Two Decades of Active Surveillance for Prostate Cancer in a Single-Center Cohort: Favorable Outcomes after Transurethral Resection of the Prostate
Abstract
:Simple Summary
Abstract
1. Introduction
2. Patients and Methods
3. Results
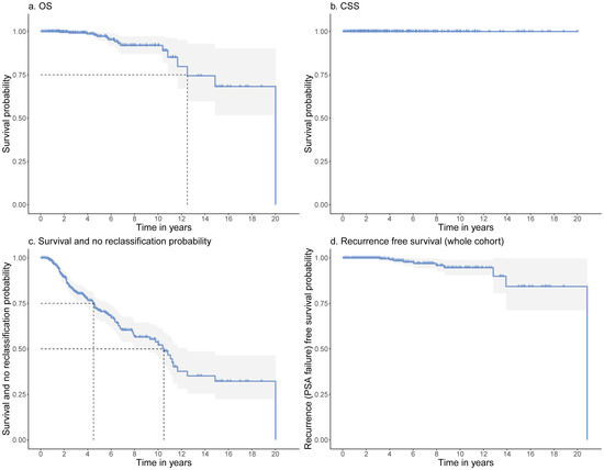
3.1. Overall Study Metrics
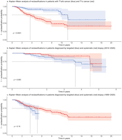
3.2. Impact of TURP vs. Biopsy on Reclassification Rates
3.3. Impact of Biopsy Modality on Reclassification Rates
3.4. Predicting Reclassification
4. Discussion
5. Conclusions
Author Contributions
Funding
Institutional Review Board Statement
Informed Consent Statement
Data Availability Statement
Acknowledgments
Conflicts of Interest
Abbreviations
| ADT | Androgen deprivation therapy |
| AS | Active surveillance |
| CSS | Cancer specific survival |
| CT | Chemo-therapy |
| DRE | Digital rectal examination |
| EAU | European association of urology |
| EBRT | External beam radio therapy |
| FU | Follow-up |
| GS | Gleason score |
| LFT | Lost to follow-up |
| LUTS | Lower urinary tract symptoms |
| mpMRI | multi-parametric magnetic resonance imaging |
| OS | Overall survival |
| PCa | Prostate cancer |
| PI-RADS | Prostate Imaging Reporting & Data System |
| PSA | Prostate specific antigen |
| PSAD | PSA-Density |
| PVol | Prostate volume |
| RFS | recurrence-free survival |
| RP | Radical prostatectomy |
| TRUS | Transrectal ultrasound |
| TURP | Transurethral resection of the prostate |
| TZ | Transitional zone |
| WW | Watchful waiting |
References
- Dyba, T.; Randi, G.; Bray, F.; Martos, C.; Giusti, F.; Nicholson, N.; Gavin, A.; Flego, M.; Neamtiu, L.; Dimitrova, N.; et al. The European Cancer Burden in 2020: Incidence and Mortality Estimates for 40 Countries and 25 Major Cancers. Eur. J. Cancer 2021, 157, 308–347. [Google Scholar] [CrossRef] [PubMed]
- Hamdy, F.C.; Donovan, J.L.; Lane, J.A.; Mason, M.; Metcalfe, C.; Holding, P.; Davis, M.; Peters, T.J.; Turner, E.L.; Martin, R.M.; et al. 10-Year Outcomes after Monitoring, Surgery, or Radiotherapy for Localized Prostate Cancer. N. Engl. J. Med. 2016, 375, 1415–1424. [Google Scholar] [CrossRef] [Green Version]
- Wilt, T.J.; Jones, K.M.; Barry, M.J.; Andriole, G.L.; Culkin, D.; Wheeler, T.; Aronson, W.J.; Brawer, M.K. Follow-up of Prostatectomy versus Observation for Early Prostate Cancer. N. Engl. J. Med. 2017, 377, 132–142. [Google Scholar] [CrossRef] [PubMed]
- Bruinsma, S.M.; Nieboer, D.; Roobol, M.J.; Bangma, C.H.; Verbeek, J.F.M.; Gnanapragasam, V.; Van Hemelrijck, M.; Frydenberg, M.; Lee, L.-S.; Valdagni, R.; et al. Risk-Based Selection for Active Surveillance: Results of the Movember Foundation’s Global Action Plan Prostate Cancer Active Surveillance (GAP3) Initiative. J. Urol. 2021, 206, 10–1097. [Google Scholar] [CrossRef] [PubMed]
- Dall’Era, M.A.; Albertsen, P.C.; Bangma, C.; Carroll, P.R.; Carter, H.B.; Cooperberg, M.R.; Freedland, S.J.; Klotz, L.H.; Parker, C.; Soloway, M.S. Active Surveillance for Prostate Cancer: A Systematic Review of the Literature. Eur. Urol. 2012, 62, 976–983. [Google Scholar] [CrossRef] [Green Version]
- Thomsen, F.B.; Brasso, K.; Klotz, L.H.; Røder, M.A.; Berg, K.D.; Iversen, P. Active Surveillance for Clinically Localized Prostate Cancer--a Systematic Review. J. Surg. Oncol. 2014, 109, 830–835. [Google Scholar] [CrossRef] [PubMed]
- Klotz, L.; Vesprini, D.; Sethukavalan, P.; Jethava, V.; Zhang, L.; Jain, S.; Yamamoto, T.; Mamedov, A.; Loblaw, A. Long-Term Follow-up of a Large Active Surveillance Cohort of Patients with Prostate Cancer. J. Clin. Oncol. Off. J. Am. Soc. Clin. Oncol. 2015, 33, 272–277. [Google Scholar] [CrossRef] [PubMed] [Green Version]
- Briganti, A.; Fossati, N.; Catto, J.W.F.; Cornford, P.; Montorsi, F.; Mottet, N.; Wirth, M.; Van Poppel, H. Active Surveillance for Low-Risk Prostate Cancer: The European Association of Urology Position in 2018. Eur. Urol. 2018, 74, 357–368. [Google Scholar] [CrossRef]
- Ravery, V.; Boccon-Gibod, L. Place of surveillance in the treatment of localized prostate cancer. Prog. Urol. 1999, 9, 225–230. [Google Scholar]
- Ma, T.M.; Tosoian, J.J.; Schaeffer, E.M.; Landis, P.; Wolf, S.; Macura, K.J.; Epstein, J.I.; Mamawala, M.; Carter, H.B. The Role of Multiparametric Magnetic Resonance Imaging/Ultrasound Fusion Biopsy in Active Surveillance. Eur. Urol. 2017, 71, 174–180. [Google Scholar] [CrossRef] [PubMed]
- Schoots, I.G.; Petrides, N.; Giganti, F.; Bokhorst, L.P.; Rannikko, A.; Klotz, L.; Villers, A.; Hugosson, J.; Moore, C.M. Magnetic Resonance Imaging in Active Surveillance of Prostate Cancer: A Systematic Review. Eur. Urol. 2015, 67, 627–636. [Google Scholar] [CrossRef] [PubMed]
- Mottet, N.; van den Bergh, R.C.N.; Briers, E.; Van den Broeck, T.; Cumberbatch, M.G.; De Santis, M.; Fanti, S.; Fossati, N.; Gandaglia, G.; Gillessen, S.; et al. EAU-EANM-ESTRO-ESUR-SIOG Guidelines on Prostate Cancer—2020 Update. Part 1: Screening, Diagnosis, and Local Treatment with Curative Intent. Eur. Urol. 2021, 79, 243–262. [Google Scholar] [CrossRef] [PubMed]
- Drost, F.-J.H.; Osses, D.; Nieboer, D.; Bangma, C.H.; Steyerberg, E.W.; Roobol, M.J.; Schoots, I.G. Prostate Magnetic Resonance Imaging, with or Without Magnetic Resonance Imaging-Targeted Biopsy, and Systematic Biopsy for Detecting Prostate Cancer: A Cochrane Systematic Review and Meta-Analysis. Eur. Urol. 2020, 77, 78–94. [Google Scholar] [CrossRef] [PubMed]
- Gratzke, C.; Bachmann, A.; Descazeaud, A.; Drake, M.J.; Madersbacher, S.; Mamoulakis, C.; Oelke, M.; Tikkinen, K.A.O.; Gravas, S. EAU Guidelines on the Assessment of Non-Neurogenic Male Lower Urinary Tract Symptoms Including Benign Prostatic Obstruction. Eur. Urol. 2015, 67, 1099–1109. [Google Scholar] [CrossRef]
- Herden, J.; Wille, S.; Weissbach, L. Active Surveillance in Localized Prostate Cancer: Comparison of Incidental Tumours (T1a/b) and Tumours Diagnosed by Core Needle Biopsy (T1c/T2a): Results from the HAROW Study. BJU Int. 2016, 118, 258–263. [Google Scholar] [CrossRef]
- Bokhorst, L.P.; Valdagni, R.; Rannikko, A.; Kakehi, Y.; Pickles, T.; Bangma, C.H.; Roobol, M.J. A Decade of Active Surveillance in the PRIAS Study: An Update and Evaluation of the Criteria Used to Recommend a Switch to Active Treatment. Eur. Urol. 2016, 70, 954–960. [Google Scholar] [CrossRef] [Green Version]
- Bruinsma, S.M.; Zhang, L.; Roobol, M.J.; Bangma, C.H.; Steyerberg, E.W.; Nieboer, D.; Van Hemelrijck, M. The Movember Foundation’s GAP3 Cohort: A Profile of the Largest Global Prostate Cancer Active Surveillance Database to Date. BJU Int. 2018, 121, 737–744. [Google Scholar] [CrossRef] [Green Version]
- Carlsson, S.; Benfante, N.; Alvim, R.; Sjoberg, D.D.; Vickers, A.; Reuter, V.E.; Fine, S.W.; Vargas, H.A.; Wiseman, M.; Mamoor, M.; et al. Long-Term Outcomes of Active Surveillance for Prostate Cancer: The Memorial Sloan Kettering Cancer Center Experience. J. Urol. 2020, 203, 1122–1127. [Google Scholar] [CrossRef]
- Godtman, R.A.; Holmberg, E.; Khatami, A.; Stranne, J.; Hugosson, J. Outcome Following Active Surveillance of Men with Screen-Detected Prostate Cancer. Results from the Göteborg Randomised Population-Based Prostate Cancer Screening Trial. Eur. Urol. 2013, 63, 101–107. [Google Scholar] [CrossRef]
- van den Bergh, R.C.N.; Vasarainen, H.; van der Poel, H.G.; Vis-Maters, J.J.; Rietbergen, J.B.; Pickles, T.; Cornel, E.B.; Valdagni, R.; Jaspars, J.J.; van der Hoeven, J.; et al. Short-Term Outcomes of the Prospective Multicentre “Prostate Cancer Research International: Active Surveillance” Study. BJU Int. 2010, 105, 956–962. [Google Scholar] [CrossRef]
- Herden, J.; Schwarte, A.; Werner, T.; Behrendt, U.; Heidenreich, A.; Weissbach, L. Long-Term Outcomes of Active Surveillance for Clinically Localized Prostate Cancer in a Community-Based Setting: Results from a Prospective Non-Interventional Study. World J. Urol. 2021, 39, 2515–2523. [Google Scholar] [CrossRef] [PubMed]
- Bul, M.; Zhu, X.; Valdagni, R.; Pickles, T.; Kakehi, Y.; Rannikko, A.; Bjartell, A.; Van Der Schoot, D.K.; Cornel, E.B.; Conti, G.N.; et al. Active Surveillance for Low-Risk Prostate Cancer Worldwide: The PRIAS Study. Eur. Urol. 2013, 63, 597–603. [Google Scholar] [CrossRef]
- Herden, J.; Eminaga, O.; Wille, S.; Weissbach, L. Treatment of Incidental Prostate Cancer by Active Surveillance: Results of the HAROW Study. Urol. Int. 2015, 95, 209–215. [Google Scholar] [CrossRef]
- Herden, J.; Schwarte, A.; Boedefeld, E.A.; Weissbach, L. Active Surveillance for Incidental (CT1a/b) Prostate Cancer: Long-Term Outcomes of the Prospective Noninterventional HAROW Study. Urol. Int. 2021, 105, 428–435. [Google Scholar] [CrossRef] [PubMed]
- Available online: https://www.Leitlinienprogramm-Onkologie.de/Fileadmin/User_upload/Downloads/Leitlinien/Prostata_5_0/LL_Prostatakarzinom_Langversion_5.1.Pdf (accessed on 27 July 2021).
- Yerram, N.K.; Long, L.; O’Connor, L.P.; Wang, A.Z.; Ahdoot, M.; Lebastchi, A.H.; Gurram, S.; Zeng, J.; Chalfin, H.; Harmon, S.A.; et al. Magnetic Resonance Imaging-Targeted and Systematic Biopsy for Detection of Grade Progression in Patients on Active Surveillance for Prostate Cancer. J. Urol. 2021, 205, 1352–1360. [Google Scholar] [CrossRef] [PubMed]
- Shapiro, D.D.; Gregg, J.R.; Lim, A.H.; Nogueras-González, G.M.; Choi, H.; Kang, H.C.; Inguillo, I.A.; Chapin, B.F.; Davis, J.W.; Ward, J.F. Comparing Confirmatory Biopsy Outcomes between MRI-Targeted Biopsy and Standard Systematic Biopsy among Men Being Enrolled in Prostate Cancer Active Surveillance. BJU Int. 2021, 127, 340–348. [Google Scholar] [CrossRef]
- Carlsson, S.; Bratt, O.; Kristiansson, D.; Jäderling, F. The Value of a First MRI and Targeted Biopsies after Several Years of Active Surveillance for Low-Risk Prostate Cancer—Results from the SAMS Trial. Scand. J. Urol. 2020, 54, 318–322. [Google Scholar] [CrossRef]
- Hsiang, W.; Ghabili, K.; Syed, J.S.; Holder, J.; Nguyen, K.A.; Suarez-Sarmiento, A.; Huber, S.; Leapman, M.S.; Sprenkle, P.C. Outcomes of Serial Multiparametric Magnetic Resonance Imaging and Subsequent Biopsy in Men with Low-Risk Prostate Cancer Managed with Active Surveillance. Eur. Urol. Focus 2021, 7, 47–54. [Google Scholar] [CrossRef]
- Ahdoot, M.; Wilbur, A.R.; Reese, S.E.; Lebastchi, A.H.; Mehralivand, S.; Gomella, P.T.; Bloom, J.; Gurram, S.; Siddiqui, M.; Pinsky, P.; et al. MRI-Targeted, Systematic, and Combined Biopsy for Prostate Cancer Diagnosis. N. Engl. J. Med. 2020, 382, 917–928. [Google Scholar] [CrossRef]
- Tosoian, J.J.; Mamawala, M.; Epstein, J.I.; Landis, P.; Macura, K.J.; Simopoulos, D.N.; Carter, H.B.; Gorin, M.A. Active Surveillance of Grade Group 1 Prostate Cancer: Long-Term Outcomes from a Large Prospective Cohort. Eur. Urol. 2020, 77, 675–682. [Google Scholar] [CrossRef]
- Thurtle, D.; Barrett, T.; Thankappan-Nair, V.; Koo, B.; Warren, A.; Kastner, C.; Saeb-Parsy, K.; Kimberley-Duffell, J.; Gnanapragasam, V.J. Progression and Treatment Rates Using an Active Surveillance Protocol Incorporating Image-Guided Baseline Biopsies and Multiparametric Magnetic Resonance Imaging Monitoring for Men with Favourable-Risk Prostate Cancer. BJU Int. 2018, 122, 59–65. [Google Scholar] [CrossRef] [PubMed] [Green Version]
- Klotz, L.; Pond, G.; Loblaw, A.; Sugar, L.; Moussa, M.; Berman, D.; Van der Kwast, T.; Vesprini, D.; Milot, L.; Kebabdjian, M.; et al. Randomized Study of Systematic Biopsy Versus Magnetic Resonance Imaging and Targeted and Systematic Biopsy in Men on Active Surveillance (ASIST): 2-Year Postbiopsy Follow-Up. Eur. Urol. 2020, 77, 311–317. [Google Scholar] [CrossRef] [PubMed] [Green Version]
- Hamoen, E.H.J.; Hoeks, C.M.A.; Somford, D.M.; van Oort, I.M.; Vergunst, H.; Oddens, J.R.; Smits, G.A.; Bokhorst, L.P.; Witjes, J.A.; Rovers, M.M.; et al. Value of Serial Multiparametric Magnetic Resonance Imaging and Magnetic Resonance Imaging-Guided Biopsies in Men with Low-Risk Prostate Cancer on Active Surveillance After 1 Yr Follow-Up. Eur. Urol. Focus 2019, 5, 407–415. [Google Scholar] [CrossRef] [PubMed]
- Hefermehl, L.J.; Disteldorf, D.; Lehmann, K. Acknowledging Unreported Problems with Active Surveillance for Prostate Cancer: A Prospective Single-Centre Observational Study. BMJ Open 2016, 6, e010191. [Google Scholar] [CrossRef] [PubMed] [Green Version]
- Hefermehl, L.J.; Disteldorf, D.; Talimi, S.; Groebli, R.; Lyttwin, B.; Lehmann, K. 13 Years of Experience in Active Surveillance for Prostate Cancer. J. Urol. 2014, 191, e459–e460. [Google Scholar] [CrossRef]



| Variable | Median (IQR) or Number (%) |
|---|---|
| Age, years | 67 (62–71) |
| PSA, ng/ml | 4.8 (3.1–7.5) |
| PSAD, ng/mL/cm3 | 0.11 (0.08–0.16) |
| PVol, cm3 | 42.7 (31.7–62) |
| GS ≤ 6 | 374 (95.7%) |
| GS = 7 | 16 (4.1%) |
| T1a-b | 124 (31.7%) |
| T1c | 267 (68.3%) |
| FU, months | 46 (25–90) |
| Variable | T1a/b, Median (IQR) | T1c, Median (IQR) |
|---|---|---|
| Age, years | 69 (64–70) | 66 (62–72) |
| PSA, ng/ml | 2.4 (1.4–4.6) | 5.3 (4–7.8) |
| PSAD, ng/mL/cm3 | 0.08 (0.04–0.1) | 0.12 (0.08–0.17) |
| PVol, cm3 | 37.7 (28.4–50) | 45 (33.4–65) |
| Reasons for Discontinuing Active Surveillance | n | Percentage of Cohort (391 Patients) |
|---|---|---|
| Still on active surveillance | 183 | 46.8% |
| Disease progression | 95 | 24.3% |
| Convert to watchful waiting | 26 | 6.6% |
| Patients choice for active treatment | 3 | 0.8% |
| Lost to follow-up | 68 | 17.4% |
| Death | 16 | 4.1% |
| Total | 391 | 100% |
| Treatment Type | n | Percentage of All Treatment Types |
|---|---|---|
| EBRT | 31 | 30.7% |
| RP | 56 | 55.4% |
| Focal therapy | 6 | 5.9% |
| ADT | 3 | 3.0% |
| ADT + ERBT | 3 | 3.0% |
| ADT + CT | 1 | 1.0% |
| Brachytherapy | 1 | 1.0% |
| Total | 101 | 100 |
Publisher’s Note: MDPI stays neutral with regard to jurisdictional claims in published maps and institutional affiliations. |
© 2022 by the authors. Licensee MDPI, Basel, Switzerland. This article is an open access article distributed under the terms and conditions of the Creative Commons Attribution (CC BY) license (https://creativecommons.org/licenses/by/4.0/).
Share and Cite
Hagmann, S.; Ramakrishnan, V.; Tamalunas, A.; Hofmann, M.; Vandenhirtz, M.; Vollmer, S.; Hug, J.; Niggli, P.; Nocito, A.; Kubik-Huch, R.A.; et al. Two Decades of Active Surveillance for Prostate Cancer in a Single-Center Cohort: Favorable Outcomes after Transurethral Resection of the Prostate. Cancers 2022, 14, 368. https://doi.org/10.3390/cancers14020368
Hagmann S, Ramakrishnan V, Tamalunas A, Hofmann M, Vandenhirtz M, Vollmer S, Hug J, Niggli P, Nocito A, Kubik-Huch RA, et al. Two Decades of Active Surveillance for Prostate Cancer in a Single-Center Cohort: Favorable Outcomes after Transurethral Resection of the Prostate. Cancers. 2022; 14(2):368. https://doi.org/10.3390/cancers14020368
Chicago/Turabian StyleHagmann, Sarah, Venkat Ramakrishnan, Alexander Tamalunas, Marc Hofmann, Moritz Vandenhirtz, Silvan Vollmer, Jsmea Hug, Philipp Niggli, Antonio Nocito, Rahel A. Kubik-Huch, and et al. 2022. "Two Decades of Active Surveillance for Prostate Cancer in a Single-Center Cohort: Favorable Outcomes after Transurethral Resection of the Prostate" Cancers 14, no. 2: 368. https://doi.org/10.3390/cancers14020368
APA StyleHagmann, S., Ramakrishnan, V., Tamalunas, A., Hofmann, M., Vandenhirtz, M., Vollmer, S., Hug, J., Niggli, P., Nocito, A., Kubik-Huch, R. A., Lehmann, K., & Hefermehl, L. J. (2022). Two Decades of Active Surveillance for Prostate Cancer in a Single-Center Cohort: Favorable Outcomes after Transurethral Resection of the Prostate. Cancers, 14(2), 368. https://doi.org/10.3390/cancers14020368

