Influence of Post-Annealing on the Structural and Nanomechanical Properties of Co Thin Films
Abstract
1. Introduction
2. Materials and Methods
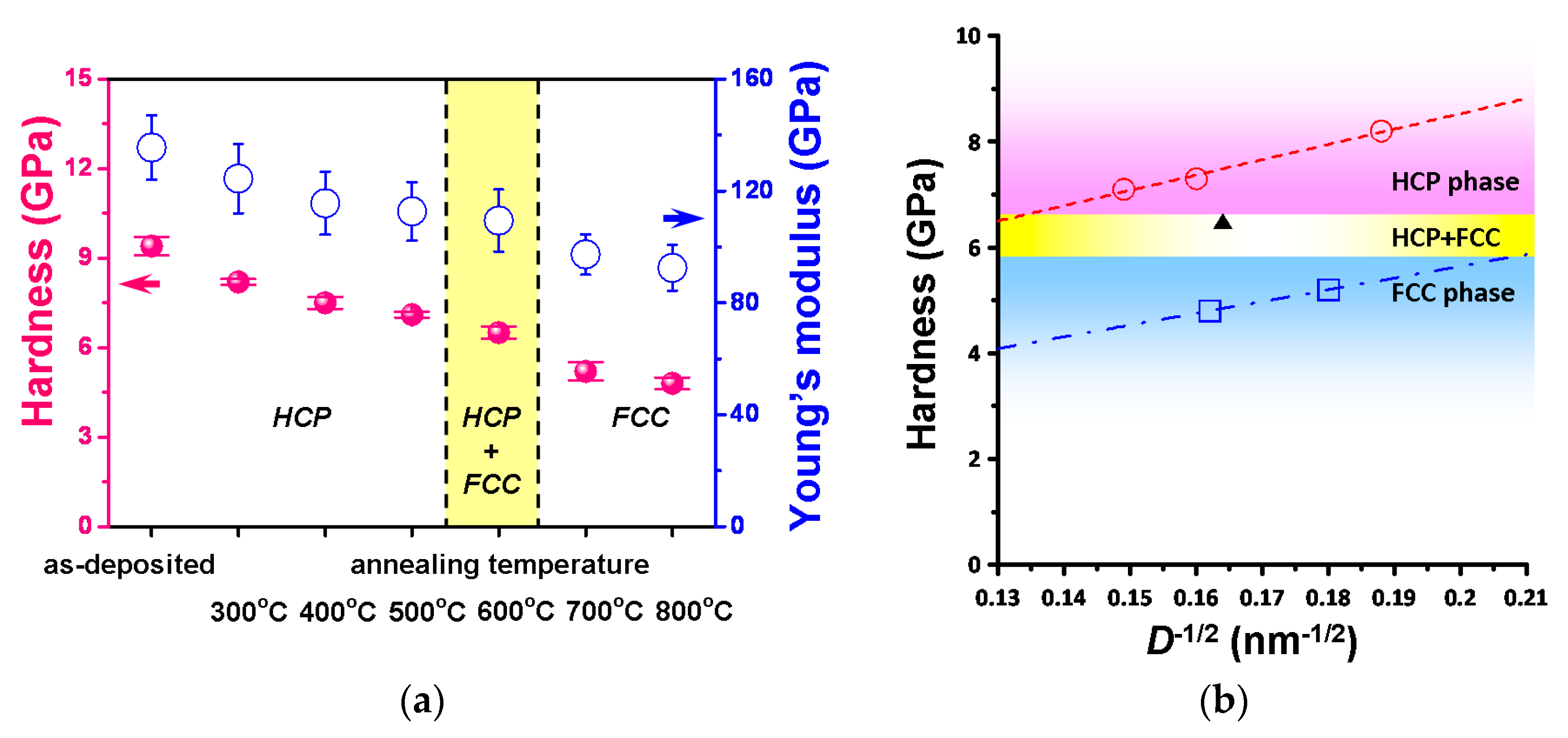
3. Results
4. Conclusions
Author Contributions
Funding
Acknowledgments
Conflicts of Interest
References
- Zhao, W.B.; Huang, W.C.; Liu, C.C.; Hou, C.M.; Chen, Z.W.; Yin, Y.W.; Li, X.G. Electric-field-controlled nonvolatile magnetization rotation and magnetroresistance effect on Co/Cu/Ni spin valves on piezoelectric substrates. ACS Appl. Mater. Interfaces 2018, 10, 21390–21397. [Google Scholar] [CrossRef]
- Chiba, D.; Shibata, N.; Tsukazaki, A. Co thin films deposited directly on ZnO polar surfaces. Sci. Rep. 2016, 6, 38005. [Google Scholar] [CrossRef] [PubMed]
- Tykhonenko-Polishchuk, Y.O.; Polishchuk, D.M.; Polek, T.I.; Yaremkevych, D.D.; Kravets, A.F.; Tovstolytkin, A.I.; Timoshevskii, A.N.; Korenivski, V. Spin-dependent scattering and magnetic proximity effect in Ni-doped Co/Cu multilayers as a probe of atomic magnetism. J. Appl. Phy. 2019, 125, 023907. [Google Scholar] [CrossRef]
- Rafaja, D.; Schimpf, C.; Schucknecht, T.; Klemm, V.; Peter, L.; Bakonyi, I. Microstructure formation in electrodeposited Co-Cu/Cu multilayers with GMR effect: Influence of current density during magnetic layer deposition. Acta Mater. 2011, 89, 2992–3001. [Google Scholar] [CrossRef]
- Tang, M.; Zhang, Z.; Zhu, Y.; Ma, B.; Jin, Q. Role of TbFe on perpendicular magnetic anisotropy and giant magnetoresistance effect in [Co/Ni]N-based spin valves. Nano-Micro Lett. 2014, 6, 359–364. [Google Scholar] [CrossRef][Green Version]
- Bae, S.; Matsushita, N.; Zurn, S.; Sheppard, L.; Torok, E.J.; Judy, J.H. Effects of initial layer surface roughness on GMR performance of Si/Cu/NiFe/Cu/Co/Cu/NiFe dual spin-valves for MRAM. IEEE Trans. Magn. 2000, 36, 2850–2852. [Google Scholar]
- Wang, S.H.; Jian, S.R.; Chen, G.J.; Cheng, H.Z.; Juang, J.Y. Annealing-driven microstructural evolution and its effects on the surface and nanomechanical properties of Cu-doped NiO thin films. Coatings 2019, 9, 107. [Google Scholar] [CrossRef]
- Tuyen, L.T.C.; Jian, S.R.; Tien, N.T.; Le, P.H. Nanomechanical and material properties of fluorine-doped tin oxide thin films prepared by ultrasonic spray pyrolysis: Effects of F-doping. Materials 2019, 12, 1665. [Google Scholar] [CrossRef]
- Lai, H.D.; Jian, S.R.; Tuyen, L.T.C.; Le, P.H.; Luo, C.W.; Juang, J.Y. Nanoindentation of Bi2Se3 thin films. Micromachines 2018, 9, 518. [Google Scholar] [CrossRef]
- Zaman, A.; Meletis, E.I. Microstructure and mechanical properties of TaN thin films prepared by reactive magnetron sputtering. Coatings 2017, 7, 209. [Google Scholar] [CrossRef]
- Kini, M.K.; Dehm, G.; Kirchlechner, C. Size dependent strength, slip transfer and slip compatibility in nanotwinned silver. Acta Mater. 2020, 184, 120–131. [Google Scholar] [CrossRef]
- Sun, Y.; Liu, J.; Blom, D.; Koley, G.; Duan, Z.; Wang, G.; Li, X.D. Atomic-scale imaging correlation on the deformation and sensing mechanisms of SnO2 naonwires. Appl. Phys. Lett. 2014, 105, 243105. [Google Scholar] [CrossRef]
- Jian, S.R.; Sung, T.H.; Huang, J.C.; Juang, J.Y. Deformation behaviors of InP pillars under uniaxial compression. Appl. Phys. Lett. 2012, 101, 151905. [Google Scholar] [CrossRef]
- Li, X.D.; Gao, H.; Murphy, C.J.; Gou, L. Nanoindentation of Cu2O nanocubes. Nano Lett. 2004, 4, 1903–1907. [Google Scholar] [CrossRef]
- Li, X.D.; Gao, H.; Murphy, C.J.; Caswell, K.K. Nanoindentation of sliver nanowires. Nano Lett. 2003, 3, 1495–1498. [Google Scholar] [CrossRef]
- Patel, H.D.; Lee, S.W. Spherical nanoindentation on tungsten single crystal: The transition from source-controlled plasticity to bulk plasticity. Scr. Mater. 2020, 175, 16–19. [Google Scholar] [CrossRef]
- Masuda, H.; Moruta, K.; Ohmura, T. Nanoindentation-induced plasticity in cubic zirconia up to 500 °C. Acta Mater. 2020, 184, 59–68. [Google Scholar] [CrossRef]
- Jian, S.R. Pop-in effects and dislocation nucleation of c-plane single-crystal ZnO by Berkovich nanoindentation. J. Alloy. Compd. 2015, 644, 54–58. [Google Scholar] [CrossRef]
- Jian, S.R.; Chen, G.J.; Juang, J.Y. Nanoindentation-induced phase transformation in (110)-oriented Si single-crystals. Curr. Opin. Sloid State Mater. Sci. 2010, 14, 69–74. [Google Scholar] [CrossRef]
- Ruffell, S.; Vedi, J.; Bradby, J.E.; Williams, J.S. Effect of hydrogen on nanoindentation-induced phase transformations in amorphous silicon. J. Appl. Phys. 2009, 106, 123511. [Google Scholar] [CrossRef]
- Ma, Y.; Huang, X.; Song, Y.; Hang, W.; Zhang, T. Room-temperature creep behavior and activation volume of dislocation nucleation in a LiTaO3 single crystal by nanoindentation. Materials 2019, 12, 1683. [Google Scholar] [CrossRef] [PubMed]
- Bell, G.A.; Bieliński, D.M.; Beake, B.D. Inflence of water on the nanoindentation creep response of Nylon 66. J. Appl. Polym. Sci. 2007, 107, 577–582. [Google Scholar] [CrossRef]
- Jian, S.R.; Lee, Y.H. Nanoindentation-induced interfacial fracture of ZnO thin films deposited on Si(111) substrates by atomic layer deposition. J. Alloy. Compd. 2014, 587, 313–317. [Google Scholar] [CrossRef]
- Volinsky, A.A.; Vella, J.B.; Gerberich, W.W. Fracture toughness, adhesion and mechanical properties of low-k dielectric thin films measured by nanoindentation. Thin Solid Films 2003, 429, 201–210. [Google Scholar] [CrossRef]
- Dietiker, M.; Nyilas, R.D.; Solenthaler, C.; Spolenak, R. Nanoindentation of single-crystalline gold thin films: Correlating hardness and the onset of plasticity. Acta Mater. 2008, 56, 3887–3899. [Google Scholar] [CrossRef]
- Suresh, S.; Nieh, T.G.; Choi, B.W. Nano-indentation of cooper thin films on silicon substrate. Scr. Mater. 1999, 41, 951–957. [Google Scholar] [CrossRef]
- Cao, Z.H.; Huang, Y.L.; Meng, X.K. Size-dependent rate sensitivity and plasticity of nanocrystalline Ru films. Scr. Mater. 2010, 63, 993–996. [Google Scholar] [CrossRef]
- Koumoulos, E.P.; Markakis, V.; Tsikourkitoudi, V.P.; Charitidis, C.A.; Papadopoulos, N.; Hristoforou, E. Tribological characterization of chemical vapor deposited Co and Co3O4 thin films for sensing reliability in engineering applications. Tribol. Int. 2015, 82, 89–94. [Google Scholar] [CrossRef]
- Huang, J.; Xu, K.; Fan, Y.M.; Niu, M.T.; Zeng, X.H.; Wang, J.F.; Yang, H. Nanoscale anisotropic plastic deformation in single crystal GaN. Nanoscale Res. Lett. 2012, 7, 150. [Google Scholar] [CrossRef]
- Lu, J.Y.; Ren, H.; Deng, D.M.; Wang, Y.; Chen, K.J.; Lau, K.M.; Zhang, T.Y. Thermally activated pop-in and indentation size effects in GaN films. J. Phy. D: Appl. Phys. 2012, 45, 085301. [Google Scholar] [CrossRef]
- Wang, Y.; Xiong, X.; Zhu, C. Dependence of pop-in behavior of a high-entropy alloy FeCoCrMnNi on the tip radius. Appl. Phys. A 2019, 125, 115. [Google Scholar] [CrossRef]
- Goyenola, C.; Stafström, S.; Schmidt, S.; Hultman, L.; Gueorguiev, G.K. Carbon fluoride, CFx: Structural diversity as predicted by first principles. J. Phys. Chem. C 2014, 118, 6514–6521. [Google Scholar] [CrossRef]
- Hirth, J.P. and Lothe, J. Theory of Dislocations, 2nd ed.; John Wiley and Sons: Hoboken, NJ, USA, 1982. [Google Scholar]
- Li, X.D. and Bhushan, B. A review of nanoindentation continuous stiffness measurement technique and its applications. Mater. Charact. 2002, 48, 11–36. [Google Scholar] [CrossRef]
- Oliver, W.C.; Pharr, G.M. An improved technique for determining hardness and elastic-modulus using load and displacement sensing indentation experiments. J. Mater. Res. 1992, 7, 1564–1583. [Google Scholar] [CrossRef]
- Sneddon, I.N. The relation between load and penetration in the axisymmetric Boussinseq problem for a punch of arbitrary profile. Int. J. Eng. Sci. 1965, 3, 47–57. [Google Scholar] [CrossRef]
- Cullity, B.D.; Stock, S.R. Element of X-ray diffraction; Prentice Hall: Upper Saddle River, NJ, USA, 2001. [Google Scholar]
- Chien, C.H.; Jian, S.R.; Wang, C.T.; Juang, J.Y.; Huang, J.C.; Lai, Y.S. Cross-secional transmission electron microscopy observations on the Berkovich indentation-induced deformation microstructures in GaN thin films. J. Phys. D: Appl. Phys. 2007, 40, 3985–3990. [Google Scholar] [CrossRef]
- Lund, A.C.; Hodge, A.M.; Schuh, C.A. Incipient plasticity during nanoindentation at elevated temperatures. Appl. Phys. Lett. 2004, 85, 1362–1364. [Google Scholar] [CrossRef]
- Chavoshi, S.Z.; Xu, S. Nanoindentation/scratching at finite temperatures: Insights from atomistic-based modeling. Prog. Materi. Sci. 2019, 100, 1–20. [Google Scholar] [CrossRef]
- Wang, S.K.; Lin, T.C.; Jian, S.R.; Juang, J.Y.; Jang, S.C. and Tseng, J.Y. Effect of post-annealing on the structural and nanomechanical properties of Ga-doped ZnO thin films deposited on glass substrate by rf-magnetron sputtering. Appl. Surf. Sci. 2011, 258, 1261–1266. [Google Scholar] [CrossRef]
- Chen, J.; Lu, L.; Lu, K. Hardness and strain rate sensitivity of nanocrystalline Cu. Scr. Mater. 2006, 54, 1913–1918. [Google Scholar] [CrossRef]
- Dushaq, G.; Nayfeh, A.; Rasras, M. Hexagonal germanium formation at room temperature using controlled penetration depth nanoindentation. Sci. Rep. 2019, 9, 1593. [Google Scholar] [CrossRef] [PubMed]
- Yoo, C.S.; Cynn, H.; Söderlind, P.; Iota, V. New β(fcc)-Cobalt to 210 GPa. Phys. Rev. Lett. 2000, 84, 4132–4135. [Google Scholar] [CrossRef] [PubMed]
- Johnson, K.L. Contact Mechanics; Cambridge University Press: Cambridge, UK, 1985. [Google Scholar]
- Chiu, Y.L. and Ngan, A.H.W. Time-dependent characteristics of incipient plasticity in nanoindentation of a Ni3Al single crystal. Acta Mater. 2002, 50, 1599–1611. [Google Scholar] [CrossRef]
- Lorenz, D.; Zeckzer, A.; Hilpert, U.; Grau, P.; Johnson, H.; Leipner, H.S. Pop-in effects as homogeneous nucleation of dislocations during nanoindentation. Phys. Rev. B 2003, 67, 172101. [Google Scholar] [CrossRef]



| Co thin films | structure | D (nm) | H (GPa) | Ef (GPa) | Pc (mN) | dpop-in (nm) | τmax (GPa) |
|---|---|---|---|---|---|---|---|
| as-deposited | hcp | 24 | 9.4 ± 0.3 | 135.5 ± 11.5 | 0.102 | 1.04 | 3.1 |
| annealed@300 °C | hcp | 28 | 8.2 ± 0.1 | 124.4 ± 12.4 | 0.088 | 1.62 | 2.7 |
| annealed@400 °C | hcp | 39 | 7.5 ± 0.2 | 115.6 ± 11.3 | 0.078 | 1.65 | 2.5 |
| annealed@500 °C | hcp | 45 | 7.1 ± 0.1 | 112.7 ± 10.5 | 0.075 | 1.76 | 2.4 |
| annealed@600 °C | Hcp + fcc | 37 | 6.5 ± 0.2 | 109.4 ± 11.1 | 0.062 | 1.84 | 2.1 |
| annealed@700 °C | fcc | 32 | 5.2 ± 0.3 | 97.3 ± 7.2 | 0.058 | 2.32 | 1.7 |
| annealed@800 °C | fcc | 38 | 4.8 ± 0.2 | 92.5 ± 8.2 | 0.036 | 7.64 | 1.6 |
| Au thin films [25] | fcc | – | 1.07–2.79 | 68–99 | ~0.06–0.10 | ~5–15 | ~2.5–4.7 |
© 2020 by the authors. Licensee MDPI, Basel, Switzerland. This article is an open access article distributed under the terms and conditions of the Creative Commons Attribution (CC BY) license (http://creativecommons.org/licenses/by/4.0/).
Share and Cite
Hwang, Y.-M.; Pan, C.-T.; Lu, Y.-X.; Jian, S.-R.; Chang, H.-W.; Juang, J.-Y. Influence of Post-Annealing on the Structural and Nanomechanical Properties of Co Thin Films. Micromachines 2020, 11, 180. https://doi.org/10.3390/mi11020180
Hwang Y-M, Pan C-T, Lu Y-X, Jian S-R, Chang H-W, Juang J-Y. Influence of Post-Annealing on the Structural and Nanomechanical Properties of Co Thin Films. Micromachines. 2020; 11(2):180. https://doi.org/10.3390/mi11020180
Chicago/Turabian StyleHwang, Yeong-Maw, Cheng-Tang Pan, Ying-Xu Lu, Sheng-Rui Jian, Huang-Wei Chang, and Jenh-Yih Juang. 2020. "Influence of Post-Annealing on the Structural and Nanomechanical Properties of Co Thin Films" Micromachines 11, no. 2: 180. https://doi.org/10.3390/mi11020180
APA StyleHwang, Y.-M., Pan, C.-T., Lu, Y.-X., Jian, S.-R., Chang, H.-W., & Juang, J.-Y. (2020). Influence of Post-Annealing on the Structural and Nanomechanical Properties of Co Thin Films. Micromachines, 11(2), 180. https://doi.org/10.3390/mi11020180

