Clinical Importance of Grading Tumor Spread through Air Spaces in Early-Stage Small-Lung Adenocarcinoma
Abstract
Simple Summary
Abstract
1. Introduction
2. Materials and Methods
2.1. Patient Characteristics
2.2. Pathological Examination
2.3. Grading of Spread through Air Spaces
2.4. Estimation of Clinical Manifestation
2.5. Statistical Analysis
3. Results
3.1. Patient Characteristics
3.2. Pathological Description
3.3. Risk Factors Relating to the Presence and Grading of Spread through Air Spaces
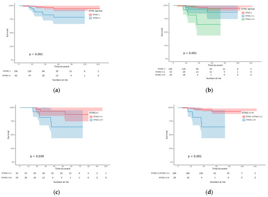
3.4. Survival Analysis
4. Discussion
5. Conclusions
Supplementary Materials
Author Contributions
Funding
Institutional Review Board Statement
Informed Consent Statement
Data Availability Statement
Conflicts of Interest
References
- Jia, M.; Yu, S.; Gao, H.; Sun, P.-L. Spread through air spaces (STAS) in lung cancer: A multiple-perspective and update review. Cancer Manag. Res. 2020, 12, 2743–2752. [Google Scholar] [CrossRef] [PubMed]
- Kadota, K.; Nitadori, J.-i.; Sima, C.S.; Ujiie, H.; Rizk, N.P.; Jones, D.R.; Adusumilli, P.S.; Travis, W.D. Tumor spread through air spaces is an important pattern of invasion and impacts the frequency and location of recurrences after limited resection for small stage I lung adenocarcinomas. J. Thorac. Oncol. 2015, 10, 806–814. [Google Scholar] [CrossRef] [PubMed]
- Warth, A.; Muley, T.; Kossakowski, C.A.; Goeppert, B.; Schirmacher, P.; Dienemann, H.; Weichert, W. Prognostic impact of intra-alveolar tumor spread in pulmonary adenocarcinoma. Am. J. Surg. Pathol. 2015, 39, 793–801. [Google Scholar] [CrossRef] [PubMed]
- Travis, W.D.; Brambilla, E.; Nicholson, A.G.; Yatabe, Y.; Austin, J.H.; Beasley, M.B.; Chirieac, L.R.; Dacic, S.; Duhig, E.; Flieder, D.B. The 2015 World Health Organization classification of lung tumors: Impact of genetic, clinical and radiologic advances since the 2004 classification. J. Thorac. Oncol. 2015, 10, 1243–1260. [Google Scholar] [CrossRef] [PubMed]
- Liu, H.; Yin, Q.; Yang, G.; Qie, P. Prognostic impact of tumor spread through air spaces in non-small cell lung cancers: A meta-analysis including 3564 patients. Pathol. Oncol. Res. 2019, 25, 1303–1310. [Google Scholar] [CrossRef] [PubMed]
- Toyokawa, G.; Yamada, Y.; Tagawa, T.; Kinoshita, F.; Kozuma, Y.; Matsubara, T.; Haratake, N.; Takamori, S.; Akamine, T.; Hirai, F. High frequency of spread through air spaces in resected small cell lung cancer. Anticancer Res. 2018, 38, 1821–1825. [Google Scholar] [PubMed]
- Na, K.J.; Kim, Y.T. Optimal Resection Strategies for Small-Size Lung Cancer: Is a Wedge Enough? Is Lobectomy too Much? JTCVS 2023, 16, 17–21. [Google Scholar] [CrossRef]
- Diebels, I.; Dubois, M.; Van Schil, P.E. Sublobar resection for early-stage lung cancer: An oncologically valid procedure? J. Clin. Med. 2023, 12, 2674. [Google Scholar] [CrossRef] [PubMed]
- Toyokawa, G.; Yamada, Y.; Tagawa, T.; Oda, Y. Significance of spread through air spaces in early-stage lung adenocarcinomas undergoing limited resection. Thorac. Cancer 2018, 9, 1255–1261. [Google Scholar] [CrossRef]
- Toyokawa, G.; Yamada, Y.; Tagawa, T.; Kozuma, Y.; Matsubara, T.; Haratake, N.; Takamori, S.; Akamine, T.; Oda, Y.; Maehara, Y. Significance of spread through air spaces in resected pathological stage I lung adenocarcinoma. Ann. Thorac. Surg. 2018, 105, 1655–1663. [Google Scholar] [CrossRef]
- Shih, A.R.; Mino-Kenudson, M. Updates on spread through air spaces (STAS) in lung cancer. Histopathology 2020, 77, 173–180. [Google Scholar] [CrossRef] [PubMed]
- Chen, D.; Mao, Y.; Wen, J.; She, Y.; Zhu, E.; Zhu, F.; Zhang, Y.; Fan, M.; Chen, C.; Chen, Y. Tumor spread through air spaces in non-small cell lung cancer: A systematic review and meta-analysis. Ann. Thorac. Surg. 2019, 108, 945–954. [Google Scholar] [CrossRef] [PubMed]
- Shiono, S.; Endo, M.; Suzuki, K.; Yarimizu, K.; Hayasaka, K.; Yanagawa, N. Spread through air spaces is a prognostic factor in sublobar resection of non-small cell lung cancer. Ann. Thorac. Surg. 2018, 106, 354–360. [Google Scholar] [CrossRef] [PubMed]
- Chae, M.; Jeon, J.H.; Chung, J.-H.; Lee, S.Y.; Hwang, W.J.; Jung, W.; Hwang, Y.; Cho, S.; Kim, K.; Jheon, S. Prognostic significance of tumor spread through air spaces in patients with stage IA part-solid lung adenocarcinoma after sublobar resection. Lung Cancer 2021, 152, 21–26. [Google Scholar] [CrossRef] [PubMed]
- Yang, Y.; Xie, X.; Wang, Y.; Li, X.; Luo, L.; Yao, Y.; Li, J. A systematic review and meta-analysis of the influence of STAS on the long-term prognosis of stage I lung adenocarcinoma. Transl. Cancer Res. 2021, 10, 2428. [Google Scholar] [CrossRef] [PubMed]
- Shimomura, M.; Miyagawa-Hayashino, A.; Omatsu, I.; Asai, Y.; Ishihara, S.; Okada, S.; Konishi, E.; Teramukai, S.; Inoue, M. Spread through air spaces is a powerful prognostic predictor in patients with completely resected pathological stage I lung adenocarcinoma. Lung Cancer 2022, 174, 165–171. [Google Scholar] [CrossRef] [PubMed]
- Yi, E.; Lee, J.H.; Jung, Y.; Chung, J.H.; Lee, Y.; Lee, S. Clinical implication of tumour spread through air spaces in pathological stage I lung adenocarcinoma treated with lobectomy. Interact. CardioVascular Thorac. Surg. 2021, 32, 64–72. [Google Scholar] [CrossRef] [PubMed]
- Xie, H.; Su, H.; Zhu, E.; Gu, C.; Zhao, S.; She, Y.; Ren, Y.; Xie, D.; Zheng, H.; Wu, C. Morphological subtypes of tumor spread through air spaces in non-small cell lung cancer: Prognostic heterogeneity and its underlying mechanism. Front. Oncol. 2021, 11, 608353. [Google Scholar] [CrossRef]
- Han, Y.B.; Kim, H.; Mino-Kenudson, M.; Cho, S.; Kwon, H.J.; Lee, K.R.; Kwon, S.; Lee, J.; Kim, K.; Jheon, S. Tumor spread through air spaces (STAS): Prognostic significance of grading in non-small cell lung cancer. Mod. Pathol. 2021, 34, 549–561. [Google Scholar] [CrossRef]
- Zombori-Tóth, N.; Paróczai, D.; Lantos, J.; Almási, S.; Sejben, A.; Tiszlavicz, L.; Cserni, G.; Furák, J.; Zombori, T. The more extensive the spread through air spaces, the worse the prognosis is: Semi-quantitative evaluation of spread through air spaces in pulmonary adenocarcinomas. Pathobiology 2023, 90, 104–113. [Google Scholar] [CrossRef]
- Travis, W.D.; Asamura, H.; Bankier, A.A.; Beasley, M.B.; Detterbeck, F.; Flieder, D.B.; Goo, J.M.; MacMahon, H.; Naidich, D.; Nicholson, A.G. The IASLC lung cancer staging project: Proposals for coding T categories for subsolid nodules and assessment of tumor size in part-solid tumors in the forthcoming eighth edition of the TNM classification of lung cancer. J. Thorac. Oncol. 2016, 11, 1204–1223. [Google Scholar] [CrossRef] [PubMed]
- Edge, S.; Byrd, D. AJCC Cancer Staging Manual, 8th ed.; The American College of Surgeons: Chicago, IL, USA, 2017. [Google Scholar]
- Aly, R.G.; Rekhtman, N.; Li, X.; Takahashi, Y.; Eguchi, T.; Tan, K.S.; Rudin, C.M.; Adusumilli, P.S.; Travis, W.D. Spread through air spaces (STAS) is prognostic in atypical carcinoid, large cell neuroendocrine carcinoma, and small cell carcinoma of the lung. J. Thorac. Oncol. 2019, 14, 1583–1593. [Google Scholar] [CrossRef] [PubMed]
- Mino-Kenudson, M. Significance of tumor spread through air spaces (STAS) in lung cancer from the pathologist perspective. Transl. Lung Cancer Res. 2020, 9, 847. [Google Scholar] [CrossRef] [PubMed]
- Uruga, H.; Fujii, T.; Fujimori, S.; Kohno, T.; Kishi, K. Semiquantitative assessment of tumor spread through air spaces (STAS) in early-stage lung adenocarcinomas. J. Thorac. Oncol. 2017, 12, 1046–1051. [Google Scholar] [CrossRef] [PubMed]
- Warth, A.; Beasley, M.B.; Mino-Kenudson, M. Breaking new ground: The evolving concept of spread through air spaces (STAS). J. Thorac. Oncol. 2017, 12, 176–178. [Google Scholar] [CrossRef] [PubMed]
- Kameda, K.; Eguchi, T.; Lu, S.; Solomon, S.; Bott, M.; Jones, D.; Rekhtman, N.; Travis, W.; Adusumilli, P. PUB019 preoperative needle biopsy and tumor spread through alveolar spaces (STAS) in resected lung adenocarcinomas. J. Thorac. Oncol. 2017, 12, S1458. [Google Scholar] [CrossRef]
- Lee, G.Y.; Chung, J.-H.; Cho, S.; Han, Y.B.; Park, Y.M.; Kim, H.-J.; Song, M.J.; Kwon, B.S.; Lim, S.Y.; Lee, Y.J. Impact of Preoperative Diagnostic Biopsy Procedure on Spread Through Airspaces and Related Outcomes in Resected Stage I Non-Small Cell Lung Cancer. Chest 2022, 162, 1199–1212. [Google Scholar] [CrossRef] [PubMed]
- Ren, Y.; Xie, H.; Dai, C.; She, Y.; Su, H.; Xie, D.; Zheng, H.; Zhang, L.; Jiang, G.; Wu, C. Prognostic impact of tumor spread through air spaces in sublobar resection for 1A lung adenocarcinoma patients. Ann. Surg. Oncol. 2019, 26, 1901–1908. [Google Scholar] [CrossRef] [PubMed]
- Blaauwgeers, H.; Flieder, D.; Warth, A.; Harms, A.; Monkhorst, K.; Witte, B.; Thunnissen, E. A prospective study of loose tissue fragments in non–small cell lung cancer resection specimens. Am. J. Surg. Pathol. 2017, 41, 1226–1230. [Google Scholar] [CrossRef]
- Thunnissen, E.; Blaauwgeers, H.J.; de Cuba, E.M.; Yick, C.Y.; Flieder, D.B. Ex vivo artifacts and histopathologic pitfalls in the lung. Arch. Pathol. Lab. Med. 2016, 140, 212–220. [Google Scholar] [CrossRef]
- Blaauwgeers, H.; Russell, P.A.; Jones, K.D.; Radonic, T.; Thunnissen, E. Pulmonary loose tumor tissue fragments and spread through air spaces (STAS): Invasive pattern or artifact? A critical review. Lung Cancer 2018, 123, 107–111. [Google Scholar] [CrossRef]
- Onozato, M.L.; Klepeis, V.E.; Yagi, Y.; Mino-Kenudson, M. A role of three-dimensional (3D)-reconstruction in the classification of lung adenocarcinoma. Anal. Cell. Pathol. 2012, 35, 79–84. [Google Scholar] [CrossRef]
- Yagi, Y.; Aly, R.G.; Tabata, K.; Barlas, A.; Rekhtman, N.; Eguchi, T.; Montecalvo, J.; Hameed, M.; Manova-Todorova, K.; Adusumilli, P.S. Three-dimensional histologic, immunohistochemical, and multiplex immunofluorescence analyses of dynamic vessel co-option of spread through air spaces in lung adenocarcinoma. J. Thorac. Oncol. 2020, 15, 589–600. [Google Scholar] [CrossRef]
- Lee, J.S.; Kim, E.K.; Kim, M.; Shim, H.S. Genetic and clinicopathologic characteristics of lung adenocarcinoma with tumor spread through air spaces. Lung Cancer 2018, 123, 121–126. [Google Scholar] [CrossRef]
- Kim, S.K.; Kim, T.J.; Chung, M.J.; Kim, T.S.; Lee, K.S.; Zo, J.I.; Shim, Y.M. Lung adenocarcinoma: CT features associated with spread through air spaces. Radiology 2018, 289, 831–840. [Google Scholar] [CrossRef]
- Kadota, K.; Kushida, Y.; Kagawa, S.; Ishikawa, R.; Ibuki, E.; Inoue, K.; Go, T.; Yokomise, H.; Ishii, T.; Kadowaki, N. Limited resection is associated with a higher risk of locoregional recurrence than lobectomy in stage I lung adenocarcinoma with tumor spread through air spaces. Am. J. Surg. Pathol. 2019, 43, 1033–1041. [Google Scholar] [CrossRef]
- Jia, M.; Yu, S.; Yu, J.; Li, Y.; Gao, H.; Sun, P.-L. Comprehensive analysis of spread through air spaces in lung adenocarcinoma and squamous cell carcinoma using the 8th edition AJCC/UICC staging system. BMC Cancer 2020, 20, 705. [Google Scholar] [CrossRef]
- Dai, C.; Xie, H.; Su, H.; She, Y.; Zhu, E.; Fan, Z.; Zhou, F.; Ren, Y.; Xie, D.; Zheng, H. Tumor spread through air spaces affects the recurrence and overall survival in patients with lung adenocarcinoma > 2 to 3 cm. J. Thorac. Oncol. 2017, 12, 1052–1060. [Google Scholar] [CrossRef]
- Nitadori, J.-i.; Bograd, A.J.; Kadota, K.; Sima, C.S.; Rizk, N.P.; Morales, E.A.; Rusch, V.W.; Travis, W.D.; Adusumilli, P.S. Impact of micropapillary histologic subtype in selecting limited resection vs lobectomy for lung adenocarcinoma of 2 cm or smaller. J. Natl. Cancer Inst. 2013, 105, 1212–1220. [Google Scholar] [CrossRef]
- Nentwich, M.F.; Bohn, B.A.; Uzunoglu, F.G.; Reeh, M.; Quaas, A.; Grob, T.J.; Perez, D.; Kutup, A.; Bockhorn, M.; Izbicki, J.R. Lymphatic invasion predicts survival in patients with early node-negative non–small cell lung cancer. J. Thorac. Cardiovasc. Surg. 2013, 146, 781–787. [Google Scholar] [CrossRef]
- Lakha, S.; Gomez, J.E.; Flores, R.M.; Wisnivesky, J.P. Prognostic significance of visceral pleural involvement in early-stage lung cancer. Chest 2014, 146, 1619–1626. [Google Scholar] [CrossRef]




| Variables | STAS (−) | STAS (+) | p-Value | Total | |||
|---|---|---|---|---|---|---|---|
| n (%) | n (%) | n (%) | |||||
| Mean ± SD (95% CI) | Mean ± SD (95% CI) | Mean ± SD (95% CI) | |||||
| Number | 156 (71.6) | 62 (28.4) | 218 (100.0) | ||||
| Age | 65.2 ± 1.0 (63.6–66.7) | 65.9 ± 9.9 (63.4–68.4) | 0.608 | 65.4 ± 9.9 (64.1–66.7) | |||
| 1.000 | |||||||
| <65 | 68 (43.6) | 27 (43.5) | 95 (43.6) | ||||
| ≥65 | 88 (56.4) | 35 (56.5) | 123 (56.4) | ||||
| Gender | 0.201 | ||||||
| Female | 97 (62.2) | 32 (51.6) | 129 (59.2) | ||||
| Male | 59 (37.8) | 30 (48.4) | 89 (40.8) | ||||
| CCI | 3.2 ± 1.7 (2.90–3.44) | 3.4 ± 2.0 (2.86–3.85) | 0.682 | 3.2 ± 1.8 (2.99–3.46) | |||
| 0.878 | |||||||
| ≤3 | 96 (61.5) | 37 (59.7) | 133 (61.0) | ||||
| >3 | 60 (38.5) | 25 (40.3) | 85 (39.0) | ||||
| Smoking history | 0.344 | ||||||
| Never | 109 (69.9) | 37 (59.7) | 146 (67.0) | ||||
| Current | 21 (13.5) | 9 (14.5) | 30 (13.8) | ||||
| Ex ≤ 15 | 17 (10.9) | 12 (19.4) | 29 (13.3) | ||||
| Ex > 15 | 9 (5.8) | 4 (6.5) | 13 (6.0) | ||||
| PPY | 9.1 ± 18.1 (6.18–11.91) | 16.8 ± 30.6 (8.98–24.52) | 0.067 | 11.2 ± 22.6 (8.22–14.25) | |||
| Clinical staging | |||||||
| cT | 0.001 | ||||||
| 1a | 32 (20.5) | 1 (1.6) | 33 (15.1) | ||||
| 1b | 41 (26.3) | 24 (38.7) | 65 (29.8) | ||||
| 1c | 1 (0.6) | 0 (0.0) | 1 (0.5) | ||||
| 2a | 80 (51.3) | 36 (58.1) | 116 (53.2) | ||||
| 3 | 2 (1.3) | 1 (1.6) | 3 (1.4) | ||||
| cN | 1.000 | ||||||
| 0 | 152 (97.4) | 61 (98.4) | 213 (97.7) | ||||
| 1 | 4 (2.6) | 1 (1.6) | 5 (2.3) | ||||
| Staging | <0.001 | ||||||
| IA1 | 31 (19.9) | 0 (0.0) | 31 (14.2) | ||||
| IA2 | 42 (26.9) | 24 (38.7) | 66 (30.3) | ||||
| IA3 | 1 (0.6) | 0 (0.0) | 1 (0.5) | ||||
| IB | 77 (49.4) | 36 (58.1) | 113 (51.8) | ||||
| IIA | 3 (1.9) | 0 (0.0) | 3 (1.4) | ||||
| IIB | 2 (1.3) | 2 (3.2) | 4 (1.8) | ||||
| CT findings | |||||||
| Total tumor size (mm, including GGO) | 17.6 ± 5.1 (16.80–18.41) | 17.5 ± 3.8 (16.55–18.46) | 0.874 | 17.6 ± 4.7 (16.94–18.21) | |||
| Consolidative size (mm) | 12.8 ± 5.0 (12.09–13.51) | 15.6 ± 2.9 (14.82–16.30) | <0.001 | 13.6 ± 4.3 (13.01–14.15) | |||
| CTR | 0.8 ± 0.2 (0.72–0.79) | 15.6 ± 2.9 (14.82–16.30) | <0.001 | 15.6 ± 2.9 (14.82–16.30) | |||
| 0.001 | |||||||
| 0.5≥ | 26 (16.7) | 1 (1.6) | 27 (12.4) | ||||
| 0.5< | 130 (83.3) | 61 (98.4) | 191 (87.6) | ||||
| Pleural tagging | 0.423 | ||||||
| N | 74 (47.4) | 25 (40.3) | 99 (45.4) | ||||
| Y | 82 (52.6) | 37 (59.7) | 119 (54.6) | ||||
| Location | 0.580 | ||||||
| Medial | 19 (12.2) | 10 (16.1) | 29 (13.3) | ||||
| Lateral | 137 (87.8) | 52 (83.9) | 189 (86.7) | ||||
| mSUV value | 3.3 ± 3.5 (2.41–4.20) | 3.5 ± 2.5 (2.40–4.63) | 0.763 | 3.4 ± 3.2 (2.65–4.07) | |||
| Variables | STAS (+)-L | STAS (+)-H | p-Value | Total | |||
|---|---|---|---|---|---|---|---|
| n (%) | n (%) | n (%) | |||||
| Mean ± SD (95% CI) | Mean ± SD (95% CI) | Mean ± SD (95% CI) | |||||
| Number | 33 (53.2) | 29 (46.8) | 62 (100.0) | ||||
| Age | 65.7 ± 8.5 (62.7–68.7) | 66.1 ± 11.4 (61.8–70.5) | 0.875 | 65.9 ± 9.9 (63.4–68.4) | |||
| Age group | 0.947 | ||||||
| <65 | 15 (45.5) | 12 (41.4) | 27 (43.5) | ||||
| ≥65 | 18 (54.5) | 17 (58.6) | 35 (56.5) | ||||
| Gender | 0.005 | ||||||
| Female | 23 (69.7) | 9 (31.0) | 32 (51.6) | ||||
| Male | 10 (30.3) | 20 (69.0) | 30 (48.4) | ||||
| CCI | 3.4 ± 1.8 (2.77–4.08) | 3.3 ± 2.1 (2.48–4.08) | 0.148 | 3.4 ± 2.0 (2.86–3.85) | |||
| 0.443 | |||||||
| ≤3 | 18 (54.5) | 19 (65.5) | 37 (59.7) | ||||
| >3 | 15 (45.5) | 10 (34.5) | 25 (40.3) | ||||
| Smoking history | 0.255 | ||||||
| Never | 23 (69.7) | 14 (48.3) | 37 (59.7) | ||||
| Current | 5 (15.2) | 4 (13.8) | 9 (14.5) | ||||
| Ex ≤ 15 | 4 (12.1) | 8 (27.6) | 12 (19.4) | ||||
| Ex > 15 | 1 (3.0) | 3 (10.3) | 4 (6.5) | ||||
| PPY | 13.8 ± 27.3 (4.09–23.43) | 20.2 ± 34.2 (7.15–33.16) | 0.423 | 16.8 ± 30.6 (8.98–24.52) | |||
| Clinical staging | |||||||
| cT | 0.505 | ||||||
| 1a | 1 (3.0) | 0 (0.0) | 1 (1.6) | ||||
| 1b | 14 (42.4) | 10 (34.5) | 24 (38.7) | ||||
| 1c | 0 (0.0) | 0 (0.0) | 0 (0.0) | ||||
| 2a | 17 (51.5) | 19 (65.5) | 36 (58.1) | ||||
| 3 | 1 (3.0) | 0 (0.0) | 1 (1.6) | ||||
| cN | 0.468 | ||||||
| 0 | 33 (100.0) | 28 (96.6) | 61 (98.4) | ||||
| 1 | 0 (0.0) | 1 (3.4) | 1 (1.6) | ||||
| Staging | 0.537 | ||||||
| IA1 | 0 (0.0) | 0 (0.0) | 0.0 (0.0) | ||||
| IA2 | 15 (45.5) | 9 (31.0) | 24 (38.7) | ||||
| IA3 | 0 (0.0) | 0 (0.0) | 0.0 (0.0) | ||||
| IB | 17 (51.5) | 19 (65.5) | 36 (58.1) | ||||
| IIA | 0 (0.0) | 0 (0.0) | 0 (0.0) | ||||
| IIB | 1 (3.0) | 1 (3.4) | 2 (3.2) | ||||
| CT findings | |||||||
| Total tumor size (mm, including GGO) | 17.2 ± 4.1 (15.75–18.68) | 17.8 ± 3.4 (16.56–19.11) | 0.513 | 17.5 ± 3.8 (16.55–18.46) | |||
| Consolidative size (mm) | 14.9 ± 2.8 (13.97–15.91) | 16.3 ± 3.0 (15.12–17.40) | 0.078 | 15.6 ± 2.9 (14.82–16.30) | |||
| CTR | 0.9 ± 0.2 (0.84–0.96) | 0.9 ± 0.1 (0.88–0.97) | 0.564 | 0.9 ± 0.2 (0.87–0.95) | |||
| 1.000 | |||||||
| 0.5≥ | 1 (3.0) | 0 (0.0) | 1 (1.6) | ||||
| 0.5< | 32 (97.0) | 29 (100.0) | 61 (98.4) | ||||
| Pleural tagging | 0.536 | ||||||
| N | 15 (45.5) | 10 (34.5) | 25 (40.3) | ||||
| Y | 18 (54.5) | 19 (65.5) | 37 (59.7) | ||||
| Location | 0.738 | ||||||
| Medial | 6 (18.2) | 4 (13.8) | 10 (16.1) | ||||
| Lateral | 27 (81.8) | 25 (86.2) | 52 (83.9) | ||||
| mSUV value | 3.9 ± 3.0 (1.75–5.92) | 3.2 ± 2.0 (1.86–4.54) | 0.561 | 3.5 ± 2.5 (2.40–4.63) | |||
| Variables | STAS (−) | STA S (+) | p-Value | Total | |||
|---|---|---|---|---|---|---|---|
| n (%) | n (%) | n (%) | |||||
| Mean ± SD (95% CI) | Mean ± SD (95% CI) | Mean ± SD (95% CI) | |||||
| Predominantsubypes | <0.001 | ||||||
| lepidic | 42 (26.9) | 1 (1.6) | 43 (19.7) | ||||
| acinar | 102 (65.4) | 46 (74.2) | 148 (67.9) | ||||
| papillary | 4 (2.6) | 7 (11.3) | 11 (5.0) | ||||
| micropapillary | 0 (0.0) | 1 (1.6) | 1 (0.5) | ||||
| solid | 8 (5.1) | 7 (11.3) | 15 (6.9) | ||||
| Tumor size | |||||||
| Including lepidic component (mm) | 16.6 ± 4.7 (15.89–17.38) | 16.9 ± 3.6 (15.95–17.76) | 0.710 | 16.7 ± 4.4 (16.11–17.29) | |||
| Invasive component (mm) | 12.4 ± 4.2 (11.74–13.07) | 15.5 ± 2.7 (14.80–16.12) | <0.001 | 13.3 ± 4.1 (12.74–13.82) | |||
| Invasive tumor ratio | 0.77 ± 0.23 (0.735–0.807) | 0.93 ± 0.12 (0.903–0.964) | <0.001 | 0.82 ± 0.22 (0.789–0.846) | |||
| Visceral pleural invasion | 0.328 | ||||||
| 0 | 73 (46.8) | 27 (43.5) | 100 (45.9) | ||||
| 1 | 82 (52.6) | 33 (53.2) | 115(52.8) | ||||
| 2 | 1 (0.6) | 2 (3.2) | 3 (1.4) | ||||
| Micropapillary pattern | <0.001 | ||||||
| No | 145 (92.9) | 29 (46.8) | 154 (70.6) | ||||
| Yes | 11 (7.1) | 33 (53.2) | 64 (29.4) | ||||
| Micropapillary pattern (%) | <0.001 | ||||||
| <10 | 153 (98.1) | 40 (64.5) | 193 (88.5) | ||||
| ≥10 | 3 (1.9) | 22 (35.5) | 25 (11.5) | ||||
| Lymphovascular invasion | 0.676 | ||||||
| No | 150 (96.2) | 61 (98.4) | 211 (96.8) | ||||
| Yes | 6 (3.8) | 1 (1.6) | 7 (3.2) | ||||
| Perineural invasion | 1.000 | ||||||
| No | 155 (99.4) | 62 (100.0) | 217 (99.5) | ||||
| Yes | 1 (0.6) | 0 (0.0) | 1 (0.5) | ||||
| Necrosis | 0.080 | ||||||
| No | 151 (96.8) | 56 (90.3) | 207 (95.0) | ||||
| Yes | 5 (3.2) | 6 (9.7) | 11 (5.0) | ||||
| Pathologic stage | <0.001 | ||||||
| IA1 | 32 (20.5) | 0 (0.0) | 32 (14.7) | ||||
| IA2 | 41 (26.3) | 27 (43.5) | 68 (31.2) | ||||
| IB | 83 (53.2) | 35 (56.5) | 118 (54.1) | ||||
| EGFR (+) | 0.006 | ||||||
| No | 62 (39.7) | 38 (61.3) | 100 (45.9) | ||||
| Yes | 94 (60.3) | 24 (38.7) | 118 (54.1) | ||||
| Farthest distance of STAS | |||||||
| Standard length scale (mm) | 1.9 ± 1.1 (1.60–2.14) | ||||||
| Number of alveolar spaces | 7.2 ± 4.2 (6.12–8.29) | ||||||
| Variables | STAS (+)-L | STAS (+)-H | p-Value | Total | |||
|---|---|---|---|---|---|---|---|
| N (%) | N (%) | N (%) | |||||
| Mean ± SD (95% CI) | Mean ± SD (95% CI) | Mean ± SD (95% CI) | |||||
| Predominant subtypes | 0.083 | ||||||
| lepidic | 1 (3.0) | 0 (0.0) | 1 (1.6) | ||||
| acinar | 27 (81.8) | 19 (65.5) | 46 (74.2) | ||||
| papillary | 1 (3.0) | 6 (20.7) | 7 (11.3) | ||||
| micropapillary | 1 (3.0) | 0 (0.0) | 1 (1.6) | ||||
| solid | 3 (9.1) | 4 (13.8) | 7 (11.3) | ||||
| Tumor size | |||||||
| Including lepidic component (mm) | 16.6 ± 3.9 (15.26–18.02) | 17.1 ± 3.2 (15.87–18.33) | 0.608 | 16.9 ± 3.6 (15.95–17.76) | |||
| Invasive component (mm) | 15.1 ± 2.7 (14.12–16.00) | 16.0 ± 2.7 (14.94–16.70) | 0.190 | 15.5 ± 2.7 (14.80–16.12) | |||
| Invasive tumor ratio | 0.93 ± 0.14 (0.878–0.975) | 0.94 ± 1.00 (0.905–0.978) | 0.616 | 0.82 ± 0.22 (0.789–0.846) | |||
| Visceral pleural invasion (VPI) | 0.227 | ||||||
| 0 | 16 (48.5) | 11 (37.9) | 27 (43.5) | ||||
| 1 | 15 (45.5) | 18 (62.1) | 33 (53.2) | ||||
| 2 | 2 (6.1) | 0 (0.0) | 2 (3.2) | ||||
| Micropapillary pattern | 0.587 | ||||||
| No | 17 (51.5) | 12 (41.4) | 29 (46.8) | ||||
| Yes | 16 (48.5) | 17 (58.6) | 33 (53.2) | ||||
| Micropapillary pattern (%) | 0.240 | ||||||
| <10 | 24 (72.7) | 16 (55.2) | 40 (64.5) | ||||
| ≥10 | 9 (27.3) | 13 (44.8) | 22 (35.5) | ||||
| Lymphovascular_invasion | 1.000 | ||||||
| No | 32 (97.0) | 29 (100.0) | 61 (98.4) | ||||
| Yes | 1 (3.0) | 0 (0.0) | 1 (1.6) | ||||
| Perineural invasion | 1.000 | ||||||
| No | 33 (100.0) | 29 (100.0) | 62 (100.0) | ||||
| Yes | 0 (0.0) | 0 (0.0) | 0 (0.0) | ||||
| Necrosis | 0.405 | ||||||
| No | 31 (93.9) | 25 (86.2) | 56 (90.3) | ||||
| Yes | 2 (6.1) | 4 (13.8) | 6 (9.7) | ||||
| Pathologic stage | 0.450 | ||||||
| IA1 | 0 (0.0) | 0 (0.0) | 0 (0.0) | ||||
| IA2 | 16 (48.5) | 11 (37.9) | 27 (43.5) | ||||
| IB | 17 (51.5) | 18 (62.1) | 35 (28.4) | ||||
| EGFR (+) | 0.886 | ||||||
| No | 21 (63.6) | 17 (58.6) | 38 (61.3) | ||||
| Yes | 12 (36.4) | 12 (41.4) | 24 (38.7) | ||||
| Farthest distance of STAS | |||||||
| Standard length scale (mm) | 1.0 ± 0.2 (0.93–1.07) | 2.9 ± 0.7 (2.60–3.13) | <0.001 | 1.9 ± 1.1 (1.60–2.14) | |||
| Number of alveolar spaces | 4.4 ± 1.5 (3.91–4.94) | 10.3 ± 4.1 (8.78–11.91) | <0.001 | 7.2 ± 4.2 (6.12–8.29) | |||
| Variables | Crude OR (95%CI) | Crude p-Value | Adjusted OR (95%CI) | Adjusted p-Value | ||
|---|---|---|---|---|---|---|
| Smoking History | ||||||
| PPY | 1.01 (1.00, 1.03) | 0.030 | 1.01 (0.99, 1.03) | 0.193 | ||
| cT (ref.; 1a) | ||||||
| 1b | 18.73 (2.40, 145.96) | 0.005 | 7.43 (0.7, 79.48) | 0.097 | ||
| Ic | 0 (0, Inf) | 0.990 | 0 (0, Inf) | 0.994 | ||
| 2a | 14.4 (1.89, 109.52) | 0.010 | 9.33 (0.91, 96.14) | 0.061 | ||
| 3 | 16 (0.71, 361.74) | 0.081 | 33.64 (0.38, 3014.12) | 0.125 | ||
| CT findings | ||||||
| Consolidative size | 1.17 (1.09, 1.27) | <0.001 | 1.02 (0.82, 1.26) | 0.885 | ||
| CTR | 142.18 (19.8, 1020.95) | <0.001 | 0.43 (0, 41.41) | 0.716 | ||
| Pathologic features | ||||||
| predominant subtype (ref.; lepidic) | ||||||
| acinar | 18.94 (2.53, 141.86) | 0.004 | 5.71 (0.56, 58.66) | 0.143 | ||
| micropapillary | 88,963,559.05 (0, Inf) | 0.983 | 89513922.48 (0, Inf) | 0.990 | ||
| papillary | 73.5 (7.13, 757.6) | <0.001 | 23.77 (1.43, 394.28) | 0.027 | ||
| solid | 36.75 (3.96, 340.94) | 0.002 | 8.87 (0.62, 127.05) | 0.108 | ||
| Invasive component (mm) | 1.24 (1.14, 1.36) | <0.001 | 0.98 (0.77, 1.24) | 0.856 | ||
| Invasive tumor ratio | 202.39 (20.08, 2039.73) | <0.001 | 30.44 (0.19, 4777.06) | 0.185 | ||
| Micropapillary pattern | 15 (6.81, 33.06) | <0.001 | 10.94 (3.69, 32.48) | < 0.001 | ||
| Micropapillary pattern (≥10%) | 28.05 (7.99, 98.44) | <0.001 | 7.4 (1.7, 32.14) | 0.008 | ||
| EGFR (+) | 0.42 (0.23, 0.76) | 0.004 | 0.38 (0.15, 0.95) | 0.039 | ||
| Variables | Crude OR (95%CI) | Crude p-Value | Adjusted OR (95%CI) | Adjusted p-Value | |
|---|---|---|---|---|---|
| Gender (Male) | 5.11 (1.73, 15.08) | 0.003 | 5.64 (0.97, 32.7) | 0.054 | |
| Number of alveolar spaces | 2.67 (1.57, 4.53) | <0.001 | 2.78 (1.53, 5.05) | <0.001 | |
Disclaimer/Publisher’s Note: The statements, opinions and data contained in all publications are solely those of the individual author(s) and contributor(s) and not of MDPI and/or the editor(s). MDPI and/or the editor(s) disclaim responsibility for any injury to people or property resulting from any ideas, methods, instructions or products referred to in the content. |
© 2024 by the authors. Licensee MDPI, Basel, Switzerland. This article is an open access article distributed under the terms and conditions of the Creative Commons Attribution (CC BY) license (https://creativecommons.org/licenses/by/4.0/).
Share and Cite
Lee, J.H.; Kang, Y.; Kim, S.; Jung, Y.; Chung, J.H.; Lee, S.; Yi, E. Clinical Importance of Grading Tumor Spread through Air Spaces in Early-Stage Small-Lung Adenocarcinoma. Cancers 2024, 16, 2218. https://doi.org/10.3390/cancers16122218
Lee JH, Kang Y, Kim S, Jung Y, Chung JH, Lee S, Yi E. Clinical Importance of Grading Tumor Spread through Air Spaces in Early-Stage Small-Lung Adenocarcinoma. Cancers. 2024; 16(12):2218. https://doi.org/10.3390/cancers16122218
Chicago/Turabian StyleLee, Jeong Hyeon, Younggjn Kang, Seojin Kim, Youggi Jung, Jae Ho Chung, Sungho Lee, and Eunjue Yi. 2024. "Clinical Importance of Grading Tumor Spread through Air Spaces in Early-Stage Small-Lung Adenocarcinoma" Cancers 16, no. 12: 2218. https://doi.org/10.3390/cancers16122218
APA StyleLee, J. H., Kang, Y., Kim, S., Jung, Y., Chung, J. H., Lee, S., & Yi, E. (2024). Clinical Importance of Grading Tumor Spread through Air Spaces in Early-Stage Small-Lung Adenocarcinoma. Cancers, 16(12), 2218. https://doi.org/10.3390/cancers16122218

