3D-Printed Chips: Compatibility of Additive Manufacturing Photopolymeric Substrata with Biological Applications
Abstract
1. Introduction
2. Overview of Additive Manufacturing (AM) Fabrication Technologies
3. Photopolymerization and Stereolithographic Resins
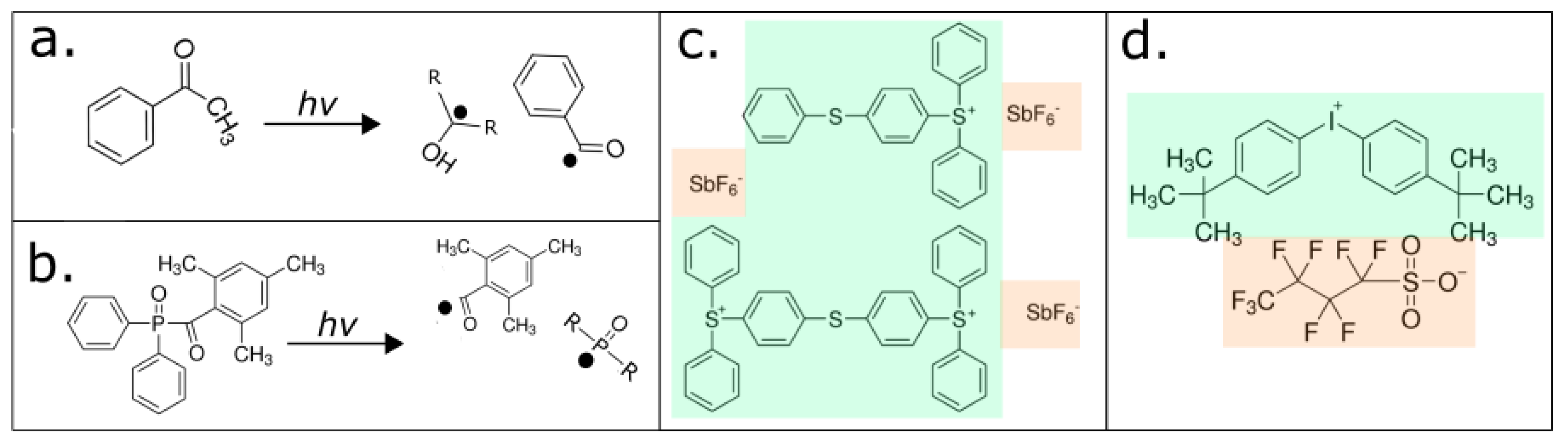
3.1. Photoinitiator Systems
3.2. Photopolymer Matrix/Systems
4. Compatibility of AM Substrata with Biological Applications
5. Methods for Mitigating Toxicity of Polymeric Resins
6. Outlook
Acknowledgments
Conflicts of Interest
Abbreviations
| MDPI | Multidisciplinary Digital Publishing Institute |
| AM | Additive manufacturing |
| 3D | Three-dimensional |
| CAD | Computer-assisted design |
| LOC | Lab-on-a-Chip |
| ABS | Acrylonitrile butadiene styrene |
| PLA | Polylactic acid |
| SLA | Stereolithography |
| MJ | Material jetting |
| DLP | Digital light processing |
| 2PP | Multiphoton polymerization |
| PI | Photoinitiator |
| UV | Ultra-violet |
| TEGDMA | Triethylene glycol dimethacrylate |
| HEMA | 2-hydroxyethyl methacrylate |
| w/w | weight-to-weight |
| GC-MS | Gas Chromatography-Mass Spectrometry |
| 1-HCHPK | 1-hydroxycyclohexyl phenyl ketone |
| LED | Light-emitting diodes |
| MPM | Medium pressure mercury |
| USP | United States Pharmacopeia |
| PDMS | Poly(dimethylsiloxane) |
| PEG-DA | Poly(ethylene glycol) diacrylate |
| OECD | Organisation for Economic Co-operation and Development |
| FET | Fish embryo toxicity |
| EC | Effective concentration |
| LC | Lethal concentration |
| LD | Lethal dose |
| TPO | Diphenyl(2,4,6-trimethylbenzoyl)phosphine oxide |
| BP-3 | Benzophenone-3 |
| BP-4 | Benzophenone-4 |
| BAPO | Bis Acyl Phosphine oxide |
| MMA | Methyl methacrylate |
| UDMA | Urethane dimethacrylate |
| ROS | Reactive oxygen species |
| MW | Molecular weight |
| IPA | Isopropyl alcohol |
References
- Ligon, S.C.; Liska, R.; Stampfl, J.; Gurr, M.; Mulhaupt, R. Polymers for 3D Printing and Customized Additive Manufacturing. Chem. Rev. 2017, 117, 10212–10290. [Google Scholar] [CrossRef] [PubMed]
- Transparency Market Research (TMR). 3D Printing Market (Use—Commercial and Personal; Technology—PolyJet, Fused Deposition Modeling (FDM), Selective Laser Sintering (SLS), and Stereolithography (SLA); By Application—Consumer Products and Electronics, Automotive, Medical, Industrial, Aerospace, Military & Defense, Architecture, and Education)—Global Industry Analysis, Size, Share, Growth, Trends and Forecast 2017–2025. Available online: https://www.transparencymarketresearch.com/3d-printing-industry.html (accessed on 23 Feburary 2018).
- Petrick, I.J.; Simpson, T.W. 3D Printing Disrupts Manufacturing: How Economies of One Create New Rules of Competition. Res. Technol. Manag. 2013, 56, 12–16. [Google Scholar] [CrossRef]
- Waheed, S.; Cabot, J.M.; Macdonald, N.P.; Lewis, T.; Guijt, R.M.; Paull, B.; Breadmore, M.C. 3D printed microfluidic devices: Enablers and barriers. Lab Chip 2016, 16, 1993–2013. [Google Scholar] [CrossRef] [PubMed]
- Campana, O.; Wlodkowic, D. The undiscovered country: Ecotoxicology meets microfluidics. Sens. Actuators B Chem. 2018, 257, 692–704. [Google Scholar] [CrossRef]
- Lee, J.Y.; An, J.; Chua, C.K. Fundamentals and applications of 3D printing for novel materials. Appl. Mater. Today 2017, 7, 120–133. [Google Scholar] [CrossRef]
- Bhushan, B.; Caspers, M. An overview of additive manufacturing (3D printing) for microfabrication. Microsyst. Technol. 2017, 23, 1117–1124. [Google Scholar] [CrossRef]
- Akagi, J.; Khoshmanesh, K.; Evans, B.; Hall, C.J.; Crosier, K.E.; Cooper, J.M.; Crosier, P.S.; Wlodkowic, D. Miniaturized embryo array for automated trapping, immobilization and microperfusion of zebrafish embryos. PLoS ONE 2012, 7, e36630. [Google Scholar] [CrossRef] [PubMed]
- Huang, Y.; Reyes Aldasoro, C.C.; Persoone, G.; Wlodkowic, D. Integrated microfluidic technology for sub-lethal and behavioral marine ecotoxicity biotests. In Proceedings of the SPIE—The International Society for Optical Engineering, Barcelona, Spain, 5–6 May 2015. [Google Scholar]
- Huang, Y.; Persoone, G.; Nugegoda, D.; Wlodkowic, D. Enabling sub-lethal behavioral ecotoxicity biotests using microfluidic Lab-on-a-Chip technology. Sens. Actuators B Chem. 2016, 226, 289–298. [Google Scholar] [CrossRef]
- Lee, W.; Kwon, D.; Choi, W.; Jung, G.Y.; Au, A.K.; Folch, A.; Jeon, S. 3D-Printed Microfluidic Device for the Detection of Pathogenic Bacteria Using Size-based Separation in Helical Channel with Trapezoid Cross-Section. Sci. Rep. 2015, 5, 1–7. [Google Scholar] [CrossRef] [PubMed]
- Zhu, F.; Skommer, J.; Macdonald, N.P.; Friedrich, T.; Kaslin, J.; Wlodkowic, D. Three-dimensional printed millifluidic devices for zebrafish embryo tests. Biomicrofluidics 2015, 9. [Google Scholar] [CrossRef] [PubMed]
- Macdonald, N.P.; Zhu, F.; Hall, C.J.; Reboud, J.; Crosier, P.S.; Patton, E.E.; Wlodkowic, D.; Cooper, J.M. Lab on a Chip Assessment of biocompatibility of 3D printed photopolymers using zebrafish embryo toxicity. Lab Chip 2016, 16, 291–297. [Google Scholar] [CrossRef] [PubMed]
- Fuad, N.M.; Kaslin, J.; Wlodkowic, D. Lab-on-a-Chip imaging micro-echocardiography (iμEC) for rapid assessment of cardiovascular activity in zebrafish larvae. Sens. Actuators B Chem. 2018, 256, 1131–1141. [Google Scholar] [CrossRef]
- Wlodkowic, D.; Khoshmanesh, K.; Akagi, J.; Williams, D.E.; Cooper, J.M. Wormometry-on-a-chip: Innovative technologies for in situ analysis of small multicellular organisms. Cytom. Part A 2011, 79A, 799–813. [Google Scholar] [CrossRef] [PubMed]
- Alifui-Segbaya, F.; Varma, S.; Lieschke, G.J.; George, R. Biocompatibility of Photopolymers in 3D Printing. 3D Print. Addit. Manuf. 2017, 4, 185–191. [Google Scholar] [CrossRef]
- Oskui, S.M.; Diamante, G.; Liao, C.; Shi, W.; Gan, J.; Schlenk, D.; Grover, W.H. Assessing and Reducing the Toxicity of 3D-Printed Parts. Environ. Sci. Technol. Lett. 2016, 3, 1–6. [Google Scholar] [CrossRef]
- Zhu, F.; Friedrich, T.; Nugegoda, D.; Kaslin, J. Assessment of the biocompatibility of three-dimensional-printed polymers using multispecies toxicity tests. Biomicrofluidics 2015, 9. [Google Scholar] [CrossRef] [PubMed]
- Zhu, F.; Skommer, J.; Friedrich, T.; Kaslin, J.; Wlodkowic, D. 3D printed polymers toxicity profiling: A caution for biodevice applications. Proc. SPIE 2015, 9668. [Google Scholar] [CrossRef]
- Columbus, L. The State of 3D Printing. 2017. [Google Scholar]
- Fourkas, J.T. Fundamentals of Two-Photon Fabrication. In Three-Dimensional Microfabrication Using Two-Photon Polymerization; William Andrew: Norwich, NY, USA, 2016; Chapter 1.3; pp. 45–61. [Google Scholar]
- Obata, K.; El-Tamer, A.; Koch, L.; Hinze, U.; Chichkov, B.N. High-aspect 3D two-photon polymerization structuring with widened objective working range (WOW-2PP). Light Sci. Appl. 2013, 2, 8–11. [Google Scholar] [CrossRef]
- Horváth, B.; Ormos, P. Nearly Aberration-Free Multiphoton Polymerization into Thick Photoresist Layers. Micromachines 2017, 8, 219. [Google Scholar] [CrossRef]
- Sochol, R.D.; Sweet, E.; Glick, C.C.; Venkatesh, S.; Avetisyan, A.; Ekman, K.F.; Raulinaitis, A.; Tsai, A.; Wienkers, A.; Korner, K.; et al. 3D printed microfluidic circuitry via multijet-based additive manufacturing. Lab Chip 2016, 16, 668–678. [Google Scholar] [CrossRef] [PubMed]
- Yazdi, A.A.; Popma, A.; Wong, W.; Nguyen, T.; Pan, Y.; Xu, J. 3D printing: An emerging tool for novel microfluidics and lab-on-a-chip applications. Microfluid. Nanofluid. 2016, 20, 1–18. [Google Scholar] [CrossRef]
- Au, A.K.; Lee, W.; Folch, A. Mail-Order Microfluidics: Evaluation of Stereolithography for the Production of Microfluidic Devices. Lab Chip 2014, 14, 1294–1301. [Google Scholar] [CrossRef] [PubMed]
- Comina, G.; Suska, A.; Filippini, D. 3D printed unibody lab-on-a-chip: Features survey and check-valves integration. Micromachines 2015, 6, 437–451. [Google Scholar] [CrossRef]
- Suzuki, H.; Mitsuno, K.; Shiroguchi, K.; Tsugane, M.; Okano, T.; Dohi, T.; Tsuji, T. One-step micromolding of complex 3D microchambers for single-cell analysis. Lab Chip 2017, 17, 647–652. [Google Scholar] [CrossRef] [PubMed]
- Comina, G.; Suska, A.; Filippini, D. PDMS lab-on-a-chip fabrication using 3D printed templates. Lab Chip 2014, arXiv:cs/960510314, 424–430. [Google Scholar] [CrossRef] [PubMed]
- Schmalz, G.; Arenholt-Bindslev, D. Biocompatibility of Dental Materials; Springer: Berlin/Heidelberg, Germany, 2009; pp. 1–379. [Google Scholar]
- Melchels, F.P.W.; Feijen, J.; Grijpma, D.W. Biomaterials A review on stereolithography and its applications in biomedical engineering. Biomaterials 2010, 31, 6121–6130. [Google Scholar] [CrossRef] [PubMed]
- Nanoscribe GmbH. Nanoscribe; Nanoscribe GmbH.: Eggenstein-Leopoldshafen, Germany.
- Gittard, S.D.; Ovsianikov, A.; Chichkov, B.N.; Doraiswamy, A.; Narayan, R.J. Two Photon Polymerization of Microneedles for Transdermal Drug Delivery. Expert Opin. Drug Deliv. 2010, 7, 513–533. [Google Scholar] [CrossRef] [PubMed]
- Accoto, C.; Qualtieri, A.; Pisanello, F.; Ricciardi, C.; Pirri, C.F.; Vittorio, M.D.; Rizzi, F. Two-Photon Polymerization Lithography and Laser Doppler Vibrometry of a SU-8-Based Suspended Microchannel Resonator. J. Microelectromech. Syst. 2015, 24, 1038–1042. [Google Scholar] [CrossRef]
- Li, Y.; Fang, Y.; Wang, J.; Wang, L.; Tang, S.; Jiang, C.; Zheng, L.; Mei, Y. Integrative optofluidic microcavity with tubular channels and coupled waveguides via two-photon polymerization. Lab Chip 2016, 16, 4406–4414. [Google Scholar] [CrossRef] [PubMed]
- Fouassier, J.P.; Lalevée, J. Photochemical Production of Interpenetrating Polymer Networks; Simultaneous Initiation of Radical and Cationic Polymerization Reactions. Polymers 2014, 6, 2588–2610. [Google Scholar] [CrossRef]
- Ophardt, C.; Reusch, W. Organic Chemistry. 2015. Available online: https://chem.libretexts.org/Core/Organic_Chemistry (accessed on 23 Feburary 2018).
- Bail, R.; Patel, A.; Yang, H.; Rogers, C.M.; Rose, F.R.A.J.; Segal, J.I.; Ratchev, S.M. The effect of a type I photoinitiator on cure kinetics and cell toxicity in projection-microstereolithography. Procedia-Soc. Behav. Sci. 2013, 5, 222–225. [Google Scholar] [CrossRef]
- Gotro, J. Cationic Photopolymerization. 2016. Available online: https://polymerinnovationblog.com/uv-curing-part-five-cationic-photopolymerization/ (accessed on 23 Feburary 2018).
- Sangermano, M. Advances in cationic photopolymerization. Pure Appl. Chem. 2012, 84, 2065–2133. [Google Scholar] [CrossRef]
- Crivello, J.V. The discovery and development of onium salt cationic photoinitiators. J. Polym. Sci. Part A Polym. Chem. 1999, 37, 4241–4254. [Google Scholar] [CrossRef]
- Subramanian, M.N. Basics of Polymer Chemistry; River Publishers: London, UK, 2017. [Google Scholar]
- Wang, X.; Jiang, M.; Zhou, Z.; Gou, J.; Hui, D. 3D printing of polymer matrix composites: A review and prospective. Compos. Part B Eng. 2017, 110, 442–458. [Google Scholar] [CrossRef]
- Lago, M.A.; de Quirós, A.R.-B.; Sendón, R.; Nieto, M.T.; Paseiro, P.; Lago, M.A. Food Additives & Contaminants: Part A Photoinitiators: A food safety review. Food Addit. Contam. Part A 2015, 32, 779–798. [Google Scholar]
- Nowak, D.; Ortyl, J.; Kamińska-Borek, I.; Kukuła, K.; Topa, M.; Popielarz, R. Photopolymerization of hybrid monomers: Part I: Comparison of the performance of selected photoinitiators in cationic and free-radical polymerization of hybrid monomers. Polym. Test. 2017, 64, 313–320. [Google Scholar] [CrossRef]
- Czech, Z.; Klementowska, P.; Drzycimska, A. Choosing the right initiator. Eur. Coat. J. 2007, 2, 26. [Google Scholar]
- Clear Photoreactive Resin for Formlabs 3D Printers. Available online: https://formlabs.com/media/upload/Clear__Resin_SDS_EU.pdf (accessed on 21 February 2018).
- Sigma-Aldrich. SAFETY DATA SHEET: Diphenyl(2,4,6-trimethylbenzoyl)phosphine Oxide, version 5.4; Sigma-Aldrich: St. Louis, MO, USA, 2016. [Google Scholar]
- Dental LT Clear. Available online: https://formlabs.com/media/upload/DentalLTClear-SDS-EN.pdf (accessed on 21 February 2018).
- SAFETY DATA SHEET: NextDent Ortho IBT, ID:M-NOIBT-2015-01-UK. Available online: https://nextdent.com/wp-content/uploads/2016/02/UK_SDS-NextDent-Ortho-IBT-V01-2015.pdf (accessed on 21 February 2018).
- SIGMA-ALDRICH. SAFETY DATA SHEET: 4-Hydroxyacetophenone, version 3.5; Sigma-Aldrich: St. Louis, MO, USA, 2016. [Google Scholar]
- Anadón, A.; Bell, D.; Binderup, M.L.; Bursch, W.; Castle, L.; Crebelli, R.; Engel, K.H.; Franz, R.; Gontard, N.; Haertlé, T.; et al. Toxicological Evalatuion of Benzophenone. Eur. Food Saf. Auth. 2009, 2009. [Google Scholar] [CrossRef]
- SIGMA-ALDRICH. SAFETY DATA SHEET: Benzophenone, version 3.12; Sigma-Aldrich: St. Louis, MO, USA, 2017. [Google Scholar]
- SIGMA-ALDRICH. SAFETY DATA SHEET: 1-Hydroxycyclohexyl Phenyl Ketone, version 5.2; Sigma-Aldrich: St. Louis, MO, USA, 2014. [Google Scholar]
- 3D Systems Inc. Safety Data Sheet: VisiJet SL Clear, ID: 24672-S12-04-A; 3D Systems Inc.: Rock Hill, SC, USA, 2016. [Google Scholar]
- Du, Y.; Wang, W.Q.; Pei, Z.T.; Ahmad, F.; Xu, R.R. Acute Toxicity and Ecological Risk Assessment of in Ultraviolet (UV)-Filters. Int. J. Environ. Res. Public Health 2017, 14, 414. [Google Scholar] [CrossRef] [PubMed]
- Zhang, J.; Xiao, P.; Dietlin, C.; Campolo, D.; Dumur, F.; Gigmes, D.; Morlet-savary, F.; Fouassier, J.P.; Lalevée, J. Cationic Photoinitiators for Near UV and Visible LEDs: A Particular Insight into One-Component Systems. Macromol. Chem. Phys. 2016, 217, 1214–1227. [Google Scholar] [CrossRef]
- Maurya, S.D.; Kurmvanshi, S.K.; Mohanty, S.; Nayak, S.K. A Review on Acrylate-Terminated Urethane Oligomers and Polymers: Synthesis and Applications. Polym.-Plast. Technol. Eng. 2017, 57, 625–656. [Google Scholar] [CrossRef]
- Gittard, S.D.; Narayan, R.J. Laser direct writing of micro- and nano-scale medical devices. Expert Rev. Med. Dev. 2010, 7, 343–356. [Google Scholar] [CrossRef] [PubMed]
- Ovsianikov, A.; Chichkov, B.; Mente, P.; Monteiro-Riviere, N.A.; Doraiswamy, A.; Narayan, R.J. Two photon polymerization of polymer-ceramic hybrid materials for transdermal drug delivery. Int. J. Appl. Ceram. Technol. 2007, 4, 22–29. [Google Scholar] [CrossRef]
- Haas, K.H.; Wolter, H. Synthesis, properties and applications of inorganic-organic copolymers (ORMOCER®s). Curr. Opin. Solid State Mater. Sci. 1999, 4, 571–580. [Google Scholar] [CrossRef]
- Comparative evaluation of residual monomer content and polymerization shrinkage of a packable composite and an ormocer. J. Conserv. Dent. 2012, 15, 161. [CrossRef]
- Webster, R.; Elliott, V.; Park, B.K.; Walker, D.; Hankin, M.; Taupin, P. PEG and PEG conjugates toxicity: Towards an understanding of the toxicity of PEG and its relevance to PEGylated biologicals. In PEGylated Protein Drugs: Basic Science and Clinical Applications; Veronese, F.M., Ed.; Birkhäuser: Basel, Switzerland, 2009; pp. 127–146. [Google Scholar]
- McAvoy, K.; Jones, D.; Thakur, R. Synthesis and Characterisation of Photocrosslinked poly(ethylene glycol) diacrylate Implants for Sustained Ocular Drug Delivery. Pharm. Res. 2018, 35. [Google Scholar] [CrossRef] [PubMed]
- Hahn, M.S.; Taite, L.J.; Moon, J.J.; Rowland, M.C.; Ruffino, K.A.; West, J.L. Photolithographic patterning of polyethylene glycol hydrogels. Biomaterials 2006, 27, 2519–2524. [Google Scholar] [CrossRef] [PubMed]
- Urrios, A.; Parra-Cabrera, C.; Bhattacharjee, N.; Gonzalez-Suarez, A.M.; Rigat-Brugarolas, L.G.; Nallapatti, U.; Samitier, J.; DeForest, C.A.; Posas, F.; Garcia-Cordero, J.L.; et al. 3D-printing of transparent bio-microfluidic devices in PEG-DA. Lab Chip 2016, 16, 2287–2294. [Google Scholar] [CrossRef] [PubMed]
- Traore, M.A.; Behkam, B. A PEG-DA microfluidic device for chemotaxis studies. J. Micromech. Microeng. 2013, 23. [Google Scholar] [CrossRef]
- Femmer, T.; Kuehne, A.J.C.; Wessling, M. Print your own membrane: Direct rapid prototyping of polydimethylsiloxane. Lab Chip 2014, 14, 2610. [Google Scholar] [CrossRef] [PubMed]
- He, Y.; Qiu, J.; Fu, J.; Zhang, J.; Ren, Y.; Liu, A. Printing 3D microfluidic chips with a 3D sugar printer. Microfluid. Nanofluid. 2015, 19, 447–456. [Google Scholar] [CrossRef]
- Safety Data Sheet: E-shell 600 Clear. Available online: https://envisiontec.com/wp-content/uploads/2016/09/MSDS-EShell-600.pdf (accessed on 21 February 2018).
- Autodesk-Inc. SAFETY DATA SHEET: Autodesk Resin: PR57-K-v.2 Black; Autodesk-Inc.: San Rafael, CA, USA, 2016. [Google Scholar]
- Dormer, W.; Gomes, R.; Meek, M. Concise International Chemical Assessment Document: Methyl methacrylate; Technical Report; World Health Organization: Geneva, Switzerland, 1998. [Google Scholar]
- BASF CORPORATION. Safety Data Sheet: METHYL ACRYLATE, version 3; BASF CORPORATION: Ludwigshafen, Germany, 2016. [Google Scholar]
- SIGMA-ALDRICH. SAFETY DATA SHEET: Methyl Methacrylate, version 5.4; Sigma-Aldrich: St. Louis, MO, USA, 2015. [Google Scholar]
- SIGMA-ALDRICH. SAFETY DATA SHEET: Methyl Acrylate, version 3.9; Sigma-Aldrich: St. Louis, MO, USA, 2015. [Google Scholar]
- Allnex-USA. SAFETY DATA SHEET: Tripropyleneglycol Diacrylate, version 0021157; Allnex-USA: Alpharetta, GA, USA, 2016. [Google Scholar]
- SIGMA-ALDRICH. Safety Data Sheet: 2-Hydroxyethyl Methacrylate, version 4.9; Sigma-Aldrich: St. Louis, MO, USA, 2015. [Google Scholar]
- Safety Data Sheet: Accura 40. Available online: http://infocenter.3dsystems.com/materials/sites/default/files/sds-files/production/sla/Accura_40/24022-s12-02-asds_ghsenglishaccura_40.pdf (accessed on 21 February 2018).
- PAGEL Spezial-Beton GmbH & Co. KG. Safety Data Sheet: EH130 A, version 2.21; PAGEL Spezial-Beton GmbH & Co. KG: Essen, Germany, 2016. [Google Scholar]
- Autodesk-Inc. SAFETY DATA SHEET: Autodesk PR57 CMYKW Resins; Autodesk-Inc.: San Rafael, CA, USA, 2016. [Google Scholar]
- SIGMA-ALDRICH. SAFETY DATA SHEET: Methacrylic Acid, version 4.7; Sigma-Aldrich: St. Louis, MO, USA, 2014. [Google Scholar]
- Liu, H.; He, C. Additive use in Photopolymer Resin for 3D Printing to Enhance the Appearance of Printed Parts. U.S. Patent US9574039B1, 21 February 2017. [Google Scholar]
- Sun, B.J.; Kennedy, C.R.; Sundar, V.; Lichkus, A.M. Three-Dimensional Fabricating Material Systems for Producing Dental Products. U.S. Patent US20140131908A1, 15 May 2014. [Google Scholar]
- Murphy, E.J.; Ansel, R.E.; Krajewski, J.J. Method of forming a three-dimensional object by stereolithography and composition therefore. U.S. Patent US4942001A, 17 July 1990. [Google Scholar]
- Ramos, M.J.; Harrison, J.P.; Coats, A.L.; Hay, J.S.; Harrison, J.P.; Hay, J.S.; Ramos, M.J. Stereolithography Resins and Methods. U.S. Patent US7211368B2, 1 May 2007. [Google Scholar]
- Steinkraus, W.J.; Woods, J.; Rooney, J.M.; Jacobine, A.F.; Glaser, D.M. Thiolene Compositions on Based Bicyclic ’Ene Compounds. U.S. Patent US4808638A, 28 February 1989. [Google Scholar]
- Sun, F. Methods for Making Dental Restorations Using Two-Phase Light Curing Materials. U.S. Patent US7939575B2, 10 May 2011. [Google Scholar]
- Vanmaele, L.; Daems, E.; De Voeght, F.; Van Thillo, E. 3D-Inkjet Printing Methods. U.S. Patent US8142860B2, 27 March 2012. [Google Scholar]
- EnvisionTEC. Safety Data Sheet: Photopolymer ABS Tough Series (Includes ABS Tough, ABS Tough M, ABS 3SP Tough); EnvisionTEC: Gladbeck, Germany, 2015. [Google Scholar]
- Short, D.B.; Volk, D.; Badger, P.D.; Melzer, J.; Salerno, P.; Sirinterlikci, A. 3D Printing (Rapid Prototyping) Photopolymers: An Emerging Source of Antimony to the Environment. 3D Print. Addit. Manuf. 2014, 1, 24–33. [Google Scholar] [CrossRef]
- Geurtsen, W. Biocompatibility of resin-modified filling materials. Crit. Rev. Oral Biol. Med. 2000, 11, 333–355. [Google Scholar] [CrossRef] [PubMed]
- Azimi, P.; Zhao, D.; Pouzet, C.; Crain, N.E.; Stephens, B. Emissions of Ultrafine Particles and Volatile Organic Compounds from Commercially Available Desktop Three-Dimensional Printers with Multiple Filaments. Environ. Sci. Technol. 2016, 50, 1260–1268. [Google Scholar] [CrossRef] [PubMed]
- Zhu, F.; Macdonald, N.P.; Cooper, J.M.; Wlodkowic, D. Additive manufacturing of lab-on-a-chip devices: Promises and challenges. SPIE—Int. Soc. Opt. Eng. 2013, 8923. [Google Scholar] [CrossRef]
- Yang, Y.; He, X.; Shi, J.; Hickel, R.; Reichl, F.X.; Högg, C. Effects of antioxidants on DNA double-strand breaks in human gingival fibroblasts exposed to dental resin co-monomer epoxy metabolites. Dent. Mater. 2017, 33, 418–426. [Google Scholar] [CrossRef] [PubMed]
- De Souza Costa, C.A.; Do Nascimento, A.B.L.; Teixeira, H.M. Response of human pulps following acid conditioning and application of a bonding agent in deep cavities. Dent. Mater. 2002, 18, 543–551. [Google Scholar] [CrossRef]
- SIGMA-ALDRICH. SAFETY DATA SHEET: Butylated Hydroxytoluene, version 5.2; Sigma-Aldrich: St. Louis, MO, USA, 2014. [Google Scholar]
- SIGMA-ALDRICH. SAFETY DATA SHEET: 1-Bis(2,2,6,6-tetramethyl-4-piperidyl) Sebacate, version 4.4; Sigma-Aldrich: St. Louis, MO, USA, 2015. [Google Scholar]
- SIGMA-ALDRICH. SAFETY DATA SHEET: Hydroquinone, version 4.2; Sigma-Aldrich: St. Louis, MO, USA, 2017. [Google Scholar]
- Cebe, M.A.; Cebe, F.; Cengiz, M.F.; Cetin, A.R.; Arpag, O.F.; Ozturk, B. Elution of monomer from different bulk fill dental composite resins. Dent. Mater. 2015, 31, e141–e149. [Google Scholar] [CrossRef] [PubMed]
- Yamaji, K.; Kawasaki, Y.; Yoshitome, K.; Matsunaga, H.; Sendo, T. Quantitation and Human Monocyte Cytotoxicity of the Polymerization Agent 1-Hydroxycyclohexyl Phenyl Ketone (Irgacure 184) from Three Brands of Aqueous Injection Solution. Biol. Pharm. Bull. 2012, 35, 1821–1825. [Google Scholar] [CrossRef] [PubMed][Green Version]
- Ferracane, J.L.; Condon, J.R. Post-cure heat treatments for composites: Properties and fractography. Dent. Mater. 1992, 8, 290–295. [Google Scholar] [CrossRef]
- Ogunyinka, A.; Palin, W.M.; Shortall, A.C.; Marquis, P.M. Photoinitiation chemistry affects light transmission and degree of conversion of curing experimental dental resin composites. Dent. Mater. 2007, 23, 807–813. [Google Scholar] [CrossRef] [PubMed]
- Aparicio, J.L.; Elizalde, M. Migration of photoinitiators in food packaging: A review. Packag. Technol. Sci. 2015, 28, 181–203. [Google Scholar] [CrossRef]
- Schmalz, G.; Galler, K.M. Biocompatibility of biomaterials – Lessons learned and considerations for the design of novel materials. Dent. Mater. 2017, 33, 382–393. [Google Scholar] [CrossRef] [PubMed]
- Anderson, W.A.; Castle, L. Benzophenone in cartonboard packaging materials and the factors that influence its migration into food. Food Addit. Contam. 2003, 20, 607–618. [Google Scholar] [CrossRef] [PubMed]
- Nguyen, A.K.; Gittard, S.D.; Koroleva, A.; Schlie, S.; Gaidukeviciute, A.; Chichkov, B.N.; Narayan, R.J. Two-photon polymerization of polyethylene glycol diacrylate scaffolds with riboflavin and triethanolamine used as a water-soluble photoinitiator. Regen. Med. 2013, 8, 725–738. [Google Scholar] [CrossRef] [PubMed]
- Stohs, S.J. The role of free radicals in toxicity and disease. J. Basic Clin. Physiol. Pharmacol. 1995, 6, 205–228. [Google Scholar] [CrossRef] [PubMed]
- Finkel, T.; Holbrook, N.J. Oxidants, oxidative stress and the biology of ageing. Nature 2000, 408, 239–247. [Google Scholar] [CrossRef] [PubMed]
- Schweikl, H.; Petzel, C.; Bolay, C.; Hiller, K.A.; Buchalla, W.; Krifka, S. 2-Hydroxyethyl methacrylate-induced apoptosis through the ATM- and p53-dependent intrinsic mitochondrial pathway. Biomaterials 2014, 35, 2890–2904. [Google Scholar] [CrossRef] [PubMed]
- Atsumi, T.; Murata, J.; Kamiyanagi, I.; Fujisawa, S.; Ueha, T. Cytotoxicity of photosensitizers camphorquinone and 9-fluorenone with visible light irradiation on a human submandibular-duct cell line in vitro. Arch. Oral Biol. 1998, 43, 73–81. [Google Scholar] [CrossRef]
- Geurtsen, W. Substances released from dental resin composites and glass ionomer cements. Eur. J. Oral Sci. 1998, 106, 687–695. [Google Scholar] [CrossRef] [PubMed]
- Scholz, S.; Fischer, S.; Gündel, U.; Küster, E.; Luckenbach, T.; Voelker, D. The zebrafish embryo model in environmental risk assessment—Applications beyond acute toxicity testing. Environ. Sci. Pollut. Res. 2008, 15, 394–404. [Google Scholar] [CrossRef] [PubMed]
- 3D Systems Inc. VisiJet SL Clear cleaning procedure for USP Class VI; Library Technology Reports; 3D Systems Inc.: Rock Hill, SC, USA, 2013; pp. 1–2. [Google Scholar]
- Hinton, T.J.; Hudson, A.; Pusch, K.; Lee, A.; Feinberg, A.W. 3D Printing PDMS Elastomer in a Hydrophilic Support Bath via Freeform Reversible Embedding. ACS Biomater. Sci. Eng. 2016, 2, 1781–1786. [Google Scholar] [CrossRef] [PubMed]
- Gross, B.C.; Anderson, K.B.; Meisel, J.E.; McNitt, M.I.; Spence, D.M. Polymer Coatings in 3D-Printed Fluidic Device Channels for Improved Cellular Adherence Prior to Electrical Lysis Bethany. Anal. Chem. 2015, 87, 6335–6341. [Google Scholar] [CrossRef] [PubMed]
- Abedin, F.; Ye, Q.; Camarda, K.; Spencer, P. Impact of light intensity on the polymerization kinetics and network structure of model hydrophobic and hydrophilic methacrylate based dental adhesive resin. J. Biomed. Mater. Res. B Appl. Biomater. 2016, 104, 139–148. [Google Scholar] [CrossRef] [PubMed]
- Emami, N.; Söderholm, K.J.M.; Berglund, L.A. Effect of light power density variations on bulk curing properties of dental composites. J. Dent. 2003, 31, 189–196. [Google Scholar] [CrossRef]
- van den Driesche, S.; Lucklum, F.; Bunge, F.; Vellekoop, M. 3D Printing Solutions for Microfluidic Chip-To-World Connections. Micromachines 2018, 9, 71. [Google Scholar] [CrossRef]
- Popov, V.K.; Evseev, A.V. Laser stereolithography and supercritical fluid processing for custom-designed implant fabrication. J. Mater. Sci. Mater. Med. 2004, 15, 123–128. [Google Scholar] [CrossRef] [PubMed]
- Han, Y.; Wang, F.; Lim, C.; Chi, H.; Chen, D.; Wan, F. High-Performance Nano-Photoinitiators with Improved Safety for 3D Printing. Appl. Mater. Interfaces 2017, 9, 32418–32423. [Google Scholar] [CrossRef] [PubMed]
- Versace, D.L.; Soppera, O.; Lalevée, J.; Croutxé-Barghorn, C. Influence of zirconium propoxide on the radical induced photopolymerisation of hybrid sol–gel materials. New J. Chem. 2008, 32, 2270–2278. [Google Scholar] [CrossRef]
- Lee, D.S.; Kim, S.J.; Sohn, J.H.; Kim, I.G.; Kim, S.W.; Sohn, D.W.; Kim, J.H.; Choi, B. Biocompatibility of a PDMS-coated micro-device: Bladder volume monitoring sensor. Chin. J. Polym. Sci. (Engl. Ed.) 2012, 30, 242–249. [Google Scholar] [CrossRef]
- Peterson, S.L.; McDonald, A.; Gourley, P.L.; Sasaki, D.Y. Poly(dimethylsiloxane) thin films as biocompatible coatings for microfluidic devices: Cell culture and flow studies with glial cells. J. Biomed. Mater. Res—Part A 2005, 72, 10–18. [Google Scholar] [CrossRef] [PubMed]
- xia Zheng, G.; jie Li, Y.; lin Qi, L.; ming Liu, X.; Wang, H.; ping Yu, S.; hua Wang, Y. Marine phytoplankton motility sensor integrated into a microfluidic chip for high-throughput pollutant toxicity assessment. Mar. Pollut. Bull. 2014, 84, 147–154. [Google Scholar] [CrossRef] [PubMed]
- Kellens, K.; Baumers, M.; Gutowski, T.G.; Flanagan, W.; Lifset, R.; Duflou, J.R. Environmental Dimensions of Additive Manufacturing: Mapping Application Domains and Their Environmental Implications. J. Ind. Ecol. 2017, 21, S49–S68. [Google Scholar] [CrossRef]



| Compound | w/w | Available | Toxicological Information |
|---|---|---|---|
| Phosphine oxide compounds 1 (Type II) | 0.1–5% | FORMlabs e.g., Dental and E-Shell series | Fertility impairing effect [47], acute and chronic toxic for aquatic organisms [48], toxic effect on mouse NIH 3T3 cells [38]. Not readily biodegradable by OECD criteria [48,49]. LD50 Oral rat > 5000 mg/kg (OECD) [48] LC50 (48 h) Oryzias latipes—6.53 mg/L (JIS K 0102-71) [49,50] EC50 (48 h) Daphnia magna—3.53 mg/L (OECD 202) [48,50] EC50 (72 h) Pseudokirchneriella subcapitata—1.56 mg/L (OECD 201) [49] |
| Hydroxy- acetophenone (Type II) | Readily biodegradable (OECD 301B) [51] LD50 Oral Rat—2.240 mg/kg [51] LC50 (96 h) Salmo gairdneri—25 mg/L [51] EC50 (48 h) Daphnia magna—50 mg/L [51] | ||
| Benzophenone compounds 2 (Type II) | <10% | UV-cured inks | Causes liver hypertrophy and kidney adenoma in rats [52] EC50 (24 h) Daphnia magna—0.28 mg/L [53] LC50 (96 h) Pimephales promelas—14.2 mg/L [53] BP-3 and BP-4: LC50 (48 h) Daphnia magna—1.09 and 47.47 mg/L LC50 (96 h) Brachydanio rerio—3.89 and 633.00 mg/L |
| Camphorquinone | Dental resins | EC50 mouse fibroblasts—235 M [30] | |
| 1-hydroxy cyclo hexyl phenyl ketone | FORMlabs Irgacure 184 | LC50 (96 h) Danio rerio—24 mg/L [54] EC50 (48 h) Daphnia magna—59.3 mg/L (OECD 202) [54] EC50 (72 h) Desmodesmus subspicatus—14.4 mg/L (OECD 201) [54] | |
| Triarylsulfonium salt (Cationic)3 | 1–10% | 3D Systems | EC50 (24 h) Daphnia magna—4.4 mg/L [55] EC50 (48 h) Daphnia magna—0.68 mg/L [55] |
| Compound | w/w | Available | Toxicological Information |
|---|---|---|---|
| Acrylate monomers, Acrylate and Urethane acrylate oligomers | 5–60% | FORMlabs Autodesk Envisiontec 3D Systems | Toxic or harmful to various species of fish, algae and water microorganisms [49]. Potential mutagens and a reproductive and developmental toxicant. LD50 Oral rat >5000 mg/kg [49] LC50 (96 h) Brachydanio rerio—10.1 mg/L (OECD 203) [70] LC50 (96 h) Cyprinus carpio—1.2 mg/L (OECD 203) [71] LC50 (96 h) Pimephales promelas—34.7 mg/L (OECD 203) [70] |
| Methyl methacrylate monomers 1, and oligomers | 5–90% | FORMlabs Envisiontec Dental resin | Assessment of repeated dose toxicity indicates potential to affect the liver and kidneys as indicated in animal studies [72]. Potential mutagen, and a reproductive and developmental toxicant, aquatic toxicant, and genotoxic in mammalian cell culture [73]. LC50 (96 h) Salmo gairdneri—3.4 mg/L (OECD 203) [73] LC50 (96 h) Cyprinodon variegatus—1.1 mg/L (OECD 203) [73] EC50 (48 h) Daphnia magna—2.6 mg/L (OECD 202) [73] EC50 (72 h) Selenastrum capricornutum—3.55 mg/L (OECD 201) [73] EC50 (96 h) Mysidopsis bahia—1.6 mg/L (OPP 72-3) [73] LC50 (96 h) Lepomis macrochirus—283 mg/L * [74] LC50 (96 h) Oncorhynchus mykiss—5.2 mg/L * [75] EC50 (48 h) Daphnia magna—8.74 mg/L * [75] EC50 (72 h) Pseudokirchneriella subcapitata—5.2 mg/L * [75] LD50 Oral rat—7900 mg/kg * [74] |
| Tripropylene Glycol diacrylate | 3D Systems | LD50 Oral rat—6800 mg/kg (OECD 401) [76] LC50 (96 h) Leuciscus idus >4.6–10 mg/L [76] EC50 (48 h) Daphnia magna—89 mg/L [76] EC50 (72 h) Scenedesmus subspicatus—65.9 mg/L [76] | |
| Hydroxyethyl Methacrylate | Dental resins | EC50 (48 h) Daphnia magna—380 mg/L (OECD 202) [77] EC50 (72 h) Selenastrum capricornutum—836 mg/L (OECD 201) [77] | |
| 3,4-Epoxy cyclohexylmethyl 3,4-epoxy-cyclohexane carboxylate | 25–60% | 3D Systems | EC50 (48 h) Daphnia magna—40 mg/L [78] LC50 (96 h) Oncorhynchus mykiss—24 mg/L [78] LC50 Oral rats—5000 mg/kg [78] |
| 1,6-bis(2,3-epoxy propoxy) hexane | 15–30% | 3D Systems | Not easily biodegradable (according to OECD-criteria) [79] EC50 (48 h) Daphnia magna—47 mg/L [79] LC50 (96 h) Leuciscus idus—30 mg/L [79] LD50 Oral rats—2190 mg/Kg [79] |
| Bisphenol A-diglycidyl dimethacrylate (Bis-GMA) | Dental resins | EC50 mouse fibroblasts—9.35 M [30] | |
| Tetraacrylate 2,3 | 30–60% | Autodesk Evisiontec FORMlabs | LC50 (96 h) Cyprinus carp—1.2 mg/L 2 [80] LC50 (96 h) Danio rerio—7.9 mg/L 3 [80] |
| Compound | w/w% | Available | Toxicological Information |
|---|---|---|---|
| Butylated hydroxytoluene | Dental resins | Toxic or harmful to various species of fish, algae, and water microorganisms [96] LD50 Oral rat >6000 mg/kg (OECD 401) [96] LC50 (48 h) Oryzias latipes—5.3 mg/L [96] EC50 (48 h) Daphnia magna—0.48 mg/L (OECD 202) [96] EC50 (24 h) Protozoa—1.7 mg/L [96] | |
| Sebacate compounds 1 | <5% | FORMlabs e.g., Dental Envisiontec | Toxic to aquatic life with long lasting effects [49], not readily biodegradable (OECD 301B) [49,97] LD50 Oral rat—3230 mg/kg (OECD 423) [49,97] LC50 (96 h) Lepomis macrochirus—0.97 mg/L (OECD 203) [49,97] LC50 (96 h) Oncorhynchus mykiss—7.9 mg/L (OECD 203) [49] LC50 (96 h) Brachydanio rerio—0.9 mg/L (OECD 203) [49] LC50 (48 h) Daphnia magna—8.58 mg/L (OECD 202) [97] EC50 (72 h) Pseudokirchneriella subcapitata—1.1 mg/L (OECD 201) [97] EC50 (72 h) Desmodesmus subspicatus—1.68 mg/L (OECD 201) [49] |
| Methylthiophenol compounds 2 | Autodesk | LC50 (96 h) Danio rerio—9 mg/L [80] EC50 (72 h) Pediastrum boryanum—1.7 mg/L [80] EC50 (24 h) Daphnia magna—15 mg/L [80] | |
| Hydroquinone | Dental resins | Evidence of mutagenicity in mammal studies, toxic to aquatic life; absorption, in sufficient concentrations, leads to cyanosis [98] LC50 (96 h) Oncorhynchus mykiss—0.04 mg/L [98] EC50 (48 h) Daphnia magna 0.13 mg/L [98] EC50 (72 h) Pseudokirchneriella subcapitata—0.34 mg/L [98] LD50 Oral rat—367.3 mg/kg [98] |
| Resin | Organism | Toxicological Information |
|---|---|---|
| VisiJet Crystal | Algae 1 | At 24 h ∼70% growth inhibition [18]. |
| Flea 2 | At 24 h 100% mortality [18] | |
| Rotifer 3 | At 24 h 100% mortality [18] | |
| Zebrafish 4 | Stunted growth, missing eyes, reduced pigmentation and yolk sac, abnormal shapes and also appear darker [13]. Greater than 90% mortality observed at 48 h [16] and 100% mortality observed at at 72 h [13]. | |
| Watershed 11122XC | Algae 1 | At 24 h >90% growth inhibition [18] |
| Rotifer 3 | At 24 h ∼ 100% mortality [18] | |
| Flea 2,5 | At 24 h ∼ 100% mortality [18] | |
| Fototec 7150 Clear | Algae 1 | At 24 h >90% growth inhibition [18] |
| Rotifer 3 | At 24 h ∼ 100% mortality [18] | |
| Flea 2,5 | At 24 h ∼ 100% mortality [18] | |
| Form Clear | Algae 1 | At 24 h ∼60% growth inhibition [18] |
| Rotifer 3 | At 24 h ∼100% mortality [18] | |
| Flea 2,5 | At 24 h ∼ 100% mortality [18] | |
| Zebrafish 4 | At 72 h higher rate of mortality, malformations (yolk sac edema, heart edema, embryo length deformation, spine flexures, lack of melanophore development, and a lack of swim bladders) [17]. | |
| VisiJet Clear | Zebrafish 4 | At 48 h >90% mortality of embryos [16]. |
| Algae 1 | At 24 h >90% growth inhibition [18] | |
| Rotifer 3 | At 24 h ∼ 100% mortality [18] | |
| Flea 2,5 | At 24 h ∼ 100% mortality [18] | |
| MED610/620 | Zebrafish 4 | >50% lethality [16]. |
© 2018 by the authors. Licensee MDPI, Basel, Switzerland. This article is an open access article distributed under the terms and conditions of the Creative Commons Attribution (CC BY) license (http://creativecommons.org/licenses/by/4.0/).
Share and Cite
Carve, M.; Wlodkowic, D. 3D-Printed Chips: Compatibility of Additive Manufacturing Photopolymeric Substrata with Biological Applications. Micromachines 2018, 9, 91. https://doi.org/10.3390/mi9020091
Carve M, Wlodkowic D. 3D-Printed Chips: Compatibility of Additive Manufacturing Photopolymeric Substrata with Biological Applications. Micromachines. 2018; 9(2):91. https://doi.org/10.3390/mi9020091
Chicago/Turabian StyleCarve, Megan, and Donald Wlodkowic. 2018. "3D-Printed Chips: Compatibility of Additive Manufacturing Photopolymeric Substrata with Biological Applications" Micromachines 9, no. 2: 91. https://doi.org/10.3390/mi9020091
APA StyleCarve, M., & Wlodkowic, D. (2018). 3D-Printed Chips: Compatibility of Additive Manufacturing Photopolymeric Substrata with Biological Applications. Micromachines, 9(2), 91. https://doi.org/10.3390/mi9020091

