Defining MRI Superiority over CT for Colorectal and Neuroendocrine Liver Metastases
Abstract
:Simple Summary
Abstract
1. Introduction
2. Materials and Methods
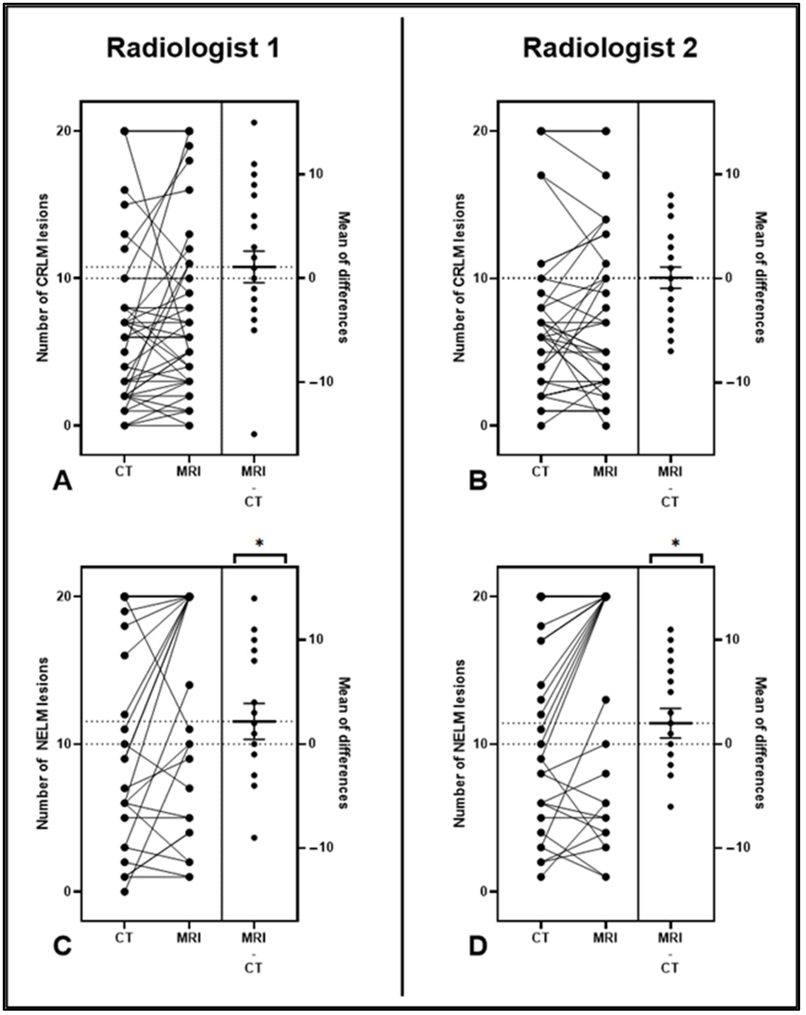
3. Results
4. Discussion
5. Conclusions
Author Contributions
Funding
Institutional Review Board Statement
Informed Consent Statement
Data Availability Statement
Conflicts of Interest
References
- Siegel, R.L.; Miller, K.D.; Fuchs, H.E.; Jemal, A. Cancer statistics, 2022. CA Cancer J. Clin. 2022, 72, 7–33. [Google Scholar] [CrossRef] [PubMed]
- Cronin, K.A.; Scott, S.; Firth, A.U.; Sung, H.; Henley, S.J.; Sherman, R.L.; Siegel, R.L.; Anderson, R.N.; Kohler, B.A.; Benard, V.B.; et al. Annual report to the nation on the status of cancer, part 1: National cancer statistics. Cancer 2022, 128, 4251–4284. [Google Scholar] [CrossRef] [PubMed]
- Manfredi, S.; Lepage, C.; Hatem, C.; Coatmeur, O.; Faivre, J.; Bouvier, A.M. Epidemiology and management of liver metastases from colorectal cancer. Ann. Surg. 2006, 244, 254. [Google Scholar] [CrossRef] [PubMed]
- Mella, J.; Biffin, A.; Radcliffe, A.G.; Stamatakis, J.D.; Steele, R.J.C. Population-based audit of colorectal cancer management in two UK health regions. Br. J. Surg. 1997, 84, 1731–1736. [Google Scholar] [CrossRef] [PubMed]
- Ituarte, P.H.G.; Nelson, R.; O’Leary, M.P.; Raoof, M.; Singh, G. Age-adjusted incidence rates of synchronous liver metastases for stage IV colorectal cancer compared by sex, race, and age group. HPB 2022, 24, 1074–1081. [Google Scholar] [CrossRef] [PubMed]
- Yao, J.C.; Hassan, M.; Phan, A.; Dagohoy, C.; Leary, C.; Abdalla, J.E.M.K.; Fleming, J.B.; Vauthey, J.-N.; Rashid, A.; Evans, D.B. One hundred years after “carcinoid”: Epidemiology of and prognostic factors for neuroendocrine tumors in 35,825 cases in the United States. J. Clin. Oncol. 2008, 26, 3063–3072. [Google Scholar] [CrossRef] [PubMed]
- Taal, B.G.; Visser, O. Epidemiology of neuroendocrine tumours. Neuroendocrinology 2004, 80, 3–7. [Google Scholar] [CrossRef]
- Crocetti, E.; Paci, E. Malignant carcinoids in the USA, SEER 1992–1999: An epidemiological study with 6830 cases. Eur. J. Cancer Prev. 2003, 12, 191–194. [Google Scholar] [CrossRef] [PubMed]
- Dasari, A.; Shen, C.; Halperin, D.; Zhao, B.; Zhou, S.; Xu, Y.; Shih, T.; Yao, J.C. Trends in the incidence, prevalence, and survival outcomes in patients with neuroendocrine tumors in the United States. JAMA Oncol. 2017, 3, 1335–1342. [Google Scholar] [CrossRef]
- Frilling, A.; Clift, A.K. Therapeutic strategies for neuroendocrine liver metastases. Cancer 2015, 121, 1172–1186. [Google Scholar] [CrossRef] [PubMed]
- Weg, N.; Scheer, M.R.; Gabor, M.P. Liver lesions: Improved detection with dual-detector-array CT and routine 2.5-mm thin collimation. Radiology 1998, 209, 417–426. [Google Scholar] [CrossRef] [PubMed]
- Wicherts, D.A.; de Haas, R.J.; van Kessel, C.S.; Bisschops, R.C.H.; Takahara, T.; van Hillegersberg, R.; Bipat, S.; Borel Rinkes, I.H.M.; van Leeuwen, M.S. Incremental value of arterial and equilibrium phase compared to hepatic venous phase CT in the preoperative staging of colorectal liver metastases: An evaluation with different reference standards. Eur. J. Radiol. 2011, 77, 305–311. [Google Scholar] [CrossRef] [PubMed]
- Reinig, J.W.; Dwyer, A.J.; Miller, D.L.; White, M.; Frank, J.A.; Sugarbaker, P.H.; Chang, A.E.; Doppman, J.L. Liver metastasis detection: Comparative sensitivities of MR imaging and CT scanning. Radiology 1987, 162, 43–47. [Google Scholar] [CrossRef] [PubMed]
- Rummeny, E.J.; Wernecke, K.; Saini, S.; Vassallo, P.; Wiesmann, W.; Oestmann, J.W.; Kivelitz, D.; Reers, B.; Reiser, M.F.; Peters, P.E. Comparison between high-field-strength MR imaging and CT for screening of hepatic metastases: A receiver operating characteristic analysis. Radiology 1992, 182, 879–886. [Google Scholar] [CrossRef] [PubMed]
- Niekel, M.C.; Bipat, S.; Stoker, J. Diagnostic imaging of colorectal liver metastases with CT, MR imaging, FDG PET, and/or FDG PET/CT: A meta-analysis of prospective studies including patients who have not previously undergone treatment. Radiology 2010, 257, 674–684. [Google Scholar] [CrossRef] [PubMed]
- Kulemann, V.; Schima, W.; Tamandl, D.; Kaczirek, K.; Gruenberger, T.; Wrba, F.; Weber, M.; Ba-Ssalamah, A. Preoperative detection of colorectal liver metastases in fatty liver: MDCT or MRI? Eur. J. Radiol. 2011, 79, e1–e6. [Google Scholar] [CrossRef]
- Tsili, A.C.; Alexiou, G.; Naka, C.; Argyropoulou, M.I. Imaging of colorectal cancer liver metastases using contrast-enhanced US, multidetector CT, MRI, and FDG PET/CT: A meta-analysis. Acta Radiol. 2021, 62, 302–312. [Google Scholar] [CrossRef] [PubMed]
- Elfrink, A.K.E.; Pool, M.; van der Werf, L.R.; Marra, E.; Burgmans, M.C.; Meijerink, M.R.; Dulk, M.; Boezem, P.B.; Riele, W.W.; Patijn, G.A.; et al. Preoperative imaging for colorectal liver metastases: A nationwide population-based study. BJS Open 2020, 4, 605–621. [Google Scholar] [CrossRef] [PubMed]
- Dromain, C.; de Baere, T.; Lumbroso, J.; Lumbroso, J.; Caillet, H.; Laplanche, A.; Ducreux, V.B.; Duvillard, P.; Elias, D.; Schlumberger, M.; et al. Detection of liver metastases from endocrine tumors: A prospective comparison of somatostatin receptor scintigraphy, computed tomography, and magnetic resonance imaging. J. Clin. Oncol. 2005, 23, 70–78. [Google Scholar] [CrossRef]
- Elias, D.; Lefevre, J.H.; Duvillard, P.; Goéré, D.; Dromain, C.; Dumont, F.; Baudin, E. Hepatic metastases from neuroendocrine tumors with a “thin slice” pathological examination: They are many more than you think. Ann. Surg. 2010, 251, 307–310. [Google Scholar] [CrossRef]
- Flechsig, P.; Zechmann, C.M.; Schreiweis, J.; Kratochwil, C.; Rath, D.; Schwartz, L.H.; Schlemmer, H.-P.; Kauczor, H.-U.; Haberkorn, U.; Giesel, F.L. Qualitative and quantitative image analysis of CT and MR imaging in patients with neuroendocrine liver metastases in comparison to 68Ga-DOTATOC PET. Eur. J. Radiol. 2015, 84, 1593–1600. [Google Scholar] [CrossRef]
- National Comprehensive Cancer Network. Neuroendocrine and Adrenal Tumors (Version 2.2022). Available online: https://www.nccn.org/professionals/physician_gls/pdf/neuroendocrine.pdf (accessed on 10 May 2023).
- National Comprehensive Cancer Network. Rectal Cancer (Version 2.2023). Available online: https://www.nccn.org/professionals/physician_gls/pdf/rectal.pdf (accessed on 10 May 2023).
- National Comprehensive Cancer Network. Colon Cancer (Version 2.2023). Available online: https://www.nccn.org/professionals/physician_gls/pdf/colon.pdf (accessed on 10 May 2023).
- Singh, S.; Bergsland, E.K.; Card, C.M.; Hope, T.A.; Kunz, P.L.; Laidley, D.T.; Lawrence, B.; Leyden, S.; Metz, D.C.; Michael, M.; et al. Commonwealth Neuroendocrine Tumour Research Collaboration and the North American Neuroendocrine Tumor Society Guidelines for the Diagnosis and Management of Patients With Lung Neuroendocrine Tumors: An International Collaborative Endorsement and Update of the 2015 European Neuroendocrine Tumor Society Expert Consensus Guidelines. J. Thorac. Oncol. 2020, 15, 1577–1598. [Google Scholar] [CrossRef] [PubMed]
- Tirumani, S.H.; Jagannathan, J.P.; Braschi-Amirfarzan, M.; Hope, T.A.; Kunz, P.L.; Laidley, D.T.; Lawrence, B.; Leyden, S.; Metz, D.C.; Michael, M.; et al. Value of hepatocellular phase imaging after intravenous gadoxetate disodium for assessing hepatic metastases from gastroenteropancreatic neuroendocrine tumors: Comparison with other MRI pulse sequences and with extracellular agent. Abdom. Radiol. 2018, 43, 1577–1598. [Google Scholar] [CrossRef] [PubMed]
- Pellegrino, F.; Granata, V.; Fusco, R.; Grassi, F.; Tafuto, S.; Perrucci, L.; Tralli, G.; Scaglione, M. Diagnostic Management of Gastroenteropancreatic Neuroendocrine Neoplasms: Technique Optimization and Tips and Tricks for Radiologists. Tomography 2023, 9, 217–246. [Google Scholar] [CrossRef] [PubMed]
- R Core Team. R: A Language and Environment for Statistical Computing. Available online: https://www.R-project.org/ (accessed on 15 March 2023).
- Gamer, M.; Lemon, J. Various Coefficients of Interrater Reliability and Agreement. 2019. Available online: https://CRAN.R-project.org/package=irr (accessed on 1 January 2019).
- Knowles, B.; Welsh, F.K.S.; Chandrakumaran, K.; John, T.G.; Rees, M. Detailed liver-specific imaging prior to pre-operative chemotherapy for colorectal liver metastases reduces intra-hepatic recurrence and the need for a repeat hepatectomy. HPB 2012, 14, 298–309. [Google Scholar] [CrossRef]
- Karaosmanoglu, A.D.; Onur, M.R.; Ozmen, M.N.; Akata, D.; Karcaaltincaba, M. Magnetic Resonance Imaging of Liver Metastasis. Semin. Ultrasound CT MRI 2016, 37, 533–548. [Google Scholar] [CrossRef]
- Fleiss, J.L.; Levin, B.; Cho Paik, M. Statistical Methods for Rates and Proportions, 3rd ed.; Wiley: Hoboken, NJ, USA, 2004. [Google Scholar] [CrossRef]



| Variable | CRLM (n = 42) | NELM (n = 34) |
|---|---|---|
| Age | 54 (49–61) | 60 (55–66) |
| Gender | ||
| Male | 29 (69%) | 17 (50%) |
| Female | 13 (31%) | 17 (50%) |
| Year of studies | ||
| <2018 | 3 (7%) | 5 (15%) |
| 2018–2019 | 30 (71%) | 17 (50%) |
| 2020–2021 | 9 (21%) | 12 (35%) |
| Days between CT and MRI scans | 32 (20–52) | 46 (24–67) |
| Scans chronological order | ||
| CT first | 36 (86%) | 23 (68%) |
| MRI first | 6 (14%) | 11 (32%) |
| CT scan slice size (mm) | ||
| 1.25 | 1 (2%) | 0 (0%) |
| 2.50 | 24 (57%) | 24 (71%) |
| 3.00 | 11 (26%) | 3 (9%) |
| 5.00 | 6 (14%) | 7 (21%) |
| MRI contrast agent | ||
| Eovist | 31 (74%) | 24 (71%) |
| MultiHance | 3 (7%) | 6 (18%) |
| Gadavist | 4 (10%) | 1 (3%) |
| Dotarem | 1 (2%) | 0 (0%) |
| Unknown | 3 (7%) | 3 (9%) |
| Arterial phase available | ||
| CT | 8 (19%) | 24 (71%) |
| MRI | 40 (95%) | 33 (97%) |
| Variable | CT (n = 76) | MRI (n = 76) | ||||
|---|---|---|---|---|---|---|
| R1 | R2 | Statistics | R1 | R2 | Statistics | |
| Number of lesions | 7 (3–17) | 8 (4–17) | ICC = 0.941 a [0.907, 0.962] | 9 (4–20) | 9 (3–20) | ICC = 0.975 a [0.961, 0.984] |
| Steatosis c | ||||||
| Present | N/A | N/A | N/A | 43 (57%) | 23 (30%) | κ = 0.400 b [0.227, 0.573] |
| Absent | N/A | N/A | 33 (43%) | 53 (70%) | ||
| Variable | CRLM (n = 42) | NELM (n = 34) | |||||
|---|---|---|---|---|---|---|---|
| CT | MRI | p-Value | CT | MRI | p-Value | ||
| Number of lesions | R1 | 6 (2–8) | 6 (3–11) | 0.15 | 12 (6–20) | 20 (8–20) | 0.02 † |
| R2 | 6 (3–9) | 5 (3–11) | 0.89 | 13 (6–20) | 20 (6–20) | 0.01 † | |
| Number of lesions with steatosis a | R1 | 4 (2–7) | 5 (3–11) | 0.20 | 10 (3–20) | 13 (6–20) | 0.09 |
| R2 | 6 (4–7) | 4 (2–9) | 0.61 | 9 (3–17) | 20 (6–20) | 0.01 † | |
| Smallest lesion (mm) | R1 | 6 (5–10) | 8 (4–11) | 0.99 | 6 (5–8) | 5 (4–6) | 0.36 |
| R2 | 4 (3–9) | 4 (3–6) | 0.18 | 4 (3–5) | 3 (2–4) | 0.83 | |
| Smallest lesion (mm) with n ≥ 2 b | R1 | 6 (5–11) | 8 (5–11) | 0.78 | 5 (5–7) | 4 (3–5) | 0.39 |
| R2 | 4 (3–8) | 4 (3–6) | 0.15 | 4 (3–5) | 3 (2–4) | 0.01 † | |
| Smallest lesion (mm) with Eovist, n ≥ 2 c | R1 | 6 (5–10) | 8 (5–9) | 0.72 | 5 (5–6) | 4 (3–5) | 0.03 † |
| R2 | 4 (3–7) | 4 (3–5) | 0.14 | 4 (3–5) | 2 (2–3) | 0.02 † | |
Disclaimer/Publisher’s Note: The statements, opinions and data contained in all publications are solely those of the individual author(s) and contributor(s) and not of MDPI and/or the editor(s). MDPI and/or the editor(s) disclaim responsibility for any injury to people or property resulting from any ideas, methods, instructions or products referred to in the content. |
© 2023 by the authors. Licensee MDPI, Basel, Switzerland. This article is an open access article distributed under the terms and conditions of the Creative Commons Attribution (CC BY) license (https://creativecommons.org/licenses/by/4.0/).
Share and Cite
Attiyeh, M.A.; Malhotra, G.K.; Li, D.; Manoukian, S.B.; Motarjem, P.M.; Singh, G. Defining MRI Superiority over CT for Colorectal and Neuroendocrine Liver Metastases. Cancers 2023, 15, 5109. https://doi.org/10.3390/cancers15205109
Attiyeh MA, Malhotra GK, Li D, Manoukian SB, Motarjem PM, Singh G. Defining MRI Superiority over CT for Colorectal and Neuroendocrine Liver Metastases. Cancers. 2023; 15(20):5109. https://doi.org/10.3390/cancers15205109
Chicago/Turabian StyleAttiyeh, Marc A., Gautam K. Malhotra, Daneng Li, Saro B. Manoukian, Pejman M. Motarjem, and Gagandeep Singh. 2023. "Defining MRI Superiority over CT for Colorectal and Neuroendocrine Liver Metastases" Cancers 15, no. 20: 5109. https://doi.org/10.3390/cancers15205109
APA StyleAttiyeh, M. A., Malhotra, G. K., Li, D., Manoukian, S. B., Motarjem, P. M., & Singh, G. (2023). Defining MRI Superiority over CT for Colorectal and Neuroendocrine Liver Metastases. Cancers, 15(20), 5109. https://doi.org/10.3390/cancers15205109

