A Novel L-Gate InGaAs/GaAsSb TFET with Improved Performance and Suppressed Ambipolar Effect
Abstract
:1. Introduction
2. Structure and Mechanism of the HJ-LTFET
3. Discussion of Simulation Results
3.1. Effect of Doping Concentration in Source, Channel, and Drain on Device Performance
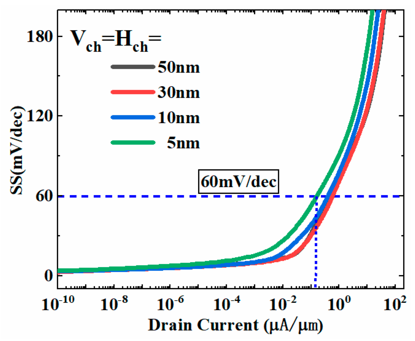
3.2. Effect of Geometric Dimensions on Device Performance
3.3. Effect of Metal Work-Function on Device Performance
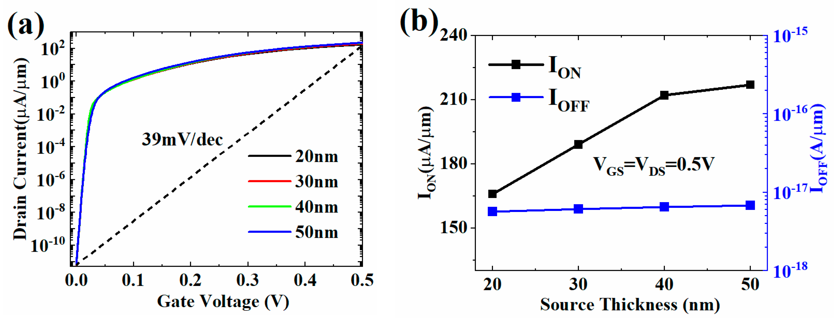
3.4. Effect of Channel Length on Device Performance
3.5. Analog/RF Performance of the HJTFET
4. Conclusions
Author Contributions
Funding
Institutional Review Board Statement
Informed Consent Statement
Data Availability Statement
Conflicts of Interest
References
- Hoefflinger, B. ITRS: The International Technology Roadmap for Semiconductors. Chips 2020. The Frontiers Collection; Springer: Berlin/Heidelberg, Germany, 2011; pp. 161–174. [Google Scholar]
- Jo, J.; Shin, C. Negative Capacitance Field Effect Transistor with Hysteresis-Free Sub-60-mV/Decade Switching. IEEE Electron Device Lett. 2016, 37, 245–248. [Google Scholar] [CrossRef]
- Kobayashi, M.; Jang, K.; Ueyama, N.; Hiramoto, T. Negative Capacitance for Boosting Tunnel FET performance. IEEE Trans. Nanotechnol. 2017, 16, 253–258. [Google Scholar] [CrossRef]
- Sun, J.; Schmidt, M.E.; Muruganathan, M.; Chong, H.M.H.; Mizuta, H. Large-scale nanoelectromechanical switches based on directly deposited nanocrystalline graphene on insulating substrates. Nanoscale 2016, 8, 6659–6665. [Google Scholar] [CrossRef] [PubMed]
- Chen, Z.X.; Yu, H.Y.; Singh, N.; Shen, N.S.; Sayanthan, R.D.; Lo, G.Q.; Kwong, D.-L. Demonstration of Tunneling FETs Based on Highly Scalable Vertical Silicon Nanowires. IEEE Electron Device Lett. 2009, 30, 754–756. [Google Scholar] [CrossRef]
- Zhang, Q.; Zhao, W.; Seabaugh, A. Low-subthreshold-swing tunnel transistors. IEEE Electron Device Lett. 2006, 27, 297–300. [Google Scholar] [CrossRef]
- Choi, W.Y.; Park, B.-G.; Lee, J.D.; Liu, T.-J.K. Tunneling Field-Effect Transistors (TFETs) With Subthreshold Swing (SS) Less Than 60 mV/dec. IEEE Electron Device Lett. 2007, 28, 743–745. [Google Scholar] [CrossRef]
- Seabaugh, A.C.; Zhang, Q. Low-Voltage Tunnel Transistors for Beyond CMOS Logic. Proc. IEEE. 2010, 98, 2095–2110. [Google Scholar] [CrossRef]
- Ionescu, A.; Riel, H. Tunnel field-effect transistors as energy-efficient electronic switches. Nature 2011, 479, 329–337. [Google Scholar] [CrossRef]
- Abdi, D.B.; Kumar, M.J. Controlling Ambipolar Current in Tunneling FETs Using Overlapping Gate-on-Drain. IEEE J. Electron Devices Soc. 2014, 2, 187–190. [Google Scholar] [CrossRef]
- Cho, S.; Lee, J.S.; Kim, K.R.; Park, B.-G.; Harris, J.S.; Kang, I.M. Analyses on Small-Signal Parameters and Radio-Frequency Modeling of Gate-All-Around Tunneling Field-Effect Transistors. IEEE Trans. Electron Devices 2011, 58, 4164–4171. [Google Scholar] [CrossRef]
- Luong, G.V.; Narimani, K.; Tiedemann, A.T.; Bernardy, P.; Trellenkamp, S.; Zhao, Q.T.; Mantl, S. Complementary Strained Si GAA Nanowire TFET Inverter with Suppressed Ambipolarity. IEEE Electron Device Lett. 2016, 37, 950–953. [Google Scholar] [CrossRef]
- Raad, B.; Nigam, K.; Sharma, D.; Kondekar, P. Dielectric and Work function Engineered TFET for Ambipolar Suppression and RF Performance Enhancement. Electron. Lett. 2016, 52, 770–772. [Google Scholar] [CrossRef]
- Kim, S.W.; Kim, J.H.; Liu, T.-J.K.; Choi, W.Y.; Park, B.-G. Demonstration of L-Shaped Tunnel Field-Effect Transistors. IEEE Trans. Electron Devices 2016, 63, 1774–1778. [Google Scholar] [CrossRef]
- Zhang, H.; Chen, S.; Liu, H.; Wang, S.; Wang, D.; Fan, X.; Chong, C.; Yin, C.; Gao, T. Polarization Gradient Effect of Negative Capacitance LTFET. Micromachines 2022, 13, 344. [Google Scholar] [CrossRef] [PubMed]
- Yang, Z. Tunnel Field-Effect Transistor With an L-Shaped Gate. IEEE Electron Device Lett. 2016, 37, 839–842. [Google Scholar] [CrossRef]
- Wang, W.; Wang, P.-F.; Zhang, C.-M.; Lin, X.; Liu, X.-Y.; Sun, Q.-Q.; Zhou, P.; Zhang, D.W. Design of U-Shape Channel Tunnel FETs With SiGe Source Regions. IEEE Trans. Electron Devices 2014, 61, 193–197. [Google Scholar] [CrossRef]
- Li, W.; Liu, H.; Wang, S.; Chen, S. Reduced Miller Capacitance in U-Shaped Channel Tunneling FET by Introducing Heterogeneous Gate Dielectric. IEEE Electron Device Lett. 2017, 38, 403–406. [Google Scholar] [CrossRef]
- Chen, S.; Liu, H.; Wang, S.; Li, W.; Wang, X.; Zhao, L. Analog/RF Performance of T-Shape Gate Dual-Source Tunnel Field-Effect Transistor. Nanoscale Res. Lett. 2018, 13, 321. [Google Scholar] [CrossRef]
- Jariwala, D.; Marks, T.; Hersam, M. Mixed-dimensional van der Waals heterostructures. Nat. Mater. 2017, 16, 170–181. [Google Scholar]
- Li, W.; Woo, J.C.S. Vertical P-TFET With a P-Type SiGe Pocket. IEEE Trans. Electron Devices 2020, 67, 1480–1484. [Google Scholar] [CrossRef]
- Kato, K.; Jo, K.-W.; Matsui, H.; Tabata, H.; Mori, T.; Morita, Y.; Matsukawa, T.; Takenaka, M.; Takagi, S. p-Channel TFET Operation of Bilayer Structures with Type-II Heterotunneling Junction of Oxide- and Group-IV Semiconductors. IEEE Trans. Electron Devices 2020, 67, 1880–1886. [Google Scholar]
- Chen, S.; Wang, S.; Liu, H.; Han, T.; Zhang, H. A high performance trench gate tunneling field effect transistor based on quasi-broken gap energy band alignment heterojunction. Nanotechnology 2022, 33, 225205. [Google Scholar]
- Han, T.; Liu, H.; Chen, S.; Wang, S.; Xie, H. TCAD Simulation of the Doping-Less TFET with Ge/SiGe/Si Hetero-Junction and Hetero-Gate Dielectric for the Enhancement of Device Performance. Coatings 2020, 10, 278. [Google Scholar]
- Wang, H.; Han, G.; Liu, Y.; Zhang, J.; Hao, Y.; Jiang, X. The performance improvement in SiGeSn/GeSn p-channel hetero Line Tunneling FET (HL-TFET). In Proceedings of the 2017 IEEE Electrical Design of Advanced Packaging and Systems Symposium (EDAPS), Haining, China, 14–16 December 2017; pp. 1–3. [Google Scholar]
- Avci, U.E.; Young, I.A. Heterojunction TFET Scaling and resonant-TFET for steep subthreshold slope at sub-9nm gate-length. In Proceedings of the 2013 IEEE International Electron Devices Meeting, Washington, DC, USA, 9–11 December 2013; pp. 4.3.1–4.3.4. [Google Scholar]
- Chen, C.; Ilatikhameneh, H.; Huang, J.Z.; Klimeck, G.; Povolotskyi, M. Impact of Body Thickness and Scattering on III–V Triple Heterojunction TFET Modeled With Atomistic Mode-Space Approximation. IEEE Trans. Electron Devices 2020, 67, 3478–3485. [Google Scholar]
- Dubey, P.K.; Kaushik, B.K. T-Shaped III-V Heterojunction Tunneling Field-Effect Transistor. IEEE Trans. Electron Devices 2017, 64, 3120–3125. [Google Scholar]
- Duan, X.; Zhang, J.; Wang, S.; Li, Y.; Xu, S.; Hao, Y. A High-Performance Gate Engineered InGaN Dopingless Tunnel FET. IEEE Trans. Electron Devices 2018, 65, 1223–1229. [Google Scholar] [CrossRef]
- Bijesh, R.; Liu, H.; Madan, H.; Mohata, D.; Li, W.; Nguyen, N.V.; Gundlach, D.; Richter, C.A.; Maier, J.; Wang, K.; et al. Demonstration of In0.9Ga0.1As/GaAs0.18Sb0.82 near broken-gap tunnel FET with ION = 740 μA/μm, GM = 70 μS/μm and gigahertz switching performance at VDs = 0.5 V. In Proceedings of the 2013 IEEE International Electron Devices Meeting, Washington, DC, USA, 9–11 December 2013; pp. 28.2.1–28.2.4. [Google Scholar]
- Ahn, D.-H.; Yoon, S.-H.; Kato, K.; Fukui, T.; Takenaka, M.; Takagi, S. Effects of ZrO2/Al2O3 Gate-Stack on the Performance of Planar-Type InGaAs TFET. IEEE Trans. Electron Devices 2019, 66, 1862–1867. [Google Scholar]
- Xie, H.; Liu, H.; Chen, S.; Han, T.; Wang, S. Electrical performance of InAs/GaAs 0.1 Sb 0.9 heterostructure junctionless TFET with dual-material gate and Gaussian-doped source. Semicond. Sci. Technol. 2020, 35, 095004. [Google Scholar]
- Sahoo, S.; Dash, S.; Mishra, G.P. Work-function modulated hetero gate charge plasma TFET to enhance the device performance. In Proceedings of the 2019 Devices for Integrated Circuit (DevIC), Kalyani, India, 23–24 March 2019; pp. 461–464. [Google Scholar]
- Boucart, K.; Ionescu, A.M. Length scaling of the double gate tunnel FET with a high-k gate dielectric. Solid State Electron. 2007, 51, 1500–1507. [Google Scholar]
- Physical Properties of Semiconductors. 2016. Available online: http://www.ioffe.ru/SVA/NSM/Semicond/ (accessed on 15 January 1999).
- Smets, Q.; Verreck, D.; Verhulst, A.S.; Rooyackers, R.; Merckling, C.; Van De Put, M.; Simoen, E.; Vandervorst, W.; Collaert, N.; Thean, V.Y.; et al. InGaAs tunnel diodes for the calibration of semiclassical and quantum mechanical band-to-band tunneling models. J. Appl. Phys. 2014, 115, 184503. [Google Scholar] [CrossRef]
- Wang, Q.; Wang, S.; Liu, H.; Li, W.; Chen, S. Analog/RF performance of L- and U-shaped channel tunneling field-effect transistors and their application as digital inverters. Jpn. J. Appl. Phys. 2017, 56, 064102. [Google Scholar]
- Gupta, S.; Baishya, S. Analog and RF Performance Evaluation of Dual Metal Double Gate High-k Stack (DMDG-HKS) MOSFETs. J. Nano-Electron. Phys. 2013, 5, 30088. [Google Scholar]













| InGaAs/InP HJ-TTFET [28] | InGaAs/InP HJ-LTFET [14,28] | Proposed InGaAs/GaAsSb HJ-LTFET | |
|---|---|---|---|
| Channel length Lch (nm) | 20 | 20 | 20 |
| Drain voltage Vds (V) | 0.5 | 0.5 | 0.5 |
| Gate voltage Vgs (V) | 0.5 | 0.5 | 0.5 |
| Source doping Ns (cm−3) | 5 × 1019 | 5 × 1019 | 2 × 1019 |
| Drain doping Nd (cm−3) | 5 × 1018 | 5 × 1018 | 1 × 1018 |
| Ion (μA/μm) | 163 | 85 | 196 |
| Ion/Ioff | 5 × 108 | 4 × 107 | 2 × 1013 |
| gm (μS/μm) | 500 | 140 | 950 |
| Cgg (fF/μm) | 1.7 | 1.0 | 2.2 |
| fT (GHz) | 46.8 | 22.3 | 68.3 |
Publisher’s Note: MDPI stays neutral with regard to jurisdictional claims in published maps and institutional affiliations. |
© 2022 by the authors. Licensee MDPI, Basel, Switzerland. This article is an open access article distributed under the terms and conditions of the Creative Commons Attribution (CC BY) license (https://creativecommons.org/licenses/by/4.0/).
Share and Cite
Ma, B.; Chen, S.; Wang, S.; Han, T.; Zhang, H.; Yin, C.; Chen, Y.; Liu, H. A Novel L-Gate InGaAs/GaAsSb TFET with Improved Performance and Suppressed Ambipolar Effect. Micromachines 2022, 13, 1474. https://doi.org/10.3390/mi13091474
Ma B, Chen S, Wang S, Han T, Zhang H, Yin C, Chen Y, Liu H. A Novel L-Gate InGaAs/GaAsSb TFET with Improved Performance and Suppressed Ambipolar Effect. Micromachines. 2022; 13(9):1474. https://doi.org/10.3390/mi13091474
Chicago/Turabian StyleMa, Boyang, Shupeng Chen, Shulong Wang, Tao Han, Hao Zhang, Chenyu Yin, Yaolin Chen, and Hongxia Liu. 2022. "A Novel L-Gate InGaAs/GaAsSb TFET with Improved Performance and Suppressed Ambipolar Effect" Micromachines 13, no. 9: 1474. https://doi.org/10.3390/mi13091474
APA StyleMa, B., Chen, S., Wang, S., Han, T., Zhang, H., Yin, C., Chen, Y., & Liu, H. (2022). A Novel L-Gate InGaAs/GaAsSb TFET with Improved Performance and Suppressed Ambipolar Effect. Micromachines, 13(9), 1474. https://doi.org/10.3390/mi13091474

