Evaluation of Antifungal Properties of Titania P25
Abstract
1. Introduction
2. Materials and Methods
2.1. Preparation of Photocatalysts
2.2. Characterization of Photocatalysts
2.3. The Photocatalytic Activity for Hydrogen Evolution under UV/vis Irradiation
2.4. Anifungal Tests
2.4.1. Mycelial Growth Test
2.4.2. Enzymatic Activity
3. Results
3.1. Characterization of Photocatalysts
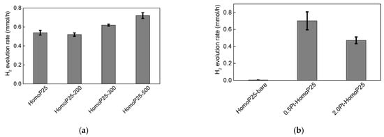
3.2. Hydrogen Evolution under UV/vis Irradiation
3.3. Anifungal Properties
4. Discussion and Conclusions
Author Contributions
Funding
Data Availability Statement
Conflicts of Interest
References
- Gonzalez-Martin, J.; Kraakman, N.J.R.; Perez, C.; Lebrero, R.; Munoz, R. A state-of-the-art review on indoor air pollution and strategies for indoor air pollution control. Chemosphere 2021, 262, 128376. [Google Scholar] [CrossRef]
- Kanchongkittiphon, W.; Mendell, M.J.; Gaffin, J.M.; Wang, G.; Phipatanakul, W. Indoor Environmental Exposures and Exacerbation of Asthma: An Update to the 2000 Review by the Institute of Medicine. Environ. Health Perspect. 2015, 123, 6–20. [Google Scholar] [CrossRef]
- Markowska-Szczupak, A.; Wang, K.L.; Rokicka, P.; Endo, M.; Wei, Z.S.; Ohtani, B.; Morawski, A.W.; Kowalska, E. The effect of anatase and rutile crystallites isolated from titania P25 photocatalyst on growth of selected mould fungi. J. Photoch. Photobio. B 2015, 151, 54–62. [Google Scholar] [CrossRef]
- Markowska-Szczupak, A.; Janda, K.; Wang, K.L.; Morawski, A.W.; Kowalska, E. Effect of Water Activity and Titania P25 Photocatalyst on Inactivation of Pathogenic Fungi—Contribution to the Protection of Public Health. Cent. Eur. J. Publ. Health 2015, 23, 267–271. [Google Scholar] [CrossRef]
- Lai, C.C.; Yu, W.L. COVID-19 associated with pulmonary aspergillosis: A literature review. J. Microbiol. Immunol. Infect. 2021, 54, 46–53. [Google Scholar] [CrossRef]
- Salas, B.; McCullagh, I.; Cranfield, K.; Fagan, C.; Geering, A.; Robb, A. COVID-19-Associated Pulmonary Aspergillosis: A Year-Long Retrospective Case Series. COVID 2022, 2, 976–982. [Google Scholar] [CrossRef]
- Dimopoulos, G.; Almyroudi, M.-P.; Myrianthefs, P.; Rello, J. COVID-19-Associated Pulmonary Aspergillosis (CAPA). J. Intensive Care Med. 2021, 1, 71–80. [Google Scholar] [CrossRef]
- Pratiwi, C.; Rahayu, W.; Lioe, H.; Herawati, D.; Broto, W.; Ambarwati, S. The effect of temperature and relative humidity for Aspergillus flavus BIO 2237 growth and aflatoxin production on soybeans. Int. Food Res. J. 2015, 22, 82–87. [Google Scholar]
- Lal, P.M.; Arif, A.; Mohan, A.; Rackimuthu, S.; Hasan, M.M.; Islam, Z.; Uday, U.; Wara, U.U.; Shaikh, M.T.A.; Essar, M.Y. COVID-19 associated pulmonary aspergillosis (CAPA): An added potential burden on India’s pre-existing fungal superinfection. Clin. Epidemiol. Glob. Health 2022, 13, 100960. [Google Scholar] [CrossRef] [PubMed]
- Navale, V.; Vamkudoth, K.R.; Ajmera, S.; Dhuri, V. Aspergillus derived mycotoxins in food and the environment: Prevalence, detection, and toxicity. Toxicol. Rep. 2021, 8, 1008–1030. [Google Scholar] [CrossRef]
- Burks, C.; Darby, A.; Gómez Londoño, L.; Momany, M.; Brewer, M.T. Azole-resistant Aspergillus fumigatus in the environment: Identifying key reservoirs and hotspots of antifungal resistance. PLoS Pathog. 2021, 17, e1009711. [Google Scholar] [CrossRef] [PubMed]
- Ohtani, B. Revisiting the fundamental physical chemistry in heterogeneous photocatalysis: Its thermodynamics and kinetics. Phys. Chem. Chem. Phys. 2014, 16, 1788–1797. [Google Scholar] [CrossRef] [PubMed]
- Herrmann, J.-M.; Disdier, J.; Pichat, P.; Malato, S.; Blanco, J. TiO2-based solar photocatalytic detoxification of water containing organic pollutants. Case studies of 2,4-dichlorophenoxyaceticacid (2,4-D) and of benzofuran. Appl. Catal. B Environ. 1998, 17, 15–23. [Google Scholar] [CrossRef]
- Zaleska, A. Doped-TiO2: A review. Rec. Patent. Eng. 2008, 2, 157–164. [Google Scholar] [CrossRef]
- Mitoraj, D.; Kisch, H. The nature of nitrogen-modified titanium dioxide photocatalysts active in visible light. Angew. Chem. Int. Ed. 2008, 47, 9975–9978. [Google Scholar] [CrossRef]
- Mitoraj, D.; Janczyk, A.; Strus, M.; Kisch, H.; Stochel, G.; Heczko, P.B.; Macyk, W. Visible light inactivation of bacteria and fungi by modified titanium dioxide. Photochem. Photobiol. Sci. 2007, 6, 642–648. [Google Scholar] [CrossRef]
- Wang, K.; Bielan, Z.; Endo-Kimura, M.; Janczarek, M.; Zhang, D.; Kowalski, D.; Zielińska-Jurek, A.; Markowska-Szczupak, A.; Ohtani, B.; Kowalska, E. On the mechanism of photocatalytic reactions on CuxO@TiO2 core–shell photocatalysts. J. Mat. Chem. A 2021, 9, 10135–10145. [Google Scholar] [CrossRef]
- Wang, K.L.; Janczarek, M.; Wei, Z.S.; Raja-Mogan, T.; Endo-Kimura, M.; Khedr, T.M.; Ohtani, B.; Kowalska, E. Morphology- and crystalline composition-governed activity of titania-based photocatalysts: Overview and perspective. Catalysts 2019, 9, 1054. [Google Scholar] [CrossRef]
- Verbruggen, S.W. TiO2 photocatalysis for the degradation of pollutants in gas phase: From morphological design to plasmonic enhancement. J. Photoch. Photobio. C 2015, 24, 64–82. [Google Scholar] [CrossRef]
- Kraeutler, B.; Bard, A.J. Heterogeneous photocatalytic preparation of supported catalysts. Photodeposition of platinum on TiO2 powder and other substrates. J. Am. Chem. Soc. 1978, 100, 4317–4318. [Google Scholar] [CrossRef]
- Pichat, P.; Mozzanega, M.N.; Disdier, J.; Herrmann, J.M. Platinum content and temperature effects on the photocatalytic hydrogen production from aliphatic alcohols over platinum/titanium dioxide. Nouv. J. Chim. 1982, 6, 559–564. [Google Scholar]
- Ohtani, B.; Osaki, H.; Nishimoto, S.; Kagiya, T. A novel photocatalytic process of amine N-alkylation by platinized semiconductor particles suspended in alcohols. J. Am. Chem. Soc. 1986, 108, 308–310. [Google Scholar] [CrossRef]
- Kowalska, E.; Remita, H.; Colbeau-Justin, C.; Hupka, J.; Belloni, J. Modification of titanium dioxide with platinum ions and clusters: Application in photocatalysis. J. Phys. Chem. C 2008, 112, 1124–1131. [Google Scholar] [CrossRef]
- Wei, Z.; Janczarek, M.; Wang, K.; Zheng, S.; Kowalska, E. Morphology-governed performance of plasmonic photocatalysts. Catalysts 2020, 10, 1070. [Google Scholar] [CrossRef]
- Zielinska-Jurek, A.; Klein, M.; Hupka, J. Enhanced visible light photocatalytic activity of Pt/I-TiO2 in a slurry system and supported on glass packing. Sep. Purif. Technol. 2017, 189, 246–252. [Google Scholar] [CrossRef]
- Zielinska-Jurek, A.; Wei, Z.S.; Janczarek, M.; Wysocka, I.; Kowalska, E. Size-controlled synthesis of Pt particles on TiO2 surface: Physicochemical characteristic and photocatalytic activity. Catalysts 2019, 9, 940. [Google Scholar] [CrossRef]
- Endo-Kimura, M.; Janczarek, M.; Bielan, Z.; Zhang, D.; Wang, K.; Markowska-Szczupak, A.; Kowalska, E. Photocatalytic and antimicrobial properties of Ag2O/TiO2 heterojunction. ChemEngineering 2019, 3, 3. [Google Scholar] [CrossRef]
- Markowska-Szczupak, A.; Ulfig, K.; Grzmil, B.; Morawski, A.W. A preliminary study on antifungal effect of TiO2-based paints in natural indoor light. Pol. J. Chem. Technol. 2010, 12, 53–57. [Google Scholar] [CrossRef]
- Thabet, S.; Simonet, F.; Lemaire, M.; Guillard, C.; Cotton, P. Impact of photocatalysis on fungal cells: Depiction of cellular and molecular effects on saccharomyces cerevisiae. Appl. Environ. Microb. 2014, 80, 7527–7535. [Google Scholar] [CrossRef]
- Thabet, S.; Weiss-Gayet, M.; Dappozze, F.; Cotton, P.; Guillard, C. Photocatalysis on yeast cells: Toward targets and mechanisms. Appl. Catal. B Environ. 2013, 140, 169–178. [Google Scholar] [CrossRef]
- Markov, S.L.; Vidakovic, A.M. Testing methods for antimicrobial activity of TiO2 photocatalyst. Acta Period. Technol. 2014, 45, 141–152. [Google Scholar] [CrossRef]
- Kim, J.Y.; Park, C.; Yoon, J. Developing a Testing Method for Antimicrobial Efficacy on TiO2 Photocatalytic Products. Environ. Eng. Res. 2008, 13, 136–140. [Google Scholar] [CrossRef]
- Wang, K.; Wei, Z.; Colbeau-Justin, C.; Nitta, A.; Kowalska, E. P25 and its components—Electronic properties and photocatalytic activities. Surf. Interfaces 2022, 31, 102057. [Google Scholar] [CrossRef]
- Wang, K.L.; Wei, Z.S.; Ohtani, B.; Kowalska, E. Interparticle electron transfer in methanol dehydrogenation on platinum-loaded titania particles prepared from P25. Catal. Today 2018, 303, 327–333. [Google Scholar] [CrossRef]
- Ohtani, B.; Prieto-Mahaney, O.O.; Li, D.; Abe, R. What is Degussa (Evonik) P25? Crystalline composition analysis, reconstruction from isolated pure particles and photocatalytic activity test. J. Photoch. Photobiol. 2010, 216, 179–182. [Google Scholar] [CrossRef]
- Prieto-Mahaney, O.O.; Murakami, N.; Abe, R.; Ohtani, B. Correlation between photocatalytic activities and structural and physical properties of titanium(IV) oxide powders. Chem. Lett. 2009, 38, 238–239. [Google Scholar] [CrossRef]
- Ohno, T.; Sarukawa, K.; Tokieda, K.; Matsumura, M. Morphology of a TiO2 photocatalyst (Degussa, P 25) consisting of anatase and rutile crystalline phases. J. Catal. 2001, 203, 82–86. [Google Scholar] [CrossRef]
- Gołąbiewska, A.; Lisowski, W.; Jarek, M.; Nowaczyk, G.; Zielińska-Jurek, A.; Zaleska, A. Visible light photoactivity of TiO2 loaded with monometallic (Au or Pt) and bimetallic (Au/Pt) nanoparticles. Appl. Surf. Sci. 2014, 317, 1131–1142. [Google Scholar] [CrossRef]
- Benz, D.; Felter, K.M.; Köser, J.; Thöming, J.; Mul, G.; Grozema, F.C.; Hintzen, H.T.; Kreutzer, M.T.; van Ommen, J.R. Assessing the Role of Pt Clusters on TiO2 (P25) on the Photocatalytic Degradation of Acid Blue 9 and Rhodamine B. J. Phys. Chem. C 2020, 124, 8269–8278. [Google Scholar] [CrossRef]
- Bielan, Z.; Sulowska, A.; Dudziak, S.; Siuzdak, K.; Ryl, J.; Zielinska-Jurek, A. Defective TiO2 core-shell magnetic photocatalyst modified with plasmonic nanoparticles for visible light-induced photocatalytic activity. Catalysts 2020, 10, 672. [Google Scholar] [CrossRef]
- Driessen, M.D.; Grassian, V.H. Photooxidation of Trichloroethylene on Pt/TiO2. J. Phys. Chem. B 1998, 102, 1418–1423. [Google Scholar] [CrossRef]
- Paszkiewicz, O.; Wang, K.; Rakoczy, R.; Kordas, M.; Leniec, G.; Kowalska, E.; Markowska-Szczupak, A. Antimicrobial properties of pristine and Pt-modified titania P25 in rotating magnetic field conditions. Chem. Eng. Process. Process Intensif. 2022, 178, 109010. [Google Scholar] [CrossRef]
- Wang, K.; Kowalska, E. Property-governed performance of platinum-modified titania photocatalysts. Front. Chem. 2022, 10, 972494. [Google Scholar] [CrossRef] [PubMed]
- Lira, E.; Wendt, S.; Huo, P.; Hansen, J.Ø.; Streber, R.; Porsgaard, S.; Wei, Y.; Bechstein, R.; Lægsgaard, E.; Besenbacher, F. The Importance of Bulk Ti3+ Defects in the Oxygen Chemistry on Titania Surfaces. J. Am. Chem. Soc. 2011, 133, 6529–6532. [Google Scholar] [CrossRef]
- Wei, Z.; Endo, M.; Wang, K.; Charbit, E.; Markowska-Szczupak, A.; Ohtani, B.; Kowalska, E. Noble metal-modified octahedral anatase titania particles with enhanced activity for decomposition of chemical and microbiological pollutants. Chem. Eng. J. 2017, 318, 121–134. [Google Scholar] [CrossRef]
- Baba, K.; Bulou, S.; Quesada-Gonzalez, M.; Bonot, S.; Collard, D.; Boscher, N.D.; Choquet, P. Significance of a noble metal nanolayer on the UV and visible light photocatalytic activity of anatase TiO2 thin films grown from a scalable PECVD/PVD approach. ACS Appl. Mater. Inter. 2017, 9, 41200–41209. [Google Scholar] [CrossRef]
- Li, Y.; Wang, C.; Zhang, C.; He, H. Formaldehyde Oxidation on Pd/TiO2 Catalysts at Room Temperature: The Effects of Surface Oxygen Vacancies. Top. Catal. 2020, 63, 810–816. [Google Scholar] [CrossRef]
- Murcia, J.J.; Hidalgo, M.C.; Navío, J.A.; Vaiano, V.; Ciambelli, P.; Sannino, D. Photocatalytic Ethanol Oxidative Dehydrogenation over Pt/TiO2: Effect of the Addition of Blue Phosphors. Int. J. Photoenergy 2012, 2012, 687262. [Google Scholar] [CrossRef]
- Song, L.; Lu, Z.; Zhang, Y.; Su, Q.; Li, L. Hydrogen-Etched TiO2−x as Efficient Support of Gold Catalysts for Water–Gas Shift Reaction. Catalysts 2018, 8, 26. [Google Scholar] [CrossRef]
- Abdelouahab Reddam, H.; Elmail, R.; Lloria, S.C.; Monrós Tomás, G.; Reddam, Z.A.; Coloma-Pascual, F. Synthesis of Fe, Mn and Cu modified TiO2 photocatalysts for photodegradation of Orange II. Bol. Soc. Esp. Ceram. Vidr. 2020, 59, 138–148. [Google Scholar] [CrossRef]
- Shu, Z.; Cai, Y.; Ji, J.; Tang, C.; Yu, S.; Zou, W.; Dong, L. Pt Deposites on TiO2 for Photocatalytic H2 Evolution: Pt Is Not Only the Cocatalyst, but Also the Defect Repair Agent. Catalysts 2020, 10, 1047. [Google Scholar] [CrossRef]
- Siuzdak, K.; Sawczak, M.; Klein, M.; Nowaczyk, G.; Jurga, S.; Cenian, A. Preparation of platinum modified titanium dioxide nanoparticles with the use of laser ablation in water. Phys. Chem. Chem. Phys. 2014, 16, 15199–15206. [Google Scholar] [CrossRef] [PubMed]
- Liu, S.; Qi, H.; Zhou, J.; Xu, W.; Niu, Y.; Zhang, B.; Zhao, Y.; Liu, W.; Ao, Z.; Kuang, Z.; et al. Encapsulation of Platinum by Titania under an Oxidative Atmosphere: Contrary to Classical Strong Metal–Support Interactions. ACS. Catal. 2021, 11, 6081–6090. [Google Scholar] [CrossRef]
- Endo, M.; Wei, Z.S.; Wang, K.L.; Karabiyik, B.; Yoshiiri, K.; Rokicka, P.; Ohtani, B.; Markowska-Szczupak, A.; Kowalska, E. Noble metal-modified titania with visible-light activity for the decomposition of microorganisms. Beilstein J. Nanotech. 2018, 9, 829–841. [Google Scholar] [CrossRef]
- Sabino, R.; Veríssimo, C.; Viegas, C.; Viegas, S.; Brandão, J.; Alves-Correia, M.; Borrego, L.-M.; Clemons, K.V.; Stevens, D.A.; Richardson, M. The role of occupational Aspergillus exposure in the development of diseases. Med. Mycol. 2019, 57, S196–S205. [Google Scholar] [CrossRef] [PubMed]
- Abdel Hameed, A.A.; Ayesh, A.M.; Abdel Razik Mohamed, M.; Abdel Mawla, H.F. Fungi and some mycotoxins producing species in the air of soybean and cotton mills: A case study. Atmos. Pollut. Res. 2012, 3, 126–131. [Google Scholar] [CrossRef]
- Noman, E.; Al-Gheethi, A.; Saphira Radin Mohamed, R.M.; Talip, B.; Othman, N.; Hossain, S.; Vo, D.-V.N.; Alduais, N. Inactivation of fungal spores from clinical environment by silver bio-nanoparticles; optimization, artificial neural network model and mechanism. Environ. Res. 2022, 204, 111926. [Google Scholar] [CrossRef]
- Godlewska-Żyłkiewicz, B.; Sawicka, S.; Karpińska, J. Removal of Platinum and Palladium from Wastewater by Means of Biosorption on Fungi Aspergillus sp. and Yeast Saccharomyces sp. Water 2019, 11, 1522. [Google Scholar] [CrossRef]
- Mukherjee, K.; Acharya, K.; Biswas, A.; Jana, N.R. TiO2 Nanoparticles Co-doped with Nitrogen and Fluorine as Visible-Light-Activated Antifungal Agents. ACS Appl. Nano Mater. 2020, 3, 2016–2025. [Google Scholar] [CrossRef]
- Mendez-Medrano, M.G.; Kowalska, E.; Endo, M.; Wang, K.; Bahena, D.; Rodriguez-Lopez, J.L.; Remita, H. Inhibition of fungal growth using modified TiO2 with core@shell structure of Ag@CuO clusters. ACS Appl. Bio Mater. 2019, 2, 5626–5633. [Google Scholar] [CrossRef]
- Krishnan, A.; Convey, P.; Gonzalez-Rocha, G.; Alias, S.A. Production of extracellular hydrolase enzymes by fungi from King George Island. Polar Biol. 2016, 39, 65–76. [Google Scholar] [CrossRef]
- Calado, T.; Venâncio, A.; Abrunhosa, L. Irradiation for Mold and Mycotoxin Control: A Review. Compr. Rev. Food Sci. Food Saf. 2014, 13, 1049–1061. [Google Scholar] [CrossRef]
- Yagyu, Y.; Sakudo, A. Current technology and applications of gas plasma for disinfection of agricultural products: Disinfection of fungal spores on Citrus unshiu by atmospheric pressure dielectric barrier discharge. In Gas Plasma Sterilization in Microbiology: Theory, Applications, Pitfalls and New Perspectives; Shintani, H., Sakudo, A., Eds.; Caister Academic Press: Norfolk, UK, 2016; pp. 116–120. [Google Scholar]
- Ji, C.; Fan, Y.; Zhao, L. Review on biological degradation of mycotoxins. Anim. Nutr. 2016, 2, 127–133. [Google Scholar] [CrossRef]
- Rogawansamy, S.; Gaskin, S.; Taylor, M.; Pisaniello, D. An Evaluation of Antifungal Agents for the Treatment of Fungal Contamination in Indoor Air Environments. Int. J. Env. Res. Pub. Health 2015, 12, 6319–6332. [Google Scholar] [CrossRef]
- Hojnik, N.; Modic, M.; Ni, Y.; Filipič, G.; Cvelbar, U.; Walsh, J.L. Effective Fungal Spore Inactivation with an Environmentally Friendly Approach Based on Atmospheric Pressure Air Plasma. Environ. Sci. Technol. 2019, 53, 1893–1904. [Google Scholar] [CrossRef]
- Escudero-Leyva, E.; Alfaro-Vargas, P.; Muñoz-Arrieta, R.; Charpentier-Alfaro, C.; Granados-Montero, M.d.M.; Valverde-Madrigal, K.S.; Pérez-Villanueva, M.; Méndez-Rivera, M.; Rodríguez-Rodríguez, C.E.; Chaverri, P.; et al. Tolerance and Biological Removal of Fungicides by Trichoderma Species Isolated From the Endosphere of Wild Rubiaceae Plants. Front. Agron. 2022, 3, 772170. [Google Scholar] [CrossRef]







| No | Enzyme | Substrate |
|---|---|---|
| 1. | Control | |
| 2. | Alkaline phosphatase | 2-naphtyl phosphate |
| 3. | Esterase (C4) | 2-naphtyl butyrate |
| 4. | Esterase Lipase (C8) | 2-naphtyl caprylate |
| 5. | Lipase (C14) | 2-naphtyl myristate |
| 6. | Leucine arylamidase | L-leucyl-2-naphthylamide |
| 7. | Valine arylamidase | L-valyl-2-naphthylamide |
| 8. | Cystine arylamidase | L-valyl-2-naphthylamide |
| 9. | Trypsin | N-benzoyl-DL-arginine-2-naphtylamide |
| 10. | α-chymotrypsin | N-glutatyl-phenylalanine-2-naphthylamide |
| 11. | Acid phosphatase | 2-naphthyl phosphate |
| 12. | Naphthol-AS-BI-phosphohydrolase | Naphthol-AS-BI-phosphate |
| 13. | α-galactosidase | 6-Br-2-naphthyl-αD-galactopyranoside |
| 14. | β-galactosidase | 2-naphthyl-βD-galactopyranoside |
| 15. | β-glucuronidase | Naphthol-AS-BI-βD-glucuronide |
| 16. | α-glucosidase | 2-naphthyl-αD-glucopyranoside |
| 17. | β-glucosidase | 6-Br-2-naphthyl- βD-glucopyranoside |
| 18. | N-acetyl-β-glucosaminidase | 1-naphthyl-N-acetyl-βD-glucosamide |
| 19. | α-mannosidase | 6-Br-2-naphthyl- αD-mannopyranoside |
| 20. | α-fucosidase | 2-naphthyl-αL-fucopyranoside |
| Sample Name | Crystalline Composition (%) | Particle Size (nm) | ||
|---|---|---|---|---|
| Anatase | Rutile | NC | ||
| HomoP25 | 77.0 | 13.8 | 9.2 | 119.1 |
| HomoP25-200 | 74.8 | 13.6 | 11.6 | 141.6 |
| HomoP25-300 | 71.2 | 13.4 | 15.4 | 187.8 |
| HomoP25-500 | 69.3 | 14.4 | 16.3 | 521.9 |
| Sample Name | Oxygen (1 s) | Titanium (2p3/2) | O/Ti Molar Ratio | |||
|---|---|---|---|---|---|---|
| O-H | Ti-OH/C=O | TiO2 | Ti4+ | Ti3+ | ||
| HomoP25 | 8.6 | 34.6 | 56.8 | 96.4 | 3.6 | 2.6 |
| HomoP25-200 | 14.1 | 33.1 | 52.8 | 93.4 | 6.6 | 2.9 |
| HomoP25-300 | 10.4 | 37.8 | 51.8 | 95.8 | 4.2 | 2.9 |
| HomoP25-500 | 2.1 | 51.7 | 46.2 | 95.1 | 4.9 | 3.7 |
| Photocatalysts Name | Negative Control | HomoP25 | HomoP25-200 | HomoP25-300 | HomoP25-500 | 0.5Pt-HomoP25 | 2.0Pt-HomoP25 | Negative Control | HomoP25 | HomoP25-200 | HomoP25-300 | HomoP25-500 | 0.5Pt-HomoP25 | 2.0Pt-HomoP25 | Negative Control | HomoP25 | HomoP25-200 | HomoP25-300 | HomoP25-500 | 0.5Pt-HomoP25 | 2.0Pt-HomoP25 |
|---|---|---|---|---|---|---|---|---|---|---|---|---|---|---|---|---|---|---|---|---|---|
| irradiation [min] | 60 | 120 | 180 | ||||||||||||||||||
![]() A. niger [logCFU/mL] | 7.6 | 7.1 | 7.0 | 0.0 | 0.0 | 7.3 | 7.2 | 7.6 | 6.9 | 6.7 | 0.0 | 0.0 | 7.1 | 7.1 | 7.5 | 6.6 | 6.5 | 0.0 | 0.0 | 6.8 | 6.4 |
![]() A. fumigatus [logCFU/mL] | 7.6 | 7.6 | 6.8 | 5.1 | 0.0 | 7.4 | 6.2 | 7.6 | 7.0 | 6.2 | 0.0 | 0.0 | 7.2 | 6.1 | 7.6 | 7.0 | 6.1 | 0.0 | 0.0 | 6.9 | 5.8 |
Publisher’s Note: MDPI stays neutral with regard to jurisdictional claims in published maps and institutional affiliations. |
© 2022 by the authors. Licensee MDPI, Basel, Switzerland. This article is an open access article distributed under the terms and conditions of the Creative Commons Attribution (CC BY) license (https://creativecommons.org/licenses/by/4.0/).
Share and Cite
Wang, K.; Paszkiewicz, O.; Vincent, M.; Henkiel, P.; Kowalski, D.; Kowalska, E.; Markowska-Szczupak, A. Evaluation of Antifungal Properties of Titania P25. Micromachines 2022, 13, 1851. https://doi.org/10.3390/mi13111851
Wang K, Paszkiewicz O, Vincent M, Henkiel P, Kowalski D, Kowalska E, Markowska-Szczupak A. Evaluation of Antifungal Properties of Titania P25. Micromachines. 2022; 13(11):1851. https://doi.org/10.3390/mi13111851
Chicago/Turabian StyleWang, Kunlei, Oliwia Paszkiewicz, Mewin Vincent, Patrycja Henkiel, Damian Kowalski, Ewa Kowalska, and Agata Markowska-Szczupak. 2022. "Evaluation of Antifungal Properties of Titania P25" Micromachines 13, no. 11: 1851. https://doi.org/10.3390/mi13111851
APA StyleWang, K., Paszkiewicz, O., Vincent, M., Henkiel, P., Kowalski, D., Kowalska, E., & Markowska-Szczupak, A. (2022). Evaluation of Antifungal Properties of Titania P25. Micromachines, 13(11), 1851. https://doi.org/10.3390/mi13111851



