B.; Haase, S.; Wright, A.G. Identification of disease- and therapy-associated proteome changes in the sera of patients with myelodysplastic syndromes and del(5q). Leukemia 2010, 24, 1875–1884. [Google Scholar] [CrossRef][Green Version]
- Sánchez-García, J.; Del Cañizo, C.; Lorenzo, I.; Nomdedeu, B.; Luño, E.; de Paz, R.; Xicoy, B.; Valcárcel, D.; Brunet, S.; Marco-Betes, V.; et al. Multivariate time-dependent comparison of the impact of lenalidomide in lower-risk myelodysplastic syndromes with chromosome 5q deletion. Br. J. Haematol. 2014, 166, 189–201. [Google Scholar] [CrossRef]
- Azevedo, R.S.; Belli, C.; Bassolli, L.; Ferri, L.; Perusini, M.A.; Enrico, A.; Pereira, T.; Junior, W.; Buccheri, V.; Pinheiro, R.F.; et al. Age, Blasts, Performance Status and Lenalidomide Therapy Influence the Outcome of Myelodysplastic Syndrome With Isolated Del(5q): A Study of 58 South American Patients. Clin. Lymphoma Myeloma Leuk. 2022, 22, e1–e6. [Google Scholar] [CrossRef] [PubMed]
- Saft, L.; Karimi, M.; Ghaderi, M.; Matolcsy, A.; Mufti, G.J.; Kulasekararaj, A.; Göhring, G.; Giagounidis, A.; Selleslag, D.; Muus, P.; et al. p53 protein expression independently predicts outcome in patients with lower-risk myelodysplastic syndromes with del(5q). Haematologica 2014, 99, 1041–1049. [Google Scholar] [CrossRef] [PubMed]
- Singh, A.; Al-Kali, A.; Foran, J.M.; Elliott, M.A.; Begna, K.; Badar, T.; Khera, N.; Fleti, F.; Abdelmagid, M.; Reichard, K.K.; et al. Lenalidomide therapy for primary myelodysplastic syndromes with isolated del(5q): Determinants of response and survival in a real-world setting. Am. J. Hematol. 2022, 97, E377–E379. [Google Scholar] [CrossRef] [PubMed]
- Kuendgen, A.; Lauseker, M.; List, A.F.; Fenaux, P.; Giagounidis, A.A.; Brandenburg, N.A.; Backstrom, J.; Glasmacher, A.; Hasford, J.; Germing, U.; et al. Lenalidomide does not increase AML progression risk in RBC transfusion-dependent patients with Low- or Intermediate-1-risk MDS with del(5q): A comparative analysis. Leukemia 2013, 27, 1072–1079. [Google Scholar] [CrossRef]
- Germing, U.; Lauseker, M.; Hildebrandt, B.; Symeonidis, A.; Cermak, J.; Fenaux, P.; Kelaidi, C.; Pfeilstöcker, M.; Nösslinger, T.; Sekeres, M.; et al. Survival, prognostic factors and rates of leukemic transformation in 381 untreated patients with MDS and del(5q): A multicenter study. Leukemia 2012, 26, 1286–1292. [Google Scholar] [CrossRef]


| Group-I | Group-II | Group-III | Group-IV | Total | |
|---|---|---|---|---|---|
| WHO 2016 Classification/ Cytogenetics | 5q− Syndrome | Other MDS with Isolated Del(5)q | Del(5)q + 1 Additional Abnormality | Del(5)q + >1 Additional Abnormality | All Patients | 
| N = | 153 | 34 | 26 | 25 | 238 | 
| Female/male, N | 121/32 | 21/13 | 18/8 | 15/10 | 175/63 | 
| Female/male ratio | 3.78 | 1.58 | 2.25 | 1.50 | 2.78 | 
| Median age at diagnosis, years (range) | 74 (49–95) | 71 (48–85) | 76 (59–88) | 75 (55–82) | 74 (48–95) | 
| Median age at treatment start, years (range) | 76 (49–96) | 71 (50–86) | 76 (59–88) | 77 (55–83) | 75 (49–96) | 
| Median time from diagnosis to treatment start, months (range) | 8.6 (0.7–184.4) | 10.8 (0.8–119.9) | 8.3 (0.2–61.6) | 4.1 (1.4–110.6) | 8.1 (0.2–184.4) | 
| WHO 2016 classification, n (%) | |||||
| Del(5)q syndrome | 153 (100.0) | 0 | 0 | 0 | 153 (64.3) | 
| RA | 0 | 0 | 5 (19.2) | 0 | 5 (2.1) | 
| RCMD ± RS | 0 | 1 (2.9) | 13 (50.0) | 6 (24.0) | 20 (8.4) | 
| RAEB1 | 0 | 22 (64.7) | 6 (23.1) | 6 (24.0) | 34 (14.3) | 
| RAEB2 | 0 | 8 (23.6) | 2 (7.7) | 11 (44.0) | 21 (8.8) | 
| AML | 0 | 2 (5.9) | 0 | 1 (4.0) | 3 (1.3) | 
| CMML | 0 | 1 (2.9) | 0 | 1 (4.0) | 2 (0.8) | 
| WHO 2022 classification, n (%) | |||||
| MDS-Del(5)q | 153 (100.0) | 2 (4.9) | 18 (69.2) | 0 | 173 (72.7) | 
| MDS-LB | 0 | 0 (17.1) | 0 | 7 (28.0) | 7 (2.9) | 
| MDS-IB1 | 0 | 22 (53.7) | 6 (23.1) | 6 (24.0) | 34 (14.3) | 
| MDS-IB2 | 0 | 9 (22.0) | 2 (7.7) | 10 (40.0) | 21 (8.8) | 
| AML | 0 | 1 (2.4) | 0 | 2 (8.0) | 3 (1.3) | 
| IPSS risk group, n (%) | |||||
| Low | 128 (83.7) | 0 | 0 | 0 | 128 (53.8) | 
| Intermediate-1 | 25 (16.3) | 25 (73.5) | 23 (88.5) | 7 (28.0) | 80 (33.6) | 
| Intermediate-2 | 0 | 7 (20.6) | 1 (3.8) | 6 (24.0) | 14 (5.9) | 
| High | 0 | 2 (5.9) | 2 (7.7) | 12 (48.0) | 16 (6.7) | 
| WPSS risk group, n (%) | |||||
| Very low | 71 (46.5) | 0 | 1 (3.8) | 0 | 72 (30.3) | 
| Low | 72 (47.0) | 2 (5.9) | 6 (23.1) | 1 (4.0) | 81 (34.0) | 
| Intermediate | 10 (6.5) | 10 (29.4) | 10 (38.5) | 3 (12.0) | 33 (13.9) | 
| High | 0 | 20 (58.8) | 8 (30.8) | 8 (32.0) | 36 (15.1) | 
| Very high | 0 | 2 (5.9) | 1 (3.8) | 13 (52.0) | 16 (6.7) | 
| IPSS-R risk group, n (%) | |||||
| Very low | 23 (15.0) | 0 | 1 (3.8) | 0 | 24 (10.1) | 
| Low | 111 (72.6) | 3 (8.8) | 15 (57.7) | 0 | 129 (54.2) | 
| Intermediate | 19 (12.4) | 19 (55.9) | 5 (19.2) | 1 (4.0) | 44 (18.5) | 
| High | 0 | 10 (29.4) | 5 (19.2) | 9 (36.0) | 24 (10.1) | 
| Very high | 0 | 2 (5.9) | 0 | 15 (60.0) | 17 (7.1) | 
| No Response | Minor Response | Major Response | Overall Response | ||||||||||
|---|---|---|---|---|---|---|---|---|---|---|---|---|---|
| Group (ITT Population) | Evaluable Patients a | N | % of Eval. | % ITT | N | % of Eval. | % ITT | N | % of Eval. | % ITT | N | % of Eval. | % ITT | 
| I (n = 153) | 146 | 17 | 11.6 | 11.1 | 15 | 10.3 | 9.8 | 114 | 78.1 | 74.5 | 129 | 88.4 | 84.3 | 
| II (n = 34) | 31 | 6 | 19.4 | 17.6 | 7 | 22.6 | 20.6 | 18 | 58.1 | 50.0 | 25 | 80.6 | 73.5 | 
| III (n = 26) | 20 | 4 | 20.0 | 15.4 | 6 | 30.0 | 23.1 | 10 | 50.0 | 38.5 | 16 | 80.0 | 61.5 | 
| IV (n = 25) | 21 | 14 | 66.7 | 56.0 | 3 | 14.3 | 12.0 | 4 | 19.0 | 16.0 | 7 | 33.3 | 28.0 | 
| Total (n = 238) | 218 | 41 | 18.8 | 17.2 | 31 | 14.2 | 13.0 | 146 | 67.0 | 61.3 | 177 | 81.2 | 74.4 | 
| None (n) | Minor (n) | Major (n) | OR | 95% CI | p Value | |
|---|---|---|---|---|---|---|
| Group | ||||||
| Group-I | 17 | 114 | 1.00 | |||
| Group-II | 6 | 18 | 0.45 | 0.16–1.29 | 0.135 | |
| Group-III | 4 | 10 | 0.37 | 0.11–1.32 | 0.127 | |
| Group-IV | 14 | 4 | 0.04 | 0.01–0.15 | <0.001 | |
| Group-I | 17 | 15 | 1.00 | |||
| Group-II | 6 | 7 | 1.32 | 0.36–4.82 | 0.672 | |
| Group-III | 4 | 6 | 1.70 | 0.40–7.20 | 0.471 | |
| Group-IV | 14 | 3 | 0.24 | 0.06–1.01 | 0.052 | |
| Patients with 5q− syndrome vs. all others | ||||||
| 5q− syndrome (Group-I) | 17 | 114 | 1.00 | |||
| Other MDS with Del(5q) (Groups II + III + IV) | 24 | 32 | 0.20 | 0.10–0.42 | <0.001 | |
| 5q− syndrome (Group-I) | 17 | 15 | 1.00 | |||
| Other MDS with Del(5q) (Groups II + III + IV) | 24 | 16 | 0.76 | 0.30–1.93 | 0.559 | |
| Patients with isolated Del(5q) or +1 abnormality vs. patients with >1 additional abnormality | ||||||
| MDS with isolated Del(5q)/+1 abnormality (Groups II + III) | 10 | 28 | 1.00 | |||
| 5q− syndrome (Group-I) | 17 | 114 | 2.40 | 0.99–5.80 | 0.053 | |
| Del(5q) plus > 1 abnormality (Group-IV) | 14 | 4 | 0.10 | 0.03–0.38 | 0.001 | |
| MDS with isolated Del(5q)/+1 abnormality (Groups II + III) | 10 | 13 | 1.00 | |||
| 5q− syndrome (Group-I) | 17 | 15 | 0.68 | 0.23–1.99 | 0.481 | |
| Del(5q) plus >1 abnormality (Group-IV) | 14 | 3 | 0.17 | 0.04–0.74 | 0.018 | |
| Pre Len Tx | Post Len Tx | p | |
|---|---|---|---|
| All responded patients, N = 177 | |||
| Hb (g/dL) | 8.7 ± 1.2 | 12.7 ± 1.6 | <0.001 | 
| MCV (fL) | 103.2 ± 10.7 | 91.7 ± 9.3 | <0.001 | 
| WBC (×109/L) | 4.41 ± 1.96 | 4.72 ± 2.26 | 0.030 | 
| ANC (×109/L) | 2.26 ± 1.41 | 2.34 ± 1.40 | 0.485 | 
| ALC (×109/L) | 1.58 ± 0.63 | 1.71 ± 0.61 | 0.011 | 
| PLT (×109/L) | 262 ± 142 | 166 ± 69 | <0.001 | 
| Ferritin(ng/mL) | 498 ± 611 | 375 ± 470 | <0.001 | 
| BM blasts (%) | 3.5 ± 3.6 | 1.6 ± 1.0 | <0.001 | 
| Group-I, N = 129 | |||
| Hb (g/dL) | 8.6 ± 1.2 | 12.8 ± 1.5 | <0.001 | 
| MCV (fL) | 103.3 ± 10.6 | 91.1 ± 9.3 | <0.001 | 
| WBC (×109/L) | 4.48 ± 1.83 | 4.60 ± 1.58 | 0.456 | 
| ANC (×109/L) | 2.35 ± 1.45 | 2.29 ± 1.15 | 0.623 | 
| ALC (×109/L) | 1.58 ± 0.59 | 1.69 ± 0.59 | 0.056 | 
| PLT (×109/L) | 280 ± 149 | 172 ± 66 | <0.001 | 
| Ferritin(ng/mL) | 506 ± 668 | 336 ± 446 | <0.001 | 
| BM blasts (%) | 2.2 ± 1.2 | 1.5 ± 0.9 | <0.001 | 
| Group-II, N = 25 | |||
| Hb (g/dL) | 8.6 ± 1.2 | 12.4 ± 1.2 | <0.001 | 
| MCV (fL) | 103.2 ± 13.0 | 92.1 ± 10.5 | <0.001 | 
| WBC (×109/L) | 3.81 ± 1.94 | 4.74 ± 2.37 | 0.024 | 
| ANC (×109/L) | 1.86 ± 1.33 | 2.41 ± 1.57 | 0.038 | 
| ALC (×109/L) | 1.42 ± 0.60 | 1.66 ± 0.55 | 0.046 | 
| PLT (×109/L) | 221 ± 104 | 170 ± 84 | 0.013 | 
| Ferritin(ng/mL) | 531 ± 401 | 456 ± 520 | 0.489 | 
| BM blasts (%) | 10.5 ± 6.3 | 2.7 ± 2.5 | <0.001 | 
| Group-III, N = 16 | |||
| Hb (g/dL) | 9.0 ± 0.8 | 12.4 ± 1.9 | <0.001 | 
| MCV (fL) | 104.6 ± 6.2 | 95.3 ± 7.4 | 0.001 | 
| WBC (×109/L) | 4.24 ± 1.45 | 4.61 ± 2.05 | 0.273 | 
| ANC (×109/L) | 2.01 ± 0.94 | 2.20 ± 1.38 | 0.433 | 
| ALC (×109/L) | 1.79 ± 0.69 | 1.88 ± 0.83 | 0.472 | 
| PLT (×109/L) | 221 ± 103 | 134 ± 64 | 0.002 | 
| Ferritin(ng/mL) | 281 ± 263 | 241 ± 229 | 0.450 | 
| BM blasts (%) | 3.3 ± 2.8 | 1.2 ± 1.0 | 0.086 | 
| Group-IV, N = 7 | |||
| Hb (g/dL) | 8.6 ± 1.1 | 12.5 ± 2.5 | 0.019 | 
| MCV (fL) | 99.2 ± 10.7 | 93.1 ± 8.7 | 0.053 | 
| WBC (×109/L) | 5.34 ± 3.81 | 7.09 ± 7.01 | 0.330 | 
| ANC (×109/L) | 2.51 ± 1.46 | 3.36 ± 3.39 | 0.474 | 
| ALC (×109/L) | 1.74 ± 1.05 | 1.79 ± 0.56 | 0.895 | 
| PLT (×109/L) | 175 ± 131 | 120 ± 46 | 0.280 | 
| Ferritin(ng/mL) | 572 ± 478 | 1068 ± 548 | 0.148 | 
| BM blasts (%) | 6.8 ± 4.9 | 2.3 ± 1.6 | 0.094 | 
| Level of Transfusion Dependence | Pre-Len Treatment | Post-Len Treatment | p-Value * | ||
|---|---|---|---|---|---|
| All patients | N | % | N | % | |
| Complete | 60 | 33.9 | 0 | 0.0 | <0.001 | 
| Partial | 56 | 31.6 | 13 | 7.3 | |
| None | 61 | 34.5 | 164 | 92.6 | |
| Group-I | |||||
| Complete | 42 | 32.6 | 0 | 0.0 | <0.001 | 
| Partial | 43 | 33.3 | 8 | 6.2 | |
| None | 44 | 34.1 | 121 | 93.8 | |
| Group-II | |||||
| Complete | 10 | 40.0 | 0 | 0.0 | <0.001 | 
| Partial | 7 | 28.0 | 3 | 12.0 | |
| None | 8 | 32.0 | 22 | 88.0 | |
| Group-III | |||||
| Complete | 4 | 25.0 | 0 | 0.0 | 0.003 | 
| Partial | 6 | 37.5 | 1 | 6.3 | |
| None | 6 | 37.5 | 15 | 93.7 | |
| Group-IV | |||||
| Complete | 4 | 57.1 | 0 | 0.0 | 0.070 | 
| Partial | 0 | 0.0 | 1 | 14.3 | |
| None | 3 | 42.9 | 6 | 85.7 | |
| Factor | N | Hazard Ratio | 95% CI | p Value | 
|---|---|---|---|---|
| Older age at treatment start | 231 | 1.04 | 1.01–1.06 | 0.004 | 
| Higher MCV at baseline | 237 | 0.99 | 0.98–1.01 | 0.227 | 
| Higher WBC at baseline | 237 | 1.06 | 1.00–1.12 | 0.053 | 
| Higher BM blasts (%) at baseline | 237 | 1.13 | 1.09–1.18 | <0.001 | 
| Shorter interval from diagnosis to treatment start | 237 | 0.97 | 0.96–0.98 | <0.001 | 
| Worse WHO-defined performance status | 237 | 1.28 | 1.03–1.60 | 0.029 | 
| Type of response | 231 | |||
| Major | 141 | 1.00 | ||
| Minor | 30 | 2.35 | 1.31–4.22 | 0.004 | 
| None | 41 | 4.13 | 2.53–6.73 | <0.001 | 
| Not evaluable | 19 | 6.91 | 3.70–12.93 | <0.001 | 
| Transfusion dependence | 231 | |||
| None | 72 | 1.00 | ||
| Partial | 65 | 1.37 | 0.86–2.19 | 0.118 | 
| Complete | 94 | 1.63 | 1.02–2.60 | 0.039 | 
| Disclaimer/Publisher’s Note: The statements, opinions and data contained in all publications are solely those of the individual author(s) and contributor(s) and not of MDPI and/or the editor(s). MDPI and/or the editor(s) disclaim responsibility for any injury to people or property resulting from any ideas, methods, instructions or products referred to in the content. | 
© 2025 by the authors. Licensee MDPI, Basel, Switzerland. This article is an open access article distributed under the terms and conditions of the Creative Commons Attribution (CC BY) license (https://creativecommons.org/licenses/by/4.0/).
Share and Cite
Symeonidis, A.; Diamantopoulos, P.; Galanopoulos, A.; Kourakli, A.; Sazakli, E.; Hatzimichael, E.; Pagoni, M.; Zikos, P.; Vassilakopoulos, T.P.; Gavrilaki, E.; et al. Lenalidomide Efficacy in Patients with MDS and Del-5q: Real-World Data from the Hellenic (Greek) National Myelodysplastic & Hypoplastic Syndromes Registry (EAKMYS). Cancers 2025, 17, 1388. https://doi.org/10.3390/cancers17091388
Symeonidis A, Diamantopoulos P, Galanopoulos A, Kourakli A, Sazakli E, Hatzimichael E, Pagoni M, Zikos P, Vassilakopoulos TP, Gavrilaki E, et al. Lenalidomide Efficacy in Patients with MDS and Del-5q: Real-World Data from the Hellenic (Greek) National Myelodysplastic & Hypoplastic Syndromes Registry (EAKMYS). Cancers. 2025; 17(9):1388. https://doi.org/10.3390/cancers17091388
Chicago/Turabian StyleSymeonidis, Argiris, Panagiotis Diamantopoulos, Athanasios Galanopoulos, Alexandra Kourakli, Eleni Sazakli, Eleftheria Hatzimichael, Maria Pagoni, Panagiotis Zikos, Theodoros P. Vassilakopoulos, Eleni Gavrilaki, and et al. 2025. "Lenalidomide Efficacy in Patients with MDS and Del-5q: Real-World Data from the Hellenic (Greek) National Myelodysplastic & Hypoplastic Syndromes Registry (EAKMYS)" Cancers 17, no. 9: 1388. https://doi.org/10.3390/cancers17091388
APA StyleSymeonidis, A., Diamantopoulos, P., Galanopoulos, A., Kourakli, A., Sazakli, E., Hatzimichael, E., Pagoni, M., Zikos, P., Vassilakopoulos, T. P., Gavrilaki, E., Bouchla, A., Kioumi, A., Palla, K., Kotsianidis, I., Michali, E., Kartassis, Z., Katodritou, E., Lazaris, V., Vagia, M., ... Pappa, V., on behalf of the Hellenic [Greek] Myelodysplastic Syndromes Study Group. (2025). Lenalidomide Efficacy in Patients with MDS and Del-5q: Real-World Data from the Hellenic (Greek) National Myelodysplastic & Hypoplastic Syndromes Registry (EAKMYS). Cancers, 17(9), 1388. https://doi.org/10.3390/cancers17091388
 
        






 
       