Surgical and Oncologic Outcome following Sacrectomy for Primary Malignant Bone Tumors and Locally Recurrent Rectal Cancer
Abstract
Simple Summary
Abstract
1. Introduction
2. Materials and Methods
2.1. Surgical Technique
2.2. Aftercare and Restaging
2.3. Statistics
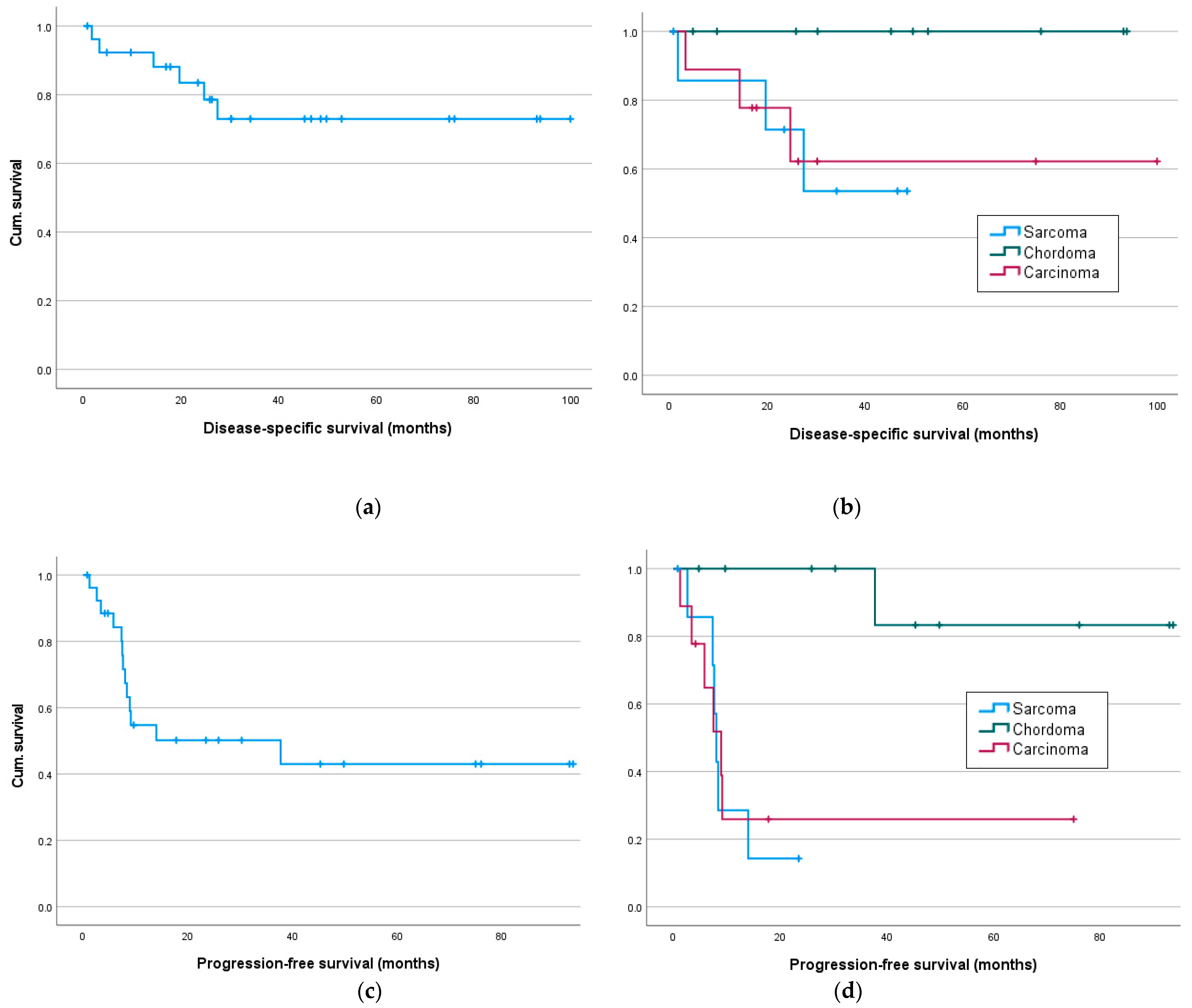
3. Results
3.1. Clinical Characteristics
3.2. Survival Analysis
3.3. Complications
4. Discussion
4.1. Clinical Characteristics, Surgical Resection and Margins
4.2. Survival Analysis
4.3. Complications
5. Conclusions
Author Contributions
Funding
Institutional Review Board Statement
Informed Consent Statement
Data Availability Statement
Conflicts of Interest
References
- Wang, J.; Li, D.; Yang, R.; Tang, X.; Yan, T.; Guo, W. Outcome of surgical treatment of children and adolescents with primary malignant sacral tumours. Int. Orthop. 2020, 44, 1841–1851. [Google Scholar] [CrossRef] [PubMed]
- Wedekind, M.F.; Widemann, B.C.; Cote, G. Chordoma: Current status, problems, and future directions. Curr. Probl. Cancer 2021, 45, 100771. [Google Scholar] [CrossRef] [PubMed]
- Corre, I.; Verrecchia, F.; Crenn, V.; Redini, F.; Trichet, V. The Osteosarcoma Microenvironment: A Complex but Targetable Ecosystem. Cells 2020, 9, 976. [Google Scholar] [CrossRef] [PubMed]
- Pennington, Z.; Ehresman, J.; Pittman, P.D.; Ahmed, A.K.; Lubelski, D.; McCarthy, E.F.; Goodwin, C.R.; Sciubba, D.M. Chondrosarcoma of the spine: A narrative review. Spine J. Off. J. N. Am. Spine Soc. 2021, 21, 2078–2096. [Google Scholar] [CrossRef] [PubMed]
- Lau, Y.C.; Jongerius, K.; Wakeman, C.; Heriot, A.G.; Solomon, M.J.; Sagar, P.M.; Tekkis, P.P.; Frizelle, F.A. Influence of the level of sacrectomy on survival in patients with locally advanced and recurrent rectal cancer. Br. J. Surg. 2019, 106, 484–490. [Google Scholar] [CrossRef] [PubMed]
- Dozois, E.J.; Privitera, A.; Holubar, S.D.; Aldrete, J.F.; Sim, F.H.; Rose, P.S.; Walsh, M.F.; Bower, T.C.; Leibovich, B.C.; Nelson, H.; et al. High sacrectomy for locally recurrent rectal cancer: Can long-term survival be achieved? J. Surg. Oncol. 2011, 103, 105–109. [Google Scholar] [CrossRef] [PubMed]
- George, B.; Bresson, D.; Bouazza, S.; Froelich, S.; Mandonnet, E.; Hamdi, S.; Orabi, M.; Polivka, M.; Cazorla, A.; Adle-Biassette, H.; et al. Les chordomes [Chordoma]. Neuro-Chir. 2014, 60, 63–140. [Google Scholar] [CrossRef]
- Sabourin, M.; Biau, D.; Babinet, A.; Dumaine, V.; Tomeno, B.; Anract, P. Surgical management of pelvic primary bone tumors involving the sacroiliac joint. Orthop. Traumatol. Surg. Res. OTSR 2009, 95, 284–292. [Google Scholar] [CrossRef] [PubMed]
- Bederman, S.S.; Shah, K.N.; Hassan, J.M.; Hoang, B.H.; Kiester, P.D.; Bhatia, N.N. Surgical techniques for spinopelvic reconstruction following total sacrectomy: A systematic review. Eur. Spine J. 2014, 23, 305–319. [Google Scholar] [CrossRef]
- Du, Z.; Guo, W.; Yang, R.; Tang, X.; Ji, T.; Li, D. What Is the Value of Surgical Intervention for Sacral Metastases? PLoS ONE 2016, 11, e0168313. [Google Scholar] [CrossRef]
- Bosma, S.E.; Cleven, A.; Dijkstra, P. Can Navigation Improve the Ability to Achieve Tumor-free Margins in Pelvic and Sacral Primary Bone Sarcoma Resections? A Historically Controlled Study. Clin. Orthop. Relat. Res. 2019, 477, 1548–1559. [Google Scholar] [CrossRef] [PubMed]
- Zhang, Y.; Zhang, Q.; Zhong, L.; Qiu, L.; Xu, L.; Sun, Y.; Niu, X.; Zhang, L. New perspectives on surgical accuracy analysis of image-guided bone tumour resection surgery. Int. Orthop. 2020, 44, 987–994. [Google Scholar] [CrossRef] [PubMed]
- Sun, M.; Zuo, D.; Wang, H.; Sheng, J.; Ma, X.; Wang, C.; Zan, P.; Hua, Y.; Sun, W.; Cai, Z. Surgical Treatment of Sacral Metastatic Tumors. Front. Oncol. 2021, 11, 640933. [Google Scholar] [CrossRef] [PubMed]
- Dickey, I.D.; Hugate, R.R., Jr.; Fuchs, B.; Yaszemski, M.J.; Sim, F.H. Reconstruction after total sacrectomy: Early experience with a new surgical technique. Clin. Orthop. Relat. Res. 2005, 438, 42–50. [Google Scholar] [CrossRef] [PubMed]
- Pu, F.; Zhang, Z.; Wang, B.; Wu, Q.; Liu, J.; Shao, Z. Total sacrectomy with a combined antero-posterior surgical approach for malignant sacral tumours. Int. Orthop. 2021, 45, 1347–1354. [Google Scholar] [CrossRef] [PubMed]
- Rogers, A.C.; Jenkins, J.T.; Rasheed, S.; Malietzis, G.; Burns, E.M.; Kontovounisios, C.; Tekkis, P.P. Towards Standardisation of Technique for En Bloc Sacrectomy for Locally Advanced and Recurrent Rectal Cancer. J. Clin. Med. 2021, 10, 4921. [Google Scholar] [CrossRef] [PubMed]
- Kim, J.E.; Pang, J.; Christensen, J.M.; Coon, D.; Zadnik, P.L.; Wolinsky, J.P.; Gokaslan, Z.L.; Bydon, A.; Sciubba, D.M.; Witham, T.; et al. Soft-tissue reconstruction after total en bloc sacrectomy. J. Neurosurg. Spine 2015, 22, 571–581. [Google Scholar] [CrossRef] [PubMed]
- Al Eissa, S.; Al-Habib, A.F.; Jahangiri, F.R. Computer-Assisted Navigation During an Anterior-Posterior En Bloc Resection of a Sacral Tumor. Cureus 2015, 7, e373. [Google Scholar] [CrossRef]
- Li, D.; Guo, W.; Qu, H.; Yang, R.; Tang, X.; Yan, T.; Tang, S.; Yang, Y.; Ji, T.; Dong, S. Experience with wound complications after surgery for sacral tumors. Eur. Spine J. 2013, 22, 2069–2076. [Google Scholar] [CrossRef]
- Harries, R.L.; Radwan, R.W.; Dewi, M.; Cubitt, J.; Warbrick-Smith, J.; Sadiq, O.; Beynon, J.; Evans, M.D.; Drew, P.; Swansea Pelvic Oncology Collaborators. Outcomes following Immediate Vertical Rectus Abdominis Myocutaneous (VRAM) Flap-Based Perineal Reconstruction Following Resectional Surgery for Pelvic Malignancies. World J. Surg. 2021, 45, 2290–2297. [Google Scholar] [CrossRef]
- Shu, L.; Muheremu, A.; Shoukeer, K.; Ji, Y. Prophylactic application of vancomycin powder in preventing surgical site infections after spinal surgery. World Neurosurg. 2023, 171, e542–e553. [Google Scholar] [CrossRef]
- Feiz-Erfan, I.; Fox, B.D.; Nader, R.; Suki, D.; Chakrabarti, I.; Mendel, E.; Gokaslan, Z.L.; Rao, G.; Rhines, L.D. Surgical treatment of sacral metastases: Indications and results. J. Neurosurg. Spine 2012, 17, 285–291. [Google Scholar] [CrossRef]
- Hanna, S.A.; Aston, W.J.; Briggs, T.W.; Cannon, S.R.; Saifuddin, A. Sacral chordoma: Can local recurrence after sacrectomy be predicted? Clin. Orthop. Relat. Res. 2008, 466, 2217–2223. [Google Scholar] [CrossRef] [PubMed]
- Ozdemir, M.H.; Gürkan, I.; Yildiz, Y.; Yilmaz, C.; Saglik, Y. Surgical treatment of malignant tumours of the sacrum. Eur. J. Surg. Oncol. 1999, 25, 44–49. [Google Scholar] [CrossRef]
- McDermott, F.T.; Hughes, E.S.; Pihl, E.; Johnson, W.R.; Price, A.B. Local recurrence after potentially curative resection for rectal cancer in a series of 1008 patients. Br. J. Surg. 1985, 72, 34–37. [Google Scholar] [CrossRef]
- Kokelaar, R.F.; Evans, M.D.; Davies, M.; Harris, D.A.; Beynon, J. Locally advanced rectal cancer: Management challenges. OncoTargets Ther. 2016, 9, 6265–6272. [Google Scholar] [CrossRef]
- Clarke, M.J.; Dasenbrock, H.; Bydon, A.; Sciubba, D.M.; McGirt, M.J.; Hsieh, P.C.; Yassari, R.; Gokaslan, Z.L.; Wolinsky, J.P. Posterior-only approach for en bloc sacrectomy: Clinical outcomes in 36 consecutive patients. Neurosurgery 2012, 71, 357–364. [Google Scholar] [CrossRef]
- McLoughlin, G.S.; Sciubba, D.M.; Suk, I.; Witham, T.; Bydon, A.; Gokaslan, Z.L.; Wolinsky, J.P. En bloc total sacrectomy performed in a single stage through a posterior approach. Neurosurgery 2008, 63 (Suppl. S1), ONS115–ONS120. [Google Scholar] [CrossRef] [PubMed]
- Rose, P.S.; Houdek, M.T. Team Approach: Oncologic Sacrectomy. JBJS Rev. 2020, 8, e1900226. [Google Scholar] [CrossRef] [PubMed]
- Varga, P.P.; Szövérfi, Z.; Fisher, C.G.; Boriani, S.; Gokaslan, Z.L.; Dekutoski, M.B.; Chou, D.; Quraishi, N.A.; Reynolds, J.J.; Luzzati, A.; et al. Surgical treatment of sacral chordoma: Prognostic variables for local recurrence and overall survival. Eur. Spine J. 2015, 24, 1092–1101. [Google Scholar] [CrossRef]
- Boyle, K.M.; Sagar, P.M.; Chalmers, A.G.; Sebag-Montefiore, D.; Cairns, A.; Eardley, I. Surgery for locally recurrent rectal cancer. Dis. Colon Rectum 2005, 48, 929–937. [Google Scholar] [CrossRef] [PubMed]
- Morris, G.V.; Stevenson, J.D.; Evans, S.; Parry, M.C.; Jeys, L. Navigation in Musculoskeletal Oncology: An Overview. Indian J. Orthop. 2018, 52, 22–30. [Google Scholar] [CrossRef] [PubMed]
- Young, P.S.; Bell, S.W.; Mahendra, A. The evolving role of computer-assisted navigation in musculoskeletal oncology. Bone Jt. J. 2015, 97-B, 258–264. [Google Scholar] [CrossRef]
- Aponte-Tinao, L.; Ritacco, L.E.; Ayerza, M.A.; Muscolo, D.L.; Albergo, J.I.; Farfalli, G.L. Does intraoperative navigation assistance improve bone tumor resection and allograft reconstruction results? Clin. Orthop. Relat. Res. 2015, 473, 796–804. [Google Scholar] [CrossRef] [PubMed]
- Farfalli, G.L.; Albergo, J.I.; Ritacco, L.E.; Ayerza, M.A.; Milano, F.E.; Aponte-Tinao, L.A. What Is the Expected Learning Curve in Computer-Assisted Navigation for Bone Tumor Resection? Clin. Orthop. Relat. Res. 2017, 475, 668–675. [Google Scholar] [CrossRef] [PubMed]
- Jeys, L.; Matharu, G.S.; Nandra, R.S.; Grimer, R.J. Can computer navigation-assisted surgery reduce the risk of an intralesional margin and reduce the rate of local recurrence in patients with a tumour of the pelvis or sacrum? Bone Jt. J. 2013, 95-B, 1417–1424. [Google Scholar] [CrossRef]
- Nijkamp, J.; Kuhlmann, K.; Ivashchenko, O.; Pouw, B.; Hoetjes, N.; Lindenberg, M.A.; Aalbers, A.; Beets, G.L.; van Coevorden, F.; KoK, N.; et al. Prospective study on image-guided navigation surgery for pelvic malignancies. J. Surg. Oncol. 2019, 119, 510–517. [Google Scholar] [CrossRef] [PubMed]
- Konakondla, S.; Albers, J.A.; Li, X.; Barber, S.M.; Nakhla, J.; Houghton, C.E.; Telfeian, A.E.; Oyelese, A.A.; Fridley, J.S.; Gokaslan, Z.L. Maximizing Sacral Chordoma Resection by Precise 3-Dimensional Tumor Modeling in the Operating Room Using Intraoperative Computed Tomography Registration with Preoperative Magnetic Resonance Imaging Fusion and Intraoperative Neuronavigation: A Case Series. World Neurosurg. 2019, 125, e1125–e1131. [Google Scholar] [CrossRef] [PubMed]
- Drazin, D.; Bhamb, N.; Al-Khouja, L.T.; Kappel, A.D.; Kim, T.T.; Johnson, J.P.; Brien, E. Image-guided resection of aggressive sacral tumors. Neurosurg. Focus 2017, 42, E15. [Google Scholar] [CrossRef] [PubMed]
- Abraham, J.A.; Kenneally, B.; Amer, K.; Geller, D.S. Can Navigation-assisted Surgery Help Achieve Negative Margins in Resection of Pelvic and Sacral Tumors? Clin. Orthop. Relat. Res. 2018, 476, 499–508. [Google Scholar] [CrossRef] [PubMed]
- Laitinen, M.K.; Parry, M.C.; Albergo, J.I.; Grimer, R.J.; Jeys, L.M. Is computer navigation when used in the surgery of iliosacral pelvic bone tumours safer for the patient? Bone Jt. J. 2017, 99-B, 261–266. [Google Scholar] [CrossRef]
- Cho, H.S.; Oh, J.H.; Han, I.; Kim, H.S. The outcomes of navigation-assisted bone tumour surgery: Minimum three-year follow-up. J. Bone Jt. Surg. Br. Vol. 2012, 94, 1414–1420. [Google Scholar] [CrossRef]
- Wong, K.C.; Kumta, S.M. Computer-assisted tumor surgery in malignant bone tumors. Clin. Orthop. Relat. Res. 2013, 471, 750–761. [Google Scholar] [CrossRef]
- Sasikumar, A.; Bhan, C.; Jenkins, J.T.; Antoniou, A.; Murphy, J. Systematic Review of Pelvic Exenteration with En Bloc Sacrectomy for Recurrent Rectal Adenocarcinoma: R0 Resection Predicts Disease-Free Survival. Dis. Colon Rectum 2017, 60, 346–352. [Google Scholar] [CrossRef] [PubMed]
- D’Amore, T.; Boyce, B.; Mesfin, A. Chordoma of the mobile spine and sacrum: Clinical management and prognosis. J. Spine Surg. 2018, 4, 546–552. [Google Scholar] [CrossRef] [PubMed]
- Colangeli, S.; Muratori, F.; Bettini, L.; Frenos, F.; Totti, F.; D’Arienzo, A.; Campo, F.R.; Scoccianti, G.; Beltrami, G.; Campanacci, D.A.; et al. Surgical Treatment of Sacral Chordoma: En Bloc Resection with Negative Margins is a Determinant of the Long-Term Outcome. Surg. Technol. Int. 2018, 33, 343–348. [Google Scholar] [PubMed]
- Nader, R.; Rhines, L.D.; Mendel, E. Metastatic sacral tumors. Neurosurg. Clin. N. Am. 2004, 15, 453–457. [Google Scholar] [CrossRef] [PubMed]
- Wang, Y.; Guo, W.; Shen, D.; Tang, X.; Yang, Y.; Ji, T.; Xu, X. Surgical Treatment of Primary Osteosarcoma of the Sacrum: A Case Series of 26 Patients. Spine 2017, 42, 1207–1213. [Google Scholar] [CrossRef] [PubMed]
- Lopez, M.J.; Luna-Pérez, P. Composite pelvic exenteration: Is it worthwhile? Ann. Surg. Oncol. 2004, 11, 27–33. [Google Scholar] [CrossRef] [PubMed]
- Maetani, S.; Nishikawa, T.; Iijima, Y.; Tobe, T.; Kotoura, Y.; Shikata, J.; Yamamura, T. Extensive en bloc resection of regionally recurrent carcinoma of the rectum. Cancer 1992, 69, 2876–2883. [Google Scholar] [CrossRef] [PubMed][Green Version]
- Sagar, P.M.; Gonsalves, S.; Heath, R.M.; Phillips, N.; Chalmers, A.G. Composite abdominosacral resection for recurrent rectal cancer. Br. J. Surg. 2009, 96, 191–196. [Google Scholar] [CrossRef] [PubMed]
- Stacchiotti, S.; Gronchi, A.; Fossati, P.; Akiyama, T.; Alapetite, C.; Baumann, M.; Blay, J.Y.; Bolle, S.; Boriani, S.; Bruzzi, P.; et al. Best practices for the management of local-regional recurrent chordoma: A position paper by the Chordoma Global Consensus Group. Ann. Oncol. Off. J. Eur. Soc. Med. Oncol. 2017, 28, 1230–1242. [Google Scholar] [CrossRef]
- Yu, X.; Kou, C.; Bai, W.; Yu, W.; Zhu, B.; Zhang, M.; Hua, W.; Li, Y.; Duan, R.; Yin, F. Comparison of Wide Margin and Inadequate Margin for Recurrence in Sacral Chordoma: A Meta-Analysis. Spine 2020, 45, 814–819. [Google Scholar] [CrossRef]
- Hulen, C.A.; Temple, H.T.; Fox, W.P.; Sama, A.A.; Green, B.A.; Eismont, F.J. Oncologic and functional outcome following sacrectomy for sacral chordoma. J. Bone Jt. Surg. Am. Vol. 2006, 88, 1532–1539. [Google Scholar] [CrossRef]
- Fujiwara, T.; Tsuda, Y.; Stevenson, J.; Parry, M.; Jeys, L. Sacral chordoma: Do the width of surgical margin and the use of photon/proton radiotherapy affect local disease control? Int. Orthop. 2020, 44, 381–389. [Google Scholar] [CrossRef] [PubMed]
- van Wulfften Palthe, O.; Tromp, I.; Ferreira, A.; Fiore, A.; Bramer, J.; van Dijk, N.C.; De Laney, T.F.; Schwab, J.H.; Hornicek, F.J. Sacral chordoma: A clinical review of 101 cases with 30-year experience in a single institution. Spine J. Off. J. N. Am. Spine Soc. 2019, 19, 869–879. [Google Scholar] [CrossRef]
- Gosheger, G.; Ahrens, H.; Dreher, P.; Schneider, K.N.; Deventer, N.; Budny, T.; Heitkötter, B.; Schulze, M.; Theil, C. Evaluation of a novel classification system to predict local recurrence in sarcoma patients undergoing hemipelvectomy with iliosacral resection. Bone Jt. J. 2022, 104-B, 290–296. [Google Scholar] [CrossRef]
- Branco ESilva, M.; Branco ESilva, M.; Conceição Maia Martins, S.; Voltan Garofo, K.; Eduardo Hideo Hanasilo, C.; Etchebehere, M. Analysis of morbidity and mortality in patients with primary bone tumors who underwent sacrectomy: A systematic review. J. Bone Oncol. 2022, 35, 100445. [Google Scholar] [CrossRef]
- Zang, J.; Guo, W.; Yang, R.; Tang, X.; Li, D. Is total en bloc sacrectomy using a posterior-only approach feasible and safe for patients with malignant sacral tumors? J. Neurosurg. Spine 2015, 22, 563–570. [Google Scholar] [CrossRef]
- Dubory, A.; Missenard, G.; Lambert, B.; Court, C. Interest of Laparoscopy for “En Bloc” Resection of Primary Malignant Sacral Tumors by Combined Approach: Comparative Study with Open Median Laparotomy. Spine 2015, 40, 1542–1552. [Google Scholar] [CrossRef] [PubMed]
- Papalambros, E.; Sigala, F.; Felekouras, E.; Prassas, E.; Giannopoulos, A.; Aessopos, A.; Bastounis, E.; Hepp, W. Management of massive presacral bleeding during low pelvic surgery—An alternative technique. Zentralblatt Für Chir. 2005, 130, 267–269. [Google Scholar] [CrossRef]
- Zhang, Y.; Guo, W.; Tang, X.; Yang, R.; Yan, T.; Dong, S.; Wang, S.; Zaphiros, N. Can Aortic Balloon Occlusion Reduce Blood Loss During Resection of Sacral Tumors That Extend into the Lower Lumber Spine? Clin. Orthop. Relat. Res. 2018, 476, 490–498. [Google Scholar] [CrossRef]
- Asaad, M.; Rajesh, A.; Wahood, W.; Vyas, K.S.; Houdek, M.T.; Rose, P.S.; Moran, S.L. Flap reconstruction for sacrectomy defects: A systematic review and meta-analysis. J. Plast. Reconstr. Aesthetic Surg. JPRAS 2020, 73, 255–268. [Google Scholar] [CrossRef] [PubMed]
- Horch, R.E.; Hohenberger, W.; Eweida, A.; Kneser, U.; Weber, K.; Arkudas, A.; Merkel, S.; Göhl, J.; Beier, J.P. A hundred patients with vertical rectus abdominis myocutaneous (VRAM) flap for pelvic reconstruction after total pelvic exenteration. Int. J. Color. Dis. 2014, 29, 813–823. [Google Scholar] [CrossRef]
- Mindea, S.A.; Chinthakunta, S.; Moldavsky, M.; Gudipally, M.; Khalil, S. Biomechanical comparison of spinopelvic reconstruction techniques in the setting of total sacrectomy. Spine 2012, 37, E1622–E1627. [Google Scholar] [CrossRef] [PubMed]
- Macki, M.; De la Garza-Ramos, R.; Murgatroyd, A.A.; Mullinix, K.P.; Sun, X.; Cunningham, B.W.; McCutcheon, B.A.; Bydon, M.; Gokaslan, Z.L. Comprehensive biomechanical analysis of three reconstruction techniques following total sacrectomy: An in vitro human cadaveric model. J. Neurosurg. Spine 2017, 27, 570–577. [Google Scholar] [CrossRef]
- Fradet, L.; Bianco, R.J.; Tatsumi, R.; Coleman, J.; Aubin, C.É. Biomechanical comparison of sacral and transarticular sacroiliac screw fixation. Spine Deform. 2020, 8, 853–862. [Google Scholar] [CrossRef] [PubMed]
- Eltes, P.E.; Turbucz, M.; Fayad, J.; Bereczki, F.; Szőke, G.; Terebessy, T.; Lacroix, D.; Varga, P.P.; Lazary, A. A Novel Three-Dimensional Computational Method to Assess Rod Contour Deformation and to Map Bony Fusion in a Lumbopelvic Reconstruction after En-Bloc Sacrectomy. Front. Surg. 2022, 8, 698179. [Google Scholar] [CrossRef] [PubMed]
- Jin, C.J.; Berry-Candelario, J.; Reiner, A.S.; Laufer, I.; Higginson, D.S.; Schmitt, A.M.; Lis, E.; Barzilai, O.; Boland, P.; Yamada, Y.; et al. Long-term outcomes of high-dose single-fraction radiosurgery for chordomas of the spine and sacrum. J. Neurosurg. Spine 2019, 32, 79–88. [Google Scholar] [CrossRef]
- Schlaff, C.D.; Krauze, A.; Belard, A.; O’Connell, J.J.; Camphausen, K.A. Bringing the heavy: Carbon ion therapy in the radiobiological and clinical context. Radiat. Oncol. 2014, 9, 88. [Google Scholar] [CrossRef]
- Demizu, Y.; Fujii, O.; Iwata, H.; Fuwa, N. Carbon ion therapy for early-stage non-small-cell lung cancer. BioMed Res. Int. 2014, 2014, 727962. [Google Scholar] [CrossRef]
- Yamada, S.; Kamada, T.; Ebner, D.K.; Shinoto, M.; Terashima, K.; Isozaki, Y.; Yasuda, S.; Makishima, H.; Tsuji, H.; Working Group on Locally Recurrent Rectal Cancer. Carbon-Ion Radiation Therapy for Pelvic Recurrence of Rectal Cancer. Int. J. Radiat. Oncol. Biol. Phys. 2016, 96, 93–101. [Google Scholar] [CrossRef]
- Shiba, S.; Okamoto, M.; Shibuya, K.; Okazaki, S.; Kobayashi, D.; Miyasaka, Y.; Ohno, T. Safety and Efficacy of Re-Irradiation with Carbon-Ion Radiotherapy for Pelvic Recurrence of Rectal Cancer after Preoperative Chemoradiotherapy: A Retrospective Analysis. In Vivo 2022, 36, 2473–2480. [Google Scholar] [CrossRef]
- Jeans, E.B.; Ebner, D.K.; Takiyama, H.; Qualls, K.; Cunningham, D.A.; Waddle, M.R.; Jethwa, K.R.; Harmsen, W.S.; Hubbard, J.M.; Dozois, E.J.; et al. Comparing Oncologic Outcomes and Toxicity for Combined Modality Therapy vs. Carbon-Ion Radiotherapy for Previously Irradiated Locally Recurrent Rectal Cancer. Cancers 2023, 15, 3057. [Google Scholar] [CrossRef]
- Imai, R.; Kamada, T.; Araki, N.; The Working Group for Bone and Soft-Tissue Sarcomas. Clinical Efficacy of Carbon Ion Radiotherapy for Unresectable Chondrosarcomas. Anticancer Res. 2017, 37, 6959–6964. [Google Scholar] [CrossRef] [PubMed]
- Yolcu, Y.U.; Zreik, J.; Wahood, W.; Bhatti, A.U.R.; Bydon, M.; Houdek, M.T.; Rose, P.S.; Mahajan, A.; Petersen, I.A.; Haddock, M.G.; et al. Comparison of Oncologic Outcomes and Treatment-Related Toxicity of Carbon Ion Radiotherapy and En Bloc Resection for Sacral Chordoma. JAMA Netw. Open 2022, 5, e2141927. [Google Scholar] [CrossRef] [PubMed]




| All n = 27 (%) | Sarcoma n = 8 (29.6%) | Chordoma n = 10 (37.0%) | Carcinoma n = 9 (33.3%) | p (χ2-Test) | ||||
|---|---|---|---|---|---|---|---|---|
| Sex | Female | 13 (48) | 6 (30) | 3 (30) | 4 (44) | 0.159 | ||
| Male | 14 (52) | 2 (25) | 7 (70) | 5 (56) | ||||
| Histology | Chordoma | 10 (37) | - | 10 (100) | - | - | ||
| Osteosarcoma | 3 (11) | 3 (37.5) | - | - | ||||
| Pleomorphic sarcoma | 2 (7) | 2 (25) | - | - | ||||
| Chondrosarcoma | 1 (4) | 1 (12.5) | - | - | ||||
| Rhabdomyosarcoma | 1 (4) | 1 (12.5) | - | - | ||||
| Myxoid liposarcoma | 1 (4) | 1 (12.5) | - | - | ||||
| Colorectal carcinoma | 9 (33) | - | - | 9 (100.0) | ||||
| Appearance | Primary tumor | 18 (67) | 8 (100) | 10 (100) | - | - | ||
| Local recurrence | 9 (33) | - | - | 9 (100) | ||||
| Multimodal therapy | Neoadj. chemotherapy | 13 (48) | 5 (62.5) | - | 8 (89) | 0.004 * | ||
| Neoadj. immunotherapy | 6 (22) | 2 (25) | 1 (10) | 3 (33) | 0.367 | |||
| Neoadj. radiation | 8 (30) | 2 (25) | 1 (10) | 5 (56) | 0.072 | |||
| Adj. radiation | 5 (18.5) | 1 (12.5) | 4 (40) | - | 0.071 | |||
| Sacrectomy level | Total | 9 (33) | 2 (25) | 3 (30) | 4 (44) | 0.670 | ||
| Partial high | S1 | 3 (11) | - | - | 3 (33) | |||
| S2 | 2 (7.5) | - | 2 (20) | - | ||||
| Partial low | S3 | 4 (15) | - | 4 (40) | - | |||
| S4 | 1 (4) | - | 1 (10) | - | ||||
| Hemi total | 6 (22) | 4 (50) | - | 2 (22) | ||||
| Hemi partial (S1-S3) | 2 (7.5) | 2 (20) | - | - | ||||
| Approach | Posterior | 9 (33) | 3 (37.5) | 6 (60) | - | 0.021 * | ||
| Anterior–posterior | 18 (67) | 5 (62.5) | 4 (40) | 9 (100) | ||||
| Additional | Intraop. 3D navigation | 12 (44) | 4 (50) | 3 (30) | 5 (56) | 0.498 | ||
| Spinopelvic fixation | 13 (48) | 6 (75) | 3 (30) | 4 (44) | 0.159 | |||
| VRAM flap | 10 (37) | 2 (25) | 1 (10) | 7 (78) | 0.007 * | |||
| Omentum majus transfer | 20 (74) | 5 (62.5) | 6 (60) | 9 (100) | 0.094 | |||
| Stoma | 21 (78) | 4 (50) | 9 (90) | 8 (89) | 0.079 | |||
| Resection status | R0 | 22 (81.5) | 6 (75) | 8 (80) | 8 (89) | - | ||
| R1 | 4 (15) | 2 (25) | 2 (20) | - | ||||
| Rx | 1 (3.5) | - | - | 1 (11) | ||||
| Outcome | All n = 27 (%) | Sarcoma n = 8 (30%) | Chordoma n = 10 (37%) | Carcinoma n = 9 (33%) | |
|---|---|---|---|---|---|
| Status of last follow-up | NED 1 | 13 (48) | 2 (25) | 8 (80) | 3 (33.3) |
| AWD 1 | 5 (19) | 2 (25) | - | 3 (33.3) | |
| DOD 1 | 6 (22) | 3 (37.5) | - | 3 (33.3) | |
| DOC 1 | 1 (4) | - | 1 (10) | - | |
| LTF 1 | 2 (7) | 1 (12.5) | 1 (10) | - | |
| Distant metastasis 2 | Yes | 13 (52) | 6 (86) | 1 (11) | 6 (67) |
| No | 12 (48) | 1 (14) | 8 (89) | 3 (33) | |
| Local recurrence 2 | Yes | 7 (28) | 4 (57) | 1 (11) | 2 (22) |
| No | 18 (72) | 3 (43) | 8 (89) | 7 (78) | |
| Disease-Specific Survival p = | Progression-Free Survival p = | Metastasis-Free Survival p = | Local Recurrence-Free Survival p = | |
|---|---|---|---|---|
| Age ≥ 60 years | 0.702 | 0.104 | 0.108 | 0.381 |
| Sarcoma/chordoma/carcinoma | 0.106 | 0.003 * (Sar/Chor/Ca: 10/84/24 mon.) | 0.003 * (Sar/Chor/Ca: 15/84/24 mon.) | 0.024 * (Sar/Chor/Ca: 16/84/74 mon.) |
| Neoadj. chemo-/immunotherapy | 0.087 | 0.017 * (yes/no: 22/70 mon.) | 0.014 * (yes/no: 22/70 mon.) | 0.179 |
| Neoadj. radiation | 0.962 | 0.706 | 0.868 | 0.328 |
| Adj. radiation | 0.148 | 0.071 | 0.065 | 0.361 |
| Intraop. 3D navigation | 0.819 | 0.627 | 0.548 | 0.491 |
| Partial/total sacrectomy | 0.735 | 0.134 | 0.256 | 0.167 |
| Approach (post./ant.–post.) | 0.920 | 0.104 | 0.124 | 0.050 * (ant.-post. < post.) |
| Spinopelvic fixation | 0.296 | 0.010 * (yes/no: 18/68 mon.) | 0.020 * (yes/no: 20/68 mon.) | 0.006 * (yes/no: 41/87 mon.) |
| Omentum transfer | 0.769 | 0.210 | 0.239 | 0.077 |
| R0 resection | 0.928 | 0.887 | 0.771 | 0.161 |
| Any complication | 0.780 | 0.710 | 0.692 | 0.674 |
| Infection | 0.814 | 0.148 | 0.349 | 0.092 |
| Metastases in FU | 0.017 * (yes < no) | <0.001 * (yes < no) | - | 0.002 * (yes < no) |
| Recurrence in FU | 0.899 | 0.044 * (yes/no: 13/62 mon.) | 0.066 | - |
| All Patients n = 27 (%) | Posterior Approach n = 9 (%) | Anterior–Posterior Approach n = 18 (%) | |||
|---|---|---|---|---|---|
| All complications | 22 (81.5) | 7 (78) | 15 (83) | ||
| Wound-healing disorder/infection | All | 17 (63) | 5 (56) | 12 (67) | |
| Deep infection | 10 (37) | 2 (22) | 8 (44) | ||
| Wound-healing disorder | 7 (26) | 3 (33) | 7 (39) | ||
| With sepsis | 3 (11) | - | 3 (17) | ||
| Hematoma/bleeding | 6 (22) | 2 (22) | 4 (22) | ||
| Implant-associated | All (8 complications) | 6 (22) | 2 (22) | 4 (22) | |
| Rod breakage | n = | 2 (7) | - | 2 (11) | |
| Rod dislocation | n = | 2 (7) | 1 (11) | 1 (6) | |
| Screw breakage | n = | 2 (7) | 1 (11) | 1 (6) | |
| Screw malposition | n = | 1 (4) | - | 1 (6) | |
| Screw connector loosening | n = | 1 (4) | 1 (11) | - | |
| Urological | Urinary tract infection | 3 (11) | - | 3 (17) | |
| Thromboembolic | All | 2 (7) | - | 2 (11) | |
| 4-level thrombosis | 1 (4) | - | 1 (6) | ||
| Pulmonary artery embolism | 1 (4) | - | 1 (6) | ||
| Visceral surgical | All | 2 (7) | 1 (11) | 1 (6) | |
| Paralytic ileus | 1 (4) | 1 (11) | - | ||
| Ischiorectal hernia | 1 (4) | - | 1 (5.6) | ||
| Fracture | Insufficiency fracture SWK1 | 2 (7) | - | 2 (11.1) | |
| Pneumonia | 1 (4) | - | 1 (5.6) | ||
| Any Complication p (χ2-Test) = | Deep Infection p (χ2-Test) = | Wound-Healing Disorder p (χ2-Test) = | |
|---|---|---|---|
| Age ≥ 60 years | 0.686 | 0.516 | 0.745 |
| Neoadj. chemo-/immunotherapy | 0.825 | 0.656 | 0.326 |
| Neoadj. radiation | 0.280 | 0.974 | 0.064 |
| Adj. radiation | 0.925 | 0.879 | 0.738 |
| Intraop. 3D Navigation | 0.825 | 0.516 | 0.580 |
| Sacrectomy level | 0.488 | 0.491 | 0.364 |
| Approach | 0.726 | 0.260 | 0.535 |
| Spinopelvic fixation | 0.686 | 0.883 | 0.745 |
| VRAM flap | 0.879 | 0.042 * | 0.065 |
| Omentum majus transfer | 0.738 | 0.148 | 0.235 |
| Stoma | 0.555 | 0.241 | 0.010 * |
Disclaimer/Publisher’s Note: The statements, opinions and data contained in all publications are solely those of the individual author(s) and contributor(s) and not of MDPI and/or the editor(s). MDPI and/or the editor(s) disclaim responsibility for any injury to people or property resulting from any ideas, methods, instructions or products referred to in the content. |
© 2024 by the authors. Licensee MDPI, Basel, Switzerland. This article is an open access article distributed under the terms and conditions of the Creative Commons Attribution (CC BY) license (https://creativecommons.org/licenses/by/4.0/).
Share and Cite
Weidlich, A.; Schaser, K.-D.; Weitz, J.; Kirchberg, J.; Fritzmann, J.; Reeps, C.; Schwabe, P.; Melcher, I.; Disch, A.; Dragu, A.; et al. Surgical and Oncologic Outcome following Sacrectomy for Primary Malignant Bone Tumors and Locally Recurrent Rectal Cancer. Cancers 2024, 16, 2334. https://doi.org/10.3390/cancers16132334
Weidlich A, Schaser K-D, Weitz J, Kirchberg J, Fritzmann J, Reeps C, Schwabe P, Melcher I, Disch A, Dragu A, et al. Surgical and Oncologic Outcome following Sacrectomy for Primary Malignant Bone Tumors and Locally Recurrent Rectal Cancer. Cancers. 2024; 16(13):2334. https://doi.org/10.3390/cancers16132334
Chicago/Turabian StyleWeidlich, Anne, Klaus-Dieter Schaser, Jürgen Weitz, Johanna Kirchberg, Johannes Fritzmann, Christian Reeps, Philipp Schwabe, Ingo Melcher, Alexander Disch, Adrian Dragu, and et al. 2024. "Surgical and Oncologic Outcome following Sacrectomy for Primary Malignant Bone Tumors and Locally Recurrent Rectal Cancer" Cancers 16, no. 13: 2334. https://doi.org/10.3390/cancers16132334
APA StyleWeidlich, A., Schaser, K.-D., Weitz, J., Kirchberg, J., Fritzmann, J., Reeps, C., Schwabe, P., Melcher, I., Disch, A., Dragu, A., Winkler, D., Mehnert, E., & Fritzsche, H. (2024). Surgical and Oncologic Outcome following Sacrectomy for Primary Malignant Bone Tumors and Locally Recurrent Rectal Cancer. Cancers, 16(13), 2334. https://doi.org/10.3390/cancers16132334

