AlGaN/GaN High Electron Mobility Transistors on Semi-Insulating Ammono-GaN Substrates with Regrown Ohmic Contacts
Abstract
1. Introduction
2. Experimental Details
3. Results and Discussion
3.1. Electrical Characterisation of Ohmic Contacts with Subcontact n-InGaN:Si Regrown Epilayer to AlGaN/GaN Heterostrucutres on Semi-Insulating Ammono-GaN Substrates
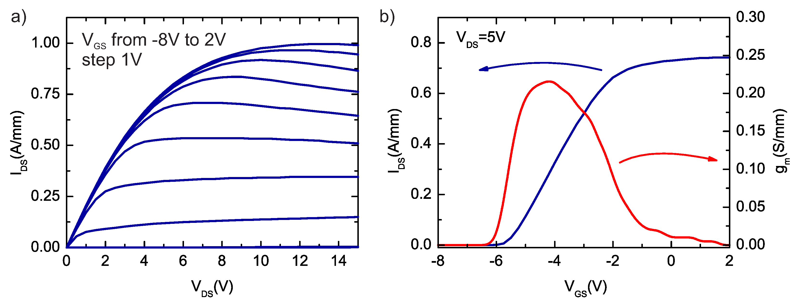
3.2. Electrical Characterization of AlGaN/GaN HEMTs on Semi-Insulating Ammono-GaN Substrates with Ohmic Contacts with Subcontact n-InGaN:Si Regrown Epilayer
3.3. Design and Fabrication of the on Microwave Power Amplifier Using AlGaN/GaN HEMTs on Semi-Insulating Ammono-GaN Substrates
4. Conclusions
Author Contributions
Funding
Conflicts of Interest
References
- Roccaforte, F.; Fiorenza, P.; Greco, G.; Lo Nigro, R.; Giannazzo, F.; Iucolano, F.; Saggio, M. Emerging trends in wide band gap semiconductors (SiC and GaN) technology for power devices. Microelectron. Eng. 2018, 187–188, 66–77. [Google Scholar] [CrossRef]
- Pengelly, R.S.; Wood, S.M.; Milligan, J.W.; Sheppard, S.T.; Pribble, W.L. A Review of GaN on SiC High Electron-Mobility Power Transistors and MMICs. IEEE Trans. Microw. Theory Tech. 2012, 60, 1764–1783. [Google Scholar] [CrossRef]
- Amano, H. Progress and Prospect of the Growth of Wide-Band-Gap Group III Nitrides: Development of the Growth Method for Single-Crystal Bulk GaN. Jpn. J. Appl. Phys. 2013, 52, 050001. [Google Scholar] [CrossRef]
- Bockowski, M.; Iwinska, M.; Amilusik, M.; Fijalkowski, M.; Lucznik, B.; Sochacki, T. Challenges and future perspectives in HVPE-GaN growth on ammonothermal GaN seeds. Semicond. Sci. Technol. 2016, 31, 093002. [Google Scholar] [CrossRef]
- Sochacki, T.; Bryan, Z.; Amilusik, M.; Bobea, M.; Fijalkowski, M.; Bryan, I.; Lucznik, B.; Collazo, R.; Weyher, J.L.; Kucharski, R.; et al. HVPE-GaN grown on MOCVD-GaN/sapphire template and ammonothermal GaN seeds: Comparison of structural, optical, and electrical properties. J. Cryst. Growth 2014, 394, 55–60. [Google Scholar] [CrossRef]
- Sochacki, T.; Bryan, Z.; Amilusik, M.; Collazo, R.; Lucznik, B.; Weyher, J.L.; Nowak, G.; Sadovyi, B.; Kamler, G.; Kucharski, R.; et al. Preparation of Free-Standing GaN Substrates from Thick GaN Layers Crystallized by Hydride Vapor Phase Epitaxy on Ammonothermally Grown GaN Seeds. Appl. Phys. Express 2013, 6, 075504. [Google Scholar] [CrossRef]
- Zajac, M.; Kucharski, R.; Grabianska, K.; Gwardys-Bak, A.; Puchalski, A.; Wasik, D.; Litwin-Staszewska, E.; Piotrzkowski, R.; Domagala, J.Z.; Bockowski, M. Basic ammonothermal growth of Gallium Nitride—State of the art, challenges, perspectives. Prog. Cryst. Growth Charact. Mater. 2018, 64, 63–74. [Google Scholar] [CrossRef]
- Dwiliński, R.; Doradziński, R.; Garczyński, J.; Sierzputowski, L.; Puchalski, A.; Kanbara, Y.; Yagi, K.; Minakuchi, H.; Hayashi, H. Excellent crystallinity of truly bulk ammonothermal GaN. J. Cryst. Growth 2008, 310, 3911–3916. [Google Scholar] [CrossRef]
- Cheney, D.J.; Douglas, E.A.; Liu, L.; Lo, C.F.; Xi, Y.Y.; Gila, B.P.; Ren, F.; Horton, D.; Law, M.E.; Smith, D.J.; Pearton, S.J. Reliability studies of AlGaN/GaN high electron mobility transistors. Semicond. Sci. Technol. 2013, 28, 074019. [Google Scholar] [CrossRef]
- Kuball, M.; Ťapajna, M.; Simms, R.J.; Faqir, M.; Mishra, U.K. AlGaN/GaN HEMT device reliability and degradation evolution: Importance of diffusion processes. Microelectron. Reliab. 2011, 51, 195–200. [Google Scholar] [CrossRef]
- Moroz, V.; Wong, H.Y.; Choi, M.; Braga, N.; Mickevicius, R.V.; Zhang, Y.; Palacios, T. The Impact of Defects on GaN Device Behavior: Modeling Dislocations, Traps, and Pits. ECS J. Solid State Sci. Technol. 2016, 5, P3142–P3148. [Google Scholar] [CrossRef]
- Pearton, S.J.; Ren, F.; Patrick, E.; Law, M.E.; Polyakov, A.Y. Review—Ionizing Radiation Damage Effects on GaN Devices. ECS J. Solid State Sci. Technol. 2016, 5, Q35–Q60. [Google Scholar] [CrossRef]
- Sarua, A.; Ji, H.; Hilton, K.P.; Wallis, D.J.; Uren, M.J.; Martin, T.; Kuball, M. Thermal Boundary Resistance Between GaN and Substrate in AlGaN/GaN Electronic Devices. IEEE Trans. Electron Devices 2007, 54, 3152–3158. [Google Scholar] [CrossRef]
- Kuzmík, J.; Bychikhin, S.; Pogany, D.; Gaquière, C.; Pichonat, E.; Morvan, E. Investigation of the thermal boundary resistance at the III-Nitride/substrate interface using optical methods. J. Appl. Phys. 2007, 101, 054508. [Google Scholar] [CrossRef]
- Killat, N.; Montes, M.; Pomeroy, J.W.; Paskova, T.; Evans, K.R.; Leach, J.; Li, X.; Ozgur, U.; Morkoc, H.; Chabak, K.D.; et al. Thermal Properties of AlGaN/GaN HFETs on Bulk GaN Substrates. IEEE Electron Device Lett. 2012, 33, 366–368. [Google Scholar] [CrossRef]
- Kruszewski, P.; Prystawko, P.; Kasalynas, I.; Nowakowska-Siwinska, A.; Krysko, M.; Plesiewicz, J.; Smalc-Koziorowska, J.; Dwilinski, R.; Zajac, M.; Kucharski, R.; et al. AlGaN/GaN HEMT structures on ammono bulk GaN substrate. Semicond. Sci. Technol. 2014, 29, 075004. [Google Scholar] [CrossRef]
- Anderson, T.J.; Tadjer, M.J.; Hite, J.K.; Greenlee, J.D.; Koehler, A.D.; Hobart, K.D.; Kub, F.J. Effect of Reduced Extended Defect Density in MOCVD Grown AlGaN/GaN HEMTs on Native GaN Substrates. IEEE Electron Device Lett. 2016, 37, 28–30. [Google Scholar] [CrossRef]
- Krupka, J.; Judek, J. RF Capacitive Spectroscopy for Contactless Measurements of Resistivity Profiles in Highly Resistive Semiconductor Wafers. IEEE Trans. Semicond. Manuf. 2014, 27, 530–538. [Google Scholar] [CrossRef]
- Krupka, J.; Zając, M.; Kucharski, R.; Gryglewski, D. Dielectric properties of highly resistive GaN crystals grown by ammonothermal method at microwave frequencies. AIP Adv. 2016, 6, 035313. [Google Scholar] [CrossRef]
- Krupka, J. Contactless methods of conductivity and sheet resistance measurement for semiconductors, conductors and superconductors. Meas. Sci. Technol. 2013, 24, 062001. [Google Scholar] [CrossRef]
- Simon, R.B.; Anaya, J.; Kuball, M. Thermal conductivity of bulk GaN—Effects of oxygen, magnesium doping, and strain field compensation. Appl. Phys. Lett. 2014, 105, 202105. [Google Scholar] [CrossRef]
- Joglekar, S.; Azize, M.; Beeler, M.; Monroy, E.; Palacios, T. Impact of recess etching and surface treatments on ohmic contacts regrown by molecular-beam epitaxy for AlGaN/GaN high electron mobility transistors. Appl. Phys. Lett. 2016, 109, 041602. [Google Scholar] [CrossRef]
- Taube, A.; Kamińska, E.; Kozubal, M.; Kaczmarski, J.; Wojtasiak, W.; Jasiński, J.; Borysiewicz, M.A.; Ekielski, M.; Juchniewicz, M.; Grochowski, J.; et al. Ion implantation for isolation of AlGaN/GaN HEMTs using C or Al. Phys. Status Solidi A 2015, 212, 1162–1169. [Google Scholar] [CrossRef]
- Greco, G.; Iucolano, F.; Bongiorno, C.; Di Franco, S.; Lo Nigro, R.; Giannazzo, F.; Prystawko, P.; Kruszewski, P.; Krysko, M.; Grzanka, E.; et al. Electrical and structural properties of Ti/Al-based contacts on AlGaN/GaN heterostructures with different quality. Phys. Status Solidi A 2015, 212, 1091–1098. [Google Scholar] [CrossRef]
- Wang, L.; Mohammed, F.M.; Adesida, I. Differences in the reaction kinetics and contact formation mechanisms of annealed Ti/Al/Mo/Au Ohmic contacts on n-GaN and AlGaN/GaN epilayers. J. Appl. Phys. 2007, 101, 013702. [Google Scholar] [CrossRef]
- Wang, L.; Kim, D.H.; Adesida, I. Direct contact mechanism of Ohmic metallization to AlGaN/GaN heterostructures via Ohmic area recess etching. Appl. Phys. Lett. 2009, 95, 172107. [Google Scholar] [CrossRef]
- Wang, L.; Mohammed, F.M.; Adesida, I. Formation mechanism of Ohmic contacts on AlGaN/GaN heterostructure: Electrical and microstructural characterizations. J. Appl. Phys. 2008, 103, 093516. [Google Scholar] [CrossRef]
- Schroder, D.K. Contact Resistance and Schottky Barriers. In Semiconductor Material and Device Characterization; John Wiley & Sons, Inc.: Hoboken, NJ, USA, 2005. [Google Scholar]
- Guo, J.; Li, G.; Faria, F.; Cao, Y.; Wang, R.; Verma, J.; Gao, X.; Guo, S.; Beam, E.; Ketterson, A.; et al. MBE-Regrown Ohmics in InAlN HEMTs With a Regrowth Interface Resistance of 0.05 Ω mm. IEEE Electron Device Lett. 2012, 33, 525–527. [Google Scholar] [CrossRef]
- Kaczmarski, J.; Grochowski, J.; Kaminska, E.; Taube, A.; Dyczewski, J.; Jung, W.; Dynowska, E.; Piotrowska, A. Transparent Amorphous Ru–Si–O Schottky Contacts to In–Ga–Zn–O. J. Disp. Technol. 2015, 11, 528–532. [Google Scholar] [CrossRef]
- Kaczmarski, J.; Borysiewicz, M.A.; Piskorski, K.; Wzorek, M.; Kozubal, M.; Kamińska, E. Flexible IGZO Schottky diodes on paper. Semicond. Sci. Technol. 2018, 33, 015010. [Google Scholar] [CrossRef]
- Kaminska, E.; Piotrowska, A.; Szczesny, A.; Kuchuk, A.; Lukasiewicz, R.; Golaszewska, K.; Kruszka, R.; Barcz, A.; Jakiela, R.; Dynowska, E.; et al. Thermally stable Ru-Si-O gate electrode for AlGaN/GaN HEMT. Phys. Status Solidi C 2005, 2, 1060–1064. [Google Scholar] [CrossRef]
- Brunel, L.; Malbert, N.; Curutchet, A.; Labat, N.; Lambert, B. Kink effect characterization in AlGaN/GaN HEMTs by DC and drain current transient measurements. In Proceedings of the European Solid-State Device Research Conference (ESSDERC), Bordeaux, France, 17–21 September 2012; pp. 270–273. [Google Scholar]
- Nigam, A.; Bhat, T.N.; Rajamani, S.; Dolmanan, S.B.; Tripathy, S.; Kumar, M. Effect of self-heating on electrical characteristics of AlGaN/ GaN HEMT on Si (111) substrate. AIP Adv. 2017, 7, 085015. [Google Scholar] [CrossRef]
- Gaska, R.; Osinsky, A.; Yang, J.; Shur, M. Self-heating in high-power AlGaN-GaN HFETs. IEEE Electron Device Lett. 1998, 19, 89–91. [Google Scholar] [CrossRef]
- Gummel, H.K. On the definition of the cutoff frequency fT. Proc. IEEE 1969, 57, 2159. [Google Scholar] [CrossRef]
- Walker, J. High-Power GaAs FET Amplifiers; Artech House, Inc.: Norwood, MA, USA, 1993. [Google Scholar]
- Wojtasiak, W.; Gryglewski, D. A 100 W SiC MESFET Amplifier for L-band T/R Module of APAR. Int. J. Electron. Telecommun. 2011, 57, 135–140. [Google Scholar] [CrossRef]
- Gryglewski, D.; Wojtasiak, W.; Morawski, T. Phased arrays with distributed feed. In Modern Radar Technology. Controllable Beam Antennas in Radar Technology; Transport and Communication Publishers: Warsaw, Poland, 2012; pp. 189–224. [Google Scholar]
- Available online: http://www.wolfspeed.com (accessed on 3 September 2018).
- Available online: https://www.qorvo.com (accessed on 29 August 2018).












| Ohmic Contact | R (·mm) | R () | R () |
|---|---|---|---|
| recessed Ti/Al/Mo/Au | 0.8–1.1 | 0.86 | 3.4 |
| Ti/Al/Mo/Au with regrown epilayer | 0.3–0.6 | 0.31 | 1.78 |
© 2018 by the authors. Licensee MDPI, Basel, Switzerland. This article is an open access article distributed under the terms and conditions of the Creative Commons Attribution (CC BY) license (http://creativecommons.org/licenses/by/4.0/).
Share and Cite
Wojtasiak, W.; Góralczyk, M.; Gryglewski, D.; Zając, M.; Kucharski, R.; Prystawko, P.; Piotrowska, A.; Ekielski, M.; Kamińska, E.; Taube, A.; et al. AlGaN/GaN High Electron Mobility Transistors on Semi-Insulating Ammono-GaN Substrates with Regrown Ohmic Contacts. Micromachines 2018, 9, 546. https://doi.org/10.3390/mi9110546
Wojtasiak W, Góralczyk M, Gryglewski D, Zając M, Kucharski R, Prystawko P, Piotrowska A, Ekielski M, Kamińska E, Taube A, et al. AlGaN/GaN High Electron Mobility Transistors on Semi-Insulating Ammono-GaN Substrates with Regrown Ohmic Contacts. Micromachines. 2018; 9(11):546. https://doi.org/10.3390/mi9110546
Chicago/Turabian StyleWojtasiak, Wojciech, Marcin Góralczyk, Daniel Gryglewski, Marcin Zając, Robert Kucharski, Paweł Prystawko, Anna Piotrowska, Marek Ekielski, Eliana Kamińska, Andrzej Taube, and et al. 2018. "AlGaN/GaN High Electron Mobility Transistors on Semi-Insulating Ammono-GaN Substrates with Regrown Ohmic Contacts" Micromachines 9, no. 11: 546. https://doi.org/10.3390/mi9110546
APA StyleWojtasiak, W., Góralczyk, M., Gryglewski, D., Zając, M., Kucharski, R., Prystawko, P., Piotrowska, A., Ekielski, M., Kamińska, E., Taube, A., & Wzorek, M. (2018). AlGaN/GaN High Electron Mobility Transistors on Semi-Insulating Ammono-GaN Substrates with Regrown Ohmic Contacts. Micromachines, 9(11), 546. https://doi.org/10.3390/mi9110546

