Fractal Dimension, Circularity, and Solidity of Cell Clusters in Liquid-Based Endometrial Cytology Are Potentially Useful for Endometrial Cancer Detection and Prognosis Prediction
Abstract
Simple Summary
Abstract
1. Introduction
2. Materials and Methods
2.1. Study Population
2.2. Liquid-Based Endometrial Cytology
2.3. Obtaining and Processing Liquid-Based Endometrial Cytology Image
2.4. Statistical Analyses
3. Results
3.1. Cytology and Histology Diagnosis
3.2. Results of the Relationship between EC and AEH Diagnosis and Cell Cluster Analysis Results
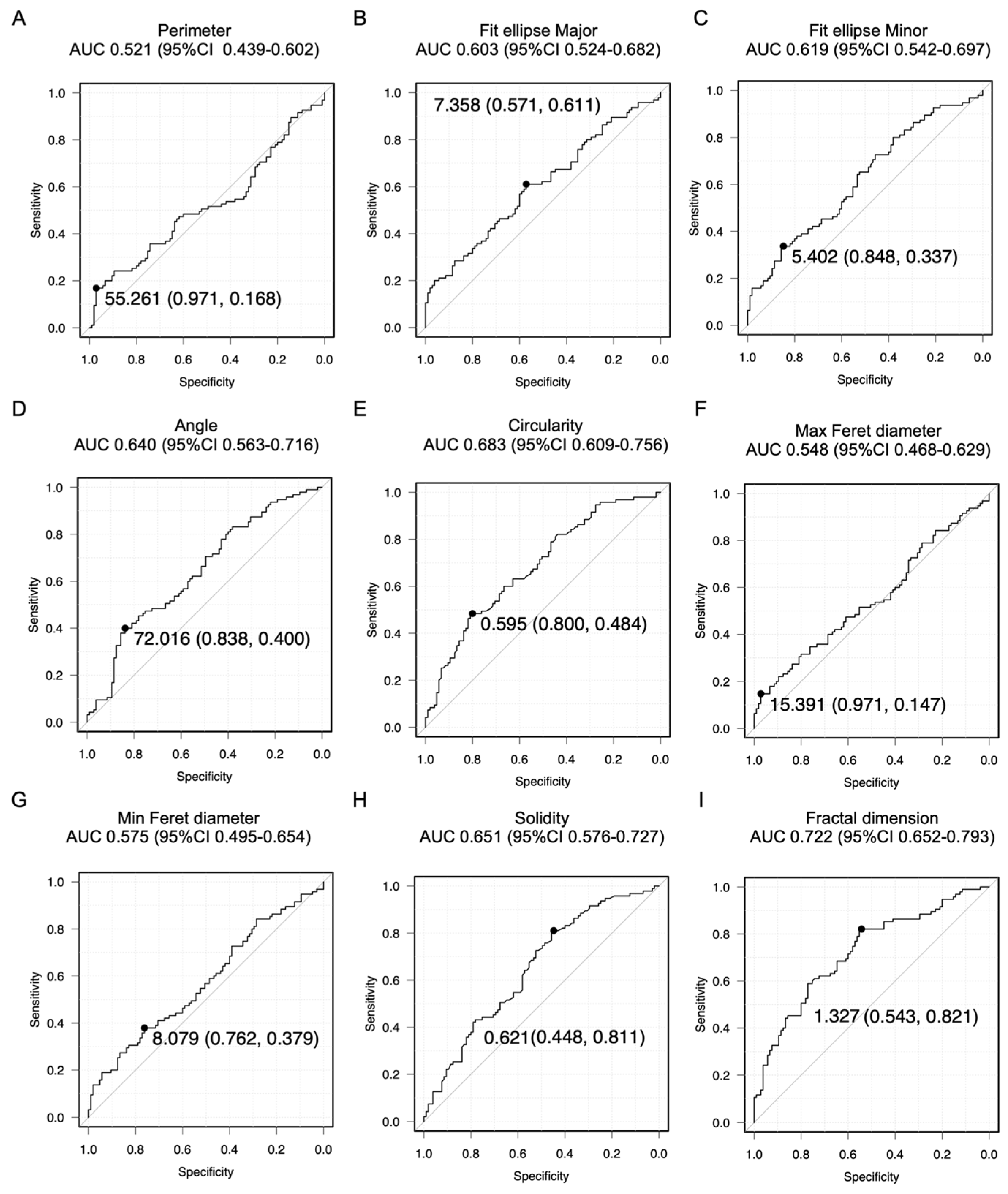
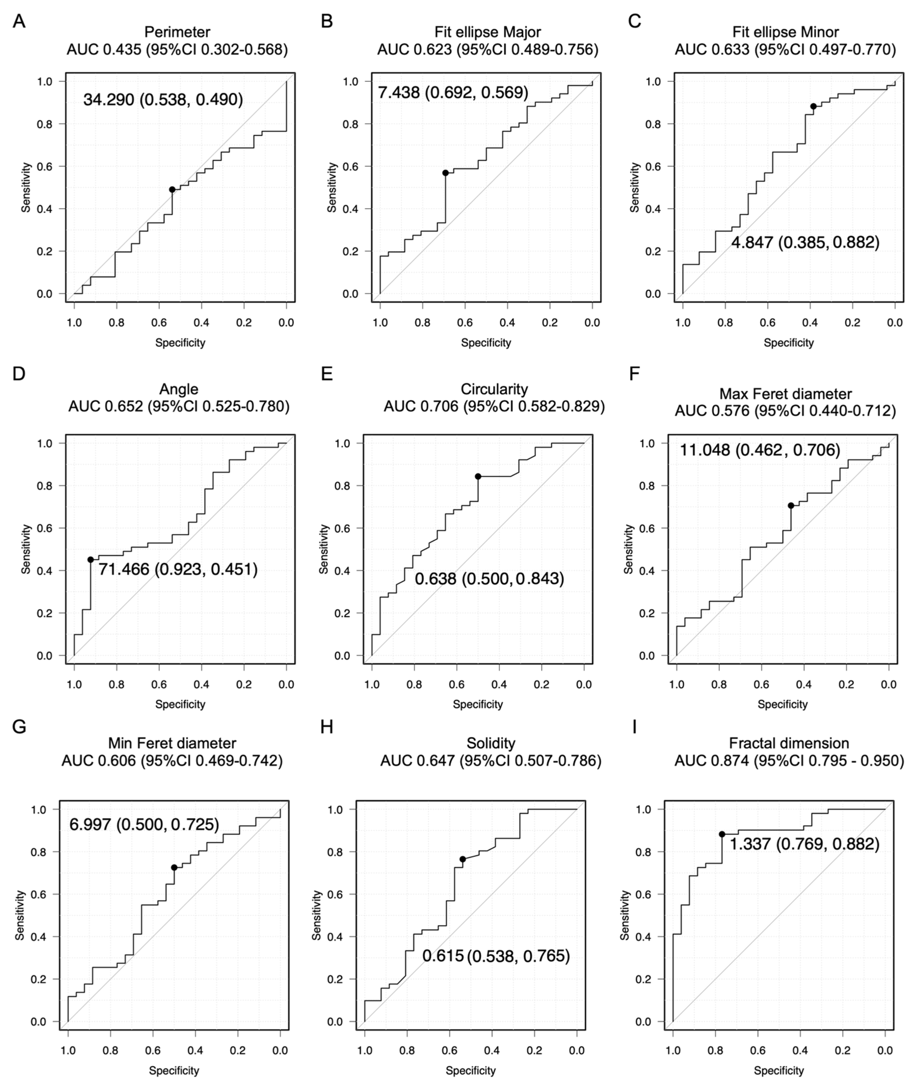
3.3. ROC Analysis
3.4. Performance Differences in Cytology Plus Cell Cluster Analysis
3.5. Prognostic Impact of Cell Cluster Analysis
4. Discussion
5. Conclusions
Supplementary Materials
Author Contributions
Funding
Institutional Review Board Statement
Informed Consent Statement
Data Availability Statement
Acknowledgments
Conflicts of Interest
References
- Lortet-Tieulent, J.; Ferlay, J.; Bray, F.; Jemal, A. International Patterns and Trends in Endometrial Cancer Incidence, 1978–2013. J. Natl. Cancer Inst. 2018, 110, 354–361. [Google Scholar] [CrossRef] [PubMed]
- Baker-Rand, H.; Kitson, S.J. Recent Advances in Endometrial Cancer Prevention, Early Diagnosis and Treatment. Cancers 2024, 16, 1028. [Google Scholar] [CrossRef] [PubMed]
- Yagi, A.; Ueda, Y.; Ikeda, S.; Miyoshi, A.; Nakagawa, S.; Hiramatsu, K.; Kobayashi, E.; Kimura, T.; Ito, Y.; Nakayama, T.; et al. Improved Long-Term Survival of Corpus Cancer in Japan: A 40-Year Population-Based Analysis. Int. J. Cancer 2022, 150, 232–242. [Google Scholar] [CrossRef] [PubMed]
- Feldman, S.; Cook, E.F.; Harlow, B.L.; Berkowitz, R.S. Predicting Endometrial Cancer among Older Women Who Present with Abnormal Vaginal Bleeding. Gynecol. Oncol. 1995, 56, 376–381. [Google Scholar] [CrossRef] [PubMed]
- Amant, F.; Moerman, P.; Neven, P.; Timmerman, D.; Van Limbergen, E.; Vergote, I. Endometrial Cancer. Lancet 2005, 366, 491–505. [Google Scholar] [CrossRef]
- Buchanan, E.M.; Weinstein, L.C.; Hillson, C. Endometrial Cancer. Am. Fam. Physician 2009, 80, 1075–1080. [Google Scholar] [PubMed]
- Lago, V.; Martín, B.; Ballesteros, E.; Cárdenas-Rebollo, J.M.; Minig, L. Tumor Grade Correlation Between Preoperative Biopsy and Final Surgical Specimen in Endometrial Cancer: The Use of Different Diagnostic Methods and Analysis of Associated Factors. Int. J. Gynecol. Cancer 2018, 28, 1258–1263. [Google Scholar] [CrossRef]
- Tal, O.; Amram, S.; Landman, T.; Feldstein, O.; Peled, O.; Levy, T. D&C Has the Best Concordance between Preoperative and Postoperative Grades among Morbidly Obese Endometrial Cancer Patients. J. Obstet. Gynaecol. Res. 2024, 50, 494–500. [Google Scholar] [CrossRef] [PubMed]
- Masciullo, V.; Amadio, G.; Lo Russo, D.; Raimondo, I.; Giordano, A.; Scambia, G. Controversies in the Management of Endometrial Cancer. Obstet. Gynecol. Int. 2010, 2010, 638165. [Google Scholar] [CrossRef]
- Dijkhuizen, F.P.H.L.J.; Mol, B.W.J.; Brölmann, H.A.M.; Heintz, A.P.M. The Accuracy of Endometrial Sampling in the Diagnosis of Patients with Endometrial Carcinoma and Hyperplasia. Cancer 2000, 89, 1765–1772. [Google Scholar] [CrossRef]
- Reijnen, C.; Visser, N.C.M.; Bulten, J.; Massuger, L.F.A.G.; van der Putten, L.J.M.; Pijnenborg, J.M.A. Diagnostic Accuracy of Endometrial Biopsy in Relation to the Amount of Tissue. J. Clin. Pathol. 2017, 70, 941–946. [Google Scholar] [CrossRef] [PubMed]
- Kaiyrlykyzy, A.; Linkov, F.; Foster, F.; Bapayeva, G.; Ukybassova, T.; Aimagambetova, G.; Kenbayeva, K.; Ibrayimov, B.; Lyasova, A.; Terzic, M. Pipelle Endometrial Biopsy for Abnormal Uterine Bleeding: Do Patient’s Pain and Anxiety Really Impact on Sampling Success Rate? BMC Women’s Health 2021, 21, 393. [Google Scholar] [CrossRef] [PubMed]
- Garcia, F.; Barker, B.; Davis, J.; Shelton, T.; Harrigill, K.; Schalk, N.; Meyer, J.; Hatch, K. Thin-Layer Cytology and Histopathology in the Evaluation of Abnormal Uterine Bleeding. J. Reprod. Med. 2003, 48, 882–888. [Google Scholar] [PubMed]
- Lee, K.R.; Ashfaq, R.; Birdsong, G.G.; Corkill, M.E.; McIntosh, K.M.; Inhorn, S.L. Comparison of Conventional Papanicolaou Smears and a Fluid-Based, Thin-Layer System for Cervical Cancer Screening. Obstet. Gynecol. 1997, 90, 278–284. [Google Scholar] [CrossRef]
- Beerman, H.; van Dorst, E.B.L.; Kuenen-Boumeester, V.; Hogendoorn, P.C.W. Superior Performance of Liquid-Based versus Conventional Cytology in a Population-Based Cervical Cancer Screening Program. Gynecol. Oncol. 2009, 112, 572–576. [Google Scholar] [CrossRef] [PubMed]
- Strander, B.; Andersson-Ellström, A.; Milsom, I.; Rådberg, T.; Ryd, W. Liquid-Based Cytology versus Conventional Papanicolaou Smear in an Organized Screening Program: A Prospective Randomized Study. Cancer 2007, 111, 285–291. [Google Scholar] [CrossRef]
- Monsonego, J.; Autillo-Touati, A.; Bergeron, C.; Dachez, R.; Liaras, J.; Saurel, J.; Zerat, L.; Chatelain, P.; Mottot, C. Liquid-Based Cytology for Primary Cervical Cancer Screening: A Multi-Centre Study. Br. J. Cancer 2001, 84, 360–366. [Google Scholar] [CrossRef]
- Buccoliero, A.M.; Fambrini, M.; Gheri, C.F.; Castiglione, F.; Garbini, F.; Barbetti, A.; Rossi Degl’Innocenti, D.; Moncini, D.; Taddei, A.; Bargelli, G.; et al. Surveillance for Endometrial Cancer in Women on Tamoxifen: The Role of Liquid-Based Endometrial Cytology-Cytohistological Correlation in a Population of 168 Women. Gynecol. Obstet. Investig. 2008, 65, 240–246. [Google Scholar] [CrossRef]
- Buccoliero, A.M.; Castiglione, F.; Gheri, C.F.; Garbini, F.; Fambrini, M.; Bargelli, G.; Pappalardo, S.; Scarselli, G.; Marchionni, M.; Taddei, G.L. Liquid-Based Endometrial Cytology: Its Possible Value in Postmenopausal Asymptomatic Women. Int. J. Gynecol. Cancer 2007, 17, 182–187. [Google Scholar] [CrossRef]
- Norimatsu, Y.; Sakamoto, S.; Ohsaki, H.; Ozaki, S.; Yokoyama, T.; Shimizu, K.; Yanoh, K.; Akiyama, M.; Bamba, M.; Kobayashi, T.K. Cytologic Features of the Endometrial Adenocarcinoma: Comparison of ThinPrep and BD SurePath Preparations. Diagn. Cytopathol. 2013, 41, 673–681. [Google Scholar] [CrossRef]
- Yanoh, K.; Norimatsu, Y.; Munakata, S.; Yamamoto, T.; Nakamura, Y.; Murata, T.; Kobayashi, T.K.; Hirai, Y. Evaluation of Endometrial Cytology Prepared with the Becton Dickinson SurePathTM Method: A Pilot Study by the Osaki Study Group. Acta Cytol. 2014, 58, 153–161. [Google Scholar] [CrossRef] [PubMed]
- Hirai, Y.; Sakamoto, K.; Fujiwara, H.; Kamata, M.; Tamura, T.; Yanoh, K.; Norimatsu, Y.; Kasai, T.; Teramoto, K.; Kurokawa, T.; et al. Liquid-Based Endometrial Cytology Using SurePathTM Is Not Inferior to Suction Endometrial Tissue Biopsy for Detecting Endometrial Malignancies: Midterm Report of a Multicentre Study Advocated by Japan Association of Obstetricians and Gynecologists. Cytopathology 2019, 30, 223–228. [Google Scholar] [CrossRef] [PubMed]
- Thrall, M.J.; Pambuccian, S.E.; Stelow, E.B.; McKeon, D.M.; Miller, L.; Savik, K.; Gulbahce, H.E. Impact of the More Restrictive Definition of Atypical Squamous Cells Introduced by the 2001 Bethesda System on the Sensitivity and Specificity of the Papanicolaou Test: A 5-Year Follow-up Study of Papanicolaou Tests Originally Interpreted as ASCUS, Reclassified According to Bethesda 2001 Criteria. Cancer 2008, 114, 171–179. [Google Scholar] [CrossRef] [PubMed]
- Pangarkar, M.A. The Bethesda System for Reporting Cervical Cytology. Cytojournal 2022, 19, 28. [Google Scholar] [CrossRef] [PubMed]
- Nayar, R.; Wilbur, D.C. The Bethesda System for Reporting Cervical Cytology: A Historical Perspective. Acta Cytol. 2017, 61, 359–372. [Google Scholar] [CrossRef] [PubMed]
- Norimatsu, Y.; Kobayashi, T.K.; Hirai, Y.; Fulciniti, F. Algorithmic Interpretational and Diagnostic Approach to Endometrial Cytology for the Yokohama System. In The Yokohama System for Reporting Endometrial Cytology: Definitions, Criteria, and Explanatory Notes; Hirai, Y., Fulciniti, F., Eds.; Springer Nature: Singapore, 2022; pp. 31–50. ISBN 9789811650116. [Google Scholar]
- Cross, S.S. Fractals in Pathology. J. Pathol. 1997, 182, 1–8. [Google Scholar] [CrossRef]
- Kikuchi, A.; Kozuma, S.; Yasugi, T.; Taketani, Y. Fractal Analysis of Surface Growth Patterns in Endometrioid Endometrial Adenocarcinoma. Gynecol. Obstet. Investig. 2004, 58, 61–67. [Google Scholar] [CrossRef] [PubMed]
- Harvey, S.E.; VandenBussche, C.J. Nuclear Membrane Irregularity in High-Grade Urothelial Carcinoma Cells Can Be Measured by Using Circularity and Solidity as Morphometric Shape Definitions in Digital Image Analysis of Urinary Tract Cytology Specimens. Cancer Cytopathol. 2023, 131, 351–359. [Google Scholar] [CrossRef]
- Schöchlin, M.; Weissinger, S.E.; Brandes, A.R.; Herrmann, M.; Möller, P.; Lennerz, J.K. A Nuclear Circularity-Based Classifier for Diagnostic Distinction of Desmoplastic from Spindle Cell Melanoma in Digitized Histological Images. J. Pathol. Inform. 2014, 5, 40. [Google Scholar] [CrossRef]
- Rossi, E.D.; Bizzarro, T.; Longatto-Filho, A.; Gerhard, R.; Schmitt, F. The Diagnostic and Prognostic Role of Liquid-Based Cytology: Are We Ready to Monitor Therapy and Resistance? Expert Rev. Anticancer. Ther. 2015, 15, 911–921. [Google Scholar] [CrossRef]
- Wang, L.-W.; Qu, A.-P.; Yuan, J.-P.; Chen, C.; Sun, S.-R.; Hu, M.-B.; Liu, J.; Li, Y. Computer-Based Image Studies on Tumor Nests Mathematical Features of Breast Cancer and Their Clinical Prognostic Value. PLoS ONE 2013, 8, e82314. [Google Scholar] [CrossRef] [PubMed]
- Brouwer, N.P.M.; Khan, A.; Bokhorst, J.-M.; Ayatollahi, F.; Hay, J.; Ciompi, F.; Simmer, F.; Hugen, N.; de Wilt, J.H.W.; Berger, M.D.; et al. The Complexity of Shapes: How the Circularity of Tumor Nodules Affects Prognosis in Colorectal Cancer. Mod. Pathol. 2023, 37, 100376. [Google Scholar] [CrossRef] [PubMed]
- Niu, S.; Molberg, K.; Castrillon, D.H.; Lucas, E.; Chen, H. Biomarkers in the Diagnosis of Endometrial Precancers. Molecular Characteristics, Candidate Immunohistochemical Markers, and Promising Results of Three-Marker Panel: Current Status and Future Directions. Cancers 2024, 16, 1159. [Google Scholar] [CrossRef]
- Berek, J.S.; Matias-Guiu, X.; Creutzberg, C.; Fotopoulou, C.; Gaffney, D.; Kehoe, S.; Lindemann, K.; Mutch, D.; Concin, N.; Endometrial Cancer Staging Subcommittee; et al. FIGO Staging of Endometrial Cancer: 2023. Int. J. Gynecol. Obstet. 2023, 162, 383–394. [Google Scholar] [CrossRef]
- Corr, B.; Cosgrove, C.; Spinosa, D.; Guntupalli, S. Endometrial Cancer: Molecular Classification and Future Treatments. BMJ Med. 2022, 1, e000152. [Google Scholar] [CrossRef] [PubMed]
- Shinagawa, A.; Kurokawa, T.; Yamamoto, M.; Onuma, T.; Tsuyoshi, H.; Chino, Y.; Iwasaki, K.; Mori, M.; Imamura, Y.; Yoshio, Y. Evaluation of the Benefit and Use of the New Terminology in Endometrial Cytology Reporting System. Diagn. Cytopathol. 2018, 46, 314–319. [Google Scholar] [CrossRef]
- Yanoh, K.; Norimatsu, Y.; Hirai, Y.; Takeshima, N.; Kamimori, A.; Nakamura, Y.; Shimizu, K.; Kobayashi, T.K.; Murata, T.; Shiraishi, T. New Diagnostic Reporting Format for Endometrial Cytology Based on Cytoarchitectural Criteria. Cytopathology 2009, 20, 388–394. [Google Scholar] [CrossRef]
- Ethical Guidelines for Medical and Health Research Involving Human Subjects. Available online: https://www.mhlw.go.jp/file/06-Seisakujouhou-10600000-Daijinkanboukouseikagakuka/0000080278.pdf (accessed on 13 April 2024).
- Kurokawa, T.; Onuma, T.; Shinagawa, A.; Yoshida, Y. Endometrial Cell Sampling Procedure to Obtain Cytologic Specimens. In The Yokohama System for Reporting Endometrial Cytology: Definitions, Criteria, and Explanatory Notes; Hirai, Y., Fulciniti, F., Eds.; Springer: Singapore, 2022; pp. 23–30. ISBN 9789811650116. [Google Scholar]
- Mateo-Orobia, A.J.; Del Prado Sanz, E.; Blasco-Martínez, A.; Pablo-Júlvez, L.E.; Farrant, S.; Chiambaretta, F. Efficacy of Artificial Tears Containing Trehalose and Hyaluronic Acid for Dry Eye Disease in Women Aged 42–54 versus ≥ 55 Years. Contact Lens Anterior Eye 2023, 46, 101845. [Google Scholar] [CrossRef]
- Camp, R.L.; Dolled-Filhart, M.; Rimm, D.L. X-Tile: A New Bio-Informatics Tool for Biomarker Assessment and Outcome-Based Cut-Point Optimization. Clin. Cancer Res. 2004, 10, 7252–7259. [Google Scholar] [CrossRef]
- Kanda, Y. Investigation of the Freely Available Easy-to-Use Software ‘EZR’for Medical Statistics. Bone Marrow Transplant. 2013, 48, 452–458. [Google Scholar] [CrossRef]
- Salvianti, F.; Pinzani, P.; Verderio, P.; Ciniselli, C.M.; Massi, D.; De Giorgi, V.; Grazzini, M.; Pazzagli, M.; Orlando, C. Multiparametric Analysis of Cell-Free DNA in Melanoma Patients. PLoS ONE 2012, 7, e49843. [Google Scholar] [CrossRef]
- Yoshioka, H.; Minami, K.; Odashima, H.; Miyakawa, K.; Horie, K.; Watanabe, J. Outer Cutoff Value for the Box-Counting Method for Fractal Analysis of the Nucleus Using Kirsch Edge Detection. Acta Cytol. 2021, 65, 186–193. [Google Scholar] [CrossRef] [PubMed]
- Yoshioka, H.; Shimoda, T.; Oikawa, S.; Morohashi, S.; Hasegawa, Y.; Horie, K.; Watanabe, J. Usefulness of Fractal Analysis of Kirsch Edge Images for the Tissue Fragment Inner Structure in Breast FNAB. Acta Cytol. 2022, 66, 149–158. [Google Scholar] [CrossRef] [PubMed]
- Sedivy, R.; Windischberger, C.; Svozil, K.; Moser, E.; Breitenecker, G. Fractal Analysis: An Objective Method for Identifying Atypical Nuclei in Dysplastic Lesions of the Cervix Uteri. Gynecol. Oncol. 1999, 75, 78–83. [Google Scholar] [CrossRef] [PubMed]
- Fabrizii, M.; Moinfar, F.; Jelinek, H.F.; Karperien, A.; Ahammer, H. Fractal Analysis of Cervical Intraepithelial Neoplasia. PLoS ONE 2014, 9, e108457. [Google Scholar] [CrossRef] [PubMed]
- Woo, C.G.; Son, S.-M.; Han, H.-S.; Lee, K.H.; Choe, K.-H.; An, J.Y.; Man Lee, K.; Lim, Y.H.; Lee, H.-C.; Lee, O.-J. Diagnostic Benefits of the Combined Use of Liquid-Based Cytology, Cell Block, and Carcinoembryonic Antigen Immunocytochemistry in Malignant Pleural Effusion. J. Thorac. Dis. 2018, 10, 4931–4939. [Google Scholar] [CrossRef]
- Fulciniti, F.; Yanoh, K.; Karakitsos, P.; Watanabe, J.; Di Lorito, A.; Margari, N.; Maeda, Y.; Kihara, M.; Norimatsu, Y.; Kobayashi, T.K.; et al. The Yokohama System for Reporting Directly Sampled Endometrial Cytology: The Quest to Develop a Standardized Terminology. Diagn. Cytopathol. 2018, 46, 400–412. [Google Scholar] [CrossRef] [PubMed]
- Metze, K.; Adam, R.; Florindo, J.B. The Fractal Dimension of Chromatin—A Potential Molecular Marker for Carcinogenesis, Tumor Progression and Prognosis. Expert Rev. Mol. Diagn. 2019, 19, 299–312. [Google Scholar] [CrossRef] [PubMed]
- de Mattos, A.C.; Florindo, J.B.; Adam, R.L.; Lorand-Metze, I.; Metze, K. The Fractal Dimension Suggests Two Chromatin Configurations in Small Cell Neuroendocrine Lung Cancer and Is an Independent Unfavorable Prognostic Factor for Overall Survival. Microsc. Microanal. 2022, 28, 522–526. [Google Scholar] [CrossRef]
- Bedin, V.; Adam, R.L.; de Sá, B.C.; Landman, G.; Metze, K. Fractal Dimension of Chromatin Is an Independent Prognostic Factor for Survival in Melanoma. BMC Cancer 2010, 10, 260. [Google Scholar] [CrossRef]
- Norimatsu, Y.; Yanoh, K.; Kobayashi, T.K. The Role of Liquid-Based Preparation in the Evaluation of Endometrial Cytology. Acta Cytol. 2013, 57, 423–435. [Google Scholar] [CrossRef] [PubMed]
- Norimatsu, Y.; Kouda, H.; Kobayashi, T.K.; Shimizu, K.; Yanoh, K.; Tsukayama, C.; Miyake, Y.; Ohno, E. Utility of Liquid-Based Cytology in Endometrial Pathology: Diagnosis of Endometrial Carcinoma. Cytopathology 2009, 20, 395–402. [Google Scholar] [CrossRef] [PubMed]
- da Silva, L.G.; da Silva Monteiro, W.R.S.; de Aguiar Moreira, T.M.; Rabelo, M.A.E.; de Assis, E.A.C.P.; de Souza, G.T. Fractal Dimension Analysis as an Easy Computational Approach to Improve Breast Cancer Histopathological Diagnosis. Appl. Microsc. 2021, 51, 6. [Google Scholar] [CrossRef] [PubMed]
- Chan, A.; Tuszynski, J.A. Automatic Prediction of Tumour Malignancy in Breast Cancer with Fractal Dimension. R. Soc. Open Sci. 2016, 3, 160558. [Google Scholar] [CrossRef] [PubMed]
- Walker, S.; Hyde, C.; Hamilton, W. Risk of Uterine Cancer in Symptomatic Women in Primary Care: Case-Control Study Using Electronic Records. Br. J. Gen. Pract. 2013, 63, e643–e648. [Google Scholar] [CrossRef] [PubMed]
- Norimatsu, Y.; Yanoh, K.; Maeda, Y.; Irino, S.; Hirai, Y.; Fulciniti, F.; Kobayashi, T.K. Insulin-like Growth Factor-II MRNA-Binding Protein 3 Immunocytochemical Expression in Direct Endometrial Brushings: Possible Diagnostic Help in Endometrial Cytology. Cytopathology 2019, 30, 215–222. [Google Scholar] [CrossRef] [PubMed]
- Boroń, D.; Zmarzły, N.; Wierzbik-Strońska, M.; Rosińczuk, J.; Mieszczański, P.; Grabarek, B.O. Recent Multiomics Approaches in Endometrial Cancer. Int. J. Mol. Sci. 2022, 23, 1237. [Google Scholar] [CrossRef]
- Hirai, Y.; Fulciniti, F. (Eds.) The Yokohama System for Reporting Endometrial Cytology: Definitions, Criteria, and Explanatory Notes; Springer: Singapore, 2022; ISBN 9789811650109. [Google Scholar]
- Makris, G.-M.; Pouliakis, A.; Siristatidis, C.; Margari, N.; Terzakis, E.; Koureas, N.; Pergialiotis, V.; Papantoniou, N.; Karakitsos, P. Image Analysis and Multi-Layer Perceptron Artificial Neural Networks for the Discrimination between Benign and Malignant Endometrial Lesions. Diagn. Cytopathol. 2017, 45, 202–211. [Google Scholar] [CrossRef]







| Normal (n = 92) | EH (n = 13) | AEH (n = 17) | EM G1 (n = 43) | EM G2 (n = 18) | EM G3 (n = 10) | † Others (n = 7) | |
|---|---|---|---|---|---|---|---|
| Age in yr (SD) | 49.9 (12.2) | 45.9 (6.9) | 46.2 (10.6) | *** 59.2 (10.6) | ** 63.1 (13.8) | * 60.3 (8.0) | * 63.4 (13.6) |
| Cytology | |||||||
| Negative | 25 | 1 | 0 | 0 | 0 | 0 | 0 |
| Suspicious Positive | 57 | 9 | 11 | 11 | 3 | 0 | 0 |
| Positive | 10 | 3 | 6 | 32 | 15 | 10 | 7 |
| Unadjusted | p-Value | Adjusted | p-Value | |
|---|---|---|---|---|
| Perimeter (95% CI) | 1.02 (0.993–1.04) | 0.169 | 1.020 (0.986–1.050) | 0.281 |
| Fit ellipse major (95% CI) | 1.6 (1.16–2.22) | 0.005 | 1.36 (0.891–2.07) | 0.155 |
| Fit ellipse minor (95% CI) | 3.33 (1.56–7.09) | 0.002 | 1.84 (0.708–4.78) | 0.211 |
| Angle (95% CI) | 1.12 (1.05–1.2) | 0.001 | 1.08 (0.994–1.180) | 0.068 |
| Circularity (95% CI) | 1.17 × 10−7 (7.23 × 10−11–1.89 × 10−4) | >0.001 | 0. 841 × 10−4 (0.112 × 10−7–0.629) | 0.039 |
| Max Feret diameter (95% CI) | 1.12 (0.978–1.280) | 0.102 | 1.09 (0.919–1.3) | 0.102 |
| Min Feret diameter (95% CI) | 1.32 (1.02–1.7) | 0.033 | 1.09 (0.919–1.3) | 0.317 |
| Solidity (95% CI) | 9.35 × 10−9 (4.1 × 10−13–2.13 × 10−4) | >0.001 | 0.28 × 10−4 (1.32 × 10−10–5.92) | 0.094 |
| Fractal dimension (95% CI) | 79.7 (14.8–429) | >0.001 | 31 (3.97–242) | 0.001 |
| Univariable | Multivariable | |||
|---|---|---|---|---|
| HR (95% CI) | p-Value | HR (95% CI) | p-Value | |
| Circularity | 0.198 (0.061–0.635) | 0.006 | 0.175 (0.051–0.595) | 0.005 |
| Solidity | 0.248 (0.087–0.708) | 0.009 | 0.184 (0.062–0.548) | 0.002 |
Disclaimer/Publisher’s Note: The statements, opinions and data contained in all publications are solely those of the individual author(s) and contributor(s) and not of MDPI and/or the editor(s). MDPI and/or the editor(s) disclaim responsibility for any injury to people or property resulting from any ideas, methods, instructions or products referred to in the content. |
© 2024 by the authors. Licensee MDPI, Basel, Switzerland. This article is an open access article distributed under the terms and conditions of the Creative Commons Attribution (CC BY) license (https://creativecommons.org/licenses/by/4.0/).
Share and Cite
Onuma, T.; Shinagawa, A.; Kurokawa, T.; Orisaka, M.; Yoshida, Y. Fractal Dimension, Circularity, and Solidity of Cell Clusters in Liquid-Based Endometrial Cytology Are Potentially Useful for Endometrial Cancer Detection and Prognosis Prediction. Cancers 2024, 16, 2469. https://doi.org/10.3390/cancers16132469
Onuma T, Shinagawa A, Kurokawa T, Orisaka M, Yoshida Y. Fractal Dimension, Circularity, and Solidity of Cell Clusters in Liquid-Based Endometrial Cytology Are Potentially Useful for Endometrial Cancer Detection and Prognosis Prediction. Cancers. 2024; 16(13):2469. https://doi.org/10.3390/cancers16132469
Chicago/Turabian StyleOnuma, Toshimichi, Akiko Shinagawa, Tetsuji Kurokawa, Makoto Orisaka, and Yoshio Yoshida. 2024. "Fractal Dimension, Circularity, and Solidity of Cell Clusters in Liquid-Based Endometrial Cytology Are Potentially Useful for Endometrial Cancer Detection and Prognosis Prediction" Cancers 16, no. 13: 2469. https://doi.org/10.3390/cancers16132469
APA StyleOnuma, T., Shinagawa, A., Kurokawa, T., Orisaka, M., & Yoshida, Y. (2024). Fractal Dimension, Circularity, and Solidity of Cell Clusters in Liquid-Based Endometrial Cytology Are Potentially Useful for Endometrial Cancer Detection and Prognosis Prediction. Cancers, 16(13), 2469. https://doi.org/10.3390/cancers16132469

