Optimal High-Dimensional Entanglement Concentration for Pure Bipartite Systems
Abstract
1. Introduction
2. Revisiting Entanglement Concentration
3. Towards Efficient Entanglement Concentration
4. Solving the Problem
4.1. Numerical Hints
4.2. Analytical Results
- If (minimum attainable value, equivalent to ), it means we are pursuing a standard entanglement concentration using all Schmidt coefficients. Then, perform concentration using . Otherwise, follow Steps 2–8.
- Sort the Schmidt coefficients in decreasing order. Let us label these sorted coefficients as .
- Define a vector such that , for .
- Define a vector such that .
- Find the largest value of n that allow both and to be simultaneously satisfied. Let us label this value as .
- Define such that
- Define . Afterwards, sort the using the inverse of the sorting operation described in Step 1. These sorted values will be the that solve the optimization problem of Equation (17).
- Define . These values are the ones needed to construct the Kraus operator of Equation (7).
4.2.1. Redefining the Optimization Problem
4.2.2. Finding Critical Points
- ;
- ;
- .
4.2.3. Upper Bounds for
4.2.4. Eliminating Zeros
4.2.5. Optimal n Will Be the Largest Possible
4.2.6. Sorting Preference
4.2.7. How to Construct the Optimal Concentration Scheme
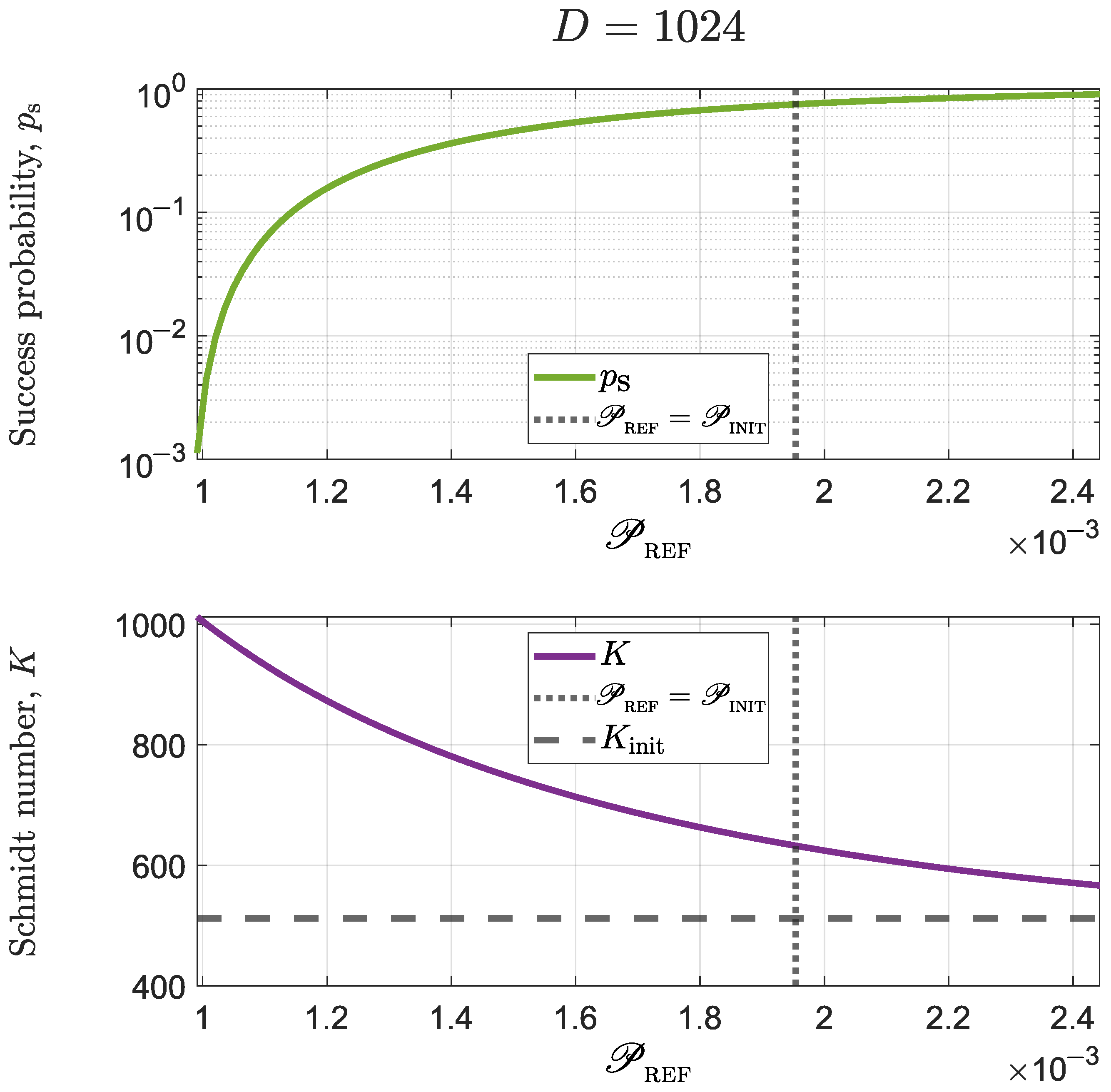
5. Entanglement Concentration with Fixed Probability of Success
- Sort the Schmidt coefficients in decreasing order. Let us label these sorted coefficients as .
- Define a vector such that , for .
- Define a vector such that .
- Find the largest value of n such that and are simultaneously satisfied. Let us label this value as .
- Define such that
- Define . Afterwards, sort the using the inverse of the sorting operation described in Step 1. These sorted values will be the that solve the optimization problem of Equation (17).
- Define . These values are the ones needed to construct the Kraus operator of Equation (7).
6. Conclusions
Author Contributions
Funding
Data Availability Statement
Conflicts of Interest
Appendix A. Why Is It Necessary to Add a Difference?
Appendix B. Why Does a Diagonal Kraus Operator Suffice?
References
- Horodecki, R.; Horodecki, P.; Horodecki, M.; Horodecki, K. Quantum Entanglement. Rev. Mod. Phys. 2009, 81, 865–942. [Google Scholar] [CrossRef]
- Bennett, C.H. Quantum Cryptography Using Any Two Nonorthogonal States. Phys. Rev. Lett. 1992, 68, 3121–3124. [Google Scholar] [CrossRef] [PubMed]
- Żukowski, M.; Zeilinger, A.; Horne, M.A.; Ekert, A.K. “Event-ready-detectors” Bell Experiment via Entanglement Swapping. Phys. Rev. Lett. 1993, 71, 4287–4290. [Google Scholar] [CrossRef] [PubMed]
- Bennett, C.H.; Brassard, G.; Crépeau, C.; Jozsa, R.; Peres, A.; Wootters, W.K. Teleporting an Unknown Quantum State via Dual Classical and Einstein-Podolsky-Rosen Channels. Phys. Rev. Lett. 1993, 70, 1895–1899. [Google Scholar] [CrossRef]
- Ekert, A.K. Quantum Cryptography Based on Bell’s Theorem. Phys. Rev. Lett. 1991, 67, 661–663. [Google Scholar] [CrossRef]
- Einstein, A.; Podolsky, B.; Rosen, N. Can Quantum-Mechanical Description of Physical Reality Be Considered Complete? Phys. Rev. 1935, 47, 777–780. [Google Scholar] [CrossRef]
- Neves, L.; Solís-Prosser, M.A.; Delgado, A.; Jiménez, O. Quantum Teleportation via Maximum-Confidence Quantum Measurements. Phys. Rev. A 2012, 85, 062322. [Google Scholar] [CrossRef]
- Solís-Prosser, M.A.; Delgado, A.; Jiménez, O.; Neves, L. Deterministic and Probabilistic Entanglement Swapping of Nonmaximally Entangled States Assisted by Optimal Quantum State Discrimination. Phys. Rev. A 2014, 89, 012337. [Google Scholar] [CrossRef]
- Holevo, A.S.; Giovannetti, V. Quantum Channels and Their Entropic Characteristics. Rep. Prog. Phys. 2012, 75, 046001. [Google Scholar] [CrossRef]
- Wilde, M.M. Quantum Information Theory, 2nd ed.; Cambridge University Press: Cambridge, UK, 2017. [Google Scholar] [CrossRef]
- Yang, J.; Bao, X.H.; Zhang, H.; Chen, S.; Peng, C.Z.; Chen, Z.B.; Pan, J.W. Experimental Quantum Teleportation and Multiphoton Entanglement via Interfering Narrowband Photon Sources. Phys. Rev. A 2009, 80, 042321. [Google Scholar] [CrossRef]
- Nielsen, M.A. Conditions for a Class of Entanglement Transformations. Phys. Rev. Lett. 1999, 83, 436–439. [Google Scholar] [CrossRef]
- Lo, H.K.; Popescu, S. Concentrating Entanglement by Local Actions: Beyond Mean Values. Phys. Rev. A 2001, 63, 022301. [Google Scholar] [CrossRef]
- Bennett, C.H.; Bernstein, H.J.; Popescu, S.; Schumacher, B. Concentrating Partial Entanglement by Local Operations. Phys. Rev. A 1996, 53, 2046–2052. [Google Scholar] [CrossRef] [PubMed]
- Deutsch, D.; Ekert, A.; Jozsa, R.; Macchiavello, C.; Popescu, S.; Sanpera, A. Quantum Privacy Amplification and the Security of Quantum Cryptography over Noisy Channels. Phys. Rev. Lett. 1996, 77, 2818–2821. [Google Scholar] [CrossRef]
- Pan, J.W.; Simon, C.; Brukner, Č.; Zeilinger, A. Entanglement Purification for Quantum Communication. Nature 2001, 410, 1067–1070. [Google Scholar] [CrossRef]
- Bennett, C.H.; Brassard, G.; Popescu, S.; Schumacher, B.; Smolin, J.A.; Wootters, W.K. Purification of Noisy Entanglement and Faithful Teleportation via Noisy Channels. Phys. Rev. Lett. 1996, 76, 722–725. [Google Scholar] [CrossRef]
- Plenio, M.; Virmani, S. An Introduction to Entanglement Measures. Quantum Inf. Comput. 2007, 7, 1–51. [Google Scholar] [CrossRef]
- Pan, J.W.; Gasparoni, S.; Ursin, R.; Weihs, G.; Zeilinger, A. Experimental Entanglement Purification of Arbitrary Unknown States. Nature 2003, 423, 417–422. [Google Scholar] [CrossRef] [PubMed]
- Vidal, G. Entanglement of Pure States for a Single Copy. Phys. Rev. Lett. 1999, 83, 1046–1049. [Google Scholar] [CrossRef]
- Hardy, L. Method of Areas for Manipulating the Entanglement Properties of One Copy of a Two-Particle Pure Entangled State. Phys. Rev. A 1999, 60, 1912–1923. [Google Scholar] [CrossRef]
- Zhao, Z.; Yang, T.; Chen, Y.A.; Zhang, A.N.; Pan, J.W. Experimental Realization of Entanglement Concentration and a Quantum Repeater. Phys. Rev. Lett. 2003, 90, 207901. [Google Scholar] [CrossRef]
- Thew, R.T.; Munro, W.J. Entanglement Manipulation and Concentration. Phys. Rev. A 2001, 63, 030302. [Google Scholar] [CrossRef]
- Yamamoto, T.; Koashi, M.; Imoto, N. Concentration and Purification Scheme for Two Partially Entangled Photon Pairs. Phys. Rev. A 2001, 64, 012304. [Google Scholar] [CrossRef]
- Zhao, Z.; Pan, J.W.; Zhan, M.S. Practical Scheme for Entanglement Concentration. Phys. Rev. A 2001, 64, 014301. [Google Scholar] [CrossRef]
- Kwiat, P.G.; Barraza-Lopez, S.; Stefanov, A.; Gisin, N. Experimental Entanglement Distillation and ‘Hidden’ Non-Locality. Nature 2001, 409, 1014–1017. [Google Scholar] [CrossRef] [PubMed]
- Morikoshi, F. Recovery of Entanglement Lost in Entanglement Manipulation. Phys. Rev. Lett. 2000, 84, 3189–3192. [Google Scholar] [CrossRef] [PubMed]
- Morikoshi, F.; Koashi, M. Deterministic Entanglement Concentration. Phys. Rev. A 2001, 64, 022316. [Google Scholar] [CrossRef]
- Chefles, A. Unambiguous Discrimination between Linearly Independent Quantum States. Phys. Lett. A 1998, 239, 339–347. [Google Scholar] [CrossRef]
- Hayashi, M.; Koashi, M.; Matsumoto, K.; Morikoshi, F.; Winter, A. Error Exponents for Entanglement Concentration. J. Phys. A Math. Gen. 2003, 36, 527–553. [Google Scholar] [CrossRef]
- Gu, Y.J.; Li, W.D.; Guo, G.C. Protocol and Quantum Circuits for Realizing Deterministic Entanglement Concentration. Phys. Rev. A 2006, 73, 022321. [Google Scholar] [CrossRef]
- Hu, X.M.; Huang, C.X.; Sheng, Y.B.; Zhou, L.; Liu, B.H.; Guo, Y.; Zhang, C.; Xing, W.B.; Huang, Y.F.; Li, C.F.; et al. Long-Distance Entanglement Purification for Quantum Communication. Phys. Rev. Lett. 2021, 126, 010503. [Google Scholar] [CrossRef] [PubMed]
- Ecker, S.; Sohr, P.; Bulla, L.; Huber, M.; Bohmann, M.; Ursin, R. Experimental Single-Copy Entanglement Distillation. Phys. Rev. Lett. 2021, 127, 040506. [Google Scholar] [CrossRef]
- Ecker, S.; Sohr, P.; Bulla, L.; Ursin, R.; Bohmann, M. Remotely Establishing Polarization Entanglement Over Noisy Polarization Channels. Phys. Rev. Appl. 2022, 17, 034009. [Google Scholar] [CrossRef]
- Huang, C.X.; Hu, X.M.; Liu, B.H.; Zhou, L.; Sheng, Y.B.; Li, C.F.; Guo, G.C. Experimental One-Step Deterministic Polarization Entanglement Purification. Sci. Bull. 2022, 67, 593–597. [Google Scholar] [CrossRef] [PubMed]
- Marques, B.; Matoso, A.A.; Pimenta, W.M.; Gutiérrez-Esparza, A.J.; Lima, G.; Neves, L.; Delgado, A.; Saavedra, C.; Pádua, S. Optimal Entanglement Concentration for Photonic Qutrits Encoded in Path Variables. Phys. Rev. A 2013, 87, 052327. [Google Scholar] [CrossRef]
- Smolin, J.A.; Verstraete, F.; Winter, A. Entanglement of Assistance and Multipartite State Distillation. Phys. Rev. A 2005, 72, 052317. [Google Scholar] [CrossRef]
- Groisman, B.; Linden, N.; Popescu, S. Entanglement Concentration of Three-Partite States. Phys. Rev. A 2005, 72, 062322. [Google Scholar] [CrossRef]
- Gómez, S.; Mattar, A.; Gómez, E.S.; Cavalcanti, D.; Farías, O.J.; Acín, A.; Lima, G. Experimental nonlocality-based randomness generation with nonprojective measurements. Phys. Rev. A 2018, 97, 040102. [Google Scholar] [CrossRef]
- Gómez, S.; Mattar, A.; Machuca, I.; Gómez, E.S.; Cavalcanti, D.; Farías, O.J.; Acín, A.; Lima, G. Experimental investigation of partially entangled states for device-independent randomness generation and self-testing protocols. Phys. Rev. A 2019, 99, 032108. [Google Scholar] [CrossRef]
- Martínez, D.; Gómez, E.S.; Cariñe, J.; Pereira, L.; Delgado, A.; Walborn, S.P.; Tavakoli, A.; Lima, G. Certification of a non-projective qudit measurement using multiport beamsplitters. Nat. Phys. 2023, 19, 190–195. [Google Scholar] [CrossRef]
- Rungta, P.; Bužek, V.; Caves, C.M.; Hillery, M.; Milburn, G.J. Universal State Inversion and Concurrence in Arbitrary Dimensions. Phys. Rev. A 2001, 64, 042315. [Google Scholar] [CrossRef]
- Vedral, V.; Plenio, M.B.; Rippin, M.A.; Knight, P.L. Quantifying Entanglement. Phys. Rev. Lett. 1997, 78, 2275–2279. [Google Scholar] [CrossRef]
- Grobe, R.; Rzazewski, K.; Eberly, J.H. Measure of Electron-Electron Correlation in Atomic Physics. J. Phys. B At. Mol. Opt. Phys. 1994, 27, L503–L508. [Google Scholar] [CrossRef]
- Law, C.K.; Eberly, J.H. Analysis and Interpretation of High Transverse Entanglement in Optical Parametric Down Conversion. Phys. Rev. Lett. 2004, 92, 127903. [Google Scholar] [CrossRef]
- Fedorov, M.V.; Efremov, M.A.; Kazakov, A.E.; Chan, K.W.; Law, C.K.; Eberly, J.H. Packet Narrowing and Quantum Entanglement in Photoionization and Photodissociation. Phys. Rev. A 2004, 69, 052117. [Google Scholar] [CrossRef]
- Brida, G.; Caricato, V.; Fedorov, M.V.; Genovese, M.; Gramegna, M.; Kulik, S.P. Characterization of Spectral Entanglement of Spontaneous Parametric-down Conversion Biphotons in Femtosecond Pulsed Regime. EPL (Europhys. Lett.) 2009, 87, 64003. [Google Scholar] [CrossRef]
- Di Lorenzo Pires, H.; Monken, C.H.; van Exter, M.P. Direct Measurement of Transverse-Mode Entanglement in Two-Photon States. Phys. Rev. A 2009, 80, 022307. [Google Scholar] [CrossRef]
- Straupe, S.S.; Ivanov, D.P.; Kalinkin, A.A.; Bobrov, I.B.; Kulik, S.P. Angular Schmidt Modes in Spontaneous Parametric Down-Conversion. Phys. Rev. A 2011, 83, 060302. [Google Scholar] [CrossRef]
- Just, F.; Cavanna, A.; Chekhova, M.V.; Leuchs, G. Transverse Entanglement of Biphotons. New J. Phys. 2013, 15, 083015. [Google Scholar] [CrossRef]
- Gómez, E.S.; Riquelme, P.; Solís-Prosser, M.A.; González, P.; Ortega, E.; Xavier, G.B.; Lima, G. Tunable Entanglement Distillation of Spatially Correlated Down-Converted Photons. Opt. Express 2018, 26, 13961. [Google Scholar] [CrossRef]
- Gu, Y.J.; Zheng, Y.Z.; Guo, G.C. Conclusive Teleportation and Entanglement Concentration. Phys. Lett. A 2002, 296, 157–160. [Google Scholar] [CrossRef]
- Yang, M.; Delgado, A.; Roa, L.; Saavedra, C. Entanglement Concentration for Non-Maximally Entangled States of Qudits. Opt. Commun. 2009, 282, 1482–1487. [Google Scholar] [CrossRef]
- Vidal, G.; Jonathan, D.; Nielsen, M.A. Approximate Transformations and Robust Manipulation of Bipartite Pure-State Entanglement. Phys. Rev. A 2000, 62, 012304. [Google Scholar] [CrossRef]
- Solís-Prosser, M.A.; Delgado, A.; Jiménez, O.; Neves, L. Parametric Separation of Symmetric Pure Quantum States. Phys. Rev. A 2016, 93, 012337. [Google Scholar] [CrossRef]
- The MathWorks Inc. Quadratic Programming-MATLAB Quadprog Documentation. Available online: https://www.mathworks.com/help/optim/ug/quadprog.html (accessed on 9 April 2023).




| Disclaimer/Publisher’s Note: The statements, opinions and data contained in all publications are solely those of the individual author(s) and contributor(s) and not of MDPI and/or the editor(s). MDPI and/or the editor(s) disclaim responsibility for any injury to people or property resulting from any ideas, methods, instructions or products referred to in the content. | 
© 2023 by the authors. Licensee MDPI, Basel, Switzerland. This article is an open access article distributed under the terms and conditions of the Creative Commons Attribution (CC BY) license (https://creativecommons.org/licenses/by/4.0/).
Share and Cite
Palma Torres, L.; Solís-Prosser, M.Á.; Jiménez, O.; Gómez, E.S.; Delgado, A. Optimal High-Dimensional Entanglement Concentration for Pure Bipartite Systems. Micromachines 2023, 14, 1207. https://doi.org/10.3390/mi14061207
Palma Torres L, Solís-Prosser MÁ, Jiménez O, Gómez ES, Delgado A. Optimal High-Dimensional Entanglement Concentration for Pure Bipartite Systems. Micromachines. 2023; 14(6):1207. https://doi.org/10.3390/mi14061207
Chicago/Turabian StylePalma Torres, Lukas, Miguel Ángel Solís-Prosser, Omar Jiménez, Esteban S. Gómez, and Aldo Delgado. 2023. "Optimal High-Dimensional Entanglement Concentration for Pure Bipartite Systems" Micromachines 14, no. 6: 1207. https://doi.org/10.3390/mi14061207
APA StylePalma Torres, L., Solís-Prosser, M. Á., Jiménez, O., Gómez, E. S., & Delgado, A. (2023). Optimal High-Dimensional Entanglement Concentration for Pure Bipartite Systems. Micromachines, 14(6), 1207. https://doi.org/10.3390/mi14061207
 
        

