Assessment of Gliomas’ Grade of Malignancy and Extent of Resection Using Intraoperative Flow Cytometry
Abstract
Simple Summary
Abstract
1. Introduction
2. Materials and Methods
2.1. Analyzed Population
2.2. Intraoperative Flow Cytometry and Pathology Analysis
2.3. Statistical Analysis
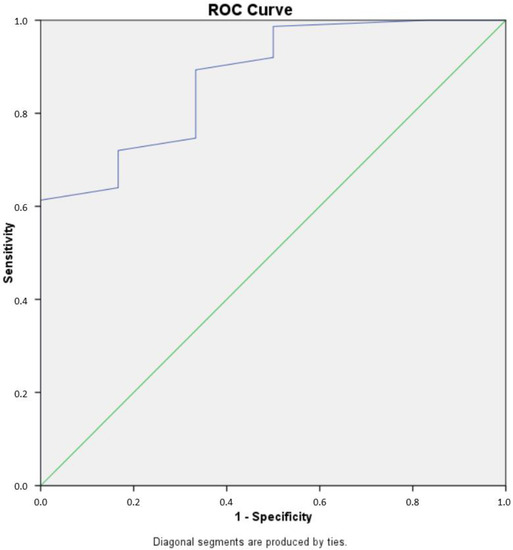
3. Results
4. Discussion
5. Conclusions
Author Contributions
Funding
Institutional Review Board Statement
Informed Consent Statement
Data Availability Statement
Conflicts of Interest
References
- Fan, Y.; Zhang, X.; Gao, C.; Jiang, S.; Wu, H.; Liu, Z.; Dou, T. Burden and trends of brain and central nervous system cancer from 1990 to 2019 at the global, regional, and country levels. Arch. Public Health 2022, 80, 209. [Google Scholar] [CrossRef] [PubMed]
- Ostrom, Q.T.; Cioffi, G.; Waite, K.; Kruchko, C.; Barnholtz-Sloan, J.S. CBTRUS statistical report: Primary brain and other central nervous system tumors diagnosed in the United States in 2014–2018. Neuro-Oncol. 2021, 23, iii1–iii105. [Google Scholar] [CrossRef] [PubMed]
- Louis, D.N.; Perry, A.; Wesseling, P.; Brat, D.J.; Cree, I.A.; Figarella-Branger, D.; Hawkins, C.; Ng, H.; Pfister, S.M.; Reifenberger, G. The 2021 WHO classification of tumors of the central nervous system: A summary. Neuro-Oncol. 2021, 23, 1231–1251. [Google Scholar] [CrossRef] [PubMed]
- Manrique-Guzmán, S.; Herrada-Pineda, T.; Revilla-Pacheco, F. Surgical management of glioblastoma. In Glioblastoma; Codon Publications: Brisbane, AU, USA, 2017. [Google Scholar]
- Kubben, P.L.; ter Meulen, K.J.; Schijns, O.E.; ter Laak-Poort, M.P.; van Overbeeke, J.J.; van Santbrink, H. Intraoperative MRI-guided resection of glioblastoma multiforme: A systematic review. Lancet Oncol. 2011, 12, 1062–1070. [Google Scholar] [CrossRef]
- Wu, D.-F.; He, W.; Lin, S.; Zee, C.-S.; Han, B. The real-time ultrasonography for fusion image in glioma neurosugery. Clin. Neurol. Neurosurg. 2018, 175, 84–90. [Google Scholar] [CrossRef]
- Sun, R.; Cuthbert, H.; Watts, C. Fluorescence-guided surgery in the surgical treatment of gliomas: Past, present and future. Cancers 2021, 13, 3508. [Google Scholar] [CrossRef]
- Shioyama, T.; Muragaki, Y.; Maruyama, T.; Komori, T.; Iseki, H. Intraoperative flow cytometry analysis of glioma tissue for rapid determination of tumor presence and its histopathological grade. J. Neurosurg. 2013, 118, 1232–1238. [Google Scholar] [CrossRef]
- Vartholomatos, E.; Vartholomatos, G.; Alexiou, G.A.; Markopoulos, G.S. The past, present and future of flow cytometry in central nervous system malignancies. Methods Protoc. 2021, 4, 11. [Google Scholar] [CrossRef]
- D’Amato Figueiredo, M.V.; Alexiou, G.A.; Vartholomatos, G.; Rehder, R. Advances in Intraoperative Flow Cytometry. Int. J. Mol. Sci. 2022, 23, 13430. [Google Scholar] [CrossRef]
- Blokker, M.; Hamer, P.C.d.W.; Wesseling, P.; Groot, M.L.; Veta, M. Fast intraoperative histology-based diagnosis of gliomas with third harmonic generation microscopy and deep learning. Sci. Rep. 2022, 12, 11334. [Google Scholar] [CrossRef]
- Alexiou, G.A.; Vartholomatos, G.; Kobayashi, T.; Voulgaris, S.; Kyritsis, A.P. The emerging role of intraoperative flow cytometry in intracranial tumor surgery. Clin. Neurol. Neurosurg. 2020, 192, 105742. [Google Scholar] [CrossRef] [PubMed]
- Alexiou, G.A.; Vartholomatos, G.; Goussia, A.; Batistatou, A.; Tsamis, K.; Voulgaris, S.; Kyritsis, A.P. Fast cell cycle analysis for intraoperative characterization of brain tumor margins and malignancy. J. Clin. Neurosci. 2015, 22, 129–132. [Google Scholar] [CrossRef] [PubMed]
- Vartholomatos, G.; Harissis, H.; Andreou, M.; Tatsi, V.; Pappa, L.; Kamina, S.; Batistatou, A.; Markopoulos, G.S.; Alexiou, G.A. Rapid assessment of resection margins during breast conserving surgery using intraoperative flow cytometry. Clin. Breast Cancer 2021, 21, e602–e610. [Google Scholar] [CrossRef] [PubMed]
- Vartholomatos, G.; Basiari, L.; Exarchakos, G.; Kastanioudakis, I.; Komnos, I.; Michali, M.; Markopoulos, G.S.; Batistatou, A.; Papoudou-Bai, A.; Alexiou, G.A. Intraoperative flow cytometry for head and neck lesions. Assessment of malignancy and tumour-free resection margins. Oral Oncol. 2019, 99, 104344. [Google Scholar] [CrossRef] [PubMed]
- Anastasiadi, Z.; Mantziou, S.; Akrivis, C.; Paschopoulos, M.; Balasi, E.; Lianos, G.D.; Alexiou, G.A.; Mitsis, M.; Vartholomatos, G.; Markopoulos, G.S. Intraoperative flow cytometry for the characterization of gynecological malignancies. Biology 2022, 11, 1339. [Google Scholar] [CrossRef]
- Paliouras, A.; Markopoulos, G.S.; Tsampalas, S.; Mantziou, S.; Giannakis, I.; Baltogiannis, D.; Glantzounis, G.K.; Alexiou, G.A.; Lampri, E.; Sofikitis, N. Accurate characterization of bladder cancer cells with intraoperative flow cytometry. Cancers 2022, 14, 5440. [Google Scholar] [CrossRef]
- Markopoulos, G.S.; Glantzounis, G.K.; Goussia, A.C.; Lianos, G.D.; Karampa, A.; Alexiou, G.A.; Vartholomatos, G. Touch imprint intraoperative flow cytometry as a complementary tool for detailed assessment of resection margins and tumor biology in liver surgery for primary and metastatic liver neoplasms. Methods Protoc. 2021, 4, 66. [Google Scholar] [CrossRef]
- Markopoulos, G.S.; Goussia, A.; Bali, C.D.; Messinis, T.; Alexiou, G.A.; Vartholomatos, G. Resection margins assessment by intraoperative flow cytometry in pancreatic cancer. Ann. Surg. Oncol. 2022, 29, 4643–4645. [Google Scholar] [CrossRef]
- Markopoulos, G.S.; Vartholomatos, G.; Alexiou, G.A.; Tatsis, V.; Bali, C.; Mitsis, M. Resection margin status evaluation in gastric cancer surgery by intraoperative flow cytometry. J. Surg. Oncol. 2023, 127, 896–897. [Google Scholar] [CrossRef]
- Georvasili, V.K.; Markopoulos, G.S.; Batistatou, A.; Mitsis, M.; Messinis, T.; Lianos, G.D.; Alexiou, G.; Vartholomatos, G.; Bali, C.D. Detection of cancer cells and tumor margins during colorectal cancer surgery by intraoperative flow cytometry. Int. J. Surg. 2022, 104, 106717. [Google Scholar] [CrossRef]
- Markopoulos, G.S.; Alexiou, G.A.; Goussia, A.C.; Glantzounis, G.K.; Vartholomatos, G. Impact of intraoperative flow cytometry in management of colorectal liver metastases: Simultaneous assessment of tumor biology and resection margin status. Eur. J. Surg. Oncol. 2023, 49, 529–531. [Google Scholar] [CrossRef]
- Alexiou, G.; Vartholomatos, G. Intraoperative Flow Cytometry in Pediatric Brain Tumors. In Pediatric Neurosurgery for Clinicians; Springer: Berlin/Heidelberg, Germany, 2022; pp. 803–811. [Google Scholar]
- Alexiou, G.A.; Vartholomatos, E.; Goussia, A.; Dova, L.; Karamoutsios, A.; Fotakopoulos, G.; Kyritsis, A.P.; Voulgaris, S. DNA content is associated with malignancy of intracranial neoplasms. Clin. Neurol. Neurosurg. 2013, 115, 1784–1787. [Google Scholar] [CrossRef] [PubMed]
- Vartholomatos, G.; Alexiou, G.A.; Voulgaris, S.; Kyritsis, A.P. Intraoperative immunophenotypic analysis for diagnosis and classification of primary central nervous system lymphomas. World Neurosurg. 2018, 117, 464–465. [Google Scholar] [CrossRef] [PubMed]
- Alexiou, G.A.; Vartholomatos, G.; Goussia, A.; Voulgaris, S.; Kyritsis, A.P. is intraoperative pathology needed if 5-aminolevulinic-acid-induced tissue fluorescence is found in stereotactic brain tumor biopsy? Neurosurgery 2020, 87, E425–E426. [Google Scholar] [CrossRef] [PubMed]
- Alexiou, G.A.; Markopoulos, G.S.; Vartholomatos, E.; Goussia, A.C.; Dova, L.; Dimitriadis, S.; Mantziou, S.; Zoi, V.; Nasios, A.; Sioka, C. Intraoperative Flow Cytometry for the Evaluation of Meningioma Grade. Curr. Oncol. 2023, 30, 832–838. [Google Scholar] [CrossRef] [PubMed]
- Danielsen, H.E.; Pradhan, M.; Novelli, M. Revisiting tumour aneuploidy—The place of ploidy assessment in the molecular era. Nat. Rev. Clin. Oncol. 2016, 13, 291–304. [Google Scholar] [CrossRef]
- Vartholomatos, G.; Alexiou, G.A.; Tatsi, V.; Harissis, H.; Markopoulos, G.S. Next-generation margin evaluation techniques in breast conserving surgery: A memorandum on intraoperative flow cytometry. Eur. J. Surg. Oncol. 2023, 49, 675–676. [Google Scholar] [CrossRef]
- Suzuki, A.; Maruyama, T.; Nitta, M.; Komori, T.; Ikuta, S.; Chernov, M.; Tamura, M.; Kawamata, T.; Muragaki, Y. Evaluation of DNA ploidy with intraoperative flow cytometry may predict long-term survival of patients with supratentorial low-grade gliomas: Analysis of 102 cases. Clin. Neurol. Neurosurg. 2018, 168, 46–53. [Google Scholar] [CrossRef]
- Saito, T.; Muragaki, Y.; Shioyama, T.; Komori, T.; Maruyama, T.; Nitta, M.; Yasuda, T.; Hosono, J.; Okamoto, S.; Kawamata, T. Malignancy index using intraoperative flow cytometry is a valuable prognostic factor for glioblastoma treated with radiotherapy and concomitant temozolomide. Neurosurgery 2019, 84, 662–672. [Google Scholar] [CrossRef]






| Low-Grade | High-Grade | |
|---|---|---|
| No of patients (%) | 6 (7%) | 75 (93%) |
| Diploid (%) | 6 (10.1%) | 53 (89.9%) |
| Aneuploid (%) | 0 (0%) | 22 (100%) |
| G0/G1 | 91% | 67.9% |
| S-phase | 3% | 9.4% |
| G2/M phase | 6% | 20.7% |
| Tumor index (S + G2/M) | 9% | 30.2% |
Disclaimer/Publisher’s Note: The statements, opinions and data contained in all publications are solely those of the individual author(s) and contributor(s) and not of MDPI and/or the editor(s). MDPI and/or the editor(s) disclaim responsibility for any injury to people or property resulting from any ideas, methods, instructions or products referred to in the content. |
© 2023 by the authors. Licensee MDPI, Basel, Switzerland. This article is an open access article distributed under the terms and conditions of the Creative Commons Attribution (CC BY) license (https://creativecommons.org/licenses/by/4.0/).
Share and Cite
Vartholomatos, G.; Markopoulos, G.S.; Vartholomatos, E.; Goussia, A.C.; Dova, L.; Dimitriadis, S.; Mantziou, S.; Zoi, V.; Nasios, A.; Sioka, C.; et al. Assessment of Gliomas’ Grade of Malignancy and Extent of Resection Using Intraoperative Flow Cytometry. Cancers 2023, 15, 2509. https://doi.org/10.3390/cancers15092509
Vartholomatos G, Markopoulos GS, Vartholomatos E, Goussia AC, Dova L, Dimitriadis S, Mantziou S, Zoi V, Nasios A, Sioka C, et al. Assessment of Gliomas’ Grade of Malignancy and Extent of Resection Using Intraoperative Flow Cytometry. Cancers. 2023; 15(9):2509. https://doi.org/10.3390/cancers15092509
Chicago/Turabian StyleVartholomatos, George, Georgios S. Markopoulos, Eyrysthenis Vartholomatos, Anna C. Goussia, Lefkothea Dova, Savvas Dimitriadis, Stefania Mantziou, Vaso Zoi, Anastasios Nasios, Chrissa Sioka, and et al. 2023. "Assessment of Gliomas’ Grade of Malignancy and Extent of Resection Using Intraoperative Flow Cytometry" Cancers 15, no. 9: 2509. https://doi.org/10.3390/cancers15092509
APA StyleVartholomatos, G., Markopoulos, G. S., Vartholomatos, E., Goussia, A. C., Dova, L., Dimitriadis, S., Mantziou, S., Zoi, V., Nasios, A., Sioka, C., Kyritsis, A. P., Voulgaris, S., & Alexiou, G. A. (2023). Assessment of Gliomas’ Grade of Malignancy and Extent of Resection Using Intraoperative Flow Cytometry. Cancers, 15(9), 2509. https://doi.org/10.3390/cancers15092509

