Numerical Demonstration of 800 Gbps WDM Silicon Photonic Transmitter with Sub-Decibel Surface-Normal Optical Interfaces
Abstract
:1. Introduction
2. System Design Overview
3. Component Design and Modeling
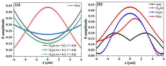
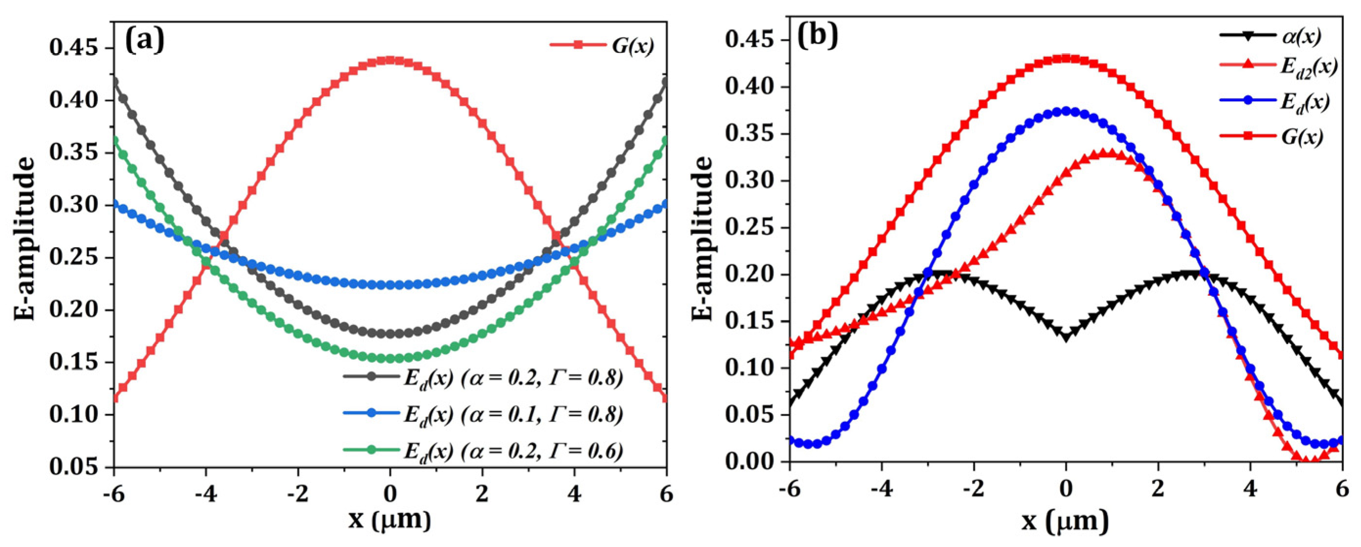
3.1. Apodized Bidirectional Grating Coupler
3.2. Mach–Zehnder Optical Modulators
3.3. Interleaved AMMI Multiplexer/Demultiplexer
4. System Modeling and Performance
5. Conclusions
Author Contributions
Funding
Acknowledgments
Conflicts of Interest
References
- Zeng, X.; Ren, H.; Fu, M.; Jiang, H.; Yi, L.; Hu, W.; Zhuge, Q. Frequency-offset-tolerant optical frequency comb-based coherent transmission for intra-datacenter interconnections. Opt. Express 2021, 29, 17522–17533. [Google Scholar] [CrossRef] [PubMed]
- Hao, Y.; Xiang, S.; Han, G.; Zhang, J.; Ma, X.; Zhu, Z.; Guo, X.; Zhang, Y.; Han, Y.; Song, Z.; et al. Recent progress of integrated circuits and optoelectronic chips. Sci. China Inf. Sci. 2021, 64, 201401. [Google Scholar] [CrossRef]
- Hao, T. Research of Optical Interconnection Technology in Datacenter Networks. J. Phys. Conf. Ser. 2020, 1710, 012001. [Google Scholar] [CrossRef]
- Haurylau, M.; Chen, G.; Chen, H.; Zhang, J.; Nelson, N.; Davide, H.; Friedman, G.; Fauchet, P. On-chip optical interconnect roadmap: Challenges an and critical directions. IEEE J. Sel. Top. Quantum Electron. 2006, 12, 1699–1705. [Google Scholar] [CrossRef]
- Zhang, L.; Chen, J.; Agrell, E.; Lin, R.; Wosinska, L. Enabling Technologies for Optical Data Center Networks: Spatial Division Multiplexing. J. Lightwave Technol. 2020, 38, 18–30. [Google Scholar] [CrossRef]
- Pinguet, T.; Analui, B.; Balmeter, E.; Guckenberger, D.; Harrison, M.; Koumans, R.; Kucharski, D.; Liang, Y.; Masini, G.; Mekis, A.; et al. Monolithically integrated high-speed CMOS photonic transceivers. In Proceedings of the 2008 5th IEEE International Conference on Group IV Photonics, Sorrento, Italy, 17–19 September 2008; pp. 362–364. [Google Scholar]
- Tan, Y.; Wu, H.; Dai, D. Silicon-Based Hybrid (de)Multiplexer for Wavelength-/Polarization-Division-Multiplexing. J. Lightwave Technol. 2018, 36, 2051–2058. [Google Scholar] [CrossRef]
- Sally, W.; Ward-Foxton, S. Silicon Photonics Reaches Prime Time; EE Times Europe: San Francisco, CA, USA, 2019. [Google Scholar]
- Liu, Y.; Wang, S.; Wang, J.; Li, X.; Yu, M.; Cai, Y. Silicon photonic transceivers in the field of optical communication. Nano Commun. Netw. 2021, 31, 100379. [Google Scholar] [CrossRef]
- Boeuf, F.; Fincato, A.; Maggi, L.; Carpentier, J.F.; Le Maitre, P.; Shaw, M.; Cremer, S.; Vulliet, N.; Baudot, C.; Monfray, S.; et al. A Silicon Photonics Technology for 400 Gbit/s Applications. In Proceedings of the 2019 IEEE International Electron Devices Meeting (IEDM), San Francisco, CA, USA, 7–11 December 2019; pp. 33.1.1–33.1.4. [Google Scholar]
- Sharma, J.; Li, H.; Xuan, Z.; Kumar, R.; Hsu, C.-M.; Sakib, M.; Liao, P.; Rong, H.; Jaussi, J.; Balamurugan, G. Silicon Photonic Micro-Ring Modulator-based 4 × 112 Gb/s O-band WDM Transmitter with Ring Photocurrent-based Thermal Control in 28 nm CMOS. In Proceedings of the 2021 Symposium on VLSI Circuits 2021, Kyoto, Japan, 13–19 June 2021; pp. 1–2. [Google Scholar]
- Shen, X.; Chen, B.; Zhu, Y.; Shi, W. Silicon photonic integrated circuits and its application in data center. Seventh Symposium on Novel Photoelectronic Detection Technology and Applications. Int. Soc. Opt. Photonics 2021, 11763, 1176380. [Google Scholar]
- Jacques, M.; Samani, A.; El-Fiky, E.; Plant, D. Silicon Photonic MZM Architectures for 200G per Lambda IM/DD Transmission. In Proceedings of the 2021 Optical Fiber Communications Conference and Exhibition (OFC), San Francisco, CA, USA, 6–10 June 2021; pp. 1–3. [Google Scholar]
- Routray, S.; Javali, A.; Sharma, L.; Gupta, J.; Sahoo, A. The New Frontiers of 800G High Speed Optical Communications. In Proceedings of the 2020 4th International Conference on Electronics, Communication and Aerospace Technology (ICECA), Coimbatore, India, 5–7 November 2020; pp. 821–825. [Google Scholar]
- Wade, M.; Anderson, E.; Ardalan, S.; Bae, W.; Beheshtian, B.; Buchbinder, S.; Chang, K.; Chao, P.; Eachempatti, H.; Frey, J.; et al. An Error-free 1 Tbps WDM Optical I/O Chiplet and Multi-wavelength Multi-port Laser. In Proceedings of the Optical Fiber Communication Conference (OFC), Washington, DC, USA, 6–11 June 2021. [Google Scholar]
- Sun, C.; Jeong, D.; Zhang, M.; Bae, W.; Zhang, C.; Bhargava, P.; Van Orden, D.; Ardalan, S.; Ramamurthy, C.; Anderson, E.; et al. TeraPHY: An O-Band WDM Electro-Optic Platform for Low Power, Terabit/s Optical I/O. In Proceedings of the 2020 IEEE Symposium on VLSI Technology 2020, Honolulu, HI, USA, 16–19 June 2020; pp. 1–2. [Google Scholar]
- Shi, T.; Su, T.; Zhang, N.; Hong, C.; Pan, D. Silicon Photonics Platform for 400G Data Center Applications. In OSA Technical Digest (Online), Proceedings of the Optical Fiber Communication Conference, San Diego, CA, USA, 11–15 March 2018; paper M3F.4; Optica Publishing Group: Washington, DC, USA, 2018. [Google Scholar]
- Atabaki, A.; Moazeni, S.; Pavanello, F.; Gevorgyan, H.; Notaros, J.; Alloatti, L.; Wadw, M.T.; Sun, C.; Kruger, S.A.; Meng, H.; et al. Integrating photonics with silicon nanoelectronics for the next generation of systems on a chip. Nature 2018, 556, 349–354. [Google Scholar] [CrossRef]
- Mekis, A.; Abdalla, S.; De Dobbelaere, P.M.; Foltz, D.; Gloeckner, S.; Hovey, S.; Jackson, S.; Liang, Y.; Mack, M.; Masini, G.; et al. Scaling CMOS photonics transceivers beyond 100 Gb/s. Optoelectronic Integrated Circuits XIV. Int. Soc. Opt. Photonics 2012, 8265, 82650A. [Google Scholar]
- Dong, P.; Chen, Y.; Duan, G.; Neilson, D. Silicon photonic devices and integrated circuits. Nanophotonics 2014, 3, 215–228. [Google Scholar] [CrossRef]
- Fang, A.; Park, H.; Cohen, O.; Jones, R.; Paniccia, M.J.; Bowers, J.E. Electrically pumped hybrid AlGaInAs-silicon evanescent laser. Opt. Express 2006, 14, 9203–9210. [Google Scholar] [CrossRef] [PubMed]
- He, M.; Xu, M.; Ren, Y.; Jian, J.; Ruan, Z.; Liu, L.; Guo, C.; Chen, H.; Yu, S.; Liu, L.; et al. High-performance hybrid silicon and lithium niobate Mach–Zehnder modulators for 100 Gbit s−1 and beyond. Nat. Photonics 2019, 13, 359–364. [Google Scholar] [CrossRef]
- Liang, D.; Fiorentino, M.; Srinivasan, S.; Bowers, J.E.; Beausoleil, R.G. Low threshold electrically-pumped hybrid silicon microring lasers. IEEE J. Sel. Top. Quantum Electron. 2011, 17, 1528–1533. [Google Scholar] [CrossRef]
- Ferrara, J.; Yang, W.; Zhu, L.; Qiao, P.; Chang-Hasnain, C. Heterogeneously integrated long-wavelength VCSEL using silicon high contrast grating on an SOI substrate. Opt. Express 2015, 23, 2512–2523. [Google Scholar] [CrossRef]
- Kaur, K.; Subramanian, A.; Cardile, P.; Verplancke, R.; Kerrebrouck, J.; Spiga, S.; Meyer, R.; Bauwelinck, J.; Baets, R.; Van Steenberge, G. Flip-chip assembly of VCSELs to silicon grating couplers via laser fabricated SU8 prisms. Opt. Express 2015, 23, 28264–28270. [Google Scholar] [CrossRef] [Green Version]
- Lu, H.; Lee, J.; Zhao, Y.; Carmelo, S.; Paolo, C.; Aidan, D.; Markus, O.; Lee, C.; Peter, O. Flip-chip integration of tilted VCSELs onto a silicon photonic integrated circuit. Opt. Express 2016, 24, 16258–16266. [Google Scholar] [CrossRef]
- Zhang, Z.; Chen, X.; Cheng, Q.; Ali, K.; Yan, X.; Huang, B.; Chen, H.; Liu, H.; Li, H.; David, T.; et al. High-efficiency apodized bidirectional grating coupler for perfectly vertical coupling. Opt. Lett. 2019, 44, 5081–5084. [Google Scholar] [CrossRef]
- Zhang, Z.; Zhu, H.; Li, H. High Efficiency and Low Upward Reflection Silicon Nitride Grating Coupler. J. Liaocheng Univ. Nat. Sci. Ed. 2018, 31, 31–36. [Google Scholar]
- Zhang, Z.; Zhang, K.; Cheng, Q.; Li, M.; Liu, T.; Huang, B.; Zhang, Z.; Liu, H.; Li, H.; Niu, P.; et al. High-Efficiency Two-Dimensional Perfectly Vertical Grating Coupler With Ultra-Low Polarization Dependent Loss and Large Fibre Misalignment Tolerance. IEEE J. Quantum Electron. 2021, 57, 8400407. [Google Scholar] [CrossRef]
- Zhang, Z.; Cheng, Q.; Liu, H.; Li, H. Simulation and Design of 4-channel Angled MMI for Coarse Wavelength Division (de)Multiplexing. J. Liaocheng Univ. Nat. Sci. Ed. 2021, 34, 33–39. [Google Scholar]
- Bakir, M.S.; Glebov, A.L.; Lee, M.G.; Kohl, P.A.; Meindl, J.D. Mechanically flexible chip-to-substrate optical interconnections using optical pillars. IEEE Trans. Adv. Packag. 2008, 31, 143–153. [Google Scholar] [CrossRef]
- Hwang, S.H.; Seo, D.D.; An, J.Y.; Kim, M.-H.; Choi, W.C.; Cho, S.R.; Lee, S.H.; Park, H.-H.; Cho, H.S. Parallel optical transmitter module using angled fibers and a V-grooved silicon optical bench for VCSEL array. IEEE Trans. Adv. Packag. 2006, 29, 457–462. [Google Scholar] [CrossRef]
- Shen, P.-K.; Chen, C.-T.; Chang, C.-C.; Hsiao, H.-L.; Chang, Y.-C.; Li, S.-L.; Tsai, H.-Y.; Lan, H.-C.; Lee, Y.-C.; Wu, M.-L. Optical interconnect transmitter based on guided-wave silicon optical bench. Opt. Express 2012, 20, 10382–10392. [Google Scholar] [CrossRef] [PubMed]
- Zaidi, S.; Yousaf, M.; Brueck, S. Grating coupling to surface plasma waves. II. Interactions between first and second-order coupling. J. Opt. Soc. Am. B 1991, 8, 1348–1359. [Google Scholar] [CrossRef]
- Troshin, B. Fabry-Perot interferometer with diffraction-scattered reflection of light. Opt. Spectrosc. 2002, 92, 285–286. [Google Scholar] [CrossRef]
- Guéguen, Y.; Ravalec, M.; Ricard, L. Upscaling: Effective Medium Theory, Numerical Methods and the Fractal Dream. Pure Appl. Geophys. 2006, 163, 1175–1192. [Google Scholar] [CrossRef]
- Wade, M.T.; Pavanello, F.; Kumar, R.; Gentry, C.M.; Atabaki, A.; Ram, R.; Stojanovic, V.; Popovic, M.A. 75% efficient wide bandwidth grating couplers in a 45 nm microelectronics CMOS process. In Proceedings of the 2015 IEEE Optical Interconnects Conference 2015, San Diego, CA, USA, 20–22 April 2015; pp. 46–47. [Google Scholar]
- Daniel, B.; Carlos, A.R.; Pavel, C.; Jens, H.S.; Wang, S.R.; Xu, D.X.; Jean, L.; Siegfried, J.; Robert, H.; Alejandro, O.; et al. High-directionality fiber-chip grating coupler with interleaved trenches and subwavelength index-matching structure. Opt. Lett. 2015, 40, 4190–4193. [Google Scholar]
- Sánchez-Postigo, A.; Halir, R.; Wangüemert-Pérez, J.G.; Ortega-Moñux, A.; Wang, S.; Vachon, M.; Schmid, J.H.; Xu, D.; Cheben, P.; Molina-Fernández, Í. Breaking the Coupling Efficiency–Bandwidth Trade-Off in Surface Grating Couplers Using Zero-Order Radiation. Laser Photonics Rev. 2021, 15, 2000542. [Google Scholar] [CrossRef]
- Daniel, B.; Carlos, A.R.; Diego, P.G.; Sylvain, G.; Vladyslav, V.; Guillaume, M.; Xavier, L.R.; Eric, C.; Delphin, M.M.; Pavel, C.; et al. L-shaped fiber-chip grating couplers with high directionality and low reflectivity fabricated with deep-UV lithography. Opt. Lett. 2017, 42, 3439–3442. [Google Scholar]
- Daniel, B.; Carlos, A.R.; Sylvain, G.; Xavier, L.R.; Pavel, C.; Cécilia, D.; Bertrand, S.; Daivid, F.; Éric, C.; Delphine, M.M.; et al. Sub-decibel silicon grating couplers based on L-shaped waveguides and engineered subwavelength metamaterials. Opt. Express 2019, 27, 26239–26250. [Google Scholar]
- Watanabe, T.; Ayata, M.; Koch, U.; Fedoryshyn, Y.; Leuthold, J. Perpendicular grating coupler based on a blazed antiback-reflection structure. J. Lightwave Technol. 2017, 35, 4663–4669. [Google Scholar] [CrossRef]
- Jelena, N.; Pavanello, F.; Wade, M.T.; Gentry, C.M.; Atabaki, A.; Alloatti, L.; Ram, R.J.; Popović, M.A. Ultra-efficient CMOS fiber-to-chip grating couplers. In Proceedings of the 2016 Optical Fiber Communications Conference and Exhibition (OFC), Anaheim, CA, USA, 20–24 March 2016; pp. 1–3. [Google Scholar]
- Xiao, X.; Li, M.; Wang, L.; Chen, D.; Yang, Q.; Yu, S. High speed silicon photonic modulators. In Proceedings of the 2017 Optical Fiber Communications Conference and Exhibition (OFC), Los Angeles, CA, USA, 19–23 March 2017; pp. 1–3. [Google Scholar]
- Zhang, Z.; Cheng, Q.; Zhang, K.; Zhang, H.; Zhang, Z.; Huang, B.; Liu, H.; Li, H.; Niu, P.; Chen, H. Vertical Fibre Interfacing Interleaved Angled MMI for Thermal-Tuning-Free Wavelength Division (de)Multiplexing and Low-Cost Fibre Packaging. J. Lightwave Technol. 2021, 39, 6260–6268. [Google Scholar] [CrossRef]
- Thalía, D.; Ali, Z.; Goran, Z.; Frederic, Y. Athermal silicon nitride angled MMI wavelength division (de)multiplexers for the near-infrared. Opt. Express 2017, 25, 27310–27320. [Google Scholar]
- Zhang, Z.; Liu, T.; Zhang, K.; Li, M.; Liu, H.; Li, H.; Niu, P.; Erdan, G. Bidirectional grating based interleaved angled MMI for high-uniformity wavelength division (de)multiplexing and surface-normal fiber packaging. Appl. Opt. 2021, 60, 5615–5622. [Google Scholar] [CrossRef] [PubMed]
- Gallagher, D.; Felici, T. Eigenmode expansion methods for simulation of optical propagation in photonics: Pros and cons. Proc. SPIE Int. Soc. Opt. Eng. 2003, 4987, 69–82. [Google Scholar]
- Sadot, D.; Dorman, G.; Gorshtein, A.; Sonkin, E.; Vidal, O. Single channel 112Gbit/sec PAM4 at 56Gbaud with digital signal processing for data centers applications. Opt. Express 2015, 23, 991–997. [Google Scholar] [CrossRef]
- Rasmussen, J.; Takahara, T.; Tanaka, T.; Kai, Y.; Nishihara, M.; Drenski, T.; Li, L.; Yan, W.; Tao, Z. Digital signal processing for short reach optical links. In Proceedings of the 2014 The European Conference on Optical Communication (ECOC), Cannes, France, 21–25 September 2014; pp. 1–3. [Google Scholar]
















| H = 220 nm, h = 160 nm, d = 230 nm | |||||||||||
|---|---|---|---|---|---|---|---|---|---|---|---|
| ABG1 | Pi(nm) | 579 | 560 | 568 | 575 | 600 | 595 * | 589 * | 592 * | 595 * | 598 * |
| FFi | 0.38 | 0.38 | 0.38 | 0.35 | 0.23 | 0.47 * | 0.51 * | 0.44 * | 0.37 * | 0.23 * | |
| ABG2 | Pi(nm) | 579 | 560 | 568 | 627 | 600 | 595 * | 589 * | 592 * | 595 * | 598 * |
| FFi | 0.38 | 0.38 | 0.38 | 0.30 | 0.23 | 0.47 * | 0.51 * | 0.44 * | 0.37 * | 0.23 * | |
| Reference | CA * | CE * (dB) | BW * (nm) | CD * (nm) | FS * | |||
|---|---|---|---|---|---|---|---|---|
| Meas | Simu | −1 dB | −3 dB | E * | D * | |||
| [37] | 15° | −1.2 | −1.1 | 78 | - | 45 | 3 | 3 |
| [38] | - | −1.3 | −1.1 | - | 52 | 110 | 2 | 1 |
| [39] | 0.5°–2.8° | - | −1 | >90 | - | <100 | 1 | 1 |
| [40] | 22° | −2.7 | −2.2 | - | 62 | 193 | 2 | 1 |
| [41] | 17° | - | −0.25 | - | - | 100 | 2 | 1 |
| [42] | 0° | −1.5 | - | - | 49 | 81 | 2 | 1 |
| [43] | 19° | −0.36 | −0.22 | - | 100 | <100 | 3 | 3 |
| This work | 0° | - | −0.54 | 37 | 75 | 130 | 1 | 2 |
| WrP = 0.3 μm, WrN = 0.1 μm, Ws = 0.125 μm | ||||||
|---|---|---|---|---|---|---|
| Doping region | P++ | N++ | P+ | N+ | P | N |
| Concentration cm−3) | 1 × 1020 | 1 × 1020 | 4 × 1018 | 4 × 1018 | 3.5 × 1017 | 6 × 1017 |
| Span (μm) | 4.75 | 4.75 | 5.625 | 5.625 | 0.425 | 0.425 |
| Wa = 8 μm, Wm = 23 μm, θ = 17.23°, Xmin = 1 μm | |||||
|---|---|---|---|---|---|
| AMMI1 | λi (nm) | 1540 | 1550 | 1560 | 1570 |
| Li (μm) | 3484 | 3454 | 3424 | 3394 | |
| AMMI2 | λi (nm) | 1545 | 1555 | 1565 | 1575 |
| Li (μm) | 3469 | 3438 | 3409 | 3380 | |
Publisher’s Note: MDPI stays neutral with regard to jurisdictional claims in published maps and institutional affiliations. |
© 2022 by the authors. Licensee MDPI, Basel, Switzerland. This article is an open access article distributed under the terms and conditions of the Creative Commons Attribution (CC BY) license (https://creativecommons.org/licenses/by/4.0/).
Share and Cite
Zhang, Z.; Li, M.; Zhang, K.; Liu, T.; Huang, B.; Jiang, H.; Liu, Y.; Wang, Q.; Xing, J.; Yuan, B.; et al. Numerical Demonstration of 800 Gbps WDM Silicon Photonic Transmitter with Sub-Decibel Surface-Normal Optical Interfaces. Micromachines 2022, 13, 251. https://doi.org/10.3390/mi13020251
Zhang Z, Li M, Zhang K, Liu T, Huang B, Jiang H, Liu Y, Wang Q, Xing J, Yuan B, et al. Numerical Demonstration of 800 Gbps WDM Silicon Photonic Transmitter with Sub-Decibel Surface-Normal Optical Interfaces. Micromachines. 2022; 13(2):251. https://doi.org/10.3390/mi13020251
Chicago/Turabian StyleZhang, Zanyun, Meixin Li, Kaixin Zhang, Tianjun Liu, Beiju Huang, Hao Jiang, Yilin Liu, Qixin Wang, Jiaming Xing, Bo Yuan, and et al. 2022. "Numerical Demonstration of 800 Gbps WDM Silicon Photonic Transmitter with Sub-Decibel Surface-Normal Optical Interfaces" Micromachines 13, no. 2: 251. https://doi.org/10.3390/mi13020251
APA StyleZhang, Z., Li, M., Zhang, K., Liu, T., Huang, B., Jiang, H., Liu, Y., Wang, Q., Xing, J., Yuan, B., Liu, H., & Niu, P. (2022). Numerical Demonstration of 800 Gbps WDM Silicon Photonic Transmitter with Sub-Decibel Surface-Normal Optical Interfaces. Micromachines, 13(2), 251. https://doi.org/10.3390/mi13020251

