Electron Nuclear Dynamics Simulations of Proton Cancer Therapy Reactions: Water Radiolysis and Proton- and Electron-Induced DNA Damage in Computational Prototypes
Abstract
:1. Introduction
2. Results
3. Discussion
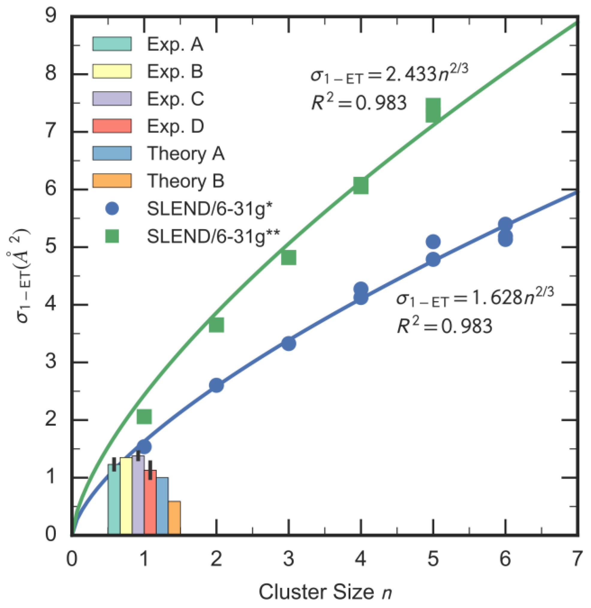
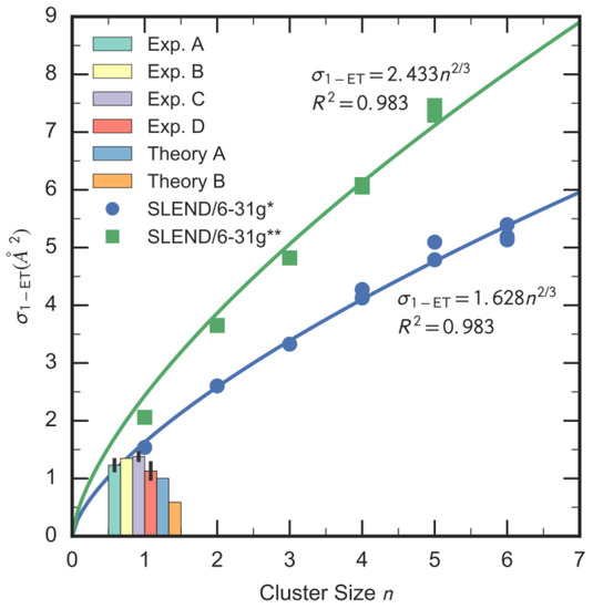
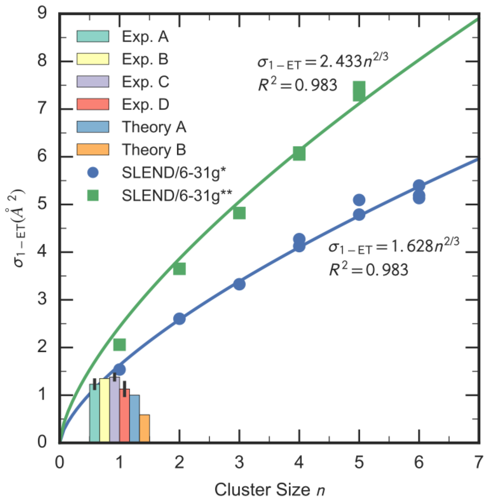
3.1. Computer Simulation of Water Radiolysis Reactions in Water Clusters Prototypes
3.2. Computer Simulations of Proton-Induced DNA Damage in Nucleotide Prototypes
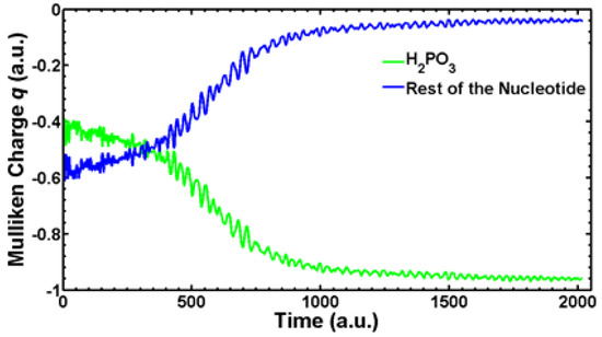
3.3. Computer Simulations of Electron-Induced DNA Damage in Nucleotide Prototypes
4. Materials and Methods
5. Conclusions
6. Recognition
Author Contributions
Acknowledgments
Conflicts of Interest
References
- Levin, W.P.; Kooy, H.; Loeffler, J.S.; DeLaney, T.F. Proton beam therapy. Br. J. Cancer 2005, 93, 849–854. [Google Scholar] [CrossRef] [PubMed]
- Jäkel, O. Medical physics aspects of particle therapy. Radiat. Prot. Dosim. 2009, 137, 156–166. [Google Scholar] [CrossRef] [PubMed]
- Solov’yov, A.V.; Surdutovich, E.; Scifoni, E.; Mishustin, I.; Greiner, W. Physics of ion beam cancer therapy: A multiscale approach. Phys. Rev. E 2009, 79. [Google Scholar] [CrossRef] [PubMed]
- Surdutovich, E.; Yakubovich, A.V.; Solov’yov, A.V. Multiscale approach to radiation damage induced by ion beams: Complex DNA damage and effects of thermal spikes. Eur. Phys. J. D 2010, 60, 101–108. [Google Scholar] [CrossRef]
- Girdhani, S.; Sachs, R.; Hltaky, L. Biological effects of proton radiation: What we know and don’t know. Radiat. Res. 2013, 179, 257–272. [Google Scholar] [CrossRef] [PubMed]
- Surdutovich, E.; Solov’yov, A.V. Multiscale approach to the physics of radiation damage with ions. Eur. Phys. J. D 2014, 68. [Google Scholar] [CrossRef]
- McLaurin, P.M.; Privett, A.; Stopera, C.; Grimes, T.V.; Perera, A.; Morales, J.A. In honor of N. Yngve Öhrn: Surveying proton cancer therapy reactions with Öhrn’s electron nuclear dynamics method. Aqueous clusters radiolysis and DNA-bases damage by proton collisions. Mol. Phys. 2015, 113, 297–313. [Google Scholar] [CrossRef]
- Chang, H.; Oehri, W.; Elsner, P.; Thiele, J.J. The role of H2O2 as a mediator of UVB-induced apoptosis in keratinocytes. Free Radical Res. 2003, 37, 655–663. [Google Scholar] [CrossRef]
- Shikazono, N.; Noguchi, M.; Fujii, K.; Urushibara, A.; Yokoya, A. The yield, processing, and biological consequences of clustered DNA damage induced by ionizing radiation. J. Radiat. Res. 2009, 50, 27–36. [Google Scholar] [CrossRef] [PubMed]
- Garcia Gomez-Tejedor, G.; Fuss, M.C. Radiation Damage in Biomolecular Systems; Springer Science+Business Media: Berlin, Germany, 2012. [Google Scholar]
- Solov’yov, A.V. Nanoscale Insights into Ion-Beam Cancer Therapy; Springer International Publishing: Cham, Switzerland, 2017. [Google Scholar]
- Friedland, W.; Jacob, P.; Bernhardt, P.; Paretzke, H.G.; Dingfelder, M. Simulation of DNA damage after proton irradiation. Radiat. Res. 2003, 159, 401–410. [Google Scholar]
- Stopera, C.; Grimes, T.V.; McLaurin, P.M.; Privett, A.; Morales, J.A. Some recent developments in the simplest-level electron nuclear dynamics method: Theory, code implementation, and applications to chemical dynamics. Adv. Quant. Chem. 2013, 66, 113–149. [Google Scholar]
- Privett, A.; Teixeira, E.S.; Stopera, C.; Morales, J.A. Exploring water radiolysis in proton cancer therapy: Time-dependent, non-adiabatic simulations of H+ + (H2O)1–6. PLoS ONE 2017, 12. [Google Scholar] [CrossRef] [PubMed]
- Watanabe, R.; Saito, K. Monte carlo simulation of strand-break induction on plasmid DNA in aqueous solution by monoenergetic electrons. Radiat. Environ. Bioph. 2002, 41, 207–215. [Google Scholar]
- Agostinelli, S.; Allison, J.; Amako, K.; Apostolakis, J.; Araujo, H.; Arce, P.; Asai, M.; Axen, D.; Banerjee, S.; Barrand, G.; et al. Geant4—A simulation toolkit. Nucl. Instrum. Method A 2003, 506, 250–303. [Google Scholar] [CrossRef]
- Pichl, L.; Kimura, M.; Li, Y.; Buenker, R.J. Branching ratios for secondary processes of water ions induced by proton beams in radiation therapy of cancer. IEEE Trans. Nucl. Sci. 2004, 51, 1407–1411. [Google Scholar] [CrossRef]
- Illescas, C.; Errea, L.F.; Mendez, L.; Pons, B.; Rabadan, I. Ion-water collisions at intermediate energies, XXVII international conference on photonic, electronic and atomic collisions (icpeac 2011). J. Phys. 2012, 388, 102007. [Google Scholar]
- Nikjoo, H.; Uehara, S.; Emfietzoglou, D.; Cucinotta, F.A. Track-structure codes in radiation research. Radiat. Meas. 2006, 41, 1052–1074. [Google Scholar] [CrossRef]
- Incerti, S.; Ivanchenko, A.; Karamitros, M.; Mantero, A.; Moretto, P.; Tran, H.N.; Mascialino, B.; Champion, C.; Ivanchenko, V.N.; Bernal, M.A.; et al. Comparison of GEANT4 very low energy cross section models with experimental data in water. Med. Phys. 2010, 37, 4692–4708. [Google Scholar] [CrossRef] [PubMed]
- Fassò, A.; Ferrari, A.; Sala, P.R. Radiation transport calculations and simulations. Radiat. Prot. Dosim. 2009, 137, 118–133. [Google Scholar] [CrossRef] [PubMed]
- Garcia-Molina, R.; Abril, I.; Denton, C.D.; Heredia-Avalos, S.; Kyriakou, I.; Emfietzoglou, D. Calculated depth-dose distributions for H+ and He+ beams in liquid water. Nucl. Instrum. Method B 2009, 267, 2647–2652. [Google Scholar] [CrossRef]
- Turner, J.E.; Hamm, R.N.; Wright, H.A.; Ritchie, R.H.; Magee, J.L.; Chatterjee, A.; Bolch, W.E. Studies to link the basic radiation physics and chemistry of liquid water. Radiat. Phys. Chem. 1988, 32, 503–510. [Google Scholar] [CrossRef]
- Champion, C.; Weck, P.F.; Lekadir, H.; Galassi, M.E.; Fojón, O.A.; Abufager, P.; Rivarola, R.D.; Hanssen, J. Proton-induced single electron capture on DNA/RNA bases. Phys. Med. Bio. 2012, 57, 3039–3049. [Google Scholar] [CrossRef] [PubMed]
- Champion, C.; Quinto, M.A.; Monti, J.M.; Galassi, M.E.; Weck, P.F.; Fojón, O.A.; Hanssen, J.; Rivarola, R.D. Water versus DNA: New insights into proton track-structure modelling in radiobiology and radiotherapy. Phys. Med. Bio. 2015, 60, 7805–7828. [Google Scholar] [CrossRef] [PubMed]
- Barrios, R.; Skurski, P.; Simmons, J. Mechanism for damage to DNA by low-energy electrons. J. Phys. Chem. B 2002, 106, 7991–7994. [Google Scholar] [CrossRef]
- Berdys, J.; Anusiewicz, I.; Skurski, P.; Simmons, J. Theoretical study of damage to DNA by 0.2–1.5 eV electrons attached to cytosine. J. Phys. Chem. A 2004, 15, 2999–3005. [Google Scholar] [CrossRef]
- Simons, J. How do low-energy (0.1–2 eV) electrons cause DNA-strand breaks? Acc. Chem. Res. 2006, 39, 772–779. [Google Scholar] [CrossRef] [PubMed]
- McAllister, M.; Smyth, M.; Gu, B.; Tribello, G.A.; Kohanoff, J. Understanding the interaction between low-energy electrons and DNA nucleotides in aqueous solution. J. Phys. Chem. Lett. 2015, 6, 3091–3097. [Google Scholar] [CrossRef] [PubMed] [Green Version]
- Privett, A.; Morales, J.A. Electron nuclear dynamics of proton collisions with DNA/RNA bases at ELab = 80 keV: A contribution to proton cancer therapy research. Chem. Phys. Lett. 2014, 603, 82–88. [Google Scholar] [CrossRef]
- Deumens, E.; Diz, A.; Longo, R.; Öhrn, Y. Time-dependent theoretical treatments of the dynamics of electrons and nuclei in molecular systems. Rev. Mod. Phys. 1994, 66, 917–983. [Google Scholar] [CrossRef]
- Hagelberg, F. Electron Dynamics in Molecular Interactions: Principles and Applications, 1st ed.; World Scientific: Singapore, 2014. [Google Scholar]
- Parr, R.G.; Yang, W. Density-Functional Theory of Atoms and Molecules; Oxford University Press: New York, NY, USA, 1989. [Google Scholar]
- Perera, S.A.; McLaurin, P.M.; Grimes, T.V.; Morales, J.A. Time-dependent density-functional theory method in the electron nuclear dynamics framework. Chem. Phys. Lett. 2010, 496, 188–195. [Google Scholar] [CrossRef]
- Szabo, A.; Ostlund, N.S. Modern Quantum Chemistry: Introduction to Advanced Electronic Structure Theory, 1st rev ed.; Dover Publications Inc: Mineola, NY, USA, 1989. [Google Scholar]
- Hedström, M.; Morales, J.A.; Deumens, E.; Öhrn, Y. Electron nuclear dynamics of H+ + H2O collisions. Chem. Phys. Lett. 1997, 279, 241–246. [Google Scholar]
- Murakami, M.; Kirchner, T.; Horbatsch, M.; Lüdde, H.J. Single and multiple electron removal processes in proton–water-molecule collisions. Phys. Rev. A 2012, 85. [Google Scholar] [CrossRef]
- Cabrera-Trujillo, R.; Sabin, J.R.; Deumens, E.; Öhrn, Y. Orientation effects in energy deposition by protons in water. Adv. Quantum Chem. 2005, 48, 47–57. [Google Scholar]
- Quinet, O.; Deumens, E.; Öhrn, Y. Proton collisions with the water dimer at keV energies. Int. J. Quantum Chem. 2009, 109, 259–265. [Google Scholar] [CrossRef]
- Oi, T. Molecular orbital estimation of reduced partition function ratios of small water clusters. J. Nucl. Sci. Technol. 2002, 39, 419–425. [Google Scholar] [CrossRef]
- Saykally, R.J.; Wales, D.J. Pinning down the water hexamer. Science 2012, 336, 814–815. [Google Scholar] [CrossRef] [PubMed]
- Jungwirth, P. How many waters are necessary to dissolve a rock salt molecule? J. Phys. Chem. A 2000, 104, 145–148. [Google Scholar] [CrossRef]
- Yoshikawa, A.; Morales, J.A. The onset of dissociation in the aqueous LiOH clusters: A solvation study with the effective fragment potential model and quantum mechanics methods. J. Mol. Struct. Theochem. 2004, 681, 27–40. [Google Scholar] [CrossRef]
- Stevens, W.J.; Basch, H.; Krauss, M. Compact effective potentials and efficient shared-exponent basis sets for the first- and second-row atoms. J. Chem. Phys. 1984, 81, 6026–6033. [Google Scholar] [CrossRef]
- Xantheas, S.S.; Dunning, T.H. Ab initio studies of cyclic water clusters (H2O)n, n=1–6. i. optimal structures and vibrational spectra. J. Chem. Phys. 1993, 99, 8774–8792. [Google Scholar] [CrossRef]
- Rudd, M.E.; Goffe, T.V.; DuBois, R.D.; Toburen, L.H. Cross sections for ionization of water vapor by 7–4000-keV protons. Phys. Rev. A 1985, 31, 492–494. [Google Scholar] [CrossRef]
- Gobet, F.; Farizon, B.; Farizon, M.; Gaillard, M.J.; Carré, M.; Lezius, M.; Scheier, P.; Märk, T.D. Total, partial, and electron-capture cross sections for ionization of water vapor by 20–150 keV protons. Phys. Rev. Lett. 2001, 86, 3751–3754. [Google Scholar] [CrossRef] [PubMed]
- Gobet, F.; Eden, S.; Coupier, B.; Tabet, J.; Farizon, B.; Farizon, M.; Gaillard, M.J.; Carré, M.; Ouaskit, S.; Märk, T.D.; et al. Ionization of water by (20–150)-keV protons: Separation of direct-ionization and electron-capture processes. Phys. Rev. A 2004, 70. [Google Scholar] [CrossRef]
- Luna, H.; de Barros, A.L.F.; Wyer, J.A.; Scully, S.W.J.; Lecointre, J.; Garcia, P.M.Y.; Sigaud, G.M.; Santos, A.C.F.; Senthil, V.; Shah, M.B.; et al. Publisher’s note: Water-molecule dissociation by proton and hydrogen impact. Phys. Rev. A 2007, 75. [Google Scholar] [CrossRef]
- Lekadir, H.; Abbas, I.; Champion, C.; Hanssen, J. Total cross sections for ionizing processes induced by proton impact on molecules of biological interest: A classical trajectory Monte Carlo approach. Nucl. Instrum. Methods Phys. Res. Sect. B 2009, 267, 1011–1014. [Google Scholar] [CrossRef]
- Tabet, J.; Eden, S.; Feil, S.; Abdoul-Carime, H.; Farizon, B.; Farizon, M.; Ouaskit, S.; Märk, T.D. Absolute total and partial cross sections for ionization of nucleobases by proton impact in the Bragg peak velocity range. Phys. Rev. A 2010, 82. [Google Scholar] [CrossRef] [Green Version]
- Fabrikant, I.I.; Eden, S.; Mason, N.J.; Fedor, J. Recent progress in dissociative electron attachement: From diatomics to biomolecules. Adv. At. Mol. Opt. Phys. 2017, 66, 545–657. [Google Scholar]
- Boudaiffa, B.; Cloutier, P.; Hunting, D.; Huels, M.A.; Sanche, L. Resonant formation of DNA strand breaks by low-energy (3 to 20 eV) electrons. Science 2000, 287, 1658–1660. [Google Scholar] [PubMed]
- Aflatooni, K.; Gallup, G.A.; Burrow, P.D. Electron attachment energies of the DNA bases. J. Phys. Chem. A 1998, 102, 1658–1662. [Google Scholar] [CrossRef]
- Ptasinska, S.; Denifl, S.; Grill, V.; Märk, T.D.; Scheier, P.; Giohlke, S.; Huels, M.A.; Illenberger, E. Bond-selecttive H- ion abstraction from thymine. Angew. Chem. Int. Ed. Engl. 2005, 44, 1647–1650. [Google Scholar] [CrossRef] [PubMed]
- Denifl, S.; Ptasinska, S.; Probst, M.; Hrusak, J.; Scheier, P.; Märk, T.D. Electron attachment on the gas-hase DNA bases cythosine and thymine. J. Phys. Chem. A 2004, 108, 6562–6569. [Google Scholar] [CrossRef]
- Abdoul-Carime, H.; Gohlke, S.; Fischbach, E.; Scheinke, J.; Illenberger, E. Thymine excision from DNA by subexcitation electrons. Chem. Phys. Phys. Chem. 2004, 387, 267–270. [Google Scholar] [CrossRef]
- Zheng, Y.; Cloutier, P.; Hunting, D.J.; Wagner, J.R.; Sanche, L. Glycosidic bond cleavage of thymidine by low-energy electrons. J. Am. Chem. Soc. 2004, 126, 1002–1003. [Google Scholar] [CrossRef] [PubMed]
- Kopyra, J. Low energy electron attachment to the nucleotide deoxycytidine monophosphate: Direct evidence for the molecular mechanisms of electron-induced DNA strand breaks. Phys. Chem. Chem. Phys. 2012, 14, 8287–8289. [Google Scholar] [CrossRef] [PubMed]
- Li, X.; Sevilla, M.D.; Sanche, L. Density fucntional theory studies of electron interaction with DNA: Can zero eV electrons induce strand breaks? J. Am. Chem. Soc. 2003, 125, 13668–13669. [Google Scholar] [CrossRef] [PubMed]
- Teixeira, E.S.; Morales, J.A. The electron nuclear dynamics method with plane-wave basis sets. J. Math. Phys. 2018. in preparation. [Google Scholar]
- König, C.; Kopyra, J.; Bald, I.; Illenberger, E. Dissociative electron attachment to phosphoric acid esters: The direct mechanism for single strand breaks in DNA. Phys. Rev. Lett. 2006, 97. [Google Scholar] [CrossRef] [PubMed]
- Thouless, D.J. Stability conditions and nuclear rotations in the Hartree-Fock theory. Nucl. Phys. 1960, 21, 225–232. [Google Scholar] [CrossRef]
- Kramer, P.; Saraceno, M. Geometry of the Time-Dependent Variational Principle in Quantum Mechanics; Springer: New York, NY, USA, 1981. [Google Scholar]
- Longo, R.; Diz, A.; Deumens, E.; Öhrn, Y. Influence of electronic nuclear coupling on dynamics. Chem. Phys. Lett. 1994, 220, 305–311. [Google Scholar] [CrossRef]
- Flocke, N.; Lotrich, V. Efficient electronic integrals and their generalized derivatives for object oriented implementations of electronic structure calculations. J. Comput. Chem. 2008, 29, 2722–2736. [Google Scholar] [CrossRef] [PubMed]
- Lotrich, V.; Flocke, N.; Ponton, M.; Yau, A.D.; Perera, A.; Deumens, E.; Bartlett, R.J. Parallel implementation of electronic structure energy, gradient, and Hessian calculations. J. Chem. Phys. 2008, 128. [Google Scholar] [CrossRef] [PubMed]
- Lüde, H.J.; Horbatsch, M.; Kirchner, T. A screened independent atom model for the description of ion collisions from atomic molecular clusters. arXiv. 2018. Available online: https://arxiv.org/abs/1804.02764 (accessed on 10 April 2018).














© 2018 by the authors. Licensee MDPI, Basel, Switzerland. This article is an open access article distributed under the terms and conditions of the Creative Commons Attribution (CC BY) license (http://creativecommons.org/licenses/by/4.0/).
Share and Cite
Teixeira, E.S.; Uppulury, K.; Privett, A.J.; Stopera, C.; McLaurin, P.M.; Morales, J.A. Electron Nuclear Dynamics Simulations of Proton Cancer Therapy Reactions: Water Radiolysis and Proton- and Electron-Induced DNA Damage in Computational Prototypes. Cancers 2018, 10, 136. https://doi.org/10.3390/cancers10050136
Teixeira ES, Uppulury K, Privett AJ, Stopera C, McLaurin PM, Morales JA. Electron Nuclear Dynamics Simulations of Proton Cancer Therapy Reactions: Water Radiolysis and Proton- and Electron-Induced DNA Damage in Computational Prototypes. Cancers. 2018; 10(5):136. https://doi.org/10.3390/cancers10050136
Chicago/Turabian StyleTeixeira, Erico S., Karthik Uppulury, Austin J. Privett, Christopher Stopera, Patrick M. McLaurin, and Jorge A. Morales. 2018. "Electron Nuclear Dynamics Simulations of Proton Cancer Therapy Reactions: Water Radiolysis and Proton- and Electron-Induced DNA Damage in Computational Prototypes" Cancers 10, no. 5: 136. https://doi.org/10.3390/cancers10050136
APA StyleTeixeira, E. S., Uppulury, K., Privett, A. J., Stopera, C., McLaurin, P. M., & Morales, J. A. (2018). Electron Nuclear Dynamics Simulations of Proton Cancer Therapy Reactions: Water Radiolysis and Proton- and Electron-Induced DNA Damage in Computational Prototypes. Cancers, 10(5), 136. https://doi.org/10.3390/cancers10050136
