Millimeter-Wave Permittivity Variations of an HR Silicon Substrate from the Photoconductive Effect
Abstract
1. Introduction
2. Microwave Material Parameters Extraction from a Bistatic Experimental Setup
2.1. Permittivity Extraction Procedure
2.2. Experimental Setup
3. Microwave Permittivity, Conductivity, and Photoconductivity Definitions in Semiconducting Materials
3.1. Analytic Modeling of Permittivity
3.2. Analytic Modeling of the Permittivity, including Photoconductive Parameters
4. Experimental Microwave Permittivity Extraction of the HR Silicon Substrate
4.1. Under Dark Conditions
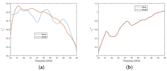
4.2. Under Optical Illumination
4.3. Physical Interpretation from Drude Model
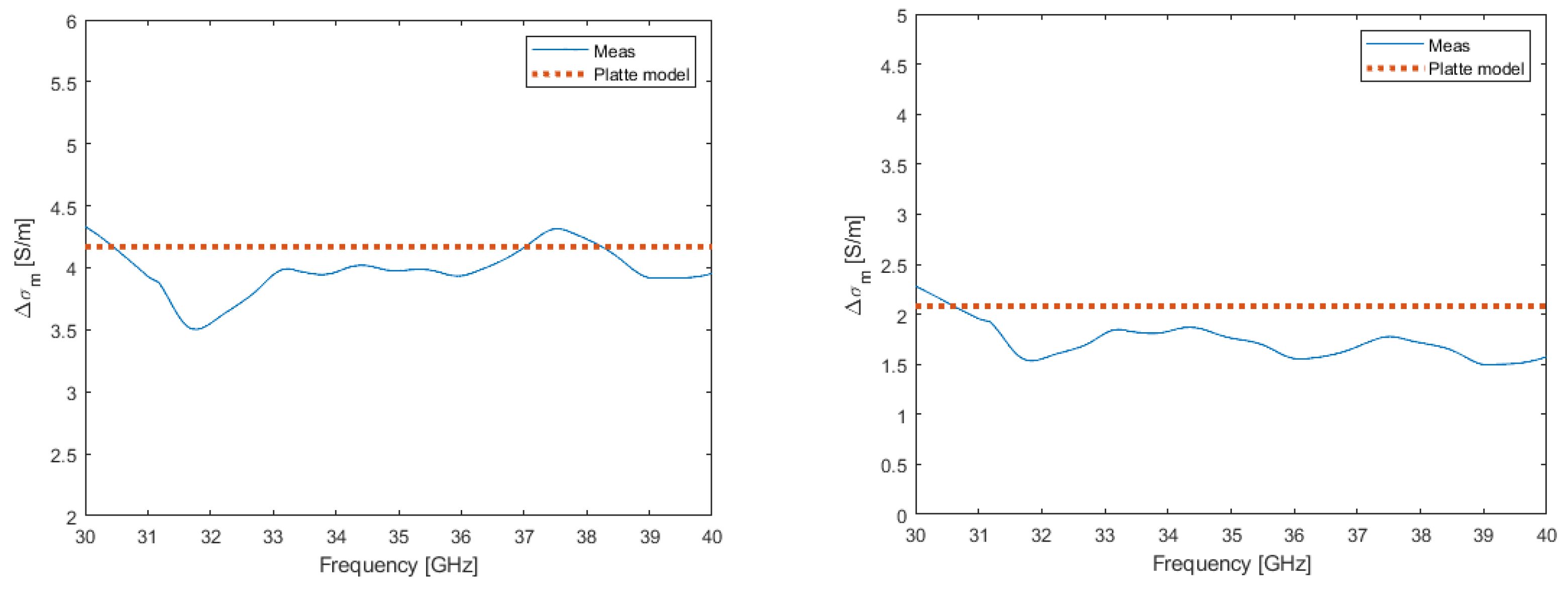
5. Experimental Microwave Photoconductivity Extraction under Optical Illumination
6. Discussion and Conclusions
Author Contributions
Funding
Data Availability Statement
Conflicts of Interest
References
- Holm, J.D.; Champlin, K.S. Microwave conductivity of silicon and germanium. J. Appl. Phys. 1968, 39, 275–284. [Google Scholar] [CrossRef]
- Boone, D.E.; Jackson, C.H.; Swecker, A.T.; Hergenrather, J.S.; Wenger, K.S.; Kokhan, O.; Terzić, B.; Melnikov, I.; Ivanov, I.N.; Stevens, E.C.; et al. Probing the Wave Nature of Light-Matter Interaction. World J. Condens. Matter Phys. 2018, 8, 62–89. [Google Scholar] [CrossRef][Green Version]
- Makarov, S.V.; Zalogina, A.S.; Tajik, M.; Zuev, D.A.; Rybin, M.V.; Kuchmizhak, A.A.; Juodkazis, S.; Kivshar, Y. Light-Induced Tuning and Reconfiguration of Nanophotonic Structures. Laser Photonics Rev. 2017, 11, 1700108. [Google Scholar] [CrossRef]
- Helme, B.G.M. Measurements of the microwave properties of materials. In Proceedings of the IEE Colloquium on Industrial Uses of Microwaves, London, UK, 20 June 1990; pp. 1–7. [Google Scholar]
- Wu, R.; Qian, M. A Simplified Power Transmission Method Used for Measuring the Complex Conductivity of Superconducting Thin Films. Rev. Sci. Instrum. 1997, 68, 155–158. [Google Scholar] [CrossRef]
- Hyde Milo, W.; Havrilla, M.J.; Crittenden, P.E. A Novel Method for Determining the R-Card Sheet Impedance Using the Transmission Coefficient Measured in Free-Space or Waveguide Systems. IEEE Trans. Instrum. Meas. 2009, 58, 2228–2233. [Google Scholar] [CrossRef]
- Booth, J.C.; Wu, D.H.; Anlage, S.M. A Broadband Method for the Measurement of the Surface Impedance of Thin Films at Microwave Frequencies. Rev. Sci. Instrum. 1994, 65, 2082–2090. [Google Scholar] [CrossRef]
- Krupka, J. Microwave measurements of electromagnetic properties of materials. Materials 2021, 14, 5097. [Google Scholar] [CrossRef]
- Baba, N.H.; Awang, Z.; Ghodgaonkar, D.K. A free-space measurement of complex permittivity of doped silicon wafers using transmission coefficient at microwave frequencies. In Proceedings of the Antem/URSI 2004—10th International Symposium on Antenna Technology and Applied Electromagnetics and URSI Conference, Ottawa, ON, Canada, 20–23 July 2004. [Google Scholar] [CrossRef]
- Baba, N.H.; Khalid, M.F.A.; Awang, R.A. 3D simulation and measurements of free space characterization for silicon wafers at K-band. In Proceedings of the 2007 Asia-Pacific Conference on Applied Electromagnetics Proceedings, APACE2007, Melaka, Malaysia, 4–6 December 2007. [Google Scholar] [CrossRef]
- Krupka, J.; Kamiński, P.; Kozłowski, R.; Surma, B.; Dierlamm, A.; Kwestarz, M. Dielectric properties of semi-insulating silicon at microwave frequencies. Appl. Phys. Lett. 2015, 107, 082105. [Google Scholar] [CrossRef]
- Afsar, M.N.; Chi, H. Millimeter wave complex refractive index, complex dielectric permittivity and loss tangent of extra high purity and compensated silicon. Int. J. Infrared Millim. Waves 1994, 15, 1181–1188. [Google Scholar] [CrossRef]
- Seeger, K. Microwave dielectric constants of silicon, gallium arsenide, and quartz. J. Appl. Phys. 1988, 63, 5439–5443. [Google Scholar] [CrossRef]
- Elani, U.A. The effective carrier lifetime measurement in silicon: The conductivity modulation method. J. King Saud Univ.-Sci. 2010, 22, 9–13. [Google Scholar] [CrossRef]
- Mliles, M.E.; Kouari, Y.E.; Hajjaji, A. Ab initio study of electron and phonon coupling in silicon. In IOP Conference Series: Materials Science and Engineering; IOP Publishing: Bristol, UK, 2020; Volume 948. [Google Scholar] [CrossRef]
- Yurchenko, V.; Navruz, T.S.; Ciydem, M.; Altintas, A. Microwave Whispering-Gallery-Mode Photoconductivity Measurement of Recombination Lifetime in Silicon. Adv. Electromagn. 2019, 8, 101–107. [Google Scholar] [CrossRef]
- Baker-Jarvis, J.; Geyer, R.G.; Grosvenor, J.H.; Janezic, M.D.; Jones, C.A.; Riddle, B.; Weil, C.M.; Krupka, J. Dielectric Characterization of Low-Loss Materials: A Comparison of Techniques. IEEE Trans. Dielectr. Electr. Insul. 2007, 5, 571–577. [Google Scholar] [CrossRef]
- Champlin, K.S.; Glover, G.H. Influence of waveguide contact on measured complex permittivity of semiconductors. J. Appl. Phys. 1966, 37, 2355–2360. [Google Scholar] [CrossRef]
- Gamlath, C.D.; Benton, D.; Cryan, M.J. Microwave characterisation of optically illuminated silicon. In Proceedings of the 2012 14th International Conference on Transparent Optical Networks (ICTON), Coventry, UK, 2–5 July 2012. [Google Scholar] [CrossRef]
- Tripon-Canseliet, C.; Faci, S.; Pagies, A.; Magnin, V.; Formont, S.; Decoster, D.; Chazelas, J. Microwave On-Off Ratio Enhancement of GaAs Photoconductive Switches at Nanometer Scale. J. Lightwave Technol. 2011, 30, 3576–3579. [Google Scholar] [CrossRef]
- Kinasewitz, R.T.; Senitzky, B. Investigation of the complex permittivity of n-type silicon at millimeter wavelengths. J. Appl. Phys. 1983, 54, 3394–3398. [Google Scholar] [CrossRef]
- Baba, N.H.; Awang, Z.; Ghodgaonkar, D.K. A free-space method for measurement of complex permittivity of silicon wafers at microwave frequencies. In Proceedings of the Asia-Pacific Conference on Applied Electromagnetics, APACE 2003, Shah Alam, Malaysia, 12–14 August 2003; pp. 119–123. [Google Scholar] [CrossRef]
- Fenner, R.A.; Rothwell, E.J.; Frasch, L.L. A Comprehensive Analysis of Free-Space and Guided-Wave Techniques for Extracting the Permeability and Permittivity of Materials Using Reflection-Only Measurements. Radio Sci. 2012, 47, 1–13. [Google Scholar] [CrossRef]
- Gamlath, C.D.; Benton, D.M.; Cryan, M.J. Investigation of an Optically Reconfigurable Plasma for Silicon Based Microwave Applications. In Proceedings of the 2013 European Microwave Conference, Nuremberg, Germany, 6–10 October 2013. [Google Scholar] [CrossRef]
- Yang, X.; Liu, X.; Yu, S.; Gan, L.; Zhou, J.; Zeng, Y. Permittivity of undoped silicon in the millimeter wave range. Electronics 2019, 8, 886. [Google Scholar] [CrossRef]
- Grabtchak, S.; Cocivera, M. Microwave response due to light-induced changes in the complex dielectric constant of semiconductors. Phys. Rev. B-Condens. Matter Mater. Phys. 1998, 58, 4701–4707. [Google Scholar] [CrossRef]
- Ding, L.; Shih, I.; Pavlasek, T.J.; Champness, C.H. Measurements of the Photo-Induced Complex Permittivity of Si, Ge, and Te at 9 GHz. IEEE Trans. Microw. Theory Tech. 1984, 32, 151–157. [Google Scholar] [CrossRef]
- Tripon-Canseliet, C.; Faci, S.; Decoster, D.; Pagies, A.; Yoon, S.F.; Pey, K.L.; Chazelas, J. Nano photoconductive switches for microwave applications. In Proceedings of the Quantum Sensing and Nanophotonic Devices X, San Francisco, CA, USA, 3–7 February 2013; Volume 8631. [Google Scholar]
- Vaucher, A.M.; Striffler, C.D.; Lee, C.H. Theory of Optically Controlled Millimeter-Wave Phase Shifters. IEEE Trans. Microw. Theory Tech. 1983, 31, 209–216. [Google Scholar] [CrossRef]
- Platte, W.; Sauerer, B. Optically CW-Induced Losses in Semiconductor Coplanar Waveguides. IEEE Trans. Microw. Theory Tech. 1989, 37, 139–149. [Google Scholar] [CrossRef]
- Ulbricht, R.; Hendry, E.; Shan, J.; Heinz, T.F.; Bonn, M. Carrier dynamics in semiconductors studied with time-resolved terahertz spectroscopy. Rev. Mod. Phys. 2011, 83, 543. [Google Scholar] [CrossRef]
- Elhawil, A.; Neve, C.R.; Olbrechts, B.; Huynen, I.; Raskin, J.-P.; Poesen, G.; Stiens, J.; Vounckx, R. Contactless monitoring of Si substrate permittivity and resistivity from microwave to millimeter wave frequencies. Microw. Opt. Technol. Lett. 2010, 52, 2500–2505. [Google Scholar] [CrossRef]
- Kannegulla, A.; Shams, M.I.B.; Liu, L.; Cheng, L.J. Photo-induced spatial modulation of THz waves: Opportunities and limitations. Opt. Express 2015, 23, 32098–32112. [Google Scholar] [CrossRef]






| L | K | S | ||||
|---|---|---|---|---|---|---|
| (nm) | (s) | (m) | (cm/s) | m | (m/V) | (a.u) |
| 971 | 5.8 | 116 | 400 | 0.1 | 0.7 | |
| 806 | 0.8 | 39 | 100 | 0.09 | 0.8 |
| OPD | ||
|---|---|---|
| (W/cm2) | (a.u) | (a.u) |
| 0.24 | 0.68 | 1.46 |
| 0.36 | 1.23 | 2.27 |
| 0.47 | 1.47 | 3.45 |
| OPD | ||
|---|---|---|
| (W/cm2) | (a.u) | (a.u) |
| 0.24 | 0.29 | 0.55 |
| 0.36 | 0.61 | 1.18 |
| 0.47 | 0.75 | 1.75 |
| OPD | ||
|---|---|---|
| (W/cm2) | (S/m) | (S/m) |
| 0.24 | 3.95 | 4.17 |
| 0.36 | 6.5 | 6.29 |
| 0.47 | 9.07 | 8.17 |
| OPD | ||
|---|---|---|
| (W/cm2) | (S/m) | (S/m) |
| 0.24 | 1.57 | 2.08 |
| 0.36 | 3.33 | 3.41 |
| 0.47 | 4.61 | 4.73 |
Publisher’s Note: MDPI stays neutral with regard to jurisdictional claims in published maps and institutional affiliations. |
© 2022 by the authors. Licensee MDPI, Basel, Switzerland. This article is an open access article distributed under the terms and conditions of the Creative Commons Attribution (CC BY) license (https://creativecommons.org/licenses/by/4.0/).
Share and Cite
Tripon-Canseliet, C.; Chazelas, J. Millimeter-Wave Permittivity Variations of an HR Silicon Substrate from the Photoconductive Effect. Micromachines 2022, 13, 1782. https://doi.org/10.3390/mi13101782
Tripon-Canseliet C, Chazelas J. Millimeter-Wave Permittivity Variations of an HR Silicon Substrate from the Photoconductive Effect. Micromachines. 2022; 13(10):1782. https://doi.org/10.3390/mi13101782
Chicago/Turabian StyleTripon-Canseliet, Charlotte, and Jean Chazelas. 2022. "Millimeter-Wave Permittivity Variations of an HR Silicon Substrate from the Photoconductive Effect" Micromachines 13, no. 10: 1782. https://doi.org/10.3390/mi13101782
APA StyleTripon-Canseliet, C., & Chazelas, J. (2022). Millimeter-Wave Permittivity Variations of an HR Silicon Substrate from the Photoconductive Effect. Micromachines, 13(10), 1782. https://doi.org/10.3390/mi13101782

