Silver Nanorings Fabricated by Glycerol-Based Cosolvent Polyol Method
Abstract
1. Introduction
2. Materials and Methods
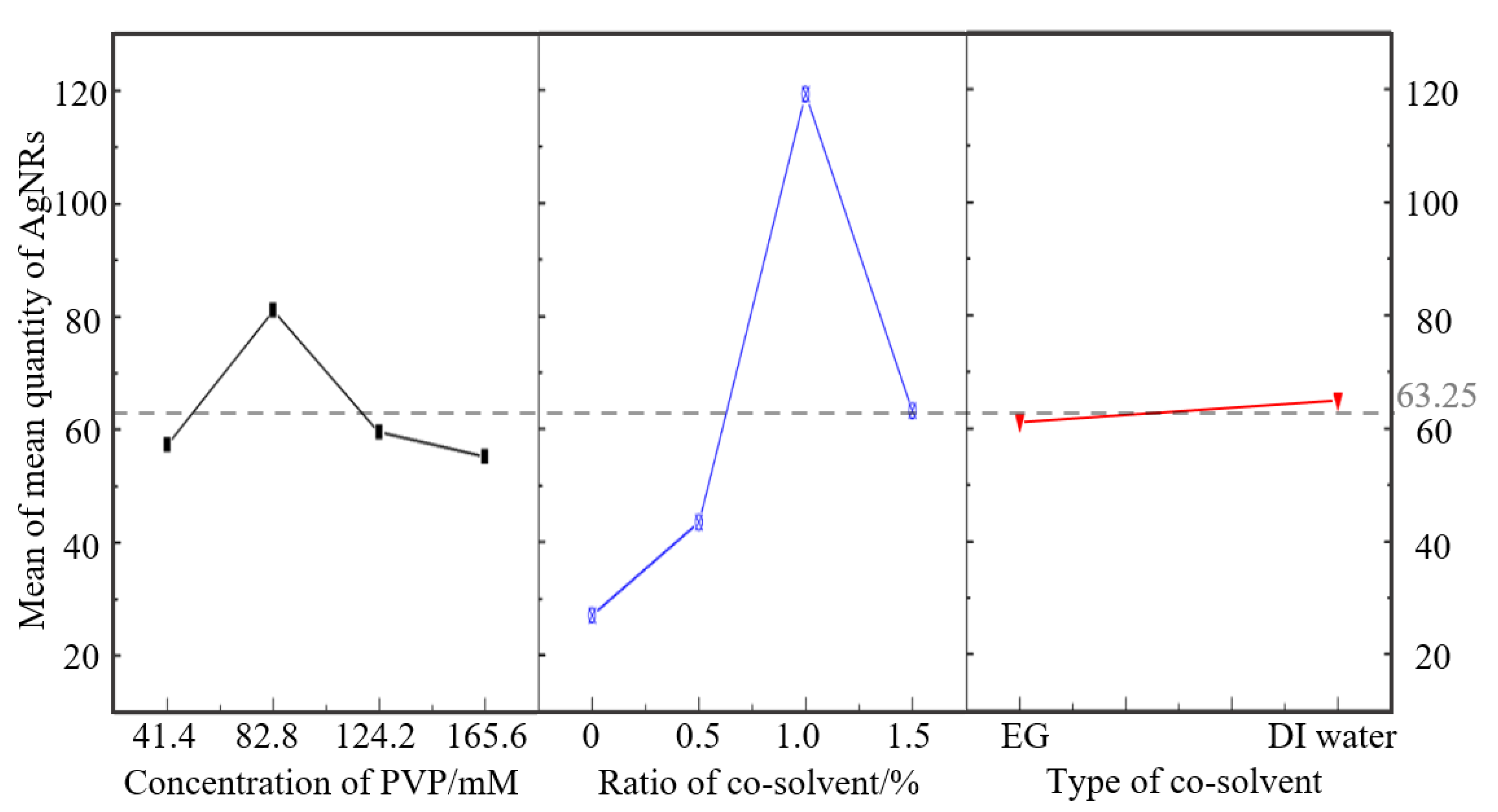
3. Results and Discussion
4. Conclusions
Author Contributions
Funding
Conflicts of Interest
References
- Maita, F.; Maiolo, L.; Pecora, A.; Minotti, A.; Fortunato, G.; Smecca, E.; Alberti, A. Low-temperature flexible piezoelectric AlN capacitor integrated on ultra-flexible poly-Si TFT for advanced tactile sensing. Sensors 2014, 2014, 1730–1733. [Google Scholar]
- John, R.A.; Ko, J.; Kulkarni, M.R.; Tiwari, N.; Chien, N.A.; Ing, N.G.; Leong, W.L.; Mathews, N. Flexible Ionic-Electronic Hybrid Oxide Synaptic TFTs with Programmable Dynamic Plasticity for Brain—Inspired Neuromorphic Computing. Small 2017, 13, 1701193. [Google Scholar] [CrossRef] [PubMed]
- Chung, K.; Yoo, H.; Hyun, J.K.; Oh, H.; Tchoe, Y.; Lee, K.; Baek, H.; Baek, M.; Yi, G.C. Flexible GaN light—Emitting diodes using GaN microdisks epitaxial laterally overgrown on graphene dots. Adv. Mater. 2016, 28, 7688–7694. [Google Scholar] [CrossRef] [PubMed]
- Liu, Z.; Chong, W.C.; Wong, K.M.; Lau, K.M. GaN-based LED micro-displays for wearable applications. Microelectron. Eng. 2015, 148, 98–103. [Google Scholar] [CrossRef]
- Wang, Y.; Zheng, D.; Li, L.; Zhang, Y. Enhanced Efficiency of Flexible GaN/Perovskite Solar Cells Based on the Piezo-Phototronic Effect. ACS Appl. Energy Mater. 2018, 1, 3063–3069. [Google Scholar] [CrossRef]
- Chen, Y.; Zhang, X.; Xie, Z. Flexible nitrogen doped SiC nanoarray for ultrafast capacitive energy storage. ACS Nano 2015, 9, 8054–8063. [Google Scholar] [CrossRef]
- Zhang, P.; Wyman, I.; Hu, J.; Lin, S.; Zhong, Z.; Tu, Y.; Huang, Z.; Wei, Y. Silver nanowires: Synthesis technologies, growth mechanism and multifunctional applications. Mater. Sci. Eng. B 2017, 223, 1–23. [Google Scholar] [CrossRef]
- Kumar, A.; Zhou, C. The race to replace tin-doped indium oxide: Which material will win? ACS Nano 2010, 4, 11–14. [Google Scholar] [CrossRef]
- He, M.; Jung, J.; Qiu, F.; Lin, Z. Graphene-based transparent flexible electrodes for polymer solar cells. J. Mater. Chem. 2012, 22, 24254–24264. [Google Scholar] [CrossRef]
- Ge, J.; Cheng, G.; Chen, L. Transparent and flexible electrodes and supercapacitors using polyaniline/single-walled carbon nanotube composite thin films. Nanoscale 2011, 3, 3084–3088. [Google Scholar] [CrossRef]
- Schneider, J.; Rohner, P.; Thureja, D.; Schmid, M.; Galliker, P.; Poulikakos, D. Electrohydrodynamic nanodrip printing of high aspect ratio metal grid transparent electrodes. Adv. Funct. Mater. 2016, 26, 833–840. [Google Scholar] [CrossRef]
- Park, J.H.; Lee, D.Y.; Kim, Y.H.; Kim, J.K.; Lee, J.H.; Park, J.H.; Lee, T.W.; Cho, J.H. Flexible and transparent metallic grid electrodes prepared by evaporative assembly. ACS Appl. Mater. Interfaces 2014, 6, 12380–12387. [Google Scholar] [CrossRef] [PubMed]
- Ran, Y.; He, W.; Wang, K.; Ji, S.; Ye, C. A one-step route to Ag nanowires with a diameter below 40 nm and an aspect ratio above 1000. Chem. Commun. 2014, 50, 14877–14880. [Google Scholar] [CrossRef] [PubMed]
- Chen, Z.; Ye, S.; Stewart, I.E.; Wiley, B.J. Copper nanowire networks with transparent oxide shells that prevent oxidation without reducing transmittance. ACS nano 2014, 8, 9673–9679. [Google Scholar] [CrossRef] [PubMed]
- Liu, Y.; Zhang, J.; Gao, H.; Wang, Y.; Liu, Q.; Huang, S.; Guo, C.F.; Ren, Z. Capillary-force-induced cold welding in silver-nanowire-based flexible transparent electrodes. Nano Lett. 2017, 17, 1090–1096. [Google Scholar] [CrossRef]
- Yao, R.; Li, X.; Li, Z.; Shi, M.; Zhou, S.; Yuan, W.; Ning, H.; Peng, J.; Fang, Z. Fabrication and Properties of Silver Nanowire Flexible Transparent. In Proceedings of the 19th International Conference on Electronic Packaging Technology (ICEPT), Shanghai, China, 8–11 August 2018; pp. 454–456. [Google Scholar]
- Zhang, Y.; Guo, J.; Xu, D.; Sun, Y.; Yan, F. One-pot synthesis and purification of ultralong silver nanowires for flexible transparent conductive electrodes. ACS Appl. Mater. Interfaces 2017, 9, 25465–25473. [Google Scholar] [CrossRef]
- Li, Z.; Ning, H.; Li, X.; Tao, R.; Liu, X.; Cai, W.; Chen, J.; Wang, L.; Yao, R.; Peng, J. Synthesis of Silver Nanowires by Mixing Different Nucleating Control Agents. Mater.-Rep. 2019, 33, 303–306. [Google Scholar]
- Ge, Y.; Duan, X.; Zhang, M.; Mei, L.; Hu, J.; Hu, W.; Duan, X. Direct room temperature welding and chemical protection of silver nanowire thin films for high performance transparent conductors. J. Am. Chem. Soc. 2017, 140, 193–199. [Google Scholar] [CrossRef]
- Zhou, L.; Fu, X.F.; Yu, L.; Zhang, X.; Yu, X.F.; Hao, Z.H. Crystal structure and optical properties of silver nanorings. Appl. Phys. Lett. 2009, 94, 153102. [Google Scholar] [CrossRef]
- Gong, H.M.; Zhou, L.; Su, X.R.; Xiao, S.; Liu, S.D.; Wang, Q.Q. Illuminating dark plasmons of silver nanoantenna rings to enhance exciton–plasmon interactions. Adv. Funct. Mater. 2009, 19, 298–303. [Google Scholar] [CrossRef]
- Azani, M.R.; Hassanpour, A.; Tarasevich, Y.Y.; Vodolazskaya, I.V.; Eserkepov, A.V. Transparent electrodes with nanorings: A computational point of view. J. Appl. Phys. 2019, 125, 234903. [Google Scholar] [CrossRef]
- Zhang, Q.; Shan, X.Y.; Zhou, L.; Zhan, T.R.; Wang, C.X.; Li, M.; Jia, J.F.; Zi, J.; Wang, Q.Q.; Xue, Q.K. Scattering focusing and localized surface plasmons in a single Ag nanoring. Appl. Phys. Lett. 2010, 97, 261107. [Google Scholar] [CrossRef]
- Zhang, Y.; Guo, J.; Xu, D.; Sun, Y.; Yan, F. Synthesis of ultrathin semicircle-shaped copper nanowires in ethanol solution for low haze flexible transparent conductors. Nano Res. 2018, 11, 3899–3910. [Google Scholar] [CrossRef]
- Zhan, Y.; Lu, Y.; Peng, C.; Lou, J. Solvothermal synthesis and mechanical characterization of single crystalline copper nanorings. J. Cryst. Growth 2011, 325, 76–80. [Google Scholar] [CrossRef]
- Li, Z.J.; Chen, X.L.; Li, H.J.; Tu, Q.Y.; Yang, Z.; Xu, Y.P.; Hu, B.Q. Synthesis and Raman scattering of GaN nanorings, nanoribbons and nanowires. Appl. Phys. A 2001, 72, 629–632. [Google Scholar] [CrossRef]
- Duan, J.; Yang, S.; Liu, H.; Gong, J.; Huang, H.; Zhao, X.; Tang, J.; Zhang, R.; Du, Y. AlN nanorings. J. Cryst. Growth 2005, 283, 291–296. [Google Scholar] [CrossRef]
- Hughes, W.L.; Wang, Z.L. Controlled synthesis and manipulation of ZnO nanorings and nanobows. Appl. Phys. Lett. 2005, 86, 043106. [Google Scholar] [CrossRef]
- Da Silva, R.R.; Yang, M.; Choi, S.I.; Chi, M.; Luo, M.; Zhang, C.; Li, Z.Y.; Camargo, P.H.C.; Ribeiro, S.J.L.; Xia, Y. Facile synthesis of sub-20 nm silver nanowires through a bromide-mediated polyol method. ACS Nano 2016, 10, 7892–7900. [Google Scholar] [CrossRef]
- Yin, Z.; Song, S.K.; You, D.J.; Ko, Y.; Cho, S.; Yoo, J.; Park, S.Y.; Piao, Y.; Chang, S.T.; Kim, Y.S. Novel synthesis, coating, and networking of curved copper nanowires for flexible transparent conductive electrodes. Small 2015, 11, 4576–4583. [Google Scholar] [CrossRef]
- Schuette, W.M.; Buhro, W.E. Silver chloride as a heterogeneous nucleant for the growth of silver nanowires. Acs Nano 2013, 7, 3844–3853. [Google Scholar] [CrossRef]
- Bari, B.; Lee, J.; Jang, T.; Won, P.; Ko, S.H.; Alamgir, K.; Arshad, M.; Guo, L.J. Simple hydrothermal synthesis of very-long and thin silver nanowires and their application in high quality transparent electrodes. J. Mater. Chem. A 2016, 4, 11365–11371. [Google Scholar] [CrossRef]
- Yin, Z.; Song, S.K.; Cho, S.; You, D.J.; Yoo, J.; Chang, S.T.; Kim, Y.S. Curved copper nanowires-based robust flexible transparent electrodes via all-solution approach. Nano Res. 2017, 10, 3077–3091. [Google Scholar] [CrossRef]
- Abbasi, N.M.; Wang, L.; Yu, H.; Akram, M.; Khalid, H.; Yongshen, C.; Deng, Z. Glycerol and Water Mediated Synthesis of Silver Nanowires in the Presence of Cobalt Chloride as Growth Promoting Additive. J. Inorg. Organomet. Polym. Mater. 2016, 26, 680–690. [Google Scholar] [CrossRef]
- Yang, C.; Tang, Y.; Su, Z.; Zhang, Z.; Fang, C. Preparation of silver nanowires via a rapid, scalable and green pathway. J. Mater. Sci. Technol. 2015, 31, 16–22. [Google Scholar] [CrossRef]
- Hwang, J.; Shim, Y.; Yoon, S.M.; Lee, S.H.; Park, S.H. Influence of polyvinylpyrrolidone (PVP) capping layer on silver nanowire networks: Theoretical and experimental studies. RSC Adv. 2016, 6, 30972–30977. [Google Scholar] [CrossRef]
- Song, Y.J.; Wang, M.; Zhang, X.Y.; Wu, J.Y.; Zhagn, T. Investigation on the role of the molecular weight of polyvinyl pyrrolidone in the shape control of high-yield silver nanospheres and nanowires. Nanoscale Res. Lett. 2014, 9, 17. [Google Scholar] [CrossRef]
- Azani, M.R.; Hassanpour, A. Synthesis of Silver Nanowires with Controllable Diameter and Simple Tool to Evaluate their Diameter, Concentration and Yield. Chem. Select. 2019, 4, 2716–2720. [Google Scholar] [CrossRef]
- Niu, Z.; Cui, F.; Kuttner, E.; Xie, C.; Chen, H.; Sun, Y.; Dehestani, A.; Schierle-Arndt, K.; Yang, P. Synthesis of silver nanowires with reduced diameters using benzoin-derived radicals to make transparent conductors with high transparency and low haze. Nano Lett. 2018, 18, 5329–5334. [Google Scholar] [CrossRef]
- Azani, M.R.; Hassanpour, A. Silver nanorings: New generation of transparent conductive films. Chem. Eur. J. 2018, 24, 19195–19199. [Google Scholar] [CrossRef]






| Sample | Mw of PVP | Concentration of PVP /mM | Chloride Salt | Bromide Salt | Type of Cosolvent | Ratio of Cosolvent/% | Pressure | Quantity of AgNRs | Average Ring Diameter/μm |
|---|---|---|---|---|---|---|---|---|---|
| 1 | K90 | 41.4 | Na+ | Na+ | EG | 5 | with | 28 | 14.77 |
| 2 | K90 | 41.4 | Na+ | TPA- | DI | 10 | without | 5 | 10.38 |
| 3 | K90 | 82.8 | TMA- | Na+ | EG | 10 | without | 76 | 14.65 |
| 4 | K90 | 82.8 | TMA- | TPA- | DI | 5 | with | 75 | 14.80 |
| 5 | K60 | 41.4 | TMA- | Na+ | DI | 5 | without | 24 | 13.25 |
| 6 | K60 | 41.4 | TMA- | TPA- | EG | 10 | with | 10 | 12.40 |
| 7 | K60 | 82.8 | Na+ | Na+ | DI | 10 | with | 14 | 15.00 |
| 8 | K60 | 82.8 | Na+ | TPA- | EG | 5 | without | 108 | 14.90 |
| Results | Factors | Mw of PVP | Concentration of PVP/mM | Chloride Salt | Bromide Salt | Type of Cosolvent | Ratio of Cosolvent/% | Pressure |
|---|---|---|---|---|---|---|---|---|
| Quantity of AgNRs | Level | K90 | 82.8 | TMA- | TPA- | EG | 5 | without |
| Delta | 7.00 | 51.50 | 7.50 | 14.00 | 26.00 | 32.50 | 21.50 | |
| Rank | 7 | 1 | 6 | 5 | 3 | 2 | 4 | |
| Average ring diameter | Level | K60 | 82.8 | TMA- | TPA- | DI | 5 | with |
| Delta | 0.24 | 2.14 | 0.01 | 1.30 | 0.82 | 1.32 | 0.95 | |
| Rank | 6 | 1 | 7 | 3 | 5 | 2 | 4 |
| Sample | Concentration of PVP/mM | Ratio of Cosolvent/% | Type of Cosolvent | Quantity | Average Ring Diameter/μm |
|---|---|---|---|---|---|
| 9 | 41.4 | 0 | EG | 32 | 12.80 |
| 10 | 41.4 | 0.5 | EG | 18 | 13.47 |
| 11 | 41.4 | 1 | DI | 140 | 15.74 |
| 12 | 41.4 | 1.5 | DI | 39 | 13.57 |
| 13 | 82.8 | 0 | EG | 42 | 15.18 |
| 14 | 82.8 | 0.5 | EG | 65 | 17.15 |
| 15 | 82.8 | 1 | DI | 162 | 16.56 |
| 16 | 82.8 | 1.5 | DI | 55 | 14.43 |
| 17 | 124.2 | 0 | DI | 27 | 15.45 |
| 18 | 124.2 | 0.5 | DI | 41 | 16.31 |
| 19 | 124.2 | 1 | EG | 97 | 16.72 |
| 20 | 124.2 | 1.5 | EG | 73 | 15.28 |
| 21 | 165.6 | 0 | DI | 7 | 15.65 |
| 22 | 165.6 | 0.5 | DI | 50 | 17.48 |
| 23 | 165.6 | 1 | EG | 78 | 16.49 |
| 24 | 165.6 | 1.5 | EG | 86 | 14.77 |
| Source | DF | Adj SS | Adj MS | Delta | F-Value | p-Value |
|---|---|---|---|---|---|---|
| Concentration of PVP | 3 | 1716.5 | 572.17 | 25.75 | 0.79 | 0.531 |
| Ratio of cosolvent | 3 | 19360.5 | 6453.5 | 92.25 | 8.96 | 0.006 |
| Type of cosolvent | 1 | 56.3 | 56.25 | 3.75 | 0.08 | 0.787 |
| Error | 8 | 5761.7 | 720.22 | − | − | − |
| Total | 15 | 26895.0 | − | − | − | − |
| Source | DF | Adj SS | Adj MS | Delta | F-Value | p-Value |
|---|---|---|---|---|---|---|
| Concentration of PVP | 3 | 12.8857 | 4.2952 | 2.20 | 9.05 | 0.006 |
| Ratio of cosolvent | 3 | 10.5079 | 3.5026 | 1.86 | 7.38 | 0.011 |
| Type of cosolvent | 1 | 0.6931 | 0.6931 | 0.42 | 1.46 | 0.261 |
| Error | 8 | 3.7951 | 0.4744 | − | − | − |
| Total | 15 | 27.8817 | − | − | − | − |
© 2020 by the authors. Licensee MDPI, Basel, Switzerland. This article is an open access article distributed under the terms and conditions of the Creative Commons Attribution (CC BY) license (http://creativecommons.org/licenses/by/4.0/).
Share and Cite
Li, Z.; Guo, D.; Xiao, P.; Chen, J.; Ning, H.; Wang, Y.; Zhang, X.; Fu, X.; Yao, R.; Peng, J. Silver Nanorings Fabricated by Glycerol-Based Cosolvent Polyol Method. Micromachines 2020, 11, 236. https://doi.org/10.3390/mi11030236
Li Z, Guo D, Xiao P, Chen J, Ning H, Wang Y, Zhang X, Fu X, Yao R, Peng J. Silver Nanorings Fabricated by Glycerol-Based Cosolvent Polyol Method. Micromachines. 2020; 11(3):236. https://doi.org/10.3390/mi11030236
Chicago/Turabian StyleLi, Zhihang, Dong Guo, Peng Xiao, Junlong Chen, Honglong Ning, Yiping Wang, Xu Zhang, Xiao Fu, Rihui Yao, and Junbiao Peng. 2020. "Silver Nanorings Fabricated by Glycerol-Based Cosolvent Polyol Method" Micromachines 11, no. 3: 236. https://doi.org/10.3390/mi11030236
APA StyleLi, Z., Guo, D., Xiao, P., Chen, J., Ning, H., Wang, Y., Zhang, X., Fu, X., Yao, R., & Peng, J. (2020). Silver Nanorings Fabricated by Glycerol-Based Cosolvent Polyol Method. Micromachines, 11(3), 236. https://doi.org/10.3390/mi11030236

