Device Architecture for Visible and Near-Infrared Photodetectors Based on Two-Dimensional SnSe2 and MoS2: A Review
Abstract
1. Introduction
2. Photodetector Sensing Mechanisms
2.1. Photoconductive and Photo-Gating Effect
2.2. Photo-Electrochemical Effect
2.3. Photovoltaic Effect
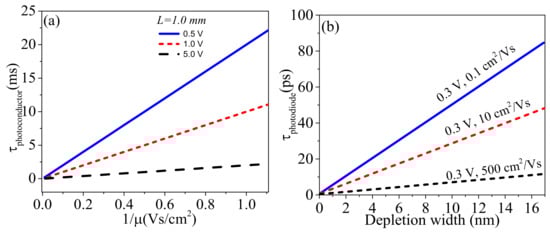
2.3.1. Metal-Semiconductor Configuration (Schottky/Rectifying Metal Contacts)
2.3.2. Semiconductor-Semiconductor Configuration (p-n, n+-n++, or p+-p++ Junctions)
2.4. Photo-Thermoelectric and Photo-Bolometric Effects
2.5. Piezo-Phototronic Effect
3. Figures of Merit for Photodetectors
3.1. Responsivity (R)
3.2. External Quantum Efficiency (EQE)
3.3. Response/Recovery Time
3.4. Noise Equivalent Power (NEP):
3.5. Detectivity (D*)
4. Performance of Photodetectors Based on SnSe2
5. Performance of Photodetectors Based on MoS2
6. Summary and Perspective
Author Contributions
Funding
Conflicts of Interest
References
- Huo, N.; Konstantatos, G. Recent Progress and Future Prospects of 2D-Based Photodetectors. Adv. Mater. 2018, 30, e1801164. [Google Scholar] [CrossRef] [PubMed]
- Liu, Y.; Wang, J.; Huang, H.; Yun, Y.; Meng, D.; Yang, Q.; Zhai, X.; Fu, Z.; Knize, R.J.; Lu, Y. Ferroelectric Polarization-Assisted Sensitive and High-Power Photodetector in Broad Ultraviolet-to-Visible Range. Adv. Opt. Mater. 2017, 5, 1700158. [Google Scholar] [CrossRef]
- Zhou, X.; Gan, L.; Tian, W.; Zhang, Q.; Jin, S.; Li, H.; Bando, Y.; Golberg, D.; Zhai, T. Ultrathin SnSe2 Flakes Grown by Chemical Vapor Deposition for High-Performance Photodetectors. Adv. Mater. 2015, 27, 8035–8041. [Google Scholar] [CrossRef]
- Xie, C.; Mak, C.; Tao, X.; Yan, F. Photodetectors Based on Two-Dimensional Layered Materials Beyond Graphene. Adv. Funct. Mater. 2017, 27, 1603886. [Google Scholar] [CrossRef]
- Mukhokosi, E.P.; Krupanidhi, S.B.; Nanda, K.K. An Extrinsic Approach Toward Achieving Fast Response and Self-Powered Photodetector. Phys. Status Solidi A 2018, 215, 1800470. [Google Scholar] [CrossRef]
- Buscema, M.; Island, J.O.; Groenendijk, D.J.; Blanter, S.I.; Steele, G.A.; van der Zant, H.S.J.; Castellanos-Gomez, A. Photocurrent generation with two-dimensional van der Waals semiconductors. Chem. Soc. Rev. 2015, 44, 3691–3718. [Google Scholar] [CrossRef] [PubMed]
- Huynh, W.U.; Dittmer, J.J.; Teclemariam, N.; Milliron, D.; Alivisatos, A.P.; Barnham, K. Charge transport in hybrid nanorod-polymer composite photovoltaic cells. Phys. Rev. B 2003, 67, 115326. [Google Scholar] [CrossRef]
- Yu, Y.; Zhang, Z.; Yin, X.; Kvit, A.; Liao, Q.; Kang, Z.; Yan, X.; Zhang, Y.; Wang, X. Enhanced photoelectrochemical efficiency and stability using a conformal TiO2 film on a black silicon photoanode. Nat. Energy 2017, 2, 17045. [Google Scholar] [CrossRef]
- Low, T.; Engel, M.; Steiner, M.; Avouris, P. Origin of photoresponse in black phosphorus phototransistors. Phys. Rev. B Condens. Matter Mater. Phys. 2014, 90, 081408. [Google Scholar] [CrossRef]
- Mueller, T.; Xia, F.; Freitag, M.; Tsang, J.; Avouris, P. Role of contacts in graphene transistors: A scanning photocurrent study. Phys. Rev. B Condens. Matter Mater. Phys. 2009, 79, 245430. [Google Scholar] [CrossRef]
- Lin, P.; Yan, X.; Zhang, Z.; Shen, Y.; Zhao, Y.; Bai, Z.; Zhang, Y. Self-powered UV photosensor based on PEDOT:PSS/ZnO micro/nanowire with strain-modulated photoresponse. ACS Appl. Mater. Interfaces 2013, 5, 3671–3676. [Google Scholar] [CrossRef] [PubMed]
- Zhang, Y.; Yan, X.; Yang, Y.; Huang, Y.; Liao, Q.; Qi, J. Scanning probe study on the piezotronic effect in ZnO nanomaterials and nanodevices. Adv. Mater. 2012, 24, 4647–4655. [Google Scholar] [CrossRef] [PubMed]
- Zhang, Z.; Liao, Q.; Yu, Y.; Wang, X.; Zhang, Y. Enhanced photoresponse of ZnO nanorods-based self-powered photodetector by piezotronic interface engineering. Nano Energy 2014, 9, 237–244. [Google Scholar] [CrossRef]
- Zhang, Y.; Yang, Y.; Gu, Y.; Yan, X.; Liao, Q.; Li, P.; Zhang, Z.; Wang, Z. Performance and service behavior in 1-D nanostructured energy conversion devices. Nano Energy 2015, 14, 30–48. [Google Scholar] [CrossRef]
- Geng, D.; Yang, H.Y. Recent Advances in Growth of Novel 2D Materials: Beyond Graphene and Transition Metal Dichalcogenides. Adv. Mater. 2018, 30, e1800865. [Google Scholar] [CrossRef]
- Novoselov, K.S.; Geim, A.K.; Morozov, S.V.; Jiang, D.; Zhang, Y.; Dubonos, S.V.; Grigorieva, I.V.; Firsov, A.A. Electric Field Effect in Atomically Thin Carbon Films. Sci. Vol. 2004, 306, 666–669. [Google Scholar] [CrossRef]
- Novoselov, K.S.; Fal’ko, V.I.; Colombo, L.; Gellert, P.R.; Schwab, M.G.; Kim, K. A roadmap for graphene. Nature 2012, 490, 192–200. [Google Scholar] [CrossRef]
- Mittendorff, M.; Winnerl, S.; Kamann, J.; Eroms, J.; Weiss, D.; Schneider, H.; Helm, M. Ultrafast graphene-based broadband THz detector. Appl. Phys. Lett. 2013, 103, 021113. [Google Scholar] [CrossRef]
- Xia, F.; Mueller, T.; Lin, Y.M.; Valdes-Garcia, A.; Avouris, P. Ultrafast graphene photodetector. Nat. Nanotechnol. 2009, 4, 839–843. [Google Scholar] [CrossRef]
- Bao, Q.; Loh, K.P. Graphene photonics, plasmonics, and broadband optoelectronic devices. ACS Nano 2012, 6, 3677–3694. [Google Scholar] [CrossRef]
- Avouris, P. Graphene: Electronic and photonic properties and devices. Nano Lett. 2010, 10, 4285–4294. [Google Scholar] [CrossRef]
- Bonaccorso, F.; Sun, Z.; Hasan, T.; Ferrari, A.C. Graphene photonics and optoelectronics. Nat. Photonics 2010, 4, 611–622. [Google Scholar] [CrossRef]
- Mueller, T.; Xia, F.; Avouris, P. Graphene photodetectors for high-speed optical communications. Nat. Photonics 2010, 4, 297–301. [Google Scholar] [CrossRef]
- Eng, P.C.; Song, S.; Ping, B. State-of-the-art photodetectors for optoelectronic integration at telecommunication wavelength. Nanophotonics 2015, 4, 277–302. [Google Scholar] [CrossRef]
- Nguyen, B.H.; Nguyen, V.H. Advances in graphene-based optoelectronics, plasmonics and photonics. Adv. Nat. Sci. Nanosci. Nanotechnol. 2016, 7, 013002. [Google Scholar] [CrossRef]
- Feng, W.; Zheng, W.; Chen, X.; Liu, G.; Cao, W.; Hu, P. Solid-state reaction synthesis of a InSe/CuInSe2 lateral p-n heterojunction and application in high performance optoelectronic devices. Chem. Mater. 2015, 27, 983–989. [Google Scholar] [CrossRef]
- Sun, Z.; Chang, H. Graphene and Graphene-like Two-Dimensional Materials in Photodetection: Mechanisms and Methodology. ACS Nano 2014, 8, 4133–4156. [Google Scholar] [CrossRef]
- Zhang, B.Y.; Liu, T.; Meng, B.; Li, X.; Liang, G.; Hu, X.; Wang, Q.J. Broadband high photoresponse from pure monolayer graphene photodetector. Nat. Commun. 2013, 7, 1811. [Google Scholar] [CrossRef]
- De Fazio, D.; Goykhman, I.; Yoon, D.; Bruna, M.; Eiden, A.; Milana, S.; Sassi, U.; Barbone, M.; Dumcenco, D.; Marinov, K.; et al. High Responsivity, Large-Area Graphene/MoS2 Flexible Photodetectors. ACS Nano 2016, 10, 8252–8262. [Google Scholar] [CrossRef]
- Goykhman, I.; Sassi, U.; Desiatov, B.; Mazurski, N.; Milana, S.; de Fazio, D.; Eiden, A.; Khurgin, J.; Shappir, J.; Levy, U.; et al. On-Chip Integrated, Silicon-Graphene Plasmonic Schottky Photodetector with High Responsivity and Avalanche Photogain. Nano Lett. 2016, 16, 3005–3013. [Google Scholar] [CrossRef]
- Late, D.J.; Huang, Y.K.; Liu, B.; Acharya, J.; Shirodkar, S.N.; Luo, J.; Yan, A.; Charles, D.; Waghmare, U.V.; Dravid, V.P.; et al. Sensing behavior of atomically thin-layered MoS2 transistors. ACS Nano 2013, 7, 4879–4891. [Google Scholar] [CrossRef] [PubMed]
- Lopez-Sanchez, O.; Lembke, D.; Kayci, M.; Radenovic, A.; Kis, A. Ultrasensitive photodetectors based on monolayer MoS2. Nat. Nanotechnol. 2013, 8, 497–501. [Google Scholar] [CrossRef] [PubMed]
- Ramakrishna Matte, H.S.S.; Gomathi, A.; Manna, A.K.; Late, D.J.; Datta, R.; Pati, S.K.; Rao, C.N.R. MoS2 and WS2 analogues of graphene. Angew. Chem. Int. Ed. 2010, 49, 4059–4062. [Google Scholar] [CrossRef] [PubMed]
- Mak, K.F.; Lee, C.; Hone, J.; Shan, J.; Heinz, T.F. Atomically thin MoS2: A new direct-gap semiconductor. Phys. Rev. Lett. 2010, 105, 136805. [Google Scholar] [CrossRef]
- Choi, W.; Cho, M.Y.; Konar, A.; Lee, J.H.; Cha, G.B.; Hong, S.C.; Kim, S.; Kim, J.; Jena, D.; Joo, J.; et al. High-detectivity multilayer MoS2 phototransistors with spectral response from ultraviolet to infrared. Adv. Mater. 2012, 24, 5832–5836. [Google Scholar] [CrossRef]
- Gong, C.; Huang, C.; Miller, J.; Cheng, L.; Hao, Y.; Cobden, D.; Kim, J.; Ruoff, R.S.; Wallace, R.M.; Cho, K.; et al. Metal Contacts on Physical Vapor Deposited Monolayer MoS2. ACS Nano 2013, 7, 11350–11357. [Google Scholar] [CrossRef] [PubMed]
- Dai, J.; Zeng, X.C. Bilayer phosphorene: Effect of stacking order on bandgap and its potential applications in thin-film solar cells. J. Phys. Chem. Lett. 2014, 5, 1289–1293. [Google Scholar] [CrossRef] [PubMed]
- Chang, Y.; Zhang, O.W.; Zhu, O.Y.; Han, Y.; Pu, J.; Chang, J.; Hsu, W. Monolayer MoSe2 Grown by Chemical Vapor Deposition for Fast Photodetection. ACS Nano 2014, 8, 8582–8590. [Google Scholar] [CrossRef]
- Perea-Lõpez, N.; Elías, A.L.; Berkdemir, A.; Castro-Beltran, A.; Gutiérrez, H.R.; Feng, S.; Lv, R.; Hayashi, T.; Lõpez-Urías, F.; Ghosh, S.; et al. Photosensor device based on few-layered WS2 films. Adv. Funct. Mater. 2013, 23, 5511–5517. [Google Scholar] [CrossRef]
- Enyashin, A.N.; Yadgarov, L.; Houben, L.; Popov, I.; Weidenbach, M.; Tenne, R.; Bar-Sadan, M.; Seifert, G. New Route for Stabilization of 1T-WS2 and MoS2 Phases. J. Phys. Chem. C 2011, 115, 24586–24591. [Google Scholar] [CrossRef]
- Gutiérrez, H.R.; Perea-López, N.; Elías, A.L.; Berkdemir, A.; Wang, B.; Lv, R.; López-Urías, F.; Crespi, V.H.; Terrones, H.; Terrones, M. Extraordinary room-temperature photoluminescence in triangular WS2 monolayers. Nano Lett. 2013, 13, 3447–3454. [Google Scholar] [CrossRef] [PubMed]
- Xia, J.; Huang, X.; Liu, L.Z.; Wang, M.; Wang, L.; Huang, B.; Zhu, D.D.; Li, J.J.; Gu, C.Z.; Meng, X.M. CVD synthesis of large-area, highly crystalline MoSe2 atomic layers on diverse substrates and application to photodetectors. Nanoscale 2014, 6, 8949–8955. [Google Scholar] [CrossRef] [PubMed]
- Huang, C.; Wu, S.; Sanchez, A.M.; Peters, J.J.P.; Beanland, R.; Ross, J.S.; Rivera, P.; Yao, W.; Cobden, D.H.; Xu, X. Lateral heterojunctions within monolayer MoSe2–WSe2 semiconductors. Nat. Mater. 2014, 13, 1096–1101. [Google Scholar] [CrossRef] [PubMed]
- Huo, N.; Yang, S.; Wei, Z.; Li, S.-S.; Xia, J.-B.; Li, J. Photoresponsive and Gas Sensing Field-Effect Transistors based on Multilayer WS2 Nanoflakes. Sci. Rep. 2015, 4, 5209. [Google Scholar] [CrossRef]
- Feng, W.; Zhou, X.; Tian, W.Q.; Zheng, W.; Hu, P. Performance improvement of multilayer InSe transistors with optimized metal contacts. Phys. Chem. Chem. Phys. 2015, 17, 3653–3658. [Google Scholar] [CrossRef]
- Tamalampudi, S.R.; Lu, Y.Y.; Kumar, U.R.; Sankar, R.; Liao, C.D.; Moorthy, B.K.; Cheng, C.H.; Chou, F.C.; Chen, Y.T. High performance and bendable few-layered InSe photodetectors with broad spectral response. Nano Lett. 2014, 14, 2800–2806. [Google Scholar] [CrossRef]
- Feng, W.; Zheng, W.; Cao, W.; Hu, P. Back Gated Multilayer InSe Transistors with Enhanced Carrier Mobilities via the Suppression of Carrier Scattering from a Dielectric Interface. Adv. Mater. 2014, 26, 6587–6593. [Google Scholar] [CrossRef]
- Late, D.J.; Liu, B.; Luo, J.; Yan, A.; Matte, H.S.S.R.; Grayson, M.; Rao, C.N.R.; Dravid, V.P. GaS and GaSe ultrathin layer transistors. Adv. Mater. 2012, 24, 3549–3554. [Google Scholar] [CrossRef]
- Zhou, Y.; Zhou, Y.; Nie, Y.; Liu, Y.; Yan, K.; Hong, J.; Jin, C.; Yin, J.; Liu, Z.; Peng, H. Epitaxy and Photoresponse of Two-Dimensional GaSe Crystals on Flexible Transparent Mica Sheets. ACS Nano 2014, 8, 1485–1490. [Google Scholar] [CrossRef]
- Jacobs-Gedrim, R.B.; Shanmugam, M.; Jain, N.; Durcan, C.A.; Murphy, M.T.; Murray, T.M.; Matyi, R.J.; Moore, R.L.; Yu, B. Extraordinary Photoresponse in Two-Dimensional In2Se3 Nanosheets. ACS Nano 2014, 8, 514–521. [Google Scholar] [CrossRef]
- Tian, H.; Chin, M.L.; Najmaei, S.; Guo, Q.; Xia, F.; Wang, H.; Dubey, M. Optoelectronic devices based on two-dimensional transition metal dichalcogenides. Nano Res. 2016, 9, 1–18. [Google Scholar] [CrossRef]
- Wang, F.; Wang, Z.; Yin, L.; Cheng, R.; Wang, J.; Wen, Y.; Shifa, T.A.; Wang, F.; Zhang, Y.; Zhan, X.; et al. 2D library beyond graphene and transition metal dichalcogenides: A focus on photodetection. Chem. Soc. Rev. 2018, 47, 6296–6341. [Google Scholar] [CrossRef]
- Kufer, D.; Nikitskiy, I.; Lasanta, T.; Navickaite, G.; Koppens, F.H.L.; Konstantatos, G. Hybrid 2D-0D MoS2-PbS quantum dot photodetectors. Adv. Mater. 2015, 27, 176–180. [Google Scholar] [CrossRef] [PubMed]
- Roy, K.; Padmanabhan, M.; Goswami, S.; Sai, T.P.; Ramalingam, G.; Raghavan, S.; Ghosh, A. Graphene-MoS2 hybrid structures for multifunctional photoresponsive memory devices. Nat. Nanotechnol. 2013, 8, 826–830. [Google Scholar] [CrossRef] [PubMed]
- Wang, Z.L.; Wu, W. Piezotronics and piezo-phototronics: Fundamentals and applications. Natl. Sci. Rev. 2014, 1, 62–90. [Google Scholar] [CrossRef]
- Wang, Z.L. Progress in piezotronics and piezo-phototronics. Adv. Mater. 2012, 24, 4632–4646. [Google Scholar] [CrossRef] [PubMed]
- Wang, Z.L. Preface to the special section on piezotronics. Adv. Mater. 2012, 24, 4630–4631. [Google Scholar] [CrossRef]
- Xia, W.; Dai, L.; Yu, P.; Tong, X.; Song, W.; Zhang, G.; Wang, Z.M. Recent Progress in Van Der Waals Heterojunctions. Nanoscale 2017, 9, 4324–4365. [Google Scholar] [CrossRef]
- Sze, S.M.; Ng, K.K. Physics of Semiconductor Devices, 3rd ed.; Wiley-Interscience: New York, NY, USA, 2010; ISBN 0471143235. [Google Scholar]
- Gawȩda, S.; Kowalik, R.; Kwolek, P.; MacYk, W.; Mech, J.; Oszajca, M.; Podborska, A.; Szaciłowski, K. Nanoscale digital devices based on the photoelectrochemical photocurrent switching effect: Preparation, properties and applications. Isr. J. Chem. 2011, 51, 36–55. [Google Scholar] [CrossRef]
- Nandjou, F.; Haussener, S. Degradation in photoelectrochemical devices: Review with an illustrative case study. J. Phys. D Appl. Phys. 2017, 50, 124002. [Google Scholar] [CrossRef]
- Pessoa, R.S.; Fraga, M.A.; Santos, L.V.; Massi, M.; Maciel, H.S. Nanostructured thin films based on TiO2 and/or SiC for use in photoelectrochemical cells: A review of the material characteristics, synthesis and recent applications. Mater. Sci. Semicond. Process. 2015, 29, 56–68. [Google Scholar] [CrossRef]
- Szaciłowski, K.; Macyk, W. Photoelectrochemical photocurrent switching effect: A new platform for molecular logic devices. Chimia (Aarau) 2007, 61, 831–834. [Google Scholar] [CrossRef]
- Serna, M.I.; Hasan, S.M.N.; Nam, S.; El Bouanani, L.; Moreno, S.; Choi, H.; Alshareef, H.N.; Minary-Jolandan, M.; Quevedo-Lopez, M.A. Low-Temperature Deposition of Layered SnSe2 for Heterojunction Diodes. Adv. Mater. Interfaces 2018, 5, 1800128. [Google Scholar] [CrossRef]
- Shimada, T.; Ohuchi, F.S.; Parkinson, B.A. Work Function and Photothreshold of Layered Metal Dichalcogenides. Jpn. J. Appl. Phys. 1994, 33, 2696–2698. [Google Scholar] [CrossRef]
- Mukhokosi, E.P.; Roul, B.; Krupanidhi, S.B.; Nanda, K.K. Towards fast and highly responsive SnSe2 based photodiode by exploiting the mobility of the counter semiconductor. ACS Appl. Mater. Interfaces 2019, 11, 6184–6194. [Google Scholar] [CrossRef]
- Xu, X.; Gabor, N.M.; Alden, J.S.; van der Zande, A.M.; McEuen, P.L. Photo-thermoelectric effect at a graphene interface junction. Nano Lett. 2010, 10, 562–566. [Google Scholar] [CrossRef]
- Richards, P.L. Bolometers for infrared and millimeter waves. J. Appl. Phys. 1994, 76, 1–24. [Google Scholar] [CrossRef]
- Koppens, F.H.L.; Mueller, T.; Avouris, P.; Ferrari, A.C.; Vitiello, M.S.; Polini, M. Photodetectors based on graphene, other two-dimensional materials and hybrid systems. Nat. Nanotechnol. 2014, 9, 780–793. [Google Scholar] [CrossRef]
- Huang, Y.; Xu, K.; Wang, Z.X.; Shifa, T.A.; Wang, Q.S.; Wang, F.; Jiang, C.; He, J. Designing the shape evolution of SnSe2 nanosheets and their optoelectronic properties. Nanoscale 2015, 7, 17375–17380. [Google Scholar] [CrossRef]
- Mukhokosi, E.P.; Krupanidhi, S.B.; Nanda, K.K. Band Gap Engineering of Hexagonal SnSe2 Nanostructured Thin Films for Infra-Red Photodetection. Sci. Rep. 2017, 7, 15215. [Google Scholar] [CrossRef]
- Gonzalez, J.M.; Oleynik, I.I. Layer-dependent properties of SnS2 and SnSe2 novel two-dimensional materials. Phys. Rev. B 2016, 94, 125443. [Google Scholar] [CrossRef]
- Schlaf, R.; Pettenkofer, C.; Jaegermann, W. Band lineup of a SnS2/SnSe2/SnS2 semiconductor quantum well structure prepared by van der Waals epitaxy. J. Appl. Phys. 1999, 85, 6550. [Google Scholar] [CrossRef]
- Guo, P.; Luo, Y.W.; Jia, Y. Tuning band gap and optical properties of SnX2 nanosheets: Hybrid functional studies. Mod. Phys. Lett. B 2016, 30, 1650120. [Google Scholar] [CrossRef]
- Evans, B.L.; Hazelwood, R.A. Optical and electrical properties of SnSe2. J. Phys. D Appl. Phys. 2002, 2, 1507–1516. [Google Scholar] [CrossRef]
- Lin, Z.; Mccreary, A.; Briggs, N.; Park, Y.W.; Jerng, S.; Jeon, J.H.; Roy, S.B.; Akbar, K.; Kim, J. Molecular beam epitaxy of large-area SnSe2 with monolayer thickness fluctuation. 2D Mater. 2017, 4, 014006. [Google Scholar] [CrossRef]
- Barrios-Salgado, E.; Nair, M.T.S.; Nair, P.K. Thin films of n-type SnSe2 produced from chemically deposited p-type SnSe. Thin Solid Films 2016, 598, 149–155. [Google Scholar] [CrossRef]
- Julien, C.; Eddrief, M.; Samaras, I.; Balkanski, M. Optical and electrical characterizations of SnSe, SnS2 and SnSe2 single crystals. Mater. Sci. Eng. B 1992, 15, 70–72. [Google Scholar] [CrossRef]
- Amalraj, L.; Jayachandran, M.; Sanjeeviraja, C. Preparation and characterization of tin diselenide thin film by spray pyrolysis technique. Mater. Res. Bull. 2004, 39, 2193–2201. [Google Scholar] [CrossRef]
- Guo, C.; Tian, Z.; Xiao, Y.; Mi, Q.; Xue, J. Field-effect transistors of high-mobility few-layer SnSe2. Appl. Phys. Lett. 2016, 109, 203104. [Google Scholar] [CrossRef]
- Yu, P.; Yu, X.; Lu, W.; Lin, H.; Sun, L.; Du, K.; Liu, F.; Fu, W.; Zeng, Q.; Shen, Z.; et al. Fast Photoresponse from 1T Tin Diselenide Atomic Layers. Adv. Funct. Mater. 2016, 26, 137–145. [Google Scholar] [CrossRef]
- Wu, J.; Hu, Z.; Jin, Z.; Lei, S.; Guo, H.; Chatterjee, K.; Zhang, J.; Yang, Y.; Li, B.; Liu, Y.; et al. Spiral Growth of SnSe2 Crystals by Chemical Vapor Deposition. Adv. Mater. Interfaces 2016, 3, 1600383. [Google Scholar] [CrossRef]
- Zhou, X.; Zhou, N.; Li, C.; Song, H.; Zhang, Q.; Hu, X.; Gan, L.; Li, H.; Lü, J.; Luo, J.; et al. Vertical heterostructures based on SnSe2/MoS2 for high performance photodetectors. 2D Mater. 2017, 4, 025048. [Google Scholar] [CrossRef]
- Pawbake, A.S.; Date, A.; Jadkar, S.R.; Late, D.J. Temperature Dependent Raman Spectroscopy and Sensing Behavior of Few Layer SnSe2 Nanosheets. Chemistry Select 2016, 1, 5380–5387. [Google Scholar] [CrossRef]
- Podzorov, V.; Gershenson, M.E.; Kloc, C.; Zeis, R.; Bucher, E. High-mobility field-effect transistors based on transition metal dichalcogenides High-mobility field-effect transistors based on transition metal dichalcogenides. Appl. Phys. Lett. 2004, 84, 3301–3303. [Google Scholar] [CrossRef]
- Movva, H.C.P.; Rai, A.; Kang, S.; Kim, K.; Fallahazad, B.; Taniguchi, T.; Watanabe, K.; Tutuc, E.; Banerjee, S.K. High-Mobility Holes in Dual-Gated WSe2 field effect transistors. ACS Nano 2015, 9, 10402–10410. [Google Scholar] [CrossRef]
- Chen, C.; Wu, C.; Pu, J.; Chiu, M.; Kumar, P.; Takenobu, T.; Li, L. Hole mobility enhancement and p-doping in monolayer WSe2 by gold decoration Hole mobility enhancement and p-doping in monolayer WSe2 by gold decoration. 2D Mater. 2014, 1, 034001. [Google Scholar] [CrossRef]
- Fang, H.; Chuang, S.; Chang, T.C.; Takei, K.; Takahashi, T.; Javey, A. High-Performance Single Layered WSe2 p-FETs with Chemically Doped Contacts. Nano Lett. 2012, 12, 3788–3792. [Google Scholar] [CrossRef]
- Liu, W.; Kang, J.; Sarkar, D.; Khatami, Y.; Jena, D.; Banerjee, K. Role of Metal Contacts in Designing High-Performance Monolayer n-Type WSe2 Field Effect Transistors. Nano Lett. 2013, 13, 1983–1990. [Google Scholar] [CrossRef]
- Chuang, H.; Tan, X.; Ghimire, N.J.; Perera, M.M.; Chamlagain, B.; Cheng, M.M.; Yan, J.; Mandrus, D.; Toma, D. High Mobility WSe 2 p- and n-Type Field-Effect Transistors Contacted by Highly Doped Graphene for Low-Resistance Contacts. Nano Lett. 2014, 14, 3594–3601. [Google Scholar] [CrossRef]
- Wu, Z.; Luo, Z.; Shen, Y.; Zhao, W.; Wang, W.; Nan, H.; Guo, X.; Sun, L.; Wang, X.; You, Y.; et al. Defects as a factor limiting carrier mobility in WSe2: A spectroscopic investigation. Nano Res. 2016, 9, 3622–3631. [Google Scholar] [CrossRef]
- Murali, K.; Majumdar, K. Self-Powered, Highly Sensitive, High-Speed Photodetection Using ITO/WSe2/SnSe2 Vertical Heterojunction. IEEE Trans. Electron. Devices 2018, 65, 4141–4148. [Google Scholar] [CrossRef]
- Lin, M.; Liu, L.; Lan, Q.; Tan, X.; Dhindsa, K.S.; Zeng, P.; Naik, V.M. Mobility enhancement and highly efficient gating of monolayer MoS2 transistors with polymer electrolyte. J. Phys. D Appl. Phys. 2012, 45, 345102. [Google Scholar] [CrossRef]
- Zheng, J.; Yan, X.; Lu, Z.; Qiu, H.; Xu, G.; Zhou, X. High-Mobility Multilayered MoS2 Flakes with Low Contact Resistance Grown by Chemical Vapor Deposition. Adv. Mater. 2017, 29, 1604540. [Google Scholar] [CrossRef] [PubMed]
- Pradhan, N.R.; Rhodes, D.; Zhang, Q.; Talapatra, S.; Terrones, M.; Ajayan, P.M. Intrinsic carrier mobility of multi-layered MoS2 field-effect transistors on SiO2. Appl. Phys. Lett. 2013, 102, 123105. [Google Scholar] [CrossRef]
- Bao, W.; Cai, X.; Kim, D.; Sridhara, K.; Fuhrer, M.S. High mobility ambipolar MoS2 field-effect transistors: Substrate and dielectric effects High mobility ambipolar MoS2 field-effect transistors: Substrate and dielectric effects. Appl. Phys. Lett. 2013, 102, 042104. [Google Scholar] [CrossRef]
- Perera, M.M.; Lin, M.; Chuang, H.; Chamlagain, B.P.; Wang, C.; Tan, X.; Cheng, M.M.; Toma, D. Improved Carrier Mobility in. ACS Nano 2013, 7, 4449–4458. [Google Scholar] [CrossRef]
- Chang, C.; Li, H.; Shi, Y.; Zhang, H.; Lai, C.; Li, L. Growth of Large-Area and Highly Crystalline MoS2 Thin Layers on Insulating Substrates. Nano Lett. 2012, 12, 1538–1544. [Google Scholar] [CrossRef]
- Cai, Y.; Zhang, G.; Zhang, Y. Polarity-Reversed Robust Carrier Mobility in Monolayer MoS2 Nanoribbons. J. Am. Chem. Soc. 2014, 136, 6269–6275. [Google Scholar] [CrossRef]
- Rai, A.; Movva, H.C.P.; Banerjee, S.K.; Roy, A.; Taneja, D.; Chowdhury, S. Progress in Contact, Doping and Mobility Engineering of MoS2: An Atomically Thin. Crystals 2018, 8, 316. [Google Scholar] [CrossRef]
- Choi, Y.; Kim, H.; Yang, J.; Shin, S.W.; Um, S.H.; Lee, S.; Kang, M.S.; Cho, J.H. Proton-Conductor-Gated MoS2 Transistors with Room Temperature Electron Mobility of >100 cm2 V−1 s−1. Chem. Mater. 2018, 30, 4527–4535. [Google Scholar] [CrossRef]
- Shao, P.; Zhao, H.; Cao, H.; Wang, X.; Pang, Y. Enhancement of carrier mobility in MoS2 field effect transistors by a SiO2 protective layer. Appl. Phys. Lett. 2016, 108, 203105. [Google Scholar] [CrossRef]
- Jariwala, D.; Sangwan, V.K.; Late, D.J.; Johns, J.E.; Dravid, V.P.; Marks, T.J.; Lauhon, J.; Hersam, M.C. Band-like transport in high mobility unencapsulated single-layer MoS2 transistors Band-like transport in high mobility unencapsulated single-layer MoS2 transistors. Appl. Phys. Lett. 2013, 102, 173107. [Google Scholar] [CrossRef]
- Wu, W.; De, D.; Chang, S.; Wang, Y.; Peng, H.; Bao, J. High mobility and high on/off ratio field-effect transistors based on chemical vapor deposited single-crystal MoS2 grains. Appl. Phys. Lett. 2013, 102, 142106. [Google Scholar] [CrossRef]
- Manoj, K.; Sanju, R.; Animesh, P.; Kuldeep, S.G.; Sudhir, H.; Preetam, S.; Singh, V.N. Highly responsive, low-bias operated SnSe2 nanostructured thin film for trap-assisted NIR photodetector. J. Alloy. Compd. 2020, 838, 155384. [Google Scholar] [CrossRef]
- Radisavljevic, B.; Radenovic, A.; Brivio, J.; Giacometti, V.; Kis, A. Single-layer MoS2 transistors. Nat. Nanotechnol. 2011, 6, 147–150. [Google Scholar] [CrossRef]
- Yin, Z.; Li, H.; Li, H.; Jiang, L.; Shi, Y.; Sun, Y.; Lu, G.; Zhang, Q.; Chen, X.; Zhang, H. Single-layer MoS2 phototransistors. ACS Nano 2012, 6, 74–80. [Google Scholar] [CrossRef]
- Song, X.; Liu, X.; Yu, D.; Huo, C.; Ji, J.; Li, X.; Zhang, S.; Zou, Y.; Zhu, G.; Wang, Y.; et al. Boosting Two-Dimensional MoS2/CsPbBr3 Photodetectors via Enhanced Light Absorbance and Interfacial Carrier Separation. ACS Appl. Mater. Interfaces 2018, 10, 2801–2809. [Google Scholar] [CrossRef]
- Huang, Y.; Zhuge, F.; Hou, J.; Lv, L.; Luo, P.; Zhou, N.; Gan, L.; Zhai, T. Van der Waals Coupled Organic Molecules with Monolayer MoS2 for Fast Response Photodetectors with Gate-Tunable Responsivity. ACS Nano 2018, 12, 4062–4073. [Google Scholar] [CrossRef]
- Peng, Z.-Y.; Xu, J.-L.; Zhang, J.-Y.; Gao, X.; Wang, S.-D. Solution-Processed High-Performance Hybrid Photodetectors Enhanced by Perovskite/MoS2 Bulk Heterojunction. Adv. Mater. Interfaces 2018, 5, 1800505. [Google Scholar] [CrossRef]
- Islam, A.; Lee, J.; Feng, P.X.-L. Atomic Layer GaSe/MoS2 van der Waals Heterostructure Photodiodes with Low Noise and Large Dynamic Range. ACS Photonics 2018, 5, 2693–2700. [Google Scholar] [CrossRef]
- Li, M.; Chen, J.-S.; Routh, P.K.; Zahl, P.; Nam, C.-Y.; Cotlet, M. Distinct Optoelectronic Signatures for Charge Transfer and Energy Transfer in Quantum Dot-MoS2 Hybrid Photodetectors Revealed by Photocurrent Imaging Microscopy. Adv. Funct. Mater. 2018, 28, 1707558. [Google Scholar] [CrossRef]
- Vu, Q.A.; Lee, J.H.; Nguyen, V.L.; Shin, Y.S.; Lim, S.C.; Lee, K.; Heo, J.; Park, S.; Kim, K.; Lee, Y.H.; et al. Tuning Carrier Tunneling in van der Waals Heterostructures for Ultrahigh Detectivity. Nano Lett. 2017, 17, 453–459. [Google Scholar] [CrossRef] [PubMed]
- Wang, X.; Wang, P.; Wang, J.; Hu, W.; Zhou, X.; Guo, N.; Huang, H.; Sun, S.; Shen, H.; Lin, T.; et al. Ultrasensitive and Broadband MoS2 Photodetector Driven by Ferroelectrics. Adv. Mater. 2015, 27, 6575–6581. [Google Scholar] [CrossRef] [PubMed]
- Zeng, J.; Li, X.; Wu, Y.; Yang, D.; Sun, Z.; Song, Z.; Wang, H.; Zeng, H. Space-Confined Growth of CsPbBr3 Film Achieving Photodetectors with High Performance in All Figures of Merit. Adv. Funct. Mater. 2018, 28, 1804394. [Google Scholar] [CrossRef]
- Yang, Z.; Wang, M.; Qiu, H.; Yao, X.; Lao, X.; Xu, S.; Lin, Z.; Sun, L.; Shao, J. Engineering the Exciton Dissociation in Quantum-Confined 2D CsPbBr3 Nanosheet Films. Adv. Funct. Mater. 2018, 28, 1705908. [Google Scholar] [CrossRef]
- Stoumpos, C.C.; Malliakas, C.D.; Peters, J.A.; Liu, Z.; Sebastian, M.; Im, J.; Chasapis, T.C.; Wibowo, A.C.; Chung, D.Y.; Freeman, A.J.; et al. Crystal Growth of the Perovskite Semiconductor CsPbBr3: A New Material for High-Energy Radiation Detection. Cryst. Growth Des. 2013, 13, 2722–2727. [Google Scholar] [CrossRef]
- Yang, B.; Zhang, F.; Chen, J.; Yang, S.; Xia, X.; Pullerits, T. Ultrasensitive and Fast All-Inorganic Perovskite-Based Photodetector via Fast Carrier Diffusion. Adv. Mater. 2017, 29, 1703758. [Google Scholar] [CrossRef]
- Huo, C.; Liu, X.; Wang, Z.; Song, X.; Zeng, H. High-Performance Low-Voltage-Driven Phototransistors through CsPbBr3-2D Crystal van der Waals Heterojunctions. Adv. Opt. Mater. 2018, 6, 1800152. [Google Scholar] [CrossRef]
- Pfuetzner, S.; Mickel, C.; Jankowski, J.; Hein, M.; Meiss, J.; Schuenemann, C.; Elschner, C.; Levin, A.A.; Rellinghaus, B.; Leo, K.; et al. The influence of substrate heating on morphology and layer growth in C60: ZnPc bulk heterojunction solar cells. Org. Electron. 2011, 12, 435–441. [Google Scholar] [CrossRef]
- Ohmori, Y.; Itoh, E.; Miyairi, K. Photovoltaic properties of phthalocyanine based p–n diode evaporated onto titanium dioxide. Thin Solid Films 2006, 499, 369–373. [Google Scholar] [CrossRef]
- Maennig, B.; Pfeiffer, M.; Nollau, A.; Zhou, X.; Leo, K.; Simon, P. Controlled p-type doping of polycrystalline and amorphous organic layers: Self-consistent description of conductivity and field-effect mobility by a microscopic percolation model. Phys. Rev. B 2001, 64, 195208. [Google Scholar] [CrossRef]
- Wang, L. The Nature of Electron Mobility in Hybrid Perovskite CH3 NH3 PbI3. Nano Lett. 2017, 17, 3646–3654. [Google Scholar]
- Dong, Q.; Fang, Y.; Shao, Y.; Qiu, J.; Cao, L.; Huang, J. Electron-hole diffusion lengths >175 μm in solution-grown CH3NH3PbI3 single crystals. Science (80-) 2015, 347, 967–970. [Google Scholar] [CrossRef] [PubMed]
- Milot, R.L.; Eperon, G.E.; Snaith, H.J.; Johnston, M.B.; Herz, L.M. Temperature-Dependent Charge-Carrier Dynamics in CH3NH3PbI3 Perovskite Thin Films. Adv. Funct. Mater. 2015, 25, 6218–6227. [Google Scholar] [CrossRef]
- Hasegawa, M.; Hirayama, Y.; Ohno, Y.; Maehashi, K.; Matsumoto, K. Characterization of reduced graphene oxide field-effect transistor and its application to biosensor. Jpn. J. Appl. Phys. 2014, 53, 05FD05. [Google Scholar] [CrossRef]
- Yang, J.; Kim, J.; Shin, H.S. Facile Method for rGO Field Effect Transistor: Selective Adsorption of rGO on SAM-Treated Gold Electrode by Electrostatic Attraction. Adv. Mater. 2012, 24, 2299–2303. [Google Scholar] [CrossRef]
- Qasrawi, A.F.; Abdallah, M.M.A. Performance of Ge-Sandwiched GaSe Layers. J. Electron. Mater. 2018, 47, 4621–4626. [Google Scholar] [CrossRef]
- Tao, W.; Li, J.; Zhao, Q.; Yin, Z.; Zhang, Y.; Chen, B.; Xie, Y.; Jie, W. High-Quality GaSe Single Crystal Grown by the Bridgman Method. Materials 2018, 11, 186. [Google Scholar] [CrossRef]
- Liu, N.; Zhou, S.; Gao, N.; Zhao, J. Tuning Schottky barriers for monolayer GaSe FETs by exploiting a weak Fermi level pinning effect. Phys. Chem. Chem. Phys. 2018, 20, 21732–21738. [Google Scholar] [CrossRef]
- Qasrawi, A.F.; Abdallah, M.M.A. Effect of Au/Ge substrate on the properties of GaSe. Optik (Stuttg.) 2018, 168, 481–487. [Google Scholar] [CrossRef]
- Tang, L.; Zhao, Z.; Yuan, S.; Yang, T.; Zhou, B.; Zhou, H. Self-catalytic VLS growth one dimensional layered GaSe nanobelts for high performance photodetectors. J. Phys. Chem. Solids 2018, 118, 186–191. [Google Scholar] [CrossRef]
- Yang, Y.; Huo, N.; Li, J. Gate modulated and enhanced optoelectronic performance of MoSe2 and CVD-grown MoS2 heterojunctions. RSC Adv. 2017, 7, 41052–41056. [Google Scholar] [CrossRef]
- Lee, H.; Ahn, J.; Im, S.; Kim, J.; Choi, W. High-Responsivity Multilayer MoSe2 Phototransistors with Fast Response Time. Sci. Rep. 2018, 8, 11545. [Google Scholar] [CrossRef] [PubMed]
- Larentis, S.; Fallahazad, B.; Tutuc, E. Field-effect transistors and intrinsic mobility in ultra-thin MoSe2 layers. Appl. Phys. Lett. 2012, 101, 223104. [Google Scholar] [CrossRef]
- Wang, X.; Gong, Y.; Shi, G.; Chow, W.L.; Keyshar, K.; Ye, G.R.; Lou, J.; Liu, Z.; Ringe, E.; Tay, B.K.; et al. Chemical Vapor Deposition Growth. ACS Nano 2014, 8, 5125–5131. [Google Scholar] [CrossRef]
- Chamlagain, B.; Li, Q.; Ghimire, N.J.; Chuang, H.; Perera, M.M.; Tu, H.; Xu, Y.; Pan, M.; Xaio, D.; Yan, J.; et al. Mobility Improvement and Temperature Dependence in MoSe2 Field-Effect Transistors on Parylene-C. ACS Nano 2014, 8, 5079–5088. [Google Scholar] [CrossRef]
- Um, D.S.; Lee, Y.; Lim, S.; Park, S.; Lee, H.; Ko, H. High-Performance MoS2/CuO Nanosheet-on-One-Dimensional Heterojunction Photodetectors. ACS Appl. Mater. Interfaces 2016, 8, 33955–33962. [Google Scholar] [CrossRef]
- Sanal, K.C.; Vikas, L.S.; Jayaraj, M.K. Applied Surface Science Room temperature deposited transparent p-channel CuO thin film transistors. Appl. Surf. Sci. 2014, 297, 153–157. [Google Scholar] [CrossRef]
- Shen, Y.; Guo, M.; Shao, G. ScienceDirect Role of materials chemistry on the electrical/electronic properties of CuO thin films. Acta Mater. 2015, 85, 122–131. [Google Scholar] [CrossRef]
- Sung, S.; Kim, S.; Jo, K.; Lee, J.; Kim, J.; Kim, S.; Chai, H.; Pearton, S.J.; Norton, D.P.; Heo, Y.; et al. Fabrication of p-channel thin-film transistors using CuO active layers deposited at low temperature. Appl. Phys. Lett. 2010, 97, 222109. [Google Scholar] [CrossRef]
- Chen, C.; Qiao, H.; Lin, S.; Man Luk, C.; Liu, Y.; Xu, Z.; Song, J.; Xue, Y.; Li, D.; Yuan, J.; et al. Highly responsive MoS2 photodetectors enhanced by graphene quantum dots. Sci. Rep. 2015, 5, 11830. [Google Scholar] [CrossRef] [PubMed]
- Li, Y.; Hu, Y.; Zhao, Y.; Shi, G.; Deng, L.; Hou, Y.; Qu, L. An Electrochemical Avenue to Green-Luminescent Graphene Quantum Dots as Potential Electron-Acceptors for Photovoltaics. Adv. Mater. 2011, 23, 776–780. [Google Scholar] [CrossRef] [PubMed]
- Bacon, M.; Bradley, S.J.; Nann, T. Graphene Quantum Dots. Part. Part. Syst. Charact. 2014, 31, 415–428. [Google Scholar] [CrossRef]
- He, J.; Yang, Y.; He, Y.; Ge, C.; Zhao, Y.; Gao, L.; Tang, J. Low Noise and Fast Photoresponse of Few-Layered MoS2 Passivated by MA3Bi2Br9. ACS Photonics 2018, 5, 1877–1884. [Google Scholar] [CrossRef]
- Xiao, P.; Mao, J.; Ding, K.; Luo, W.; Hu, W.; Zhang, X.; Zhang, X.; Jie, J. Solution-Processed 3D RGO–MoS2/Pyramid Si Heterojunction for Ultrahigh Detectivity and Ultra-Broadband Photodetection. Adv. Mater. 2018, 30, 1801729. [Google Scholar] [CrossRef]
- Hao, L.Z.; Gao, W.; Liu, Y.J.; Liu, Y.M.; Han, Z.D.; Xue, Q.Z.; Zhu, J. Self-powered broadband, high-detectivity and ultrafast photodetectors based on Pd-MoS2/Si heterojunctions. Phys. Chem. Chem. Phys. 2015, 18, 1131–1139. [Google Scholar] [CrossRef]
- Jariwala, D.; Sangwan, V.K.; Wu, C.-C.; Prabhumirashi, P.L.; Geier, M.L.; Marks, T.J.; Lauhon, L.J.; Hersam, M.C. Gate-tunable carbon nanotube-MoS2 heterojunction p-n diode. Proc. Natl. Acad. Sci. USA 2013, 110, 18076–18080. [Google Scholar] [CrossRef]
- Snow, E.S.; Campbell, P.M.; Ancona, M.G.; Novak, J.P.; Snow, E.S.; Campbell, P.M.; Ancona, M.G. High-mobility carbon-nanotube thin-film transistors on a polymeric substrate High-mobility carbon-nanotube thin-film transistors on a polymeric substrate. Appl. Phys. Lett. 2011, 86, 033105. [Google Scholar] [CrossRef]
- Getty, S.A.; Cobas, E.; Fuhrer, M.S. Extraordinary Mobility in Semiconducting Carbon Nanotubes. Nano Lett. 2004, 4, 35–39. [Google Scholar] [CrossRef]
- Chen, Y.; Wang, X.; Wu, G.; Wang, Z.; Fang, H.; Lin, T.; Sun, S.; Shen, H.; Hu, W.; Wang, J.; et al. High-Performance Photovoltaic Detector Based on MoTe2/MoS2 Van der Waals Heterostructure. Small 2018, 14, 1870038. [Google Scholar] [CrossRef]
- Keum, D.H.; Cho, S.; Kim, J.H.; Choe, D.; Sung, H.; Kan, M.; Kang, H.; Hwang, J.; Kim, S.W.; Yang, H.; et al. Bandgap opening in few-layered monoclinic MoTe2. Nat. Phys. 2015, 11, 482. [Google Scholar] [CrossRef]
- Mote, R.; Pradhan, N.R.; Rhodes, D.; Feng, S.; Xin, Y.; Memaran, S.; Moon, B. Field-Effect Transistors Based on Few-Layered R-MoTe2. ACS Nano 2014, 8, 5911–5920. [Google Scholar] [CrossRef]
- Lin, Y.; Xu, Y.; Wang, S.; Li, S.; Yamamoto, M. Ambipolar MoTe2 Transistors and Their Applications in Logic Circuits. Adv. Mater. 2014, 26, 3263–3269. [Google Scholar] [CrossRef] [PubMed]
- Zhou, L.; Xu, K.; Zubair, A.; Liao, A.D.; Fang, W.; Ouyang, F.; Lee, Y.; Ueno, K.; Saito, R.; Dresselhaus, M.S. Large-Area Synthesis of High-Quality Uniform Few-Layer MoTe2. J. Am. Chem. Soc. 2015, 137, 11892–11895. [Google Scholar] [CrossRef] [PubMed]
- Cho, S.; Kim, S.; Kim, J.H.; Zhao, J.; Seok, J.; Keum, D.H.; Baik, J.; Choe, D.; Chang, K.J.; Suenaga, K.; et al. Phase patterning for ohmic homojunction contact in MoTe2. Science (80-) 2015, 349, 625–628. [Google Scholar] [CrossRef]
- Henning, A.; Sangwan, V.K.; Bergeron, H.; Balla, I.; Sun, Z.; Hersam, M.C.; Lauhon, L.J. Charge Separation at Mixed-Dimensional Single and Multilayer MoS2/Silicon Nanowire Heterojunctions. ACS Appl. Mater. Interfaces 2018, 10, 16760–16767. [Google Scholar] [CrossRef]
- Wang, X.-F.; Zhao, H.-M.; Shen, S.-H.; Pang, Y.; Shao, P.-Z.; Li, Y.-T.; Deng, N.-Q.; Li, Y.-X.; Yang, Y.; Ren, T.-L. High performance photodetector based on Pd-single layer MoS2 Schottky junction. Appl. Phys. Lett. 2016, 109, 201904. [Google Scholar] [CrossRef]
- Wang, Y.; Huang, X.; Wu, D.; Zhuo, R.; Wu, E.; Jia, C.; Shi, Z.; Xu, T.; Tian, Y.; Li, X. A room-temperature near-infrared photodetector based on a MoS2/CdTe p-n heterojunction with a broadband response up to 1700 nm. J. Mater. Chem. C 2018, 6, 4861–4865. [Google Scholar] [CrossRef]
- Turkevych, I.; Grill, R.; Franc, J.; Belas, E. High-temperature electron and hole mobility in CdTe. Semicond. Sci. Technol. 2002, 17, 1064–1066. [Google Scholar] [CrossRef]
- Bicknell, R.N.; Giles, N.C.; Schetzina, J.F.; Bicknell, R.N.; Giles, N.C.; Schetzina, J.F. Growth of high mobility n-type CdTe by photoassisted molecular beam epitaxy Growth of hijgh mobiUty n-type CdTe by photoassisted epitaxy. Appl. Phys. Lett. 2003, 49, 1095. [Google Scholar] [CrossRef]
- Martini, C.C.M.; Zanio, G.O.K. Time of Flight Measurement of the Differential Negative Mobility in CdTe. Phys. Lett. 1970, 33, 241–242. [Google Scholar] [CrossRef]
- Greene, S.K.; Singleton, J. Fundamental Properties of High Mobility InSb-CdTe Heterojunctions. Surf. Sci. 1990, 228, 542–546. [Google Scholar] [CrossRef]
- Sellin, P.J.; Davies, A.W.; Lohstroh, A.; Özsan, M.E.; Parkin, J. Drift Mobility and Mobility-Lifetime Products in CdTe: Cl Grown by the Travelling Heater Method. IEEE Trans. Nucl. Sci. 2005, 52, 3074–3078. [Google Scholar] [CrossRef]
- Hao, L.Z.; Liu, Y.J.; Han, Z.D.; Xu, Z.J.; Zhu, J. Giant lateral photovoltaic effect in MoS2/SiO2/Si p-i-n junction. J. Alloys Compd. 2018, 735, 88–97. [Google Scholar] [CrossRef]
- Tang, W.; Liu, C.; Wang, L.; Chen, X.; Luo, M.; Guo, W.; Wang, S.W.; Lu, W. MoS2 nanosheet photodetectors with ultrafast response. Appl. Phys. Lett. 2017, 111, 1153502. [Google Scholar] [CrossRef]
- Oliva, N.; Casu, E.A.; Yan, C.; Krammer, A.; Rosca, T.; Magrez, A.; Stolichnov, I.; Schueler, A.; Martin, O.J.F.; Ionescu, A.M. Van der Waals MoS2/VO2 heterostructure junction with tunable rectifier behavior and efficient photoresponse. Sci. Rep. 2017, 7, 1–8. [Google Scholar] [CrossRef] [PubMed]
- Fisher, B. Electrical and Seebeck Effect Measurements in Nb. J. Phys. Chem. Solids 1982, 43, 205–211. [Google Scholar] [CrossRef]
- Goodenough, J.B. The Two Components of the Crystallographic Transition in VO2. J. Solid State Chem. 1971, 500, 490–500. [Google Scholar] [CrossRef]
- Maeng, J.; Kim, T.; Jo, G.; Lee, T. Fabrication, structural and electrical characterization of VO2 nanowires. Mater. Res. Bull. 2008, 43, 1649–1656. [Google Scholar] [CrossRef]
- Kwan, C.C.Y.; Griffiths, C.H.; Eastwood, H.K. Transport and Structural Properties of VO2 Films. Appl. Phys. Lett. 2012, 20, 1654062. [Google Scholar] [CrossRef]
- Fu, D.; Liu, K.; Tao, T.; Lo, K.; Cheng, C.; Liu, B.; Zhang, R. Epitaxial VO2 thin films Comprehensive study of the metal-insulator transition in pulsed laser deposited epitaxial VO2 thin films. J. Appl. Phys. 2013, 113, 043707. [Google Scholar] [CrossRef]
- Kittiwatanakul, S.; Lu, J.; Wolf, S.A. Transport Anisotropy of Epitaxial VO2 Films near the Metal—Semiconductor Transition. Appl. Phys. Express 2011, 4, 091104. [Google Scholar] [CrossRef]
- Liu, X.; Yang, X.; Gao, G.; Yang, Z.; Liu, H.; Li, Q.; Lou, Z.; Shen, G.; Liao, L.; Pan, C.; et al. Enhancing Photoresponsivity of Self-Aligned MoS2 Field-Effect Transistors by Piezo-Phototronic Effect from GaN Nanowires. ACS Nano 2016, 10, 7451–7457. [Google Scholar] [CrossRef] [PubMed]
- Pant, R.; Shetty, A.; Chandan, G.; Roul, B.; Nanda, K.K. In-Plane Anisotropic Photoconduction in Nonpolar Epitaxial a-Plane GaN. ACS Appl. Mater. Interfaces 2018, 10, 16918–16923. [Google Scholar] [CrossRef] [PubMed]
- Ye, L.; Li, H.; Chen, Z.; Xu, J. Near-Infrared Photodetector Based on MoS2/Black Phosphorous Heterojunction. ACS Photonics 2016, 3, 692–699. [Google Scholar] [CrossRef]
- Tan, H.; Xu, W.; Sheng, Y.; Lau, C.S.; Fan, Y.; Chen, Q.; Tweedie, M.; Wang, X.; Zhou, Y.; Warner, J.H. Lateral Graphene-Contacted Vertically Stacked WS2/MoS2 Hybrid Photodetectors with Large Gain. Adv. Mater. 2017, 29, 1–8. [Google Scholar] [CrossRef]
- Wang, L.; Jie, J.; Shao, Z.; Zhang, Q.; Zhang, X.; Wang, Y.; Sun, Z.; Lee, S.T. MoS2/Si heterojunction with vertically standing layered structure for ultrafast, high-detectivity, self-driven visible-near infrared photodetectors. Adv. Funct. Mater. 2015, 25, 2910–2919. [Google Scholar] [CrossRef]
- Zhang, Y.; Yu, Y.; Mi, L.; Wang, H.; Zhu, Z.; Wu, Q.; Zhang, Y.; Jiang, Y. In Situ Fabrication of Vertical Multilayered MoS2/Si Homotype Heterojunction for High-Speed Visible-Near-Infrared Photodetectors. Small 2016, 12, 1062–1071. [Google Scholar] [CrossRef]
- Cong, R.; Qiao, S.; Liu, J.; Mi, J.; Yu, W.; Liang, B.; Fu, G.; Pan, C.; Wang, S. Ultrahigh, Ultrafast, and Self-Powered Visible-Near-Infrared Optical Position-Sensitive Detector Based on a CVD-Prepared Vertically Standing Few-Layer MoS2/Si Heterojunction. Adv. Sci. 2018, 5, 1700502. [Google Scholar] [CrossRef]
- Qiao, S.; Cong, R.; Liu, J.; Liang, B.; Fu, G.; Yu, W.; Ren, K.; Wang, S.; Pan, C. A vertically layered MoS2/Si heterojunction for an ultrahigh and ultrafast photoresponse photodetector. J. Mater. Chem. C 2018, 6, 3233–3239. [Google Scholar] [CrossRef]
- Kim, H.S.; Kumar, M.D.; Patel, M.; Kim, J.; Cho, B.; Kim, D.H. High-performing MoS2-embedded Si photodetector. Mater. Sci. Semicond. Process. 2017, 71, 35–41. [Google Scholar] [CrossRef]
- Wu, D.; Lou, Z.; Wang, Y.; Yao, Z.; Xu, T.; Shi, Z.; Xu, J.; Tian, Y.; Li, X.; Tsang, Y.H. Photovoltaic high-performance broadband photodetector based on MoS2/Si nanowire array heterojunction. Sol. Energy Mater. Sol. Cells 2018, 182, 272–280. [Google Scholar] [CrossRef]
- Lou, Z.; Zeng, L.; Wang, Y.; Wu, D.; Xu, T.; Shi, Z.; Tian, Y.; Li, X.; Tsang, Y.H. High-performance MoS2/Si heterojunction broadband photodetectors from deep ultraviolet to near infrared. Opt. Lett. 2017, 42, 3335. [Google Scholar] [CrossRef] [PubMed]
- Dhyani, V.; Dwivedi, P.; Dhanekar, S.; Das, S. High performance broadband photodetector based on MoS2/porous silicon heterojunction. Appl. Phys. Lett. 2017, 111, 191107. [Google Scholar] [CrossRef]
- Dhyani, V.; Das, S. High-Speed Scalable Silicon-MoS2 p-n Heterojunction Photodetectors. Sci. Rep. 2017, 7, 44243. [Google Scholar] [CrossRef]
- Kim, H.S.; Kumar, M.D.; Kim, J.; Lim, D. Vertical growth of MoS2 layers by sputtering method for efficient photoelectric application. Sens. Actuators A Phys. 2018, 269, 355–362. [Google Scholar] [CrossRef]
- Guo, J.; Li, S.; Ke, Y.; Lei, Z.; Liu, Y.; Mao, L.; Gong, T.; Cheng, T.; Huang, W.; Zhang, X. Broadband Photodetector based on vertically stage-liked MoS2/Si heterostructure with ultra-high sensitivity and fast response speed. Scr. Mater. 2020, 176, 1–6. [Google Scholar] [CrossRef]














| Device Structure | Detection Wavelength (nm) | Responsivity (A/W) | Response/Recovery Time | Ref |
|---|---|---|---|---|
| SLG/SnSe2-Bulk | 1064 | ~2 × 10−3 | 7.76 s/2.5 s | [71] |
| SLG/SnSe2/PEDOT:PSS–Bulk | 1064 | ~1.4–2.6 × 10−6 | 1.33 s/1.22 s | [5] |
| p-Si/n-SnSe2-Bulk | 1064 | ~0.12 | 57 ± 25/34 ± 15 μs | [66] |
| Bi-layer (BL) SnSe2/SiO2/Si | 633 | ~0.5 | 2.1 ± 0.3/3.2 ± 0.2 ms | [81] |
| SnSe2 flakes/SiO2/Si | 530 | ~1.1 × 103 | 14.5/8.1 ms | [3] |
| SnSe2/SiO2/Si | 543 | ~0.48 | 17/45 μs | [82] |
| ITO/WSe2/SnSe2/SiO2/Si | 785 | ~1100 | 10 μs | [92] |
| SnSe2/MoS2/SiO2/Si | 500 | ~9.1 × 103 | 0.2/0.6 s | [83] |
| ITO/SnSe2 | white light | - | 310/340 ms | [84] |
| SnSe2/SLG | 1064 | ~0.8 × 10−3 | 276/332 ms | [105] |
| Device Structure | Detection Wavelength (nm) | Responsivity (A/W) | Response/Recovery Time | Ref |
|---|---|---|---|---|
| Single layer MoS2 | 450 | ~7.5 × 10−3 | 50/50 ms | [107] |
| P(VDF-TrFE) driven MoS2 | 635 | ~2570 | 1.8/2.0 ms | [114] |
| MoS2/CsPbBr3 | 442 | ~4.4 | 0.72/1.01 ms | [117] |
| CsPbBr3/MoS2 | 442 | ~13.1 | 2.5/1.8 ms | [119] |
| ZnPc treated MoS2 with Al2O3 passivation layer | 532 | ~430 | 100 ms | [109] |
| CH3NH3PbI3/MoS2 with r-GO as HTL | 660 | ~1.08 × 104 | <45 ms | [110] |
| GaSe/MoS2 | 532 | ~ 3 | 50 ms | [111] |
| BL MoS2 | 400–670 | ~50–700 | 174/166 ms | [112] |
| CdSe QDs/BL MoS2 | 159/172 ms | [109] | ||
| Core/shell CdSe/ZnS QDs/BL MoS2 | 185/172 ms | [109] | ||
| MoS2/h-BN/graphene | 405 | ~180 | 0.23/0.25 s | [113] |
| MoS2/MoSe2 | 633 | ~350 | 10 ms | [133] |
| MoS2/CuO | 570 | ~157.6 | ~34.6/51.9 ms | [138] |
| MoS2/Graphene QDs | 405 | ~104 | 0.07/1.23 s | [142] |
| MA3Bi2Br9 passivated few-layer MoS2 | 530 | ~112 | 0.3/0.3 ms | [145] |
| 3D r-GO-MoS2/pyramid Si | 808 | ~21.8 | 2.8/46.6 ms | [146] |
| Pd-MoS2/Si | 950 | ~0.654 | 2.1/173.8 μs | [147] |
| CNT-MoS2 p-n junction | 650 | ~0.1 | ~15/15 μs | [148] |
| MoTe2/MoS2 | 637 | 0.046 | 60/25 μs | [151] |
| Si NW-n-MoS2 | 500 | - | 1.4/1.6 μs | [157] |
| Pd-Single layer MoS2 | 425 | ~0.88 | 24.2/24.5 ms | [158] |
| MoS2-CdTe | 780 | ~0.0366 | 43.7/82.1 μs | [159] |
| MoS2/SiO2/Si p-i-n junction | 650 | - | 16.2/160.5 μs | [165] |
| MoS2 nanosheet | 532 | ~59 | 42 ms | [166] |
| MoS2/VO2 | 550 | ~1.25 | 3.5 ms | [167] |
| MoS2-GaN NW p-n junction | 550 | ~443.3 | 5 ms | [174] |
| MoS2/PbS | 400–1500 | 6 × 105 | 0.3–0.4 s | [53] |
| Graphene/MoS2 | 635 | 5 × 108 | - | [54] |
| WS2/MoS2 | 532 | 2340 | _ | [177] |
| MoS2/BP | 1550 | ~0.153 | 15/70 μs | [176] |
| Device Structure | Detection Wavelength (nm) | Responsivity (A/W) | Response/Recovery time | Ref |
|---|---|---|---|---|
| n-MoS2/p-Si | 808 | ~0.3 | 3/40 μs | [178] |
| n-MoS2/n-Si | 650 | ~11.9 | 30.5/71.6 μs | [179] |
| V-MoS2/p-Si | 532 | - | 16/176 ns | [180] |
| MoS2/Si | 808 | ~0.9082 | ~56/825 ns | [181] |
| MoS2/n-Si/p-Si | 515–520 | - | ~33/30 μs | [182] |
| MoS2/Si NW array | 650 | ~53.5 | 2.9/7.3 μs | [183] |
| MoS2/Si | 780 | ~23.1 | 21.6/65.5 μs | [184] |
| n-MoS2/p-porous Si | 550 | ~9 | 9/7 μs | [185] |
| Si/MoS2 p-n junction | 580 | ~8.75 | 10/19 μs | [186] |
| MoS2/p-Si | 455 | ~0.03 | 38.78/43.07 μs | [187] |
| MoS2/p+-Si | 808 | ~0.746 | ~178/198 μs | [188] |
© 2020 by the authors. Licensee MDPI, Basel, Switzerland. This article is an open access article distributed under the terms and conditions of the Creative Commons Attribution (CC BY) license (http://creativecommons.org/licenses/by/4.0/).
Share and Cite
Mukhokosi, E.P.; Manohar, G.V.S.; Nagao, T.; Krupanidhi, S.B.; Nanda, K.K. Device Architecture for Visible and Near-Infrared Photodetectors Based on Two-Dimensional SnSe2 and MoS2: A Review. Micromachines 2020, 11, 750. https://doi.org/10.3390/mi11080750
Mukhokosi EP, Manohar GVS, Nagao T, Krupanidhi SB, Nanda KK. Device Architecture for Visible and Near-Infrared Photodetectors Based on Two-Dimensional SnSe2 and MoS2: A Review. Micromachines. 2020; 11(8):750. https://doi.org/10.3390/mi11080750
Chicago/Turabian StyleMukhokosi, Emma P., Gollakota V.S. Manohar, Tadaaki Nagao, Saluru B. Krupanidhi, and Karuna K. Nanda. 2020. "Device Architecture for Visible and Near-Infrared Photodetectors Based on Two-Dimensional SnSe2 and MoS2: A Review" Micromachines 11, no. 8: 750. https://doi.org/10.3390/mi11080750
APA StyleMukhokosi, E. P., Manohar, G. V. S., Nagao, T., Krupanidhi, S. B., & Nanda, K. K. (2020). Device Architecture for Visible and Near-Infrared Photodetectors Based on Two-Dimensional SnSe2 and MoS2: A Review. Micromachines, 11(8), 750. https://doi.org/10.3390/mi11080750

