High Cycle Stability of Hybridized Co(OH)2 Nanomaterial Structures Synthesized by the Water Bath Method as Anodes for Lithium-Ion Batteries
Abstract
:1. Introduction
2. Experimental Section
2.1. Materials and Methods
2.2. Structure and Morphology Characterization
2.3. Electrochemical Performance Characterization
3. Results and Discussion
3.1. Structure and Morphology
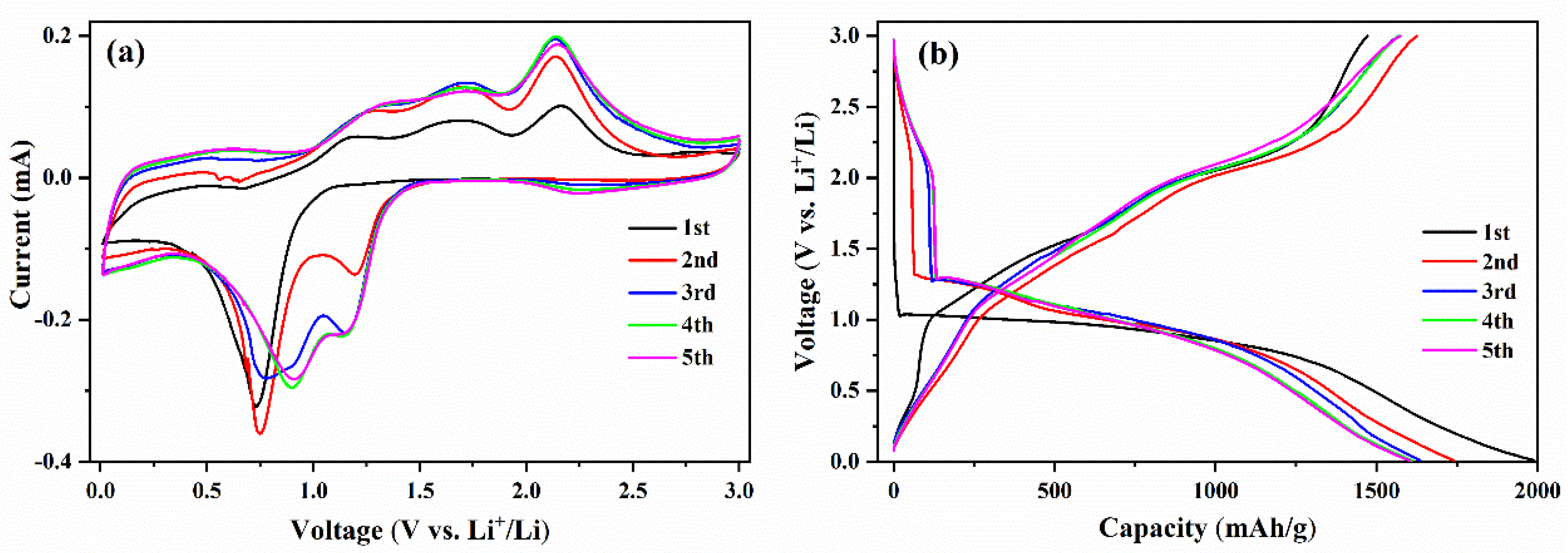
3.2. Electrochemical Performance
4. Conclusions
Author Contributions
Funding
Acknowledgments
Conflicts of Interest
References
- Zhao, Z.; Hu, Z.; Jiao, R.; Tang, Z.; Dong, P.; Li, Y.; Li, S.; Li, H. Tailoring multi-layer architectured FeS2@C hybrids for superior sodium-, potassium- and aluminum-ion storage. Energy Storage Mater. 2019, 22, 228–234. [Google Scholar] [CrossRef]
- Hu, H.; Li, Q.; Li, L.; Teng, X.; Feng, Z.; Zhang, Y.; Wu, M.; Qiu, J. Laser Irradiation of Electrode Materials for Energy Storage and Conversion. Matter 2020, 3, 95–126. [Google Scholar] [CrossRef]
- Li, Q.; Li, H.; Xia, Q.; Hu, Z.; Zhu, Y.; Yan, S.; Ge, C.; Zhang, Q.; Wang, X.; Shang, X.; et al. Extra storage capacity in transition metal oxide lithium-ion batteries revealed by in situ magnetometry. Nat. Mater. 2021, 20, 76–83. [Google Scholar] [CrossRef] [PubMed]
- Feng, X.; Li, Q.; Wang, K. Waste Plastic Triboelectric Nanogenerators Using Recycled Plastic Bags for Power Generation. ACS Appl. Mater. Interfaces 2021, 13, 400–410. [Google Scholar] [CrossRef] [PubMed]
- Kai, W.; Xiao, F.; Jinbo, P.; Jun, R.; Chongxiong, D.; Liwei, L. State of Charge (SOC) Estimation of Lithium-ion Battery Based on Adaptive Square Root Unscented Kalman Filter. Int. J. Electrochem. Sci. 2020, 15, 9499–9516. [Google Scholar] [CrossRef]
- Zhao, J.; Li, F.; Wang, Z.; Dong, P.; Xia, G.; Wang, K. Flexible PVDF nanogenerator-driven motion sensors for human body motion energy tracking and monitoring. J. Mater. Sci. Mater. Electron. 2021, 32, 14715–14727. [Google Scholar] [CrossRef]
- Bu, C.; Li, F.; Yin, K.; Pang, J.; Wang, L.; Wang, K. Research Progress and Prospect of Triboelectric Nanogenerators as Self-Powered Human Body Sensors. ACS Appl. Electron. Mater. 2020, 2, 863–878. [Google Scholar] [CrossRef]
- Zhou, Y.; Huang, Y.; Pang, J.; Wang, K. Remaining useful life prediction for supercapacitor based on long short-term memory neural network. J. Power Sources 2019, 440, 227149–227158. [Google Scholar] [CrossRef]
- Zhang, M.; Wang, K.; Zhou, Y.-T. Online State of Charge Estimation of Lithium-Ion Cells Using Particle Filter-Based Hybrid Filtering Approach. Complexity 2020, 2020, 8231243. [Google Scholar] [CrossRef]
- Wang, K.; Li, L.; Zhang, T.; Liu, Z. Nitrogen-doped graphene for supercapacitor with long-term electrochemical stability. Energy 2014, 70, 612–617. [Google Scholar] [CrossRef]
- Feng, X.; Zhang, Y.; Kang, L.; Wang, L.; Duan, C.; Yin, K.; Pang, J.; Wang, K. Integrated energy storage system based on triboelectric nanogenerator in electronic devices. Front. Chem. Sci. Eng. 2020, 15, 238–250. [Google Scholar] [CrossRef]
- Zhou, Y.; Wang, Y.; Wang, K.; Kang, L.; Peng, F.; Wang, L.; Pang, J. Hybrid genetic algorithm method for efficient and robust evaluation of remaining useful life of supercapacitors. Appl. Energy 2020, 260, 114169–114184. [Google Scholar] [CrossRef]
- Kai, W. Electrodeposition Synthesis of PANI/MnO2/Graphene Composite Materials and its Electrochemical Performance. Int. J. Electrochem. Sci. 2017, 12, 8306–8314. [Google Scholar] [CrossRef]
- Gu, Z.-Y.; Guo, J.-Z.; Zhao, X.-X.; Wang, X.-T.; Xie, D.; Sun, Z.-H.; Zhao, C.-D.; Liang, H.-J.; Li, W.-H.; Wu, X.-L. High-ionicity fluorophosphate lattice via aliovalent substitution as advanced cathode materials in sodium-ion batteries. InfoMat 2021, 3, 694–704. [Google Scholar] [CrossRef]
- Li, W.-H.; Liang, H.-J.; Hou, X.-K.; Gu, Z.-Y.; Zhao, X.-X.; Guo, J.-Z.; Yang, X.; Wu, X.-L. Feasible engineering of cathode electrolyte interphase enables the profoundly improved electrochemical properties in dual-ion battery. J. Energy Chem. 2020, 50, 416–423. [Google Scholar] [CrossRef]
- Li, S.-F.; Gu, Z.-Y.; Guo, J.-Z.; Hou, X.-K.; Yang, X.; Zhao, B.; Wu, X.-L. Enhanced electrode kinetics and electrochemical properties of low-cost NaFe2PO4(SO4)2 via Ca2+ doping as cathode material for sodium-ion batteries. J. Mater. Sci. Technol. 2021, 78, 176–182. [Google Scholar] [CrossRef]
- Wang, L.-H.; Dai, Y.-K.; Qin, Y.-F.; Chen, J.; Zhou, E.-L.; Li, Q.; Wang, K. One-Pot Synthesis and High Electrochemical Performance of CuS/Cu1.8S Nanocomposites as Anodes for Lithium-Ion Batteries. Materials 2020, 13, 3797. [Google Scholar] [CrossRef]
- Wang, L.-H.; Gao, S.; Ren, L.-L.; Zhou, E.-L.; Qin, Y.-F. The Synergetic Effect Induced High Electrochemical Performance of CuO/Cu2O/Cu Nanocomposites as Lithium-Ion Battery Anodes. Front. Chem. 2021, 9, 790659. [Google Scholar] [CrossRef]
- Wang, L.-H.; Teng, X.-L.; Qin, Y.-F.; Li, Q. High electrochemical performance and structural stability of CoO nanosheets/CoO film as self-supported anodes for lithium-ion batteries. Ceram. Int. 2021, 47, 5739–5746. [Google Scholar] [CrossRef]
- Cao, K.; Jiao, L.; Liu, Y.; Liu, H.; Wang, Y.; Yuan, H. Ultra-High Capacity Lithium-Ion Batteries with Hierarchical CoO Nanowire Clusters as Binder Free Electrodes. Adv. Funct. Mater. 2015, 25, 1082–1089. [Google Scholar] [CrossRef]
- Dai, Y.; Fang, X.; Yang, T.; Wang, W.L. Construction of the peanut-like Co3O4 as anode materials for high-performance lithium-ion batteries. Ionics 2020, 26, 1261–1265. [Google Scholar] [CrossRef]
- Zhou, C.; Liu, J.; Guo, S.; Zhang, P.; Li, S.; Yang, Y.; Wu, J.; Chen, L.; Wang, M. Nanoporous CoO Nanowire Clusters Grown on Three-Dimensional Porous Graphene Cloth as Free-Standing Anode for Lithium-Ion Batteries. ChemElectroChem 2020, 7, 1573–1580. [Google Scholar] [CrossRef]
- Liang, J.; Kong, J.; Zhang, J. Hollow Concave Zinc-Doped Co3O4 Nanosheets/Carbon Composites as Ultrahigh Capacity Anode Materials for Lithium-Ion Batteries. ChemElectroChem 2021, 8, 172–178. [Google Scholar] [CrossRef]
- Ma, K.; Liu, F.; Yuan, Y.F.; Liu, X.Q.; Wang, J.; Xie, J.; Cheng, J.P. CoO microspheres and metallic Co evolved from hexagonal alpha-Co(OH)2 plates in a hydrothermal process for lithium storage and magnetic applications. Phys. Chem. Chem. Phys. 2017, 20, 595–604. [Google Scholar] [CrossRef]
- Chen, K.; Noh, Y.D.; Patel, R.R.; Huang, W.; Ma, J.; Li, K.; Komarneni, S.; Xue, D. Microwave- or conventional–hydrothermal synthesis of Co-based materials for electrochemical energy storage. Ceram. Int. 2014, 40, 8183–8188. [Google Scholar] [CrossRef]
- Chen, G.; Fu, E.; Zhou, M.; Xu, Y.; Fei, L.; Deng, S.; Chaitanya, V.; Wang, Y.; Luo, H. A facile microwave-assisted route to Co(OH)2 and Co3O4 nanosheet for Li-ion battery. J. Alloys Compd. 2013, 578, 349–354. [Google Scholar] [CrossRef]
- Huang, X.-L.; Chai, J.; Jiang, T.; Wei, Y.-J.; Chen, G.; Liu, W.-Q.; Han, D.; Niu, L.; Wang, L.; Zhang, X.-B. Self-assembled large-area Co(OH)2 nanosheets/ionic liquid modified graphene heterostructures toward enhanced energy storage. J. Mater. Chem. 2012, 22, 3404–3410. [Google Scholar] [CrossRef]
- Li, J.-X.; Xie, Q.; Zhao, P.; Li, C. EDTA-Co(II) sodium complex derived Co(OH)2/Co3O4/Co nanoparticles embedded in nitrogen-enriched graphitic porous carbon as lithium-ion battery anode with superior cycling stability. Appl. Surf. Sci. 2020, 504, 144515. [Google Scholar] [CrossRef]
- Bai, Y.; Liu, W.; Yu, C.; Wang, T.; Feng, J.; Xiong, S. One-Pot Solvothermal Synthesis of ZnO@α-Co(OH)2 Core–Shell Hierarchical Microspheres with Superior Lithium Storage Properties. J. Phys. Chem. C 2016, 120, 2984–2992. [Google Scholar] [CrossRef]
- He, Y.-S.; Bai, D.-W.; Yang, X.; Chen, J.; Liao, X.-Z.; Ma, Z.-F. A Co(OH)2−graphene nanosheets composite as a high performance anode material for rechargeable lithium batteries. Electrochem. Commun. 2010, 12, 570–573. [Google Scholar] [CrossRef]
- Li, B.; Cao, H.; Shao, J.; Zheng, H.; Lu, Y.; Yin, J.; Qu, M. Improved performances of beta-Ni(OH)2@reduced-graphene-oxide in Ni-MH and Li-ion batteries. Chem. Commun. 2011, 47, 3159–3161. [Google Scholar] [CrossRef] [PubMed]
- Cao, W.; Wang, W. Three-dimensional flower-like α-Co(OH)2 architectures assembled by nanoplates for lithium ion batteries. Mater. Lett. 2016, 185, 495–498. [Google Scholar] [CrossRef]
- Kim, H.; Choi, W.I.; Jang, Y.; Balasubramanian, M.; Lee, W.; Park, G.O.; Park, S.B.; Yoo, J.; Hong, J.S.; Choi, Y.S.; et al. Exceptional Lithium Storage in a Co(OH)2 Anode: Hydride Formation. ACS Nano 2018, 12, 2909–2921. [Google Scholar] [CrossRef] [PubMed]
- Farghaly, F.E.; Shenouda, A.Y. Electrochemical behavior of negative electrode from Co(OH)2 and graphene for lithium batteries. J. Mater. Sci. Mater. Electron. 2021, 32, 16139–16152. [Google Scholar] [CrossRef]
- Zhang, Z.; Yin, L. Mn-doped Co2(OH)3Cl xerogels with 3D interconnected mesoporous structures as lithium ion battery anodes with improved electrochemical performance. J. Mater. Chem. A 2015, 3, 17659–17668. [Google Scholar] [CrossRef]
- Li, T.; Nie, X. One-Step Fast-Synthesized Foamlike Amorphous Co(OH)2 Flexible Film on Ti Foil by Plasma-Assisted Electrolytic Deposition as a Binder-Free Anode of a High-Capacity Lithium-Ion Battery. ACS Appl. Mater. Interfaces 2018, 10, 16943–16946. [Google Scholar] [CrossRef] [PubMed]
- Kundu, M.; Singh, G.; Svensson, A.M. Co(OH)2@MnO2 nanosheet arrays as hybrid binder-free electrodes for high-performance lithium-ion batteries and supercapacitors. New J. Chem. 2019, 43, 1257–1266. [Google Scholar] [CrossRef]
- Shi, J.; Du, N.; Zheng, W.; Li, X.; Dai, Y.; He, G. Ultrathin Ni-Co double hydroxide nanosheets with conformal graphene coating for highly active oxygen evolution reaction and lithium ion battery anode materials. Chem. Eng. J. 2017, 327, 9–17. [Google Scholar] [CrossRef]
- Sayeed, M.A.; Herd, T.; O’Mullane, A.P. Direct electrochemical formation of nanostructured amorphous Co(OH)2on gold electrodes with enhanced activity for the oxygen evolution reaction. J. Mater. Chem. A 2016, 4, 991–999. [Google Scholar] [CrossRef] [Green Version]
- Yang, J.; Liu, H.; Martens, W.N.; Frost, R.L. Synthesis and Characterization of Cobalt Hydroxide, Cobalt Oxyhydroxide, and Cobalt Oxide Nanodiscs. J. Phys. Chem. C 2010, 114, 111–119. [Google Scholar] [CrossRef]
- Deng, S.; Thomas Cherian, C.; Liu, X.L.; Tan, H.R.; Yeo, L.H.; Yu, X.; Rusydi, A.; Chowdari, B.V.; Fan, H.M.; Sow, C.H. Ultrathin hexagonal hybrid nanosheets synthesized by graphene oxide-assisted exfoliation of beta-Co(OH)2 mesocrystals. Chemistry 2014, 20, 12444–12452. [Google Scholar] [CrossRef]
- Xu, D.; Mu, C.; Xiang, J.; Wen, F.; Su, C.; Hao, C.; Hu, W.; Tang, Y.; Liu, Z. Carbon-Encapsulated Co3O4 @CoO@Co Nanocomposites for Multifunctional Applications in Enhanced Long-life Lithium Storage, Supercapacitor and Oxygen Evolution Reaction. Electrochim. Acta 2016, 220, 322–330. [Google Scholar] [CrossRef]
- Kang, Y.; Zhang, Y.H.; Shi, Q.; Shi, H.W.; Xue, D.F.; Shi, F.N. Highly efficient Co3O4/CeO2 heterostructure as anode for lithium-ion batteries. J. Colloid Interface Sci. 2021, 585, 705–715. [Google Scholar] [CrossRef] [PubMed]
- Yan, Z.; Sun, Z.; Yue, K.; Li, A.; Qian, L. CoO/ZnO nanoclusters immobilized on N-doped 3 D reduced graphene oxide for enhancing lithium storage capacity. J. Alloys Compd. 2020, 836, 155443. [Google Scholar] [CrossRef]
- Kim, B.H.; Park, Y.K.; An, K.H.; Lee, H.; Jung, S.C. Impregnation of Cobalt on Graphene Sheet Using Liquid Phase Plasma Method for Lithium-Ion Batteries Application. Sci. Adv. Mater. 2016, 8, 1769–1773. [Google Scholar] [CrossRef]
- Liu, Y.G.; Zhang, H.Z.; Jiang, N.; Zhang, W.X.; Arandiyan, H.; Wang, Z.Y.; Luo, S.H.; Fang, F.; Sun, H.Y. Porous Co3O4@CoO composite nanosheets as improved anodes for lithium-ion batteries. J. Alloys Compd. 2020, 834, 155030. [Google Scholar] [CrossRef]
- Yuan, Y.F.; Zhao, W.C.; Chen, L.; Cai, G.S.; Guo, S.Y. CoO hierarchical mesoporous nanospheres@TiO2@C for high-performance lithium-ion storage. Appl. Surf. Sci. 2021, 556, 149810. [Google Scholar] [CrossRef]
- Ma, J.; Yuan, T.; He, Y.-S.; Wang, J.; Zhang, W.; Yang, D.; Liao, X.-Z.; Ma, Z.-F. A novel graphene sheet-wrapped Co2(OH)3Cl composite as a long-life anode material for lithium ion batteries. J. Mater. Chem. A 2014, 2, 16925–16930. [Google Scholar] [CrossRef]
- Zhou, J.; Li, J.; Liu, K.; Lan, L.; Song, H.; Chen, X. Free-standing cobalt hydroxide nanoplatelet array formed by growth of preferential-orientation on graphene nanosheets as anode material for lithium-ion batteries. J. Mater. Chem. A 2014, 2, 20706–20713. [Google Scholar] [CrossRef]
- Liu, J.; Wu, J.; Zhou, C.; Zhang, P.; Guo, S.; Li, S.; Yang, Y.; Li, K.; Chen, L.; Wang, M. Single-phase ZnCo2O4 derived ZnO–CoO mesoporous microspheres encapsulated by nitrogen-doped carbon shell as anode for high-performance lithium-ion batteries. J. Alloys Compd. 2020, 825, 153951. [Google Scholar] [CrossRef]
- Tang, H.; Jiang, M.; Ren, E.; Zhang, Y.; Lai, X.; Cui, C.; Jiang, S.; Zhou, M.; Qin, Q.; Guo, R. Integrate electrical conductivity and Li+ ion mobility into hierarchical heterostructure Ti3C2@CoO/ZnO composites toward high-performance lithium ion storage. Energy 2020, 212, 118696. [Google Scholar] [CrossRef]
- Wen, J.W.; Xu, L.; Wang, J.X.; Xiong, Y.; Ma, J.J.; Jiang, C.R.; Cao, L.H.; Li, J.; Zeng, M. Lithium and potassium storage behavior comparison for porous nanoflaked Co3O4 anode in lithium-ion and potassium-ion batteries. J. Power Sources 2020, 474, 228491. [Google Scholar] [CrossRef]
- Hou, S.; Liao, M.; Guo, Y.; Liu, T.; Wang, L.; Li, J.; Mei, C.; Fu, W.; Zhao, L. SiO2 nanoparticles modulating the “flos albiziae” like CoO by the synergistic effect with enhanced lithium storage. Appl. Surf. Sci. 2020, 530, 147223. [Google Scholar] [CrossRef]








| Materials | Initial Discharge Capacity (mAh/g) | Reversible Capacity (mAh/g) | Current Density (mA/g) | References |
|---|---|---|---|---|
| Co(OH)2 | 1703.2 | 1050 (150 cycles) | 200 | This Work |
| Co(OH)2 | 1599.1 | 190.7 (20 cycles) | 100 | [25] |
| Co(OH)2 | 1232 | 614 (40 cycles) | 100 | [26] |
| GC–Co(OH)2 | 1146 | 706 (50 cycles) | 58 | [27] |
| Co(OH)2/Co3O4/Co@NGC | 1032 | 543 (300 cycles) | 100 | [28] |
| ZnO@α-Co(OH)2 | 1425 | 1127 (150 cycles) | 200 | [29] |
| Co(OH)2@GNS | 1599 | 910 (30 cycles) | 200 | [30] |
| α-Co(OH)2 | 1765 | 433 (50 cycles) | 100 | [32] |
| CS-Co(OH)2 | 1699.54 | 1036.32 (30 cycles) | 0.1C | [33] |
| 4Co(OH)2-1G | 1250 | 690 (100 cycles) | 0.1C | [34] |
| Mn–Co2(OH)3Cl | 1966 | 1377 (50 cycles) | 100 | [35] |
| Co(OH)2–rGO | 1410 | 690 (60 cycles) | 50 | [41] |
| Co(OH)2@MnO2 | 1621.33 | 700 (90 cycles) | 250 | [37] |
| NixCo2x(OH)6x@eRG | 1308 | 787 (500 cycles) | 200 | [38] |
| Co2(OH)3Cl@GS | 1600 | 753 (50 cycles) | 200 | [48] |
| Co(OH)2/GNSs | 1654 (50 mA/g) | 508 (100 cycles) | 500 | [49] |
| States | Rs (Ω) | Rcf (Ω) | Rct (Ω) | Rtotal (Ω) | |
|---|---|---|---|---|---|
| Before cycling | 3.29 | 1257 | 850.6 | 2110.89 | 9.10 × 10−16 |
| After cycling | 7.96 | 800.5 | 73.33 | 881.79 | 3.42 × 10−14 |
Publisher’s Note: MDPI stays neutral with regard to jurisdictional claims in published maps and institutional affiliations. |
© 2022 by the authors. Licensee MDPI, Basel, Switzerland. This article is an open access article distributed under the terms and conditions of the Creative Commons Attribution (CC BY) license (https://creativecommons.org/licenses/by/4.0/).
Share and Cite
Ren, L.; Wang, L.; Qin, Y.; Li, Q. High Cycle Stability of Hybridized Co(OH)2 Nanomaterial Structures Synthesized by the Water Bath Method as Anodes for Lithium-Ion Batteries. Micromachines 2022, 13, 149. https://doi.org/10.3390/mi13020149
Ren L, Wang L, Qin Y, Li Q. High Cycle Stability of Hybridized Co(OH)2 Nanomaterial Structures Synthesized by the Water Bath Method as Anodes for Lithium-Ion Batteries. Micromachines. 2022; 13(2):149. https://doi.org/10.3390/mi13020149
Chicago/Turabian StyleRen, Longlong, Linhui Wang, Yufeng Qin, and Qiang Li. 2022. "High Cycle Stability of Hybridized Co(OH)2 Nanomaterial Structures Synthesized by the Water Bath Method as Anodes for Lithium-Ion Batteries" Micromachines 13, no. 2: 149. https://doi.org/10.3390/mi13020149
APA StyleRen, L., Wang, L., Qin, Y., & Li, Q. (2022). High Cycle Stability of Hybridized Co(OH)2 Nanomaterial Structures Synthesized by the Water Bath Method as Anodes for Lithium-Ion Batteries. Micromachines, 13(2), 149. https://doi.org/10.3390/mi13020149

