Integrated Analysis of Structural Variation and RNA Expression of FGFR2 and Its Splicing Modulator ESRP1 Highlight the ESRP1amp-FGFR2norm-FGFR2-IIIchigh Axis in Diffuse Gastric Cancer
Abstract
1. Introduction
2. Results
2.1. FGFR2 and ESRP1 Are Frequently Amplified and Exhibit Promoter Demethylation in GC
2.2. FGFR2 and ESRP1 Promoter Demethylation and Amplification Are Correlated with High RNA Expression in GC
2.3. ESRP1 and FGFR2-IIIb Are Overexpressed While FGFR2-IIIc Is Down-Regulated in GC
2.4. Expression of ESRP1 and FGFR2 Isoforms Are Significantly Correlated with CN Status of Corresponding Gene Loci in GC
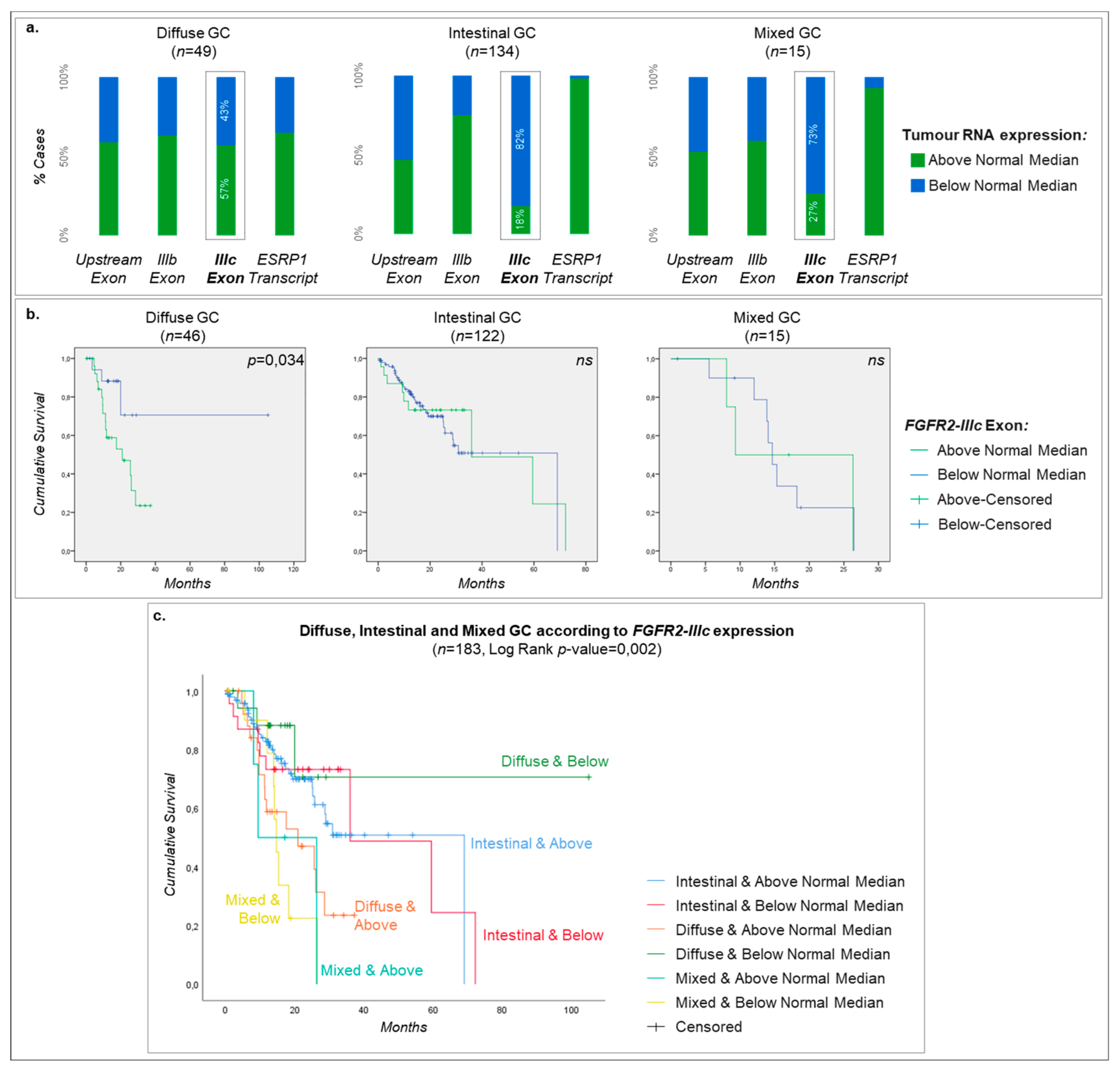
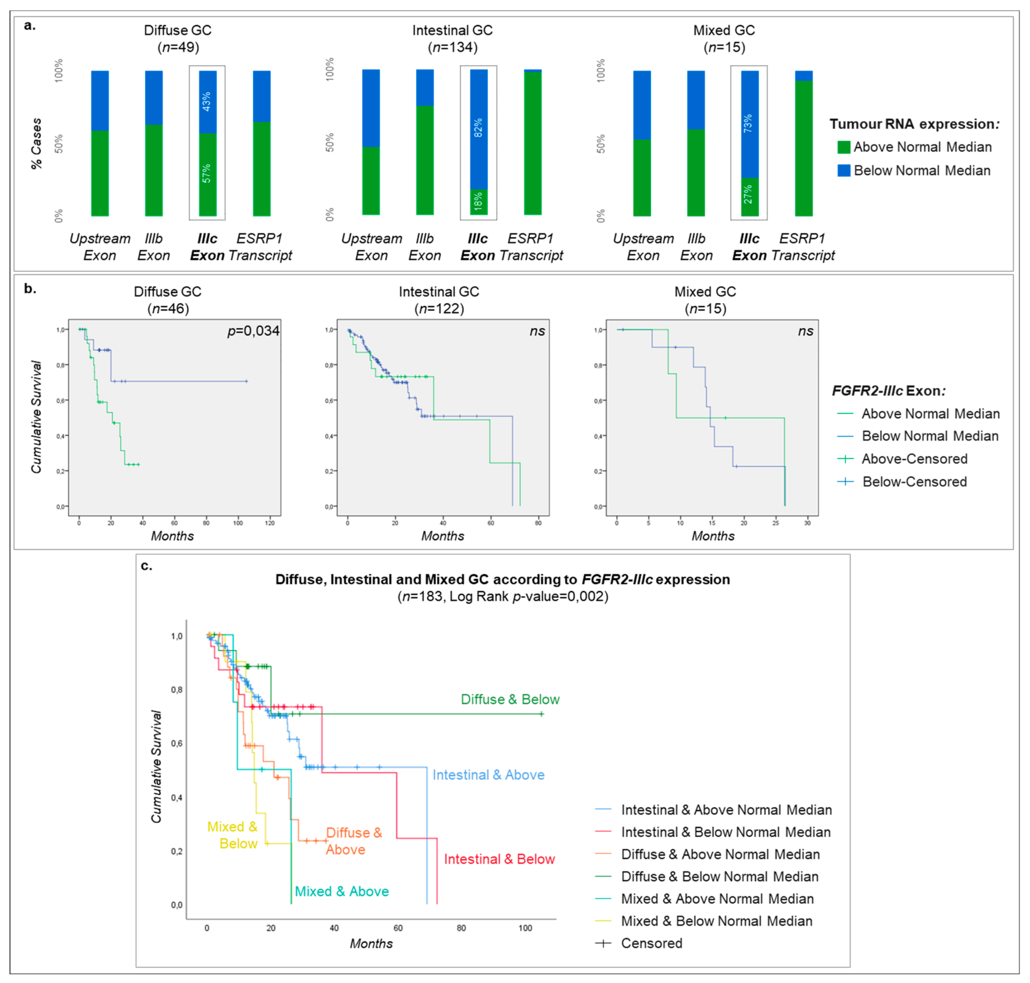
2.5. Patients with Low FGFR2-IIIc Expression and Diffuse-Type GC Present Better Overall Survival than Those with FGFR2-IIIc High Expression
2.6. ESRP1 Control over FGFR2 Isoform Expression May Be GC Histotype-Dependent
3. Discussion
4. Materials and Methods
4.1. Description of Cohorts
4.2. Copy Number Variation Data Analysis
4.3. DNA Methylation Data Analysis
4.3.1. RRBS
4.3.2. Bisulfite Sanger Sequencing
4.3.3. Illumina Human Methylation 27/450 Beadchip Data Collection
4.4. Transcriptome Profiling Analysis
4.4.1. FGFR2, ESRP1, FGFR2-IIIb, and FGFR2-IIIc Relative Quantification
4.4.2. RNA-Sequencing Data Analysis
4.5. Cell Culture and Short-Interference-RNA Experiments
4.6. Graphical Representations and Statistical Analysis
5. Conclusions
Supplementary Materials
Author Contributions
Funding
Acknowledgments
Conflicts of Interest
References
- Bray, F.; Ferlay, J.; Soerjomataram, I.; Siegel, R.L.; Torre, L.A.; Jemal, A. Global cancer statistics 2018: GLOBOCAN estimates of incidence and mortality worldwide for 36 cancers in 185 countries. CA Cancer J. Clin. 2018, 68, 394–424. [Google Scholar] [CrossRef] [PubMed]
- Balakrishnan, M.; George, R.; Sharma, A.; Graham, D.Y. Changing Trends in Stomach Cancer Throughout the World. Curr. Gastroenterol. Rep. 2017, 19, 36. [Google Scholar] [CrossRef] [PubMed]
- Karimi, P.; Islami, F.; Anandasabapathy, S.; Freedman, N.D.; Kamangar, F. Gastric cancer: Descriptive epidemiology, risk factors, screening, and prevention. Cancer Epidemiol. Biomarkers Prev. 2014, 23, 700–713. [Google Scholar] [CrossRef] [PubMed]
- Gullo, I.; Carneiro, F.; Oliveira, C.; Almeida, G.M. Heterogeneity in Gastric Cancer: From Pure Morphology to Molecular Classifications. Pathobiology 2018, 85, 50–63. [Google Scholar] [CrossRef]
- Bang, Y.J.; Van Cutsem, E.; Feyereislova, A.; Chung, H.C.; Shen, L.; Sawaki, A.; Lordick, F.; Ohtsu, A.; Omuro, Y.; Satoh, T.; et al. Trastuzumab in combination with chemotherapy versus chemotherapy alone for treatment of HER2-positive advanced gastric or gastro-oesophageal junction cancer (ToGA): A phase 3, open-label, randomised controlled trial. Lancet 2010, 376, 687–697. [Google Scholar] [CrossRef]
- Fuchs, C.S.; Tomasek, J.; Yong, C.J.; Dumitru, F.; Passalacqua, R.; Goswami, C.; Safran, H.; Dos Santos, L.V.; Aprile, G.; Ferry, D.R.; et al. Ramucirumab monotherapy for previously treated advanced gastric or gastro-oesophageal junction adenocarcinoma (REGARD): An international, randomised, multicentre, placebo-controlled, phase 3 trial. Lancet 2014, 383, 31–39. [Google Scholar] [CrossRef]
- Wilke, H.; Muro, K.; Van Cutsem, E.; Oh, S.C.; Bodoky, G.; Shimada, Y.; Hironaka, S.; Sugimoto, N.; Lipatov, O.; Kim, T.Y.; et al. Ramucirumab plus paclitaxel versus placebo plus paclitaxel in patients with previously treated advanced gastric or gastro-oesophageal junction adenocarcinoma (RAINBOW): A double-blind, randomised phase 3 trial. Lancet Oncol. 2014, 15, 1224–1235. [Google Scholar] [CrossRef]
- Ohtsu, A.; Shah, M.A.; Van Cutsem, E.; Rha, S.Y.; Sawaki, A.; Park, S.R.; Lim, H.Y.; Yamada, Y.; Wu, J.; Langer, B.; et al. Bevacizumab in combination with chemotherapy as first-line therapy in advanced gastric cancer: A randomized, double-blind, placebo-controlled phase III study. J. Clin. Oncol. 2011, 29, 3968–3976. [Google Scholar] [CrossRef]
- Waddell, T.; Chau, I.; Cunningham, D.; Gonzalez, D.; Okines, A.F.; Okines, C.; Wotherspoon, A.; Saffery, C.; Middleton, G.; Wadsley, J.; et al. Epirubicin, oxaliplatin, and capecitabine with or without panitumumab for patients with previously untreated advanced oesophagogastric cancer (REAL3): A randomised, open-label phase 3 trial. Lancet Oncol. 2013, 14, 481–489. [Google Scholar] [CrossRef]
- Catenacci, D.V.T.; Tebbutt, N.C.; Davidenko, I.; Murad, A.M.; Al-Batran, S.E.; Ilson, D.H.; Tjulandin, S.; Gotovkin, E.; Karaszewska, B.; Bondarenko, I.; et al. Rilotumumab plus epirubicin, cisplatin, and capecitabine as first-line therapy in advanced MET-positive gastric or gastro-oesophageal junction cancer (RILOMET-1): A randomised, double-blind, placebo-controlled, phase 3 trial. Lancet Oncol. 2017, 18, 1467–1482. [Google Scholar] [CrossRef]
- Shah, M.A.; Cho, J.Y.; Tan, I.B.; Tebbutt, N.C.; Yen, C.J.; Kang, A.; Shames, D.S.; Bu, L.; Kang, Y.K. A Randomized Phase II Study of FOLFOX With or Without the MET Inhibitor Onartuzumab in Advanced Adenocarcinoma of the Stomach and Gastroesophageal Junction. Oncologist 2016, 21, 1085–1090. [Google Scholar] [CrossRef] [PubMed]
- Van Cutsem, E.; Bang, Y.J.; Mansoor, W.; Petty, R.D.; Chao, Y.; Cunningham, D.; Ferry, D.R.; Smith, N.R.; Frewer, P.; Ratnayake, J.; et al. A randomized, open-label study of the efficacy and safety of AZD4547 monotherapy versus paclitaxel for the treatment of advanced gastric adenocarcinoma with FGFR2 polysomy or gene amplification. Ann. Oncol. 2017, 28, 1316–1324. [Google Scholar] [CrossRef] [PubMed]
- Turner, N.; Grose, R. Fibroblast growth factor signalling: From development to cancer. Nat. Rev. Cancer 2010, 10, 116–129. [Google Scholar] [CrossRef] [PubMed]
- Babina, I.S.; Turner, N.C. Advances and challenges in targeting FGFR signalling in cancer. Nat. Rev. Cancer 2017, 17, 318–332. [Google Scholar] [CrossRef]
- Nagatsuma, A.K.; Aizawa, M.; Kuwata, T.; Doi, T.; Ohtsu, A.; Fujii, H.; Ochiai, A. Expression profiles of HER2, EGFR, MET and FGFR2 in a large cohort of patients with gastric adenocarcinoma. Gastric Cancer 2015, 18, 227–238. [Google Scholar] [CrossRef]
- Murase, H.; Inokuchi, M.; Takagi, Y.; Kato, K.; Kojima, K.; Sugihara, K. Prognostic significance of the co-overexpression of fibroblast growth factor receptors 1, 2 and 4 in gastric cancer. Mol. Clin. Oncol. 2014, 2, 509–517. [Google Scholar] [CrossRef]
- Su, X.; Zhan, P.; Gavine, P.R.; Morgan, S.; Womack, C.; Ni, X.; Shen, D.; Bang, Y.J.; Im, S.A.; Ho Kim, W.; et al. FGFR2 amplification has prognostic significance in gastric cancer: Results from a large international multicentre study. Br. J. Cancer 2014, 110, 967–975. [Google Scholar] [CrossRef]
- Cancer Genome Atlas Research, N. Comprehensive molecular characterization of gastric adenocarcinoma. Nature 2014, 513, 202–209. [Google Scholar] [CrossRef]
- Tokunaga, R.; Imamura, Y.; Nakamura, K.; Ishimoto, T.; Nakagawa, S.; Miyake, K.; Nakaji, Y.; Tsuda, Y.; Iwatsuki, M.; Baba, Y.; et al. Fibroblast growth factor receptor 2 expression, but not its genetic amplification, is associated with tumor growth and worse survival in esophagogastric junction adenocarcinoma. Oncotarget 2016, 7, 19748–19761. [Google Scholar] [CrossRef]
- Tabernero, J.; Bahleda, R.; Dienstmann, R.; Infante, J.R.; Mita, A.; Italiano, A.; Calvo, E.; Moreno, V.; Adamo, B.; Gazzah, A.; et al. Phase I Dose-Escalation Study of JNJ-42756493, an Oral Pan-Fibroblast Growth Factor Receptor Inhibitor, in Patients With Advanced Solid Tumors. J. Clin. Oncol. 2015, 33, 3401–3408. [Google Scholar] [CrossRef]
- Ishii, H.; Hattori, Y.; Itoh, H.; Kishi, T.; Yoshida, T.; Sakamoto, H.; Oh, H.; Yoshida, S.; Sugimura, T.; Terada, M. Preferential expression of the third immunoglobulin-like domain of K-sam product provides keratinocyte growth factor-dependent growth in carcinoma cell lines. Cancer Res. 1994, 54, 518–522. [Google Scholar] [PubMed]
- Ornitz, D.M.; Xu, J.; Colvin, J.S.; McEwen, D.G.; MacArthur, C.A.; Coulier, F.; Gao, G.; Goldfarb, M. Receptor specificity of the fibroblast growth factor family. J. Biol. Chem. 1996, 271, 15292–15297. [Google Scholar] [CrossRef] [PubMed]
- Johnson, D.E.; Lu, J.; Chen, H.; Werner, S.; Williams, L.T. The human fibroblast growth factor receptor genes: A common structural arrangement underlies the mechanisms for generating receptor forms that differ in their third immunoglobulin domain. Mol. Cell Biol. 1991, 11, 4627–4634. [Google Scholar] [CrossRef] [PubMed]
- Yayon, A.; Zimmer, Y.; Shen, G.H.; Avivi, A.; Yarden, Y.; Givol, D. A confined variable region confers ligand specificity on fibroblast growth factor receptors: Implications for the origin of the immunoglobulin fold. EMBO J. 1992, 11, 1885–1890. [Google Scholar] [CrossRef] [PubMed]
- Yoshino, M.; Ishiwata, T.; Watanabe, M.; Matsunobu, T.; Komine, O.; Ono, Y.; Yamamoto, T.; Fujii, T.; Matsumoto, K.; Tokunaga, A.; et al. Expression and roles of keratinocyte growth factor and its receptor in esophageal cancer cells. Int. J. Oncol. 2007, 31, 721–728. [Google Scholar] [CrossRef]
- Ishiwata, T.; Friess, H.; Buchler, M.W.; Lopez, M.E.; Korc, M. Characterization of keratinocyte growth factor and receptor expression in human pancreatic cancer. Am. J. Pathol. 1998, 153, 213–222. [Google Scholar] [CrossRef]
- Kurban, G.; Ishiwata, T.; Kudo, M.; Yokoyama, M.; Sugisaki, Y.; Naito, Z. Expression of keratinocyte growth factor receptor (KGFR/FGFR2 IIIb) in human uterine cervical cancer. Oncol. Rep. 2004, 11, 987–991. [Google Scholar] [CrossRef] [PubMed]
- Yamayoshi, T.; Nagayasu, T.; Matsumoto, K.; Abo, T.; Hishikawa, Y.; Koji, T. Expression of keratinocyte growth factor/fibroblast growth factor-7 and its receptor in human lung cancer: Correlation with tumour proliferative activity and patient prognosis. J. Pathol. 2004, 204, 110–118. [Google Scholar] [CrossRef]
- Cho, K.; Ishiwata, T.; Uchida, E.; Nakazawa, N.; Korc, M.; Naito, Z.; Tajiri, T. Enhanced expression of keratinocyte growth factor and its receptor correlates with venous invasion in pancreatic cancer. Am. J. Pathol. 2007, 170, 1964–1974. [Google Scholar] [CrossRef]
- De Diez Medina, S.G.; Chopin, D.; El Marjou, A.; Delouvee, A.; LaRochelle, W.J.; Hoznek, A.; Abbou, C.; Aaronson, S.A.; Thiery, J.P.; Radvanyi, F. Decreased expression of keratinocyte growth factor receptor in a subset of human transitional cell bladder carcinomas. Oncogene 1997, 14, 323–330. [Google Scholar] [CrossRef][Green Version]
- Shoji, K.; Teishima, J.; Hayashi, T.; Ohara, S.; McKeehan, W.L.; Matsubara, A. Restoration of fibroblast growth factor receptor 2IIIb enhances the chemosensitivity of human prostate cancer cells. Oncol. Rep. 2014, 32, 65–70. [Google Scholar] [CrossRef] [PubMed]
- Naimi, B.; Latil, A.; Fournier, G.; Mangin, P.; Cussenot, O.; Berthon, P. Down-regulation of (IIIb) and (IIIc) isoforms of fibroblast growth factor receptor 2 (FGFR2) is associated with malignant progression in human prostate. Prostate 2002, 52, 245–252. [Google Scholar] [CrossRef] [PubMed]
- Zhang, Y.; Wang, H.; Toratani, S.; Sato, J.D.; Kan, M.; McKeehan, W.L.; Okamoto, T. Growth inhibition by keratinocyte growth factor receptor of human salivary adenocarcinoma cells through induction of differentiation and apoptosis. Proc. Natl. Acad. Sci. USA 2001, 98, 11336–11340. [Google Scholar] [CrossRef] [PubMed]
- Matsubara, A.; Kan, M.; Feng, S.; McKeehan, W.L. Inhibition of growth of malignant rat prostate tumor cells by restoration of fibroblast growth factor receptor 2. Cancer Res. 1998, 58, 1509–1514. [Google Scholar] [PubMed]
- Ricol, D.; Cappellen, D.; El Marjou, A.; Gil-Diez-de-Medina, S.; Girault, J.M.; Yoshida, T.; Ferry, G.; Tucker, G.; Poupon, M.F.; Chopin, D.; et al. Tumour suppressive properties of fibroblast growth factor receptor 2-IIIb in human bladder cancer. Oncogene 1999, 18, 7234–7243. [Google Scholar] [CrossRef]
- Thiery, J.P.; Sleeman, J.P. Complex networks orchestrate epithelial-mesenchymal transitions. Nat. Rev. Mol. Cell Biol. 2006, 7, 131–142. [Google Scholar] [CrossRef]
- Warzecha, C.C.; Carstens, R.P. Complex changes in alternative pre-mRNA splicing play a central role in the epithelial-to-mesenchymal transition (EMT). Semin. Cancer Biol. 2012, 22, 417–427. [Google Scholar] [CrossRef]
- Carstens, R.P.; Eaton, J.V.; Krigman, H.R.; Walther, P.J.; Garcia-Blanco, M.A. Alternative splicing of fibroblast growth factor receptor 2 (FGF-R2) in human prostate cancer. Oncogene 1997, 15, 3059–3065. [Google Scholar] [CrossRef]
- Zhao, Q.; Caballero, O.L.; Davis, I.D.; Jonasch, E.; Tamboli, P.; Yung, W.K.; Weinstein, J.N.; Strausberg, R.L.; Yao, J. Tumor-specific isoform switch of the fibroblast growth factor receptor 2 underlies the mesenchymal and malignant phenotypes of clear cell renal cell carcinomas. Clin. Cancer Res. 2013, 19, 2460–2472. [Google Scholar] [CrossRef]
- Ahn, S.; Lee, J.; Hong, M.; Kim, S.T.; Park, S.H.; Choi, M.G.; Lee, J.H.; Sohn, T.S.; Bae, J.M.; Kim, S.; et al. FGFR2 in gastric cancer: Protein overexpression predicts gene amplification and high H-index predicts poor survival. Mod. Pathol. 2016, 29, 1095–1103. [Google Scholar] [CrossRef]
- Han, N.; Kim, M.A.; Lee, H.S.; Kim, W.H. Evaluation of Fibroblast Growth Factor Receptor 2 Expression, Heterogeneity and Clinical Significance in Gastric Cancer. Pathobiology 2015, 82, 269–279. [Google Scholar] [CrossRef] [PubMed]
- Catenacci, D.V.; Tesfaye, A.; Tejani, M.; Cheung, E.; Eisenberg, P.; Scott, A.J.; Eng, C.; Hnatyszyn, J.; Marina, N.; Powers, J.; et al. Bemarituzumab with modified FOLFOX6 for advanced FGFR2-positive gastroesophageal cancer: FIGHT Phase III study design. Future Oncol. 2019, 15, 2073–2082. [Google Scholar] [CrossRef] [PubMed]
- Park, S.; Kim, J.H.; Jang, J.H. Aberrant hypermethylation of the FGFR2 gene in human gastric cancer cell lines. Biochem. Biophys Res. Commun. 2007, 357, 1011–1015. [Google Scholar] [CrossRef] [PubMed]
- Warzecha, C.C.; Shen, S.; Xing, Y.; Carstens, R.P. The epithelial splicing factors ESRP1 and ESRP2 positively and negatively regulate diverse types of alternative splicing events. RNA Biol. 2009, 6, 546–562. [Google Scholar] [CrossRef]
- Warzecha, C.C.; Jiang, P.; Amirikian, K.; Dittmar, K.A.; Lu, H.; Shen, S.; Guo, W.; Xing, Y.; Carstens, R.P. An ESRP-regulated splicing programme is abrogated during the epithelial-mesenchymal transition. EMBO J. 2010, 29, 3286–3300. [Google Scholar] [CrossRef]
- Wang, X.; Liu, Y.; Shao, D.; Qian, Z.; Dong, Z.; Sun, Y.; Xing, X.; Cheng, X.; Du, H.; Hu, Y.; et al. Recurrent amplification of MYC and TNFRSF11B in 8q24 is associated with poor survival in patients with gastric cancer. Gastric. Cancer 2016, 19, 116–127. [Google Scholar] [CrossRef]
- Hayakawa, A.; Saitoh, M.; Miyazawa, K. Dual Roles for Epithelial Splicing Regulatory Proteins 1 (ESRP1) and 2 (ESRP2) in Cancer Progression. Adv. Exp. Med. Biol. 2017, 925, 33–40. [Google Scholar]
- Ueda, J.; Matsuda, Y.; Yamahatsu, K.; Uchida, E.; Naito, Z.; Korc, M.; Ishiwata, T. Epithelial splicing regulatory protein 1 is a favorable prognostic factor in pancreatic cancer that attenuates pancreatic metastases. Oncogene 2014, 33, 4485–4495. [Google Scholar] [CrossRef]
- Yae, T.; Tsuchihashi, K.; Ishimoto, T.; Motohara, T.; Yoshikawa, M.; Yoshida, G.J.; Wada, T.; Masuko, T.; Mogushi, K.; Tanaka, H.; et al. Alternative splicing of CD44 mRNA by ESRP1 enhances lung colonization of metastatic cancer cell. Nat. Commun. 2012, 3, 883. [Google Scholar] [CrossRef]
- Esteller, M. Epigenetics in cancer. N. Engl. J. Med. 2008, 358, 1148–1159. [Google Scholar] [CrossRef]
- Deaton, A.M.; Bird, A. CpG islands and the regulation of transcription. Genes Dev. 2011, 25, 1010–1022. [Google Scholar] [CrossRef] [PubMed]
- Warzecha, C.C.; Sato, T.K.; Nabet, B.; Hogenesch, J.B.; Carstens, R.P. ESRP1 and ESRP2 are epithelial cell-type-specific regulators of FGFR2 splicing. Mol. Cell 2009, 33, 591–601. [Google Scholar] [CrossRef] [PubMed]
- Toyokawa, T.; Yashiro, M.; Hirakawa, K. Co-expression of keratinocyte growth factor and K-sam is an independent prognostic factor in gastric carcinoma. Oncol. Rep. 2009, 21, 875–880. [Google Scholar] [PubMed]
- Matsunobu, T.; Ishiwata, T.; Yoshino, M.; Watanabe, M.; Kudo, M.; Matsumoto, K.; Tokunaga, A.; Tajiri, T.; Naito, Z. Expression of keratinocyte growth factor receptor correlates with expansive growth and early stage of gastric cancer. Int. J. Oncol. 2006, 28, 307–314. [Google Scholar] [CrossRef][Green Version]
- Lei, Z.; Tan, I.B.; Das, K.; Deng, N.; Zouridis, H.; Pattison, S.; Chua, C.; Feng, Z.; Guan, Y.K.; Ooi, C.H.; et al. Identification of molecular subtypes of gastric cancer with different responses to PI3-kinase inhibitors and 5-fluorouracil. Gastroenterology 2013, 145, 554–565. [Google Scholar] [CrossRef]
- Fagoonee, S.; Bearzi, C.; Di Cunto, F.; Clohessy, J.G.; Rizzi, R.; Reschke, M.; Tolosano, E.; Provero, P.; Pandolfi, P.P.; Silengo, L.; et al. The RNA binding protein ESRP1 fine-tunes the expression of pluripotency-related factors in mouse embryonic stem cells. PLoS ONE 2013, 8, e72300. [Google Scholar] [CrossRef]
- Kwon, O.H.; Park, J.L.; Kim, M.; Kim, J.H.; Lee, H.C.; Kim, H.J.; Noh, S.M.; Song, K.S.; Yoo, H.S.; Paik, S.G.; et al. Aberrant up-regulation of LAMB3 and LAMC2 by promoter demethylation in gastric cancer. Biochem. Biophys. Res. Commun. 2011, 406, 539–545. [Google Scholar] [CrossRef]
- GDC Data Portal. Available online: https://portal.gdc.cancer.gov/ (accessed on 14 November 2019).
- Laddha, S.V.; Ganesan, S.; Chan, C.S.; White, E. Mutational landscape of the essential autophagy gene BECN1 in human cancers. Mol. Cancer Res. 2014, 12, 485–490. [Google Scholar] [CrossRef]
- Mermel, C.H.; Schumacher, S.E.; Hill, B.; Meyerson, M.L.; Beroukhim, R.; Getz, G. GISTIC2.0 facilitates sensitive and confident localization of the targets of focal somatic copy-number alteration in human cancers. Genome Biol. 2011, 12, R41. [Google Scholar] [CrossRef]
- Wang, L.; Sun, J.; Wu, H.; Liu, S.; Wang, J.; Wu, B.; Huang, S.; Li, N.; Wang, J.; Zhang, X. Systematic assessment of reduced representation bisulfite sequencing to human blood samples: A promising method for large-sample-scale epigenomic studies. J. Biotechnol. 2012, 157, 1–6. [Google Scholar] [CrossRef]
- Haeussler, M.; Zweig, A.S.; Tyner, C.; Speir, M.L.; Rosenbloom, K.R.; Raney, B.J.; Lee, C.M.; Lee, B.T.; Hinrichs, A.S.; Gonzalez, J.N.; et al. The UCSC Genome Browser database: 2019 update. Nucleic Acids Res. 2019, 47, D853–D858. [Google Scholar] [CrossRef] [PubMed]
- R: A Language and Environment for Statistical Computing; R Foundation for Statistical Computing: Vienna, Austria, 2014; Available online: http://www.R-project.org/ (accessed on 14 November 2019).
- Wickham, H. ggplot2: Elegant Graphics for Data Analysis; Springer: New York, NY, USA, 2016. [Google Scholar]





| Clinico-Pathological Factor | FGFR2 RNA Expression 1 | ESRP1 RNA Expression 1 | |||||||
|---|---|---|---|---|---|---|---|---|---|
| Upstream Exon | Specific Exon IIIB | Specific Exon IIIC | |||||||
| Above (n = 100) | Below (n = 98) | Above (n = 141) | Below (n = 57) | Above (n = 56) | Below (n = 142) | Above (n = 178) | Below (n = 20) | ||
| Gender | Female | 36 (36%) | 38 (39%) | 53 (38%) | 21 (37%) | 21 (38%) | 53 (37%) | 66 (37%) | 8 (40%) |
| Male | 64 (64%) | 60 (61%) | 88 (62%) | 36 (63%) | 35 (63%) | 89 (63%) | 112 (63%) | 12 (60%) | |
| p-value | ns | ns | ns | ns | |||||
| Age | < 65 | 44 (44%) | 42 (43%) | 62 (44%) | 24 (42%) | 30 (54%) | 56 (39%) | 71 (40%) | 12 (60%) |
| >=65 | 56 (56%) | 56 (57%) | 79 (56%) | 33 (58%) | 26 (46%) | 86 (63%) | 103 (58%) | 8 (40%) | |
| p-value | ns | ns | ns | ns | |||||
| Vital Status | Dead | 41 (41%) | 30 (31%) | 51 (36%) | 20 (35%) | 28 (50%) | 43 (30%) | 62 (35%) | 9 (45%) |
| Alive | 59 (59%) | 68 (69%) | 90 (64%) | 37 (65%) | 28 (50%) | 99 (70%) | 116 (65%) | 11 (55%) | |
| p-value | ns | ns | 1.46 × 10−2 | ns | |||||
| Lauren Class. | Diffuse | 29 (29%) | 20 (20%) | 31 (22%) | 18 (32%) | 28 (50%) | 21 (15%) | 32 (18%) | 17 (85%) |
| Intestinal | 63 (63%) | 71 (72%) | 101 (72%) | 33 (58%) | 24 (43%) | 110 (77%) | 132 (74%) | 2 (10%) | |
| Mixed | 8 (8%) | 7 (7%) | 9 (6%) | 6 (11%) | 4 (7%) | 11 (8%) | 14 (8%) | 1 (5%) | |
| p-value | ns | ns | 1.21 × 10−6 | 3.14 × 10−10 | |||||
| Stage | I/II | 46 (46%) | 49 (50%) | 67 (48%) | 28 (49%) | 29 (52%) | 66 (46%) | 88 (49%) | 7 (35%) |
| III/IV | 46 (46%) | 41 (42%) | 60 (43%) | 27 (47%) | 24 (43%) | 63 (44%) | 76 (43%) | 11 (55%) | |
| NA | 8 (8%) | 8 (8%) | 14 (10%) | 2 (4%) | 3 (5%) | 13 (9%) | 14 (8%) | 2 (10%) | |
| p-value | ns | ns | ns | ns | |||||
| Molecular Subtype | CIN | 51 (51%) | 50 (51%) | 74 (52%) | 27 (47%) | 19 (34%) | 82 (58%) | 97 (54%) | 4 (20%) |
| EBV | 7 (7%) | 10 (10%) | 12 (9%) | 5 (9%) | 2 (4%) | 15 (11%) | 17 (10%) | 0 (0%) | |
| MSI | 18 (18%) | 19 (19%) | 26 (18%) | 11 (19%) | 8 (14%) | 29 (20%) | 37 (21%) | 0 (0%) | |
| GS | 24 (24%) | 19 (19%) | 29 (21%) | 14 (25%) | 27 (48%) | 16 (11%) | 37 (21%) | 16 (80%) | |
| p-value | ns | ns | 3.54 × 10−7 | 1.07 × 10−7 | |||||
© 2019 by the authors. Licensee MDPI, Basel, Switzerland. This article is an open access article distributed under the terms and conditions of the Creative Commons Attribution (CC BY) license (http://creativecommons.org/licenses/by/4.0/).
Share and Cite
Teles, S.P.; Oliveira, P.; Ferreira, M.; Carvalho, J.; Ferreira, P.; Oliveira, C. Integrated Analysis of Structural Variation and RNA Expression of FGFR2 and Its Splicing Modulator ESRP1 Highlight the ESRP1amp-FGFR2norm-FGFR2-IIIchigh Axis in Diffuse Gastric Cancer. Cancers 2020, 12, 70. https://doi.org/10.3390/cancers12010070
Teles SP, Oliveira P, Ferreira M, Carvalho J, Ferreira P, Oliveira C. Integrated Analysis of Structural Variation and RNA Expression of FGFR2 and Its Splicing Modulator ESRP1 Highlight the ESRP1amp-FGFR2norm-FGFR2-IIIchigh Axis in Diffuse Gastric Cancer. Cancers. 2020; 12(1):70. https://doi.org/10.3390/cancers12010070
Chicago/Turabian StyleTeles, Sara Pinto, Patrícia Oliveira, Marta Ferreira, Joana Carvalho, Pedro Ferreira, and Carla Oliveira. 2020. "Integrated Analysis of Structural Variation and RNA Expression of FGFR2 and Its Splicing Modulator ESRP1 Highlight the ESRP1amp-FGFR2norm-FGFR2-IIIchigh Axis in Diffuse Gastric Cancer" Cancers 12, no. 1: 70. https://doi.org/10.3390/cancers12010070
APA StyleTeles, S. P., Oliveira, P., Ferreira, M., Carvalho, J., Ferreira, P., & Oliveira, C. (2020). Integrated Analysis of Structural Variation and RNA Expression of FGFR2 and Its Splicing Modulator ESRP1 Highlight the ESRP1amp-FGFR2norm-FGFR2-IIIchigh Axis in Diffuse Gastric Cancer. Cancers, 12(1), 70. https://doi.org/10.3390/cancers12010070

