Parental Psychological Adjustment in Pediatric Acute Lymphoblastic Leukemia: The Mediating Role of Family Functioning and Resilience
Simple Summary
Abstract
1. Introduction
- To assess changes over time in parental psychological morbidity, traumatic stress symptoms, coping strategies, family functioning and resilience, and psychological well-being while controlling for being on leave;
- To explore the mediator role of family functioning, family resilience, and coping strategies between psychological morbidity and psychological well-being;
- To explore the mediator role of family functioning, family resilience, and coping strategies between traumatic stress symptoms and psychological well-being.
2. Materials and Methods
2.1. Study Design
2.2. Participants
2.3. Instruments
2.3.1. Sociodemographic and Clinical Questionnaire
2.3.2. Psychological Well-Being Scale (PWS) [59,60]
2.3.3. Hospital Anxiety and Depression Scale (HADS) [61,62]
2.3.4. Impact of Event Scale-Revised (IES-R) [63,64]
2.3.5. Family Assessment Device–General Functioning (FAD-GF) [65,66]
2.3.6. Family Hardiness Index (FHI) [67,68]
2.3.7. Coping Health Inventory for Parents (CHIP) [69,70]
2.4. Procedure
2.5. Data Analysis
3. Results
3.1. Sample Characteristics
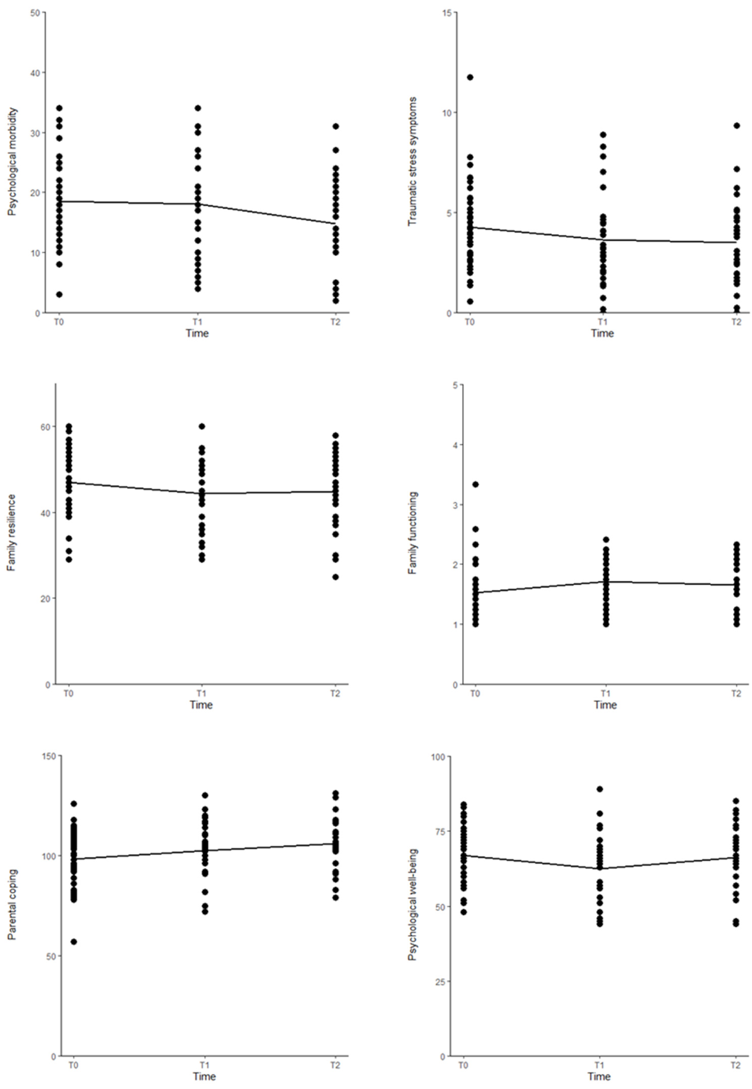
3.2. Differences over Time
3.3. Mediator Effects
4. Discussion
5. Conclusions
Author Contributions
Funding
Institutional Review Board Statement
Informed Consent Statement
Data Availability Statement
Acknowledgments
Conflicts of Interest
References
- National Cancer Institute. Acute Lymphoblastic Leukemia Treatment (PDQ®)–Health Professional Version. Available online: https://www.cancer.gov/types/leukemia/hp/adult-all-treatment-pdq (accessed on 13 January 2025).
- Beiranvand, S.; Akbari, S.; Sattari, A. Psychosocial challenges of parents with children with acute lymphoblastic leukemia. Jundishapur J. Chronic Dis. Care 2024, 13, e143257. [Google Scholar] [CrossRef]
- Öztürk, A.P.; Koç, B.; Zülfikar, B. Acute complications and survival analysis of childhood acute lymphoblastic leukemia: A 15-year experience. Clin. Lymphoma Myeloma Leuk. 2021, 21, e39–e47. [Google Scholar] [CrossRef] [PubMed]
- Hunger, S.P.; Mullighan, C.G. Acute lymphoblastic leukemia in children. N. Eng. J. Med. 2015, 373, 1541–1552. [Google Scholar] [CrossRef]
- Weischendorff, S.; de Pietri, S.; Rathe, M.; Schmiegelow, K.; Frandsen, T.L.; Petersen, M.J.; Weimann, A.; Nielsen, C.H.; Enevold, C.; Kocadag, H.B.; et al. Intestinal mucositis, systemic inflammation and bloodstream infections following high-dose methotrexate treatment in childhood acute lymphoblastic leukaemia: Comparison between the NOPHO ALL 2008 protocol and the ALLTogether1 protocol. Int. J. Cancer 2024, 156, 164–173. [Google Scholar] [CrossRef] [PubMed]
- Østergaard, A.; Enshaei, A.; Pieters, R.; Vora, A.; Horstmann, M.A.; Escherich, G.; Johansson, B.; Heyman, M.; Schmiegelow, K.; Hoogerbrugge, P.M.; et al. The prognostic effect of IKZF1 deletions in ETV6: RUNX1 and high hyperdiploid childhood acute lymphoblastic leukemia. Hemasphere 2023, 7, e875. [Google Scholar] [CrossRef] [PubMed]
- Cancer Research UK. Available online: https://www.cancerresearchuk.org/about-cancer/find-a-clinical-trial/a-study-looking-at-treatment-children-young-adults-with-newly-diagnosed-acute-lymphoblatic-leukaemia-alltogether1#undefined (accessed on 13 January 2025).
- Heyman, M. A Treatment Study Protocol for Participants 0–45 Years with Acute Lymphoblastic Leukaemia. Available online: https://clinicaltrials.gov/study/NCT04307576#study-overview (accessed on 13 January 2025).
- Sultan, S.; Leclair, T.; Rondeau, É.; Burns, W.; Abate, C. A systematic review on factors and consequences of parental distress as related to childhood cancer. Eur. J. Cancer Care 2016, 25, 616–637. [Google Scholar] [CrossRef]
- Kelly, K.P.; Wells, D.K.; Chen, L.; Reeves, E.; Mass, E.; Camitta, B.; Hinds, P.S. Caregiving demands and well-being in parents of children treated with outpatient or inpatient methotrexate infusion: A report from the Children’s Oncology Group. J. Pediatr. Hematol. Oncol. 2014, 36, 495–500. [Google Scholar] [CrossRef]
- Acute Lymphoblastic Leukemia (ALL). Available online: https://www.msdmanuals.com/en-pt/professional/hematology-and-oncology/leukemias/acute-lymphoblastic-leukemia-all (accessed on 6 November 2024).
- Price, J.; Kassam-Adams, N.; Alderfer, M.A.; Christofferson, J.; Kazak, A.E. Systematic review: A reevaluation and update of the integrative (trajectory) model of pediatric medical traumatic stress. J. Pediatr. Psychol. 2016, 41, 86–97. [Google Scholar] [CrossRef]
- Marusak, H.A.; Harper, F.W.; Taub, J.W.; Rabinak, C.A. Pediatric cancer, posttraumatic stress and fear-related neural circuitry. Int. J. Hematol. Oncol. 2019, 8, IJH17. [Google Scholar] [CrossRef] [PubMed]
- American Cancer Society. Available online: https://www.cancer.org/cancer/types/leukemia-in-children/treating/children-with-all.html (accessed on 6 November 2024).
- Pailler, M.E.; Johnson, T.M.; Kuszczak, S.; Attwood, K.M.; Zevon, M.A.; Griffiths, E.; Thompson, J.; Wang, E.S.; Wetzler, M. Adjustment to acute leukemia: The impact of social support and marital satisfaction on distress and quality of life among newly diagnosed patients and their caregivers. J. Clin. Psychol. Med. Settings 2016, 23, 298–309. [Google Scholar] [CrossRef]
- European Standards of Care for Children with Cancer. Available online: https://siope.eu/media/wp-content/uploads/2013/09/European_Standards_final_2011.pdf (accessed on 6 November 2024).
- Strauss, K.; Vicari, S.; Valeri, G.; D’Elia, L.; Arima, S.; Fava, L. Parent inclusion in early intensive behavioral intervention: The influence of parental stress, parent treatment fidelity and parent-mediated generalization of behavior targets on child outcomes. Res. Dev. Disabil. 2012, 33, 688–703. [Google Scholar] [CrossRef]
- Schepers, S.A.; Sint Nicolaas, S.M.; Maurice-Stam, H.; Haverman, L.; Verhaak, C.M.; Grootenhuis, M.A. Parental distress 6 months after a pediatric cancer diagnosis in relation to family psychosocial risk at diagnosis. Cancer 2018, 124, 381–390. [Google Scholar] [CrossRef]
- Teixeira, R.J.; Remondes-Costa, S.; Graça Pereira, M.; Brandão, T. The impact of informal cancer caregiving: A literature review on psychophysiological studies. Eur. J. Cancer Care 2019, 28, e13042. [Google Scholar] [CrossRef]
- Toledano-Toledano, F.; Luna, D.; Moral de la Rubia, J.; Martínez Valverde, S.; Bermúdez Morón, C.A.; Salazar Garcia, M.; Vasquez Pauca, M.J. Psychosocial factors predicting resilience in family caregivers of children with cancer: A cross-sectional study. Int. J. Environ. Res. Public Health 2021, 18, 748. [Google Scholar] [CrossRef] [PubMed]
- Van Warmerdam, J.; Zabih, V.; Kurdyak, P.; Sutradhar, R.; Nathan, P.C.; Gupta, S. Prevalence of anxiety, depression, and posttraumatic stress disorder in parents of children with cancer: A meta-analysis. Pediatr. Blood Cancer 2019, 66, e27677. [Google Scholar] [CrossRef] [PubMed]
- Kohlsdorf, M.; Junior, A.L.C. Psychosocial impact of pediatric cancer on parents: A literature review. Paidéia 2012, 22, 119–129. [Google Scholar] [CrossRef]
- Rensen, N.; Steur, L.; Grootenhuis, M.; Twisk, J.; van Eijkelenburg, N.; van der Sluis, I.; Dors, N.; van des Bos, C.; Tissig, W.; Kaspers, G.; et al. Parental sleep, distress, and quality of life in childhood acute lymphoblastic leukemia: A longitudinal report from diagnosis up to three years later. Cancers 2022, 14, 2779. [Google Scholar] [CrossRef] [PubMed]
- Lyu, Q.Y.; Wong, F.K.Y.; You, L.M.; Zhou, X.Z. Unmet family needs concerning healthcare services in the setting of childhood hospitalization for cancer treatment in Mainland China: A qualitative study. J. Pediatr. Nurs. 2019, 44, e66–e71. [Google Scholar] [CrossRef] [PubMed]
- Borrescio-Higa, F.; Valdés, N. The psychosocial burden of families with childhood blood cancer. Int. J. Environ. Res. Public Health 2022, 19, 599. [Google Scholar] [CrossRef] [PubMed]
- Roser, K.; Erdmann, F.; Michel, G.; Winther, J.F.; Mader, L. The impact of childhood cancer on parents’ socio-economic situation—A systematic review. Psycho Oncol. 2019, 28, 1207–1226. [Google Scholar] [CrossRef] [PubMed]
- Trisya, M.; Tjhay, F.; Hasan, S.; Widjaja, N. Factors influencing quality of life of parents with children affected by acute lymphoblastic leukemia: A study at Childhood Cancer International Foundation, Jakarta. Indones. J. Cancer 2023, 17, 299. [Google Scholar] [CrossRef]
- Toledano-Toledano, F.; Moral de la Rubia, J.; Nabors, L.A.; Domínguez-Guedea, M.T.; Salinas Escudero, G.; Rocha Perez, E.; Luna, D.; Leyva Lopez, A. Predictors of quality of life among parents of children with chronic diseases: A cross-sectional study. Healthcare 2020, 8, 456. [Google Scholar] [CrossRef] [PubMed]
- Kearney, J.A.; Salley, C.G.; Muriel, A.C. Standards of psychosocial care for parents of children with cancer. Pediatr. Blood Cancer 2015, 62, S632–S683. [Google Scholar] [CrossRef]
- Ferraz, A.; Santos, M.; Pereira, M.G. Parental distress in childhood acute lymphoblastic leukemia: A systematic review of the literature. J. Fam. Psychol. 2024, 38, 149–160. [Google Scholar] [CrossRef]
- Mader, L.; Frederiksen, L.E.; Bidstrup, P.E.; Hargreave, M.; Kjær, S.K.; Kuehni, C.E.; Nielsen, T.T.; Krøyer, A.; Winther, J.F.; Erdmann, F. Hospital contacts for psychiatric disorders in parents of children with cancer in Denmark. JNCI Cancer Spectr. 2021, 5, pkab036. [Google Scholar] [CrossRef]
- Ghaffar, R.; Ali, A.; Sarwar, H. Psychological well-being and caregiver burden of parents having child with leukemia: Psychological well-being & caregiver burden of parents. Therapist 2023, 4, 11–15. [Google Scholar] [CrossRef]
- Lou, V.W. Factors related to the psychological well-being of parents of children with leukemia in China. J. Psychosoc. Oncol. 2006, 24, 75–88. [Google Scholar] [CrossRef]
- Mohamed Mustafa, A.; Mustafa El-Ashry, N.; Mahmoud, S. Resilience and psychological wellbeing among parents of leukemic child at 57357 Hospital. Egypt. J. Health Care 2019, 10, 476–487. [Google Scholar] [CrossRef]
- Katz, L.F.; Fladeboe, K.; King, K.; Gurtovenko, K.; Kawamura, J.; Friedman, D.; Compas, B.; Gruhn, M.; Breiger, D.; Lengua, L.; et al. Trajectories of child and caregiver psychological adjustment in families of children with cancer. Health Psychol. 2018, 37, 725. [Google Scholar] [CrossRef] [PubMed]
- Vogt, A.J.; Bartels, L.; Grotzer, M.; Bodenmann, G.; Leibundgut, K.; Rössler, J.; Landolt, M.A. Posttraumatic stress symptoms in parents of children with newly diagnosed cancer: 1-year trajectories and relationship variables as predictors. J. Pediatr. Psychol. 2024, 49, 818–826. [Google Scholar] [CrossRef]
- Mezgebu, E.; Berhan, E.; Deribe, L. Predictors of resilience among parents of children with cancer: Cross-sectional study. Cancer Manag. Res. 2020, ume 12, 11611–11621. [Google Scholar] [CrossRef]
- Phipps, S.; Long, A.; Willard, V.W.; Okado, Y.; Hudson, M.; Huang, Q.; Zhang, H.; Noll, R. Parents of children with cancer: At-risk or resilient? J. Pediatr. Psychol. 2015, 40, 914–925. [Google Scholar] [CrossRef]
- Faccio, F.; Renzi, C.; Giudice, A.V.; Pravettoni, G. Family resilience in the oncology setting: Development of an integrative framework. Front. Psychol. 2018, 9, 666. [Google Scholar] [CrossRef]
- Park, M.; Choi, E.K.; Lyu, C.J.; Han, J.W.; Hahn, S.M. Family resilience factors affecting family adaptation of children with cancer: A cross-sectional study. Eur. J. Oncol. Nurs. 2022, 56, 102078. [Google Scholar] [CrossRef] [PubMed]
- Van Schoors, M.; Caes, L.; Knoble, N.B.; Goubert, L.; Verhofstadt, L.L.; Alderfer, M.A. Systematic review: Associations between family functioning and child adjustment after pediatric cancer diagnosis: A meta-analysis. J. Pediatr. Psychol. 2017, 42, 6–18. [Google Scholar] [CrossRef]
- Van Schoors, M.; De Paepe, A.L.; Norga, K.; Cosyns, V.; Morren, H.; Vercruysse, T.; Goubert, L.; Verhofstadt, L.L. Family members dealing with childhood cancer: A study on the role of family functioning and cancer appraisal. Front. Psychol. 2019, 10, 1405. [Google Scholar] [CrossRef] [PubMed]
- Kaboudi, M.; Abbasi, P.; Heidarisharaf, P.; Dehghan, F.; Ziapour, A. The effect of resilience training on the condition of style of coping and parental stress in mothers of children with leukemia. Int. J. Pediatr. 2018, 6, 7299–7310. [Google Scholar] [CrossRef]
- Habibpour, Z.; Mahmoudi, H.; Nir, M.S.; Areshtanab, H.N. Resilience and its predictors among the parents of children with cancer: A descriptive-correlational study. Indian. J. Palliat. Care 2019, 25, 79. [Google Scholar] [CrossRef]
- Halstead, E.; Ekas, N.; Hastings, R.P.; Griffith, G.M. Associations between resilience and the well-being of mothers of children with autism spectrum disorder and other developmental disabilities. J. Autism Dev. Disord. 2018, 48, 1108–1121. [Google Scholar] [CrossRef] [PubMed]
- Windle, G. What is resilience? A review and concept analysis. Rev. Clin. Gerontol. 2011, 21, 152–169. [Google Scholar] [CrossRef]
- Van Schoors, M.; Caes, L.; Verhofstadt, L.L.; Goubert, L.; Alderfer, M.A. Systematic review: Family resilience after pediatric cancer diagnosis. J. Pediatr. Psychol. 2015, 40, 856–868. [Google Scholar] [CrossRef]
- Shao, M.; Yang, H.; Du, R.; Zhang, M.; Zhu, J.; Zhang, H.; Zhu, J.; Zhang, H.; Ma, B.; Chen, C.; et al. Family resilience in cancer treatment and key influence factors: A systematic review. Eur. J. Oncol. Nurs. 2023, 66, 102403. [Google Scholar] [CrossRef] [PubMed]
- Wang, Q.; Liu, H.; Ren, Z.; Xiong, W.; He, M.; Li, N.; Fan, X.; Li, X.; Shi, H.; Zha, S.; et al. The associations of family functioning, general well-being, and exercise with mental health among end-stage renal disease patients. Psychiatry Investig. 2020, 17, 356. [Google Scholar] [CrossRef] [PubMed]
- Pai, A.L.; Greenley, R.N.; Lewandowski, A.; Drotar, D.; Youngstrom, E.; Peterson, C.C. A meta-analytic review of the influence of pediatric cancer on parent and family functioning. J. Fam. Psychol. 2007, 21, 407. [Google Scholar] [CrossRef] [PubMed]
- Van Schoors, M.; De Mol, J.; Morren, H.; Verhofstadt, L.L.; Goubert, L.; Van Parys, H. Parents’ perspectives of changes within the family functioning after a pediatric cancer diagnosis: A multi-family member interview analysis. Qual. Health Res. 2018, 28, 1229–1241. [Google Scholar] [CrossRef]
- McEvoy, B.; Creaner, M. The experiences of mothers who have a child diagnosed with cancer. Psychol. Health 2022, 37, 597–614. [Google Scholar] [CrossRef]
- Bürger Lazar, M.; Musek, J. Well-being in parents of children with cancer: The impact of parental personality, coping, and the child’s quality of life. Scand. J. Psychol. 2020, 61, 652–662. [Google Scholar] [CrossRef] [PubMed]
- Ismael, N.; Malkawi, S.; Al Awady, S.; Ismael, T. Exploring coping strategies among caregivers of children who have survived pediatric cancer in Jordan. BMJ Paediatr. Open 2024, 8, e002453. [Google Scholar] [CrossRef]
- Van Schoors, M.; De Paepe, A.L.; Lemiere, J.; Morez, A.; Norga, K.; Lambrecht, K.; Goubert, L.; Verhofstadt, L.L. Family adjustment when facing pediatric cancer: The role of parental psychological flexibility, dyadic coping, and network support. Front. Psychol. 2019, 10, 2740. [Google Scholar] [CrossRef]
- Prates, P.E.G.; Correa-Júnior, A.J.S.; Russo, T.M.D.S.; Paraizo-Horvath, C.M.S.; Teles, A.A.D.S.; Sonobe, H.M. Effectiveness of family coping interventions in improving problem-solving skills in the care of children and adolescent cancer survivors during and after treatment: A scoping review. Nurs. Rep. 2024, 14, 2153–2178. [Google Scholar] [CrossRef] [PubMed]
- Fisher, C.L.; Mullis, M.D.; Kastrinos, A.; Wollney, E.; Weiss, E.S.; Sae-Hau, M.; Bylund, C.L. “Home wasn’t really home anymore”: Understanding caregivers’ perspectives of the impact of blood cancer caregiving on the family system. Support. Care Cancer 2021, 29, 3069–3076. [Google Scholar] [CrossRef] [PubMed]
- Livneh, H. Psychosocial adaptation to chronic illness and disability. Rehabil. Couns. Bull. 2001, 44, 151–160. [Google Scholar] [CrossRef]
- Ryff, C.D.; Keyes, C.L.M. The structure of psychological well-being revisited. J. Pers. Soc. Psychol. 1995, 69, 719–727. [Google Scholar] [CrossRef] [PubMed]
- Fernandes, H.M.; Vasconcelos-Raposo, J.; Teixeira, C.M. Preliminary analysis of the psychometric properties of Ryff’s scales of psychological well-being in Portuguese adolescents. Span. J. Psychol. 2010, 13, 1032–1043. [Google Scholar] [CrossRef]
- Zigmond, A.S.; Snaith, R.P. The Hospital and Anxiety and Depression Scale. Acta Psychiatr. Scand. 1983, 7, 361–370. [Google Scholar] [CrossRef] [PubMed]
- Pais-Ribeiro, J.; Silva, I.; Ferreira, T.; Martins, A.; Meneses, R.; Baltar, M. Validation study of a Portuguese version of the Hospital Anxiety and Depression Scale. Psychol. Health Med. 2007, 12, 225–237. [Google Scholar] [CrossRef] [PubMed]
- Weiss, D.S.; Marmar, C.R. The Impact of Event Scale-Revised. In Assessing Psychological Trauma and PTSD; Wilson, J., Keane, T.M., Eds.; Guilford Press: New York, NY, USA, 1997; pp. 399–411. [Google Scholar]
- Pereira, M.; Figueiredo, A. Depressão, ansiedade e stress pós-traumático em doentes com cancro colo-rectal. Validação do Hospital Anxiety and Depression Scale (HADS) e Impact of Events Scale (IES) numa amostra de doentes oncológicos. Onco News 2008, 5, 11–19. [Google Scholar]
- Epstein, N.B.; Baldwin, L.M.; Bishop, D.S. The McMaster family assessment device. J. Marital. Fam. Ther. 1983, 9, 171–180. [Google Scholar] [CrossRef]
- Almeida, A.C.; Leandro, M.E.; Pereira, M.G. Psychometric properties of the Portuguese adaptation of General Functioning of Family Assessment Device: A comparative study. Fam. Syst. Health 2020, 38, 162–171. [Google Scholar] [CrossRef]
- McCubbin, M.A.; McCubbin, H.; Thompson, A. Family Hardiness Index (FHI). In Family Assessment: Resiliency, Coping and Adaptation—Inventories for Research and Practice; McCubbin, H.I., Thompson, A.I., McCubbin, M.A., Eds.; University of Wisconsin System: Madison, WI, USA, 1986; pp. 274–338. [Google Scholar]
- Cunha, A.I.; Major, S.; Relvas, A.P. Family Hardiness Index (FHI). In Avaliação Familiar: Vulnerabilidade, Stress e Adaptação; Imprensa da Universidade de Coimbra: Coimbra, Portugal, 2016; pp. 63–80. [Google Scholar]
- McCubbin, H.I.; McCubbin, M.A.; Patterson, J.M.; Cauble, A.E.; Wilson, L.R.; Warwick, W. CHIP—Coping Health Inventory for Parents: An assessment of parental coping patterns in the care of the chronically ill child. J. Marriage Fam. 1983, 45, 359–370. [Google Scholar] [CrossRef]
- Almeida, A.C.; Pereira, M.G. Psychometric properties of the Portuguese version of the Coping Health Inventory for Parents (CHIP) of adolescents with chronic illness. J. Pediatr. Nurs. 2016, 31, 528–536. [Google Scholar] [CrossRef] [PubMed]
- R Development Core Team. R: A Language and Environment for Statistical Computing [Computer Software]. R Development Core Team: Vienna, Austria, 2023; Available online: https://www.r-project.org/ (accessed on 13 November 2024).
- Tingley, D.; Yamamoto, T.; Hirose, K.; Keele, L.; Imai, K. Mediation: R package for causal mediation analysis. J. Stat. Softw. 2014, 59, 1–38. [Google Scholar] [CrossRef]
- Hayes, A.F.; Preacher, K.J. Conditional process modeling: Using structural equation modeling to examine contingent causal processes. In Structural Equation Modeling: A Second Course, 2nd ed.; Hancock, G.R., Mueller, R.O., Eds.; IAP Information Age Publishing: Charlotte, NC, USA, 2013; pp. 219–266. [Google Scholar]
- Halkett, G.K.; Lobb, E.A.; Shaw, T.; Sinclair, M.M.; Miller, L.; Hovey, E.; Nowak, A.K. Distress and psychological morbidity do not reduce over time in carers of patients with high-grade glioma. Support. Care Cancer 2017, 25, 887–893. [Google Scholar] [CrossRef] [PubMed]
- Kazak, A.E.; Kassam-Adams, N.; Schneider, S.; Zelikovsky, N.; Alderfer, M.A.; Rourke, M. An integrative model of pediatric medical traumatic stress. J. Pediatr. Psychol. 2006, 31, 343–355. [Google Scholar] [CrossRef] [PubMed]
- Deribe, L.; Girma, E.; Lindström, N.; Gidey, A.; Teferra, S.; Addissie, A. Association of family-centered care with psychological distress among caregivers of children with cancer at a tertiary-level hospital in Ethiopia: Cross-sectional study. JMIR Cancer 2024, 10, e54715. [Google Scholar] [CrossRef] [PubMed]
- Huang, Y.; Chen, M.; Wang, Y.; Qi, Y.; Zhang, L.; Dong, C. Resiliency process in the family after childhood leukaemia diagnosis: A longitudinal qualitative study. J. Clin. Nurs. 2024. [Google Scholar] [CrossRef] [PubMed]
- Günay, U.; Özkan, M. Emotions and coping methods of Turkish parents of children with cancer. J. Psychosoc. Oncol. 2019, 37, 398–412. [Google Scholar] [CrossRef]
- McCubbin, H.I.; Thompson, A.I.; McCubbin, M.A. Family Measures: Stress, Coping, and Resiliency: Inventories for Research and Practice; Kamehameha Schools: Honolulu, HI, USA, 2001. [Google Scholar]
- Folkman, S.; Lazarus, R.S. The relationship between coping and emotion: Implications for theory and research. Soc. Sci. Med. 1988, 26, 309–317. [Google Scholar] [CrossRef]
- Ryff, C.D. Happiness is everything, or is it? Explorations on the meaning of psychological well-being. J. Pers. Soc. Psychol. 1989, 57, 1069. [Google Scholar] [CrossRef]
- Kars, M.C.; Duijnstee, M.S.; Pool, A.; Van Delden, J.J.; Grypdonck, M.H. Being there: Parenting the child with acute lymphoblastic leukaemia. J. Clin. Nurs. 2008, 17, 1553–1562. [Google Scholar] [CrossRef]
- Mondal, M.; Dey, T.; Poddar, S. A Study to Assess the Quality of Life (QOL) Among Parents of Children with Acute Lymphoblastic Leukemia (ALL) Attending Oncology Out Patient Department (OPD) in Selected Hospital of Kolkata, West Bengal, India. Mal. J. Med. Health Sci. 2020, 16, 125–130. [Google Scholar]
- Hosoda, T. The impact of childhood cancer on family functioning: A review. Grad. Stud. J. Psychol. 2014, 15, 18–30. [Google Scholar] [CrossRef]
- Salvador, A.; Crespo, C.; Barros, L. Parents’ psychological well-being when a child has cancer: Contribution of individual and family factors. Psycho Oncol. 2019, 28, 1080–1087. [Google Scholar] [CrossRef]
- Doumit, M.A.; Khoury, M.N. Facilitating and hindering factors for coping with the experience of having a child with cancer: A Lebanese perspective. J. Psychosoc. Oncol. 2017, 35, 346–361. [Google Scholar] [CrossRef]
- European Academy of Paediatrics. Available online: https://www.eapaediatrics.eu/wp-content/uploads/2020/07/DFTB-4990-EAPS-leaflet-02b.pdf (accessed on 11 December 2024).
- Registo Oncológico Nacional. Available online: https://ron.min-saude.pt/media/2223/ron-2020.pdf (accessed on 12 December 2024).
- Abate, C.; Lippe, S.; Bertout, L.; Drouin, S.; Krajinovic, M.; Rondeau, E.; Sinnett, D.; Laverdière, C.; Sultan, S. Could we use parent report as a valid proxy of child report on anxiety, depression, and distress? A systematic investigation of father-mother-child triads in children successfully treated for leukemia. Pediatr. Blood Cancer 2018, 65, e26840. [Google Scholar] [CrossRef] [PubMed]


| T0 (n= 46) | T1 (n = 42) | T2 (n = 39) | ||
|---|---|---|---|---|
| Categorical Variables | n (%) | n (%) | n (%) | |
| Sex | ||||
| Male | 7 (15.2) | 6 (14.3) | 5 (12.8) | |
| Female | 39 (84.9) | 36 (85.7) | 34 (87.2) | |
| Residential area | ||||
| Urban | 25 (54.3) | 23 (54.8) | 21 (53.8) | |
| Rural | 21 (45.7) | 19 (45.2) | 18 (46.2) | |
| Marital status | ||||
| Single | 4 (8.7) | 4 (9.5) | 2 (5.1) | |
| Married | 27 (58.7) | 24 (57.1) | 22 (56.4) | |
| Living with partner | 15 (32.6) | 14 (33.3) | 15 (38.5) | |
| Education | ||||
| With higher education | 21 (45.7) | 19 (45.2) | 21 (53.8) | |
| Without higher education | 25 (54.3) | 23 (54.8) | 18 (46.2) | |
| Employment status | ||||
| Unemployed | 4 (8.7) | 5 (11.9) | 4 (10.3) | |
| Employed | 42 (91.3) | 37 (88.1) | 35 (89.7) | |
| On leave | 32 (69.6) | 27 (73.0) | 25 (71.4) | |
| Financial impact | ||||
| No | 30 (65.2) | 17 (40.5) | 17 (43.6) | |
| Yes | 16 (34.8) | 25 (59.5) | 22 (56.4) | |
| Chronic illness | ||||
| No | 37 (80.4) | 34 (81.0) | 32 (82.1) | |
| Yes | 9 (19.6) | 8 (19.0) | 7 (17.9) | |
| Medication | ||||
| No | 34 (73.9) | 32 (76.2) | 29 (74.4) | |
| Yes | 12 (26.1) | 10 (23.8) | 10 (25.6) | |
| Daily hours of care | ||||
| <6 h | 0 (0) | 1 (2.4) | 1 (2.6) | |
| 6–12 h | 0 (0) | 4 (9.5) | 4 (10.3) | |
| 12–18 h | 5 (10.9) | 4 (9.5) | 8 (20.5) | |
| >18 h | 41 (89.1) | 33 (78.6) | 26 (66.7) | |
| Presence of other informal caregiver | ||||
| No | 5 (10.9) | 6 (14.3) | 8 (20.5) | |
| Yes | 41 (89.1) | 36 (85.7) | 31 (79.5) | |
| Continuous variables | Min–Max | Mean (SD) | Mean (SD) | Mean (SD) |
| Age | 23–52 | 35.41 (6.77) | 35.19 (7.00) | 35.56 (6.66) |
| T0 (n = 46) | T1 (n = 42) | T2 (n = 39) | |
|---|---|---|---|
| Categorical Variables | n (%) | n (%) | n (%) |
| Sex | |||
| Boy | 17 (37.0) | 16 (38.1) | 14 (35.9) |
| Girl | 29 (63.0) | 26 (61.9) | 25 (64.1) |
| Number of siblings | |||
| 0 | 24 (52.2) | 21 (50.0) | 20 (51.3) |
| 1 | 16 (34.8) | 16 (38.1) | 15 (38.5) |
| 2 | 6 (13.0) | 5 (11.9) | 4 (10.3) |
| ALL subtype | |||
| ALL B | 44 (95.7) | 40 (95.2) | 37 (94.9) |
| ALL T | 2 (4.3) | 2 (4.8) | 2 (5.1) |
| Induction type | |||
| Induction A | 31 (67.4) | 28 (66.7) | 29 (74.4) |
| Induction B | 12 (26.1) | 12 (28.6) | 9 (23.1) |
| Induction A + C | 3 (6.5) | 2 (4.8) | 1 (2.6) |
| Risk group | |||
| Standard | NA | 12 (28.6) | 11 (28.2) |
| Intermediate low | NA | 14 (33.3) | 15 (38.5) |
| Intermediate high | NA | 16 (38.1) | 13 (33.3) |
| Clinical complications | |||
| No | 13 (28.3) | 7 (16.7) | 2 (5.1) |
| Yes | 33 (71.7) | 35 (83.3) | 37 (94.9) |
| Continuous variables | Mean (SD) Min–Max | Mean (SD) Min–Max | Mean (SD) Min–Max |
| Age | 3.48 (1.43) 1.25–6.00 | 3.39 (1.37) 1.25–6.00 | 3.49 (1.46) 1.25–6.00 |
| Number of hospitalizations | 1.46 (0.66) 1–3 | 4.90 (1.75) 7–12 | 7.18 (2.57) 3–16 |
| Time since diagnosis (in days) | 31.65 (5.90) 27–57 | 145.19 (20) 119–192 | 256.23 (58.81) 167–373 |
| Hospitalizations duration (in days) | 21.96 (9.25) 7–58 | 35.62 (14.01) 7–84 | 44.44 (15.31) 22–93 |
| Response Variable | Psychological Morbidity | Traumatic Stress Symptoms | Family Functioning | Family Resilience | Parental Coping | Psychological Well-Being |
|---|---|---|---|---|---|---|
| Fixed effects | β (SE) | β (SE) | β (SE) | β (SE) | β (SE) | β (SE) |
| Intercept | 16.48 (1.74) *** | 3.68 (0.46) *** | 1.38 (0.10) *** | 47.05 (1.78) *** | 101.41(3.21) *** | 74.06 (1.97) *** |
| T1 | −0.44 (1.04) | −0.66 (0.27) * | 0.18 (0.07) * | −2.58 (0.99) * | 4.22 (1.95) * | −4.26 (1.09) *** |
| T2 | −3.73 (1.06) ** | −0.78 (0.28) ** | 0.12 (0.07) | −2.24 (1.01) * | 7.92 (1.98) *** | −0.73 (1.11) |
| On leave | 2.02 (1.70) | 0.60 (0.45) | 0.15 (0.10) | 0.38 (1.70) | −3.20 (3.14) | −7.20 (1.88) *** |
| Independent Variable → Mediator Variable → Dependent Variable | Effect | Estimate | p-Value | 95% CI | |
|---|---|---|---|---|---|
| Lower | Upper | ||||
| Psychological morbidity → Family functioning → Psychological well-being | Indirect effect | −0.02 | 0.005 | −0.04 | −0.01 |
| Direct effect | −0.08 | <0.001 | −0.12 | −0.04 | |
| Total effect | −0.10 | <0.001 | −0.014 | −0.06 | |
| Psychological morbidity → Family resilience → Psychological well-being | Indirect effect | −0.03 | 0.001 | −0.05 | −0.01 |
| Direct effect | −0.06 | 0.003 | −0.10 | −0.02 | |
| Total effect | −0.09 | <0.001 | −0.13 | −0.05 | |
| Psychological morbidity → Parental coping → Psychological well-being | Indirect effect | −0.01 | 0.120 | −0.02 | 0.00 |
| Direct effect | −0.10 | <0.001 | −0.14 | −0.06 | |
| Total effect | −0.10 | <0.001 | −0.14 | −0.07 | |
| Traumatic stress symptoms → Family functioning → Psychological well-being | Indirect effect | −0.07 | 0.038 | −0.15 | 0.00 |
| Direct effect | −0.19 | 0.010 | −0.34 | −0.04 | |
| Total effect | −0.26 | 0.001 | −0.42 | −0.10 | |
| Traumatic stress symptoms → Family resilience → Psychological well-being | Indirect effect | −0.03 | <0.001 | −0.05 | −0.01 |
| Direct effect | −0.06 | <0.001 | −0.10 | −0.02 | |
| Total effect | −0.09 | <0.001 | −0.13 | −0.05 | |
| Traumatic stress symptoms → Parental coping → Psychological well-being | Indirect effect | −0.02 | 0.160 | −0.07 | 0.01 |
| Direct effect | −0.24 | 0.005 | −0.39 | −0.07 | |
| Total effect | −0.26 | 0.003 | −0.42 | 0.00 | |
Disclaimer/Publisher’s Note: The statements, opinions and data contained in all publications are solely those of the individual author(s) and contributor(s) and not of MDPI and/or the editor(s). MDPI and/or the editor(s) disclaim responsibility for any injury to people or property resulting from any ideas, methods, instructions or products referred to in the content. |
© 2025 by the authors. Licensee MDPI, Basel, Switzerland. This article is an open access article distributed under the terms and conditions of the Creative Commons Attribution (CC BY) license (https://creativecommons.org/licenses/by/4.0/).
Share and Cite
Ferraz, A.; Faria, S.; Jerónimo, M.; Pereira, M.G. Parental Psychological Adjustment in Pediatric Acute Lymphoblastic Leukemia: The Mediating Role of Family Functioning and Resilience. Cancers 2025, 17, 338. https://doi.org/10.3390/cancers17030338
Ferraz A, Faria S, Jerónimo M, Pereira MG. Parental Psychological Adjustment in Pediatric Acute Lymphoblastic Leukemia: The Mediating Role of Family Functioning and Resilience. Cancers. 2025; 17(3):338. https://doi.org/10.3390/cancers17030338
Chicago/Turabian StyleFerraz, Ana, Susana Faria, Mónica Jerónimo, and M. Graça Pereira. 2025. "Parental Psychological Adjustment in Pediatric Acute Lymphoblastic Leukemia: The Mediating Role of Family Functioning and Resilience" Cancers 17, no. 3: 338. https://doi.org/10.3390/cancers17030338
APA StyleFerraz, A., Faria, S., Jerónimo, M., & Pereira, M. G. (2025). Parental Psychological Adjustment in Pediatric Acute Lymphoblastic Leukemia: The Mediating Role of Family Functioning and Resilience. Cancers, 17(3), 338. https://doi.org/10.3390/cancers17030338

