Prognostic Impact of Serum Free Light Chain Ratio Normalization in Patients with Multiple Myeloma Treated within the GMMG-MM5 Trial
Abstract
:Simple Summary
Abstract
1. Introduction
2. Materials and Methods
2.1. MM5 Trial
2.2. Assessment of sFLC and Immunoglobulins
2.3. Statistical Methods
3. Results
3.1. Patient Cohort
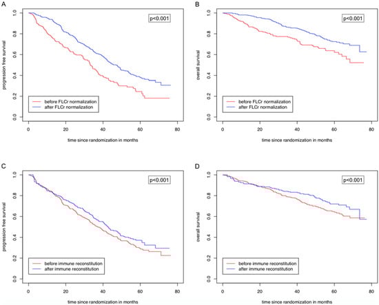
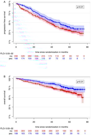
3.2. FLCr Normalization during Therapy in the MM5 Trial and Its Impact on PFS and OS
3.3. Achievement of Immune Reconstitution during Therapy in the MM5 Trial and Its Impact on PFS and OS
4. Discussion
5. Conclusions
Supplementary Materials
Author Contributions
Funding
Institutional Review Board Statement
Informed Consent Statement
Data Availability Statement
Acknowledgments
Conflicts of Interest
References
- Bhole, M.V.; Sadler, R.; Ramasamy, K. Serum-Free Light-Chain Assay: Clinical Utility and Limitations. Ann. Clin. Biochem. Int. J. Biochem. Lab. Med. 2014, 51, 528–542. [Google Scholar] [CrossRef] [Green Version]
- Snozek, C.L.H.; Katzmann, J.A.; Kyle, R.A.; Dispenzieri, A.; Larson, D.R.; Therneau, T.M.; Melton, L.J.; Kumar, S.; Greipp, P.R.; Clark, R.J.; et al. Prognostic Value of the Serum Free Light Chain Ratio in Newly Diagnosed Myeloma: Proposed Incorporation into the International Staging System. Leukemia 2008, 22, 1933–1937. [Google Scholar] [CrossRef] [Green Version]
- García de Veas Silva, J.L.; Bermudo Guitarte, C.; Menéndez Valladares, P.; Rojas Noboa, J.C.; Kestler, K.; Duro Millán, R. Prognostic Value of Serum Free Light Chains Measurements in Multiple Myeloma Patients. PLoS ONE 2016, 11, e0166841. [Google Scholar] [CrossRef]
- van Rhee, F.; Bolejack, V.; Hollmig, K.; Pineda-Roman, M.; Anaissie, E.; Epstein, J.; Shaughnessy, J.D.; Zangari, M.; Tricot, G.; Mohiuddin, A.; et al. High Serum-Free Light Chain Levels and Their Rapid Reduction in Response to Therapy Define an Aggressive Multiple Myeloma Subtype with Poor Prognosis. Blood 2007, 110, 827–832. [Google Scholar] [CrossRef] [Green Version]
- Kyrtsonis, M.-C.; Vassilakopoulos, T.P.; Kafasi, N.; Sachanas, S.; Tzenou, T.; Papadogiannis, A.; Galanis, Z.; Kalpadakis, C.; Dimou, M.; Kyriakou, E.; et al. Prognostic Value of Serum Free Light Chain Ratio at Diagnosis in Multiple Myeloma. Br. J. Haematol. 2007, 137, 240–243. [Google Scholar] [CrossRef]
- Dispenzieri, A.; Kyle, R.; Merlini, G.; Miguel, J.S.; Ludwig, H.; Hajek, R.; Palumbo, A.; Jagannath, S.; Blade, J.; Lonial, S.; et al. International Myeloma Working Group Guidelines for Serum-Free Light Chain Analysis in Multiple Myeloma and Related Disorders. Leukemia 2008, 23, 215–224. [Google Scholar] [CrossRef] [Green Version]
- Rajkumar, S.V.; Dimopoulos, M.A.; Palumbo, A.; Blade, J.; Merlini, G.; Mateos, M.-V.; Kumar, S.; Hillengass, J.; Kastritis, E.; Richardson, P.; et al. International Myeloma Working Group Updated Criteria for the Diagnosis of Multiple Myeloma. Lancet Oncol. 2014, 15, e538–e548. [Google Scholar] [CrossRef]
- Durie, B.G.M.; Harousseau, J.-L.; Miguel, J.S.; Bladé, J.; Barlogie, B.; Anderson, K.; Gertz, M.; Dimopoulos, M.; Westin, J.; Sonneveld, P.; et al. International Uniform Response Criteria for Multiple Myeloma. Leukemia 2006, 20, 1467–1473. [Google Scholar] [CrossRef] [Green Version]
- Kumar, S.; Paiva, B.; Anderson, K.C.; Durie, B.; Landgren, O.; Moreau, P.; Munshi, N.; Lonial, S.; Bladé, J.; Mateos, M.-V.; et al. International Myeloma Working Group Consensus Criteria for Response and Minimal Residual Disease Assessment in Multiple Myeloma. Lancet Oncol. 2016, 17, e328–e346. [Google Scholar] [CrossRef]
- Lopez-Anglada, L.; Cueto-Felgueroso, C.; Rosiñol, L.; Oriol, A.; Teruel, A.I.; Lopez de la Guia, A.; Bengoechea, E.; Palomera, L.; de Arriba, F.; Hernandez, J.M.; et al. Prognostic Utility of Serum Free Light Chain Ratios and Heavy-Light Chain Ratios in Multiple Myeloma in Three PETHEMA/GEM Phase III Clinical Trials. PLoS ONE 2018, 13, e0203392. [Google Scholar] [CrossRef] [Green Version]
- Alhaj Moustafa, M.; Rajkumar, S.V.; Dispenzieri, A.; Gertz, M.A.; Lacy, M.Q.; Buadi, F.K.; Hwa, Y.L.; Dingli, D.; Kapoor, P.; Hayman, S.R.; et al. Utility of Serum Free Light Chain Measurements in Multiple Myeloma Patients Not Achieving Complete Response to Therapy. Leukemia 2015, 29, 2033–2038. [Google Scholar] [CrossRef] [PubMed]
- Dejoie, T.; Corre, J.; Caillon, H.; Moreau, P.; Attal, M.; Loiseau, H.A. Responses in Multiple Myeloma Should Be Assigned According to Serum, Not Urine, Free Light Chain Measurements. Leukemia 2019, 33, 313–318. [Google Scholar] [CrossRef] [Green Version]
- Heaney, J.L.J.; Campbell, J.P.; Iqbal, G.; Cairns, D.; Richter, A.; Child, J.A.; Gregory, W.; Jackson, G.; Kaiser, M.; Owen, R.; et al. Characterisation of Immunoparesis in Newly Diagnosed Myeloma and Its Impact on Progression-Free and Overall Survival in Both Old and Recent Myeloma Trials. Leukemia 2018, 32, 1727–1738. [Google Scholar] [CrossRef]
- Chakraborty, R.; Rybicki, L.; Nakashima, M.O.; Dean, R.M.; Faiman, B.M.; Samaras, C.J.; Rosko, N.; Dysert, H.; Valent, J.; Anwer, F. Characterisation and Prognostic Impact of Immunoparesis in Relapsed Multiple Myeloma. Br. J. Haematol. 2020, 189, 1074–1082. [Google Scholar] [CrossRef] [PubMed] [Green Version]
- Geng, C.; Yang, G.; Wang, H.; Wu, Y.; Leng, Y.; Zhou, H.; Zhang, Z.; Jian, Y.; Chen, W. Deep and Partial Immunoparesis Is a Poor Prognostic Factor for Newly Diagnosed Multiple Myeloma Patients. Leuk. Lymphoma 2021, 62, 883–890. [Google Scholar] [CrossRef]
- González-Calle, V.; Cerdá, S.; Labrador, J.; Sobejano, E.; González-Mena, B.; Aguilera, C.; Ocio, E.M.; Vidriales, M.B.; Puig, N.; Gutiérrez, N.C.; et al. Recovery of Polyclonal Immunoglobulins One Year after Autologous Stem Cell Transplantation as a Long-Term Predictor Marker of Progression and Survival in Multiple Myeloma. Haematologica 2017, 102, 922–931. [Google Scholar] [CrossRef] [Green Version]
- Goldschmidt, H.; Mai, E.K.; Dürig, J.; Scheid, C.; Weisel, K.C.; Kunz, C.; Bertsch, U.; Hielscher, T.; Merz, M.; Munder, M.; et al. Response-Adapted Lenalidomide Maintenance in Newly Diagnosed Myeloma: Results from the Phase III GMMG-MM5 Trial. Leukemia 2020, 34, 1853–1865. [Google Scholar] [CrossRef]
- Mai, E.K.; Bertsch, U.; Dürig, J.; Kunz, C.; Haenel, M.; Blau, I.W.; Munder, M.; Jauch, A.; Schurich, B.; Hielscher, T.; et al. Phase III Trial of Bortezomib, Cyclophosphamide and Dexamethasone (VCD) versus Bortezomib, Doxorubicin and Dexamethasone (PAd) in Newly Diagnosed Myeloma. Leukemia 2015, 29, 1721–1729. [Google Scholar] [CrossRef]
- Bradwell, A.R.; Carr-Smith, H.D.; Mead, G.P.; Tang, L.X.; Showell, P.J.; Drayson, M.T.; Drew, R. Highly Sensitive, Automated Immunoassay for Immunoglobulin Free Light Chains in Serum and Urine. Clin. Chem. 2001, 47, 673–680. [Google Scholar] [CrossRef]
- Katzmann, J.A.; Clark, R.J.; Abraham, R.S.; Bryant, S.; Lymp, J.F.; Bradwell, A.R.; Kyle, R.A. Serum Reference Intervals and Diagnostic Ranges for Free Kappa and Free Lambda Immunoglobulin Light Chains: Relative Sensitivity for Detection of Monoclonal Light Chains. Clin. Chem. 2002, 48, 1437–1444. [Google Scholar] [CrossRef] [PubMed] [Green Version]
- Hutchison, C.A.; Harding, S.; Hewins, P.; Mead, G.P.; Townsend, J.; Bradwell, A.R.; Cockwell, P. Quantitative Assessment of Serum and Urinary Polyclonal Free Light Chains in Patients with Chronic Kidney Disease. Clin. J. Am. Soc. Nephrol. CJASN 2008, 3, 1684–1690. [Google Scholar] [CrossRef] [Green Version]
- Kastritis, E.; Zagouri, F.; Symeonidis, A.; Roussou, M.; Sioni, A.; Pouli, A.; Delimpasi, S.; Katodritou, E.; Michalis, E.; Michael, M.; et al. Preserved Levels of Uninvolved Immunoglobulins Are Independently Associated with Favorable Outcome in Patients with Symptomatic Multiple Myeloma. Leukemia 2014, 28, 2075–2079. [Google Scholar] [CrossRef]
- Simon, R.; Makuch, R.W. A Non-Parametric Graphical Representation of the Relationship between Survival and the Occurrence of an Event: Application to Responder versus Non-Responder Bias. Stat. Med. 1984, 3, 35–44. [Google Scholar] [CrossRef]
- Kaplan, E.L.; Meier, P. Nonparametric Estimation from Incomplete Observations. J. Am. Stat. Assoc. 1958, 53, 457–481. [Google Scholar] [CrossRef]
- Merz, M.; Salwender, H.; Haenel, M.; Mai, E.K.; Bertsch, U.; Kunz, C.; Hielscher, T.; Blau, I.W.; Scheid, C.; Hose, D.; et al. Subcutaneous versus Intravenous Bortezomib in Two Different Induction Therapies for Newly Diagnosed Multiple Myeloma: An Interim Analysis from the Prospective GMMG-MM5 Trial. Haematologica 2015, 100, 964–969. [Google Scholar] [CrossRef] [Green Version]
- Gran, C.; Afram, G.; Liwing, J.; Verhoek, A.; Nahi, H. Involved Free Light Chain: An Early Independent Predictor of Response and Progression in Multiple Myeloma. Leuk. Lymphoma 2021, 1–8. [Google Scholar] [CrossRef]
- Hansen, C.T.; Pedersen, P.T.; Nielsen, L.C.; Abildgaard, N. Evaluation of the Serum Free Light Chain (SFLC) Analysis in Prediction of Response in Symptomatic Multiple Myeloma Patients: Rapid Profound Reduction in Involved FLC Predicts Achievement of VGPR. Eur. J. Haematol. 2014, 93, 407–413. [Google Scholar] [CrossRef]
- Mead, G.P.; Carr-Smith, H.D.; Drayson, M.T.; Morgan, G.J.; Child, J.A.; Bradwell, A.R. Serum Free Light Chains for Monitoring Multiple Myeloma. Br. J. Haematol. 2004, 126, 348–354. [Google Scholar] [CrossRef] [PubMed]
- Brioli, A.; Giles, H.; Pawlyn, C.; Campbell, J.P.; Kaiser, M.F.; Melchor, L.; Jackson, G.H.; Gregory, W.M.; Owen, R.G.; Child, J.A.; et al. Serum Free Immunoglobulin Light Chain Evaluation as a Marker of Impact from Intraclonal Heterogeneity on Myeloma Outcome. Blood 2014, 123, 3414–3419. [Google Scholar] [CrossRef] [PubMed] [Green Version]
- Kühnemund, A.; Liebisch, P.; Bauchmüller, K.; zur Hausen, A.; Veelken, H.; Wäsch, R.; Engelhardt, M. ’Light-Chain Escape-Multiple Myeloma’-an Escape Phenomenon from Plateau Phase: Report of the Largest Patient Series Using LC-Monitoring. J. Cancer Res. Clin. Oncol. 2009, 135, 477–484. [Google Scholar] [CrossRef] [PubMed]
- Patel, U.H.; Drabick, J.J.; Malysz, J.; Talamo, G. Nonsecretory and Light Chain Escape in Patients with Multiple Myeloma. Clin. Lymphoma Myeloma Leuk. 2018, 18, e515–e519. [Google Scholar] [CrossRef]
- Tacchetti, P.; Pezzi, A.; Zamagni, E.; Pantani, L.; Rocchi, S.; Zannetti, B.A.; Mancuso, K.; Rizzello, I.; Cavo, M. Role of Serum Free Light Chain Assay in the Detection of Early Relapse and Prediction of Prognosis after Relapse in Multiple Myeloma Patients Treated Upfront with Novel Agents. Haematologica 2017, 102, e104–e107. [Google Scholar] [CrossRef] [PubMed] [Green Version]
- Iwama, K.; Chihara, D.; Tsuda, K.; Ugai, T.; Sugihara, H.; Nishida, Y.; Yamakura, M.; Takeuchi, M.; Matsue, K. Normalization of Free Light Chain Kappa/Lambda Ratio Is a Robust Prognostic Indicator of Favorable Outcome in Patients with Multiple Myeloma. Eur. J. Haematol. 2013, 90, 134–141. [Google Scholar] [CrossRef]
- Tacchetti, P.; Cavo, M.; Rocchi, S.; Pezzi, A.; Pantani, L.; Brioli, A.; Testoni, N.; Terragna, C.; Zannetti, B.A.; Mancuso, K.; et al. Prognostic Impact of Serial Measurements of Serum-Free Light Chain Assay throughout the Course of Newly Diagnosed Multiple Myeloma Treated with Bortezomib-Based Regimens. Leuk. Lymphoma 2016, 57, 2058–2064. [Google Scholar] [CrossRef]
- Abdallah, N.; Kapoor, P.; Murray, D.L.; Buadi, F.K.; Dingli, D.; Dispenzieri, A.; Gertz, M.A.; Go, R.S.; Gonsalves, W.I.; Hayman, S.R.; et al. Utility of Serum Free Light Chain Ratio in Response Definition in Patients with Multiple Myeloma. Blood Adv. 2020, 4, 322–326. [Google Scholar] [CrossRef]
- Lehners, N.; Becker, N.; Benner, A.; Pritsch, M.; Löpprich, M.; Mai, E.K.; Hillengass, J.; Goldschmidt, H.; Raab, M.-S. Analysis of Long-Term Survival in Multiple Myeloma after First-Line Autologous Stem Cell Transplantation: Impact of Clinical Risk Factors and Sustained Response. Cancer Med. 2018, 7, 307–316. [Google Scholar] [CrossRef] [Green Version]
- van de Velde, H.J.K.; Liu, X.; Chen, G.; Cakana, A.; Deraedt, W.; Bayssas, M. Complete Response Correlates with Long-Term Survival and Progression-Free Survival in High-Dose Therapy in Multiple Myeloma. Haematologica 2007, 92, 1399–1406. [Google Scholar] [CrossRef]
- Jimenez-Zepeda, V.H.; Duggan, P.; Neri, P.; Chaudhry, A.; Tay, J.; Bahlis, N. Immunoparesis and Polyclonal Immunoglobulin Recovery after Auto-SCT for Patients with Multiple Myeloma Treated at a Single Institution. Leuk. Lymphoma 2018, 59, 1920–1926. [Google Scholar] [CrossRef]
- Mai, E.K.; Miah, K.; Bertsch, U.; Dürig, J.; Scheid, C.; Weisel, K.C.; Kunz, C.; Munder, M.; Lindemann, H.-W.; Merz, M.; et al. Bortezomib-Based Induction, High-Dose Melphalan and Lenalidomide Maintenance in Myeloma up to 70 Years of Age. Leukemia 2021, 35, 809–822. [Google Scholar] [CrossRef]
- Mai, E.K.; Haas, E.-M.; Lücke, S.; Löpprich, M.; Kunz, C.; Pritsch, M.; Knaup-Gregori, P.; Raab, M.S.; Schlenzka, J.; Bertsch, U.; et al. A Systematic Classification of Death Causes in Multiple Myeloma. Blood Cancer J. 2018, 8, 30. [Google Scholar] [CrossRef] [Green Version]
- Rueff, J.; Medinger, M.; Heim, D.; Passweg, J.; Stern, M. Lymphocyte Subset Recovery and Outcome after Autologous Hematopoietic Stem Cell Transplantation for Plasma Cell Myeloma. Biol. Blood Marrow Transplant. 2014, 20, 896–899. [Google Scholar] [CrossRef] [PubMed] [Green Version]
- Ozaki, S.; Harada, T.; Yagi, H.; Sekimoto, E.; Shibata, H.; Shigekiyo, T.; Fujii, S.; Nakamura, S.; Miki, H.; Kagawa, K.; et al. Polyclonal Immunoglobulin Recovery after Autologous Stem Cell Transplantation Is an Independent Prognostic Factor for Survival Outcome in Patients with Multiple Myeloma. Cancers 2019, 12, 12. [Google Scholar] [CrossRef] [PubMed] [Green Version]




| Variable | n (n = 590) | % |
|---|---|---|
| Sex (n = 590) | ||
| Female | 242 | 41.0 |
| Male | 348 | 59.0 |
| Age (n = 590) | ||
| Median (range) | 59 (32–70) years | |
| Myeloma subtype (n = 590) | ||
| IgG | 364 | 61.7 |
| IgA | 121 | 20.5 |
| Bence-Jones | 105 | 17.8 |
| Light chain isotype (n = 590) | ||
| Kappa | 402 | 68.1 |
| Lambda | 188 | 31.9 |
| Calcium (n = 590) | ||
| >2.65 mmol/L | 79 | 13.4 |
| ≤2.65 mmol/L | 511 | 86.6 |
| Renal insufficiency * (n = 590) | ||
| Yes | 66 | 11.2 |
| No | 524 | 88.8 |
| Hemoglobin (n = 590) | ||
| <10 g/dL | 304 | 51.5 |
| ≥10 g/dL | 286 | 48.5 |
| Bone disease ** (n = 590) | ||
| Yes | 534 | 90.5 |
| No | 56 | 9.5 |
| ISS (n = 590) | ||
| I | 226 | 38.3 |
| II | 204 | 34.6 |
| III | 160 | 27.1 |
| Adverse cytogenetics *** (n = 527) | ||
| Yes | 267 | 50.7 |
| No | 260 | 49.3 |
| LDH (n = 588) | ||
| <308 U/L | 551 | 93.7 |
| ≥308 U/L | 37 | 6.3 |
| Abnormal FLCr (n = 584) | ||
| Yes | 563 | 96.4 |
| No | 21 | 3.6 |
| Immunoparesis (n = 588) | ||
| Yes | 535 | 91.0 |
| No | 53 | 9.0 |
| Variable | PFS | OS | ||
|---|---|---|---|---|
| HR (95% CI) | p-Value | HR (95% CI) | p-Value | |
| Age (per year) | 1.00 (0.98–1.01) | 0.89 | 1.02 (1.00–1.04) | 0.06 |
| ISS (II vs. I) | 1.46 (1.13–1.90) | <0.01 | 1.77 (1.16–2.71) | 0.01 |
| ISS (III vs. I) | 1.82 (1.37–2.43) | <0.01 | 2.91 (1.90–4.45) | <0.01 |
| Adverse cytogenetics (yes vs. no) | 2.12 (1.68–2.68) | <0.01 | 2.96 (2.07–4.23) | <0.01 |
| Treatment arm (B vs. A) | 1.04 (0.82–1.31) | 0.75 | 1.56 (1.12–2.17) | 0.01 |
| Response after CONS (CR vs. non-CR) | 1.04 (0.76–1.40) | 0.82 | 0.71 (0.44–1.15) | 0.16 |
| FLCr normalization (yes vs. no) | 0.61 (0.47–0.79) | <0.01 | 0.67 (0.48–0.93) | 0.02 |
| Variable | PFS | OS | ||
|---|---|---|---|---|
| HR (95% CI) | p-Value | HR (95% CI) | p-Value | |
| Age (per year) | 1.00 (0.98–1.01) | 0.73 | 1.02 (1.00–1.04) | 0.05 |
| ISS (II vs. I) | 1.43 (1.10–1.85) | 0.01 | 1.72 (1.13–2.63) | 0.01 |
| ISS (III vs. I) | 1.88 (1.41–2.50) | <0.01 | 2.97 (1.94–4.53) | <0.01 |
| Adverse cytogenetics (yes vs. no) | 2.09 (1.66–2.63) | <0.01 | 2.97 (2.09–4.24) | <0.01 |
| Treatment arm (B vs. A) | 1.04 (0.83–1.30) | 0.75 | 1.55 (1.11–2.16) | 0.01 |
| Response after CONS (CR vs. non-CR) | 0.98 (0.73–1.30) | 0.87 | 0.65 (0.41–1.04) | 0.07 |
| Immune reconstitution (yes vs. no) | 0.77 (0.60–0.99) | 0.04 | 0.59 (0.41–0.86) | 0.01 |
Publisher’s Note: MDPI stays neutral with regard to jurisdictional claims in published maps and institutional affiliations. |
© 2021 by the authors. Licensee MDPI, Basel, Switzerland. This article is an open access article distributed under the terms and conditions of the Creative Commons Attribution (CC BY) license (https://creativecommons.org/licenses/by/4.0/).
Share and Cite
Klein, E.-M.; Tichy, D.; Salwender, H.J.; Mai, E.K.; Duerig, J.; Weisel, K.C.; Benner, A.; Bertsch, U.; Akhavanpoor, M.; Besemer, B.; et al. Prognostic Impact of Serum Free Light Chain Ratio Normalization in Patients with Multiple Myeloma Treated within the GMMG-MM5 Trial. Cancers 2021, 13, 4856. https://doi.org/10.3390/cancers13194856
Klein E-M, Tichy D, Salwender HJ, Mai EK, Duerig J, Weisel KC, Benner A, Bertsch U, Akhavanpoor M, Besemer B, et al. Prognostic Impact of Serum Free Light Chain Ratio Normalization in Patients with Multiple Myeloma Treated within the GMMG-MM5 Trial. Cancers. 2021; 13(19):4856. https://doi.org/10.3390/cancers13194856
Chicago/Turabian StyleKlein, Eva-Maria, Diana Tichy, Hans J. Salwender, Elias K. Mai, Jan Duerig, Katja C. Weisel, Axel Benner, Uta Bertsch, Mabast Akhavanpoor, Britta Besemer, and et al. 2021. "Prognostic Impact of Serum Free Light Chain Ratio Normalization in Patients with Multiple Myeloma Treated within the GMMG-MM5 Trial" Cancers 13, no. 19: 4856. https://doi.org/10.3390/cancers13194856
APA StyleKlein, E.-M., Tichy, D., Salwender, H. J., Mai, E. K., Duerig, J., Weisel, K. C., Benner, A., Bertsch, U., Akhavanpoor, M., Besemer, B., Munder, M., Lindemann, H.-W., Hose, D., Seckinger, A., Luntz, S., Jauch, A., Elmaagacli, A., Fuhrmann, S., Brossart, P., ... on behalf of the German-Speaking Myeloma Multicenter Group (GMMG). (2021). Prognostic Impact of Serum Free Light Chain Ratio Normalization in Patients with Multiple Myeloma Treated within the GMMG-MM5 Trial. Cancers, 13(19), 4856. https://doi.org/10.3390/cancers13194856

