Paralytic Shellfish Toxins in Mollusks from Galicia Analyzed by a Fast Refined AOAC 2005.06 Method: Toxicity, Toxin Profile, and Inter-Specific, Spatial, and Seasonal Variations
Abstract
1. Introduction
2. Results
2.1. Refinement of the AOAC 2005.06 Method
2.2. Toxin Profile
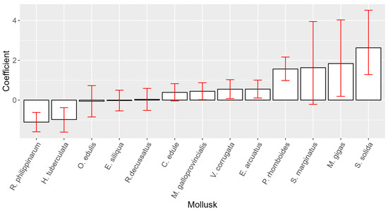
2.3. Species-Specific Toxicities
2.4. Species-Specific Toxin Profile
2.5. Seasonal Variation in Toxicity and Toxin Profile
2.6. Toxin Relationships over Time
2.7. Geographical Variation in Toxicity
3. Discussion
4. Conclusions
5. Materials and Methods
5.1. Standards, Solvents, and Reagents
5.2. Sampling
5.3. Sample Extraction and Preparation
5.4. LC-FLD Determination Conditions
5.5. Calibration and Toxicity Computation
5.6. Statistical Analysis
Author Contributions
Funding
Institutional Review Board Statement
Informed Consent Statement
Data Availability Statement
Acknowledgments
Conflicts of Interest
References
- Band-Schmidt, C.J.; Durán-Riveroll, L.M.; Bustillos-Guzmán, J.J.; Leyva-Valencia, I.; López-Cortés, D.J.; Núñez-Vázquez, E.J.; Hernández-Sandoval, F.E.; Ramírez-Rodríguez, D.V. Paralytic Toxin Producing Dinoflagellates in Latin America: Ecology and Physiology. Front. Mar. Sci. 2019, 6, 42. [Google Scholar] [CrossRef]
- Garcia, C.; Bravo, M.d.C.; Lagos, M.; Lagos, N. Paralytic shellfish poisoning: Post-mortem analysis of tissue and body fluid samples from human victims in the Patagonia fjords. Toxicon 2004, 43, 149–158. [Google Scholar] [CrossRef]
- Etheridge, S.M. Paralytic shellfish poisoning: Seafood safety and human health perspectives. Toxicon 2010, 56, 108–122. [Google Scholar] [CrossRef]
- Prakash, A.; Medcof, J.C.; Tennaut, A.D. Paralytic shellfish poisoning in Eastern Canada. Fish. Res. Board Can. 1971, 177, 88. [Google Scholar]
- AOAC. Paralytic shellfish poison. Biological methods. Final action. In Official Methods of Analysis; Hellrich, K., Ed.; Association of Official Analytic Chemists: Arlington, VA, USA, 1990; Volume 15, Section 959.08; pp. 881–882. [Google Scholar]
- McFarren, E.F. Report on Collaborative Studies of the Bioassay for Paralytic Shellfish Poison. J. AOAC Int. 1959, 42, 263–271. [Google Scholar] [CrossRef]
- Sommer, H.; Meyer, K.F. Paralytic shellfish poisoning. Arch. Pathol. 1937, 24, 560–598. [Google Scholar]
- Intergovernmental Oceanographic Commission of UNESCO. Harmful Algae Event Database (HAEDAT). Available online: http://haedat.iode.org (accessed on 15 September 2023).
- Bates, H.A.; Rapoport, H. A chemical assay for saxitoxin, the paralytic shellfish poison. J. Agric. Food Chem. 1975, 23, 237–239. [Google Scholar] [CrossRef]
- Sullivan, J.J. High-Performance Liquid Chromatographic Method Applied to Paralytic Shellfish Poisoning Research. In Marine Toxins. Origin, Structure, and Molecular Pharmacology; Hall, S., Strichartz, G., Eds.; ACS: Washington, DC, USA, 1990; Volume 418, pp. 66–77. [Google Scholar]
- Oshima, Y.; Sugino, K.; Yasumoto, T. Latests advances in HPLC analysis of Paralytic Shellfish Toxins. In Mycotoxins and Phycotoxins’ 88: A Collection of Invited Papers Presented at the Seventh International IUPAC Symposium on Mycotoxins and Phycotoxins; Natori, S., Hashimoto, K., Ueno, Y., Eds.; Elsevier: Amsterdam, The Netherlands, 1989; pp. 319–326. [Google Scholar]
- Franco, J.M.; Fernández-Vila, P. Separation of paralytic shelfish toxins by reversed phase high performance liquid chromatography, with postcolumn reaction and fluorimetric detection. Chromatographia 1993, 35, 613–620. [Google Scholar] [CrossRef]
- Rourke, W.A.; Murphy, C.J.; Pitcher, G.; van de Riet, J.M.; Burns, B.G.; Thomas, K.M.; Quilliam, M.A. Rapid Postcolumn Methodology for Determination of Paralytic Shellfish Toxins in Shellfish Tissue. J. AOAC Int. 2008, 91, 589–597. [Google Scholar] [CrossRef]
- Lawrence, J.F.; Menard, C. Liquid chromatographic determination of paralytic shellfish poisons in shellfish after prechromatographic oxidation. J. Assoc. Off. Anal. Chem. 1991, 74, 1006–1012. [Google Scholar] [CrossRef] [PubMed]
- Lawrence, J.F.; Niedzwiadek, B.; Menard, C. Quantitative Determination of Paralytic Shellfish Poisoning Toxins in Shellfish Using Prechromatographic Oxidation and Liquid Chromatography with Fluorescence Detection: Collaborative Study. J. AOAC Int. 2005, 88, 1714–1732. [Google Scholar] [CrossRef] [PubMed]
- EU. Commission Regulation (EU) 2017/1980 of 31 October 2017 amending Annex III to Regulation (EC) No 2074/2005 as regards paralytic shellfish poison (PSP) detection method. Off. J. Eur. Union 2017, L258, 8–9. [Google Scholar]
- EU. Commision Implementing Regulation (EU) 2021/1709 of 23 September 2021 amending Implementing Regulation (EU) 2019/627 as regards uniform practical arrangements for the performance of official controls on products of animal origin. Off. J. Eur. Union 2021, L339, 84–88. [Google Scholar]
- Ben-Gigirey, B.; Rodríguez-Velasco, M.L.; Gago-Martínez, A. Extension of the Validation of AOAC Official Method(SM) 2005.06 for dc-GTX2,3: Interlaboratory Study. J. AOAC Int. 2012, 95, 111–121. [Google Scholar] [CrossRef] [PubMed]
- Turner, A.D.; Norton, D.M.; Hatfield, R.G.; Morris, S.; Reese, A.R.; Algoet, M.; Lees, D.N. Refinement and Extension of AOAC Method 2005.06 to Include Additional Toxins in Mussels: Single-Laboratory Validation. J. AOAC Int. 2009, 92, 190–207. [Google Scholar] [CrossRef] [PubMed]
- Figueiras, F.G.; Labarta, U.; Reiriz, M.J.F. Coastal upwelling, primary production and mussel growth in the Rías Baixas of Galicia. In Sustainable Increase of Marine Harvesting: Fundamental Mechanisms and New Concepts: Proceedings of the 1st Maricult Conference, Trondheim, Norway, 25–28 June 2000; Vadstein, O., Olsen, Y., Eds.; Springer: Dordrecht, The Netherlands, 2002; pp. 121–131. [Google Scholar]
- Mariño, J.; Maneiro, J.; Blanco, J. The harmful algae monitoring programme of Galicia: Good value for money. In Harmful Algae. Xunta de Galicia and Intergovernmental Oceanographic Commission of UNESCO, Santiago de Compostela; Reguera, B., Blanco, J., Fernández, M.L., Wyatt, T., Eds.; Xunta de Galicia & IOC of UNESCO: Santiago de Compostela, Spain, 1998; pp. 229–232. [Google Scholar]
- Turner, A.D.; Hatfield, R.G.; Maskrey, B.H.; Algoet, M.; Lawrence, J.F. Evaluation of the new European Union reference method for paralytic shellfish toxins in shellfish: A review of twelve years regulatory monitoring using pre-column oxidation LC-FLD. TrAC Trends Anal. Chem. 2019, 113, 124–139. [Google Scholar] [CrossRef]
- Hatfield, R.G.; Punn, R.; Algoet, M.; Turner, A.D. A Rapid Method for the Analysis of Paralytic Shellfish Toxins Utilizing Standard Pressure HPLC: Refinement of AOAC 2005.06. J. AOAC Int. 2016, 99, 475–480. [Google Scholar] [CrossRef] [PubMed]
- Hatfield, R.G.; Turner, A.D. Rapid Liquid Chromatography for Paralytic Shellfish Toxin Analysis Superficially Porous Chromatography with AOAC Official Method(SM) 2005.06. J. AOAC Int. 2012, 95, 1089–1096. [Google Scholar] [CrossRef] [PubMed]
- Harwood, D.T.; Boundy, M.; Selwood, A.I.; van Ginkel, R.; MacKenzie, L.; McNabb, P.S. Refinement and implementation of the Lawrence method (AOAC 2005.06) in a commercial laboratory: Assay performance during an Alexandrium catenella bloom event. Harmful Algae 2013, 24, 20–31. [Google Scholar] [CrossRef]
- Blanco, J.; Moroño, A.; Arévalo, F.; Correa, J.; Salgado, C.; Pazos, Y.; Calvo, S.; Rossignoli, A.E. Twenty-Five Years of PSP Toxicity in Galician (NW Spain) Bivalves: Spatial, Temporal, and Interspecific Variations. Toxins 2022, 14, 837. [Google Scholar] [CrossRef]
- Garrido, S.; Riobo, P.; Rial, P.; Rodriguez, F. Short-Term Interactions of Noctiluca scintillans with the Toxic Dinoflagellates Dinophysis acuminata and Alexandrium minutum: Growth, Toxins and Allelopathic Effects. Toxins 2023, 15, 373. [Google Scholar] [CrossRef] [PubMed]
- Franco, J.; Fraga, S.; Zapata, M.; Bravo, I.; Fernández, P.; Ramilo, I. Comparison between different strains of the genus Alexandrium of the minutum group. In Harmful Marine Algal Blooms; Lassus, P., Arzul, G., Erard, E., Gentien, P., Marcaillou, C., Eds.; Technique et Documentation-Lavoisier, Intercept Ltd.: Paris, France, 1995; pp. 53–58. [Google Scholar]
- Franco, J.M.; Fernández, P.; Reguera, B. Toxin profiles of natural populations and cultures of Alexandrium minutum from Galician (Spain) coastal waters. J. Appl. Phycol. 1994, 6, 275–279. [Google Scholar] [CrossRef]
- Oshima, Y.; Blackburn, S.I.; Hallegraeff, G.M. Comparative-Study on Paralytic Shellfish Toxin Profiles of the Dinoflagellate Gymnodinium catenatum from three Different Countries. Mar. Biol. 1993, 116, 471–476. [Google Scholar] [CrossRef]
- Ordas, M.C.; Fraga, S.; Franco, J.M.; Ordas, A.; Figueras, A. Toxin and molecular analysis of Gymnodinium catenatum (Dinophyceae) strains from Galicia (NW Spain) and Andalucia (S Spain). J. Plankton Res. 2004, 26, 341–349. [Google Scholar] [CrossRef]
- Anderson, D.M.; Sullivan, J.J.; Reguera, B. Paralytic shellfish poisoning in Northwest Spain: The toxicity of the dinoflagellate Gymnodinium catenatum. Toxicon 1989, 27, 665–674. [Google Scholar] [CrossRef]
- IPMA. Available online: https://www.ipma.pt/pt/bivalves/biotox/ (accessed on 21 April 2022).
- Vale, P.; Botelho, M.J.; Rodrigues, S.M.; Gomes, S.S.; Sampayo, M.A.d.M. Two decades of marine biotoxin monitoring in bivalves from Portugal (1986–2006): A review of exposure assessment. Harmful Algae 2008, 7, 11–25. [Google Scholar] [CrossRef]
- Blanco, J.; Arévalo, F.; Correa, J.; Moroño, A. Lipophilic Toxins in Galicia (NW Spain) between 2014 and 2017: Incidence on the Main Molluscan Species and Analysis of the Monitoring Efficiency. Toxins 2019, 11, 612. [Google Scholar] [CrossRef] [PubMed]
- Blanco, J.; Moroño, A.; Arévalo, F.; Correa, J.; Salgado, C.; Rossignoli, A.E.; Lamas, J.P. Twenty-Five Years of Domoic Acid Monitoring in Galicia (NW Spain): Spatial, Temporal, and Interspecific Variations. Toxins 2021, 13, 756. [Google Scholar] [CrossRef]
- Botelho, M.J.; Vale, C.; Ferreira, J.G. Seasonal and multi-annual trends of bivalve toxicity by PSTs in Portuguese marine waters. Sci. Total Environ. 2019, 664, 1095–1106. [Google Scholar] [CrossRef]
- Gianella, F.; Burrows, M.T.; Swan, S.C.; Turner, A.D.; Davidson, K. Temporal and Spatial Patterns of Harmful Algae Affecting Scottish Shellfish Aquaculture. Front. Mar. Sci. 2021, 8, 785174. [Google Scholar] [CrossRef]
- Blanco, J.; Reyero, M.I.; Franco, J.M. Kinetics of accumulation and transformation of paralytic shellfish toxins in the blue mussel Mytilus galloprovincialis. Toxicon 2003, 42, 777–784. [Google Scholar] [CrossRef]
- Cembella, A.D.; Shumway, S.E.; Lewis, N.I. Anatomical distribution and spatio-temporal variation in paralytic shellfish toxin composition in two bivalve species from the Gulf of Maine. J. Shellfish Res. 1993, 12, 389–403. [Google Scholar]
- Cembella, A.D.; Shumway, S.E.; Larocque, R. Sequestering and putative biotransformation of paralytic shellfish toxins by the sea scallop Placopecten magellanicus: Seasonal and spatial scales in natural populations. J. Exp. Mar. Biol. Ecol. 1994, 180, 1–22. [Google Scholar] [CrossRef]
- Oshima, Y. Chemical and enzymatic transformation of paralytic shellfish toxins in marine organisms. In Harmful Marine Algal Blooms; Lassus, P., Arzul, G., Erard, E., Gentien, P., Marcaillou, C., Eds.; Technique et Documentation-Lavoisier, Intercept Ltd.: Paris, France, 1995; pp. 475–480. [Google Scholar]
- Murakami, R.; Yamamoto, K.; Noguchi, T. Toxicity and paralytic shellfish poison composition of three species of bivalves collected in Ibaraki Prefecture, Japan. J. Food Hyg. Soc. Jpn. 1999, 40, 46–54. [Google Scholar] [CrossRef]
- Murakami, R.; Yamamoto, K.; Noguchi, T. Difference in PSP composition among various parts of surf clam. J. Food Hyg. Soc. Jpn. 1999, 40, 55–61. [Google Scholar] [CrossRef]
- Fast, M.D.; Cembella, A.D.; Ross, N.W. In Vitro Transformation of Paralytic Shellfish Toxins in the Clams Mya arenaria and Protothaca staminea. Harmful Algae 2006, 5, 79–90. [Google Scholar] [CrossRef]
- Botelho, M.J.; Marques, F.; Freitas, R.; Pires, A.; Pereira, E.; Vale, C. Paralytic shellfish toxin profiles in mussel, cockle and razor shell under post-bloom natural conditions: Evidence of higher biotransformation in razor shells and cockles. Mar. Environ. Res. 2020, 154, 104839. [Google Scholar] [CrossRef] [PubMed]
- Raposo, M.I.C.; Gomes, M.; Botelho, M.J.; Rudnitskaya, A. Paralytic Shellfish Toxins (PST)-Transforming Enzymes: A Review. Toxins 2020, 12, 344. [Google Scholar] [CrossRef]
- Shimizu, Y.; Yoshioka, M. Transformation of paralytic shellfish toxins as demonstrated in scallop homogenates. Science 1981, 212, 547–549. [Google Scholar] [CrossRef] [PubMed]
- Freitas, R.; Marques, F.; De Marchi, L.; Vale, C.; Botelho, M.J. Biochemical performance of mussels, cockles and razor shells contaminated by paralytic shellfish toxins. Environ. Res. 2020, 188, 109846. [Google Scholar] [CrossRef]
- Vale, P. Metabolites of saxitoxin analogues in bivalves contaminated by Gymnodinium catenatum. Toxicon 2010, 55, 162–165. [Google Scholar] [CrossRef] [PubMed]
- Mok, J.-S.; Oh, E.-G.; Son, K.-T.; Lee, T.-S.; Lee, K.-J.; Song, K.-C.; Kim, J.-H. Accumulation and Depuration of Paralytic Shellfish Poison in Marine Organisms. Korean J. Fish. Aquat. Sci. 2012, 45, 465–471. [Google Scholar] [CrossRef]
- Lassus, P.; Fremy, J.M.; Ledoux, M.; Bardouil, M.; Bohec, M. Patterns of experimental contamination by Protogonyaulax tamarensis in some french commercial shellfish. Toxicon 1989, 27, 1313–1321. [Google Scholar] [CrossRef] [PubMed]
- Lassus, P.; Ledoux, M.; Bardouil, M.; Bohec, M.; Erard, E. Kinetics of Alexandrium minutum Halim toxin accumulation in mussels and clams. Nat. Toxins 1994, 2, 329–333. [Google Scholar] [CrossRef] [PubMed]
- Sekiguchi, K.; Sato, S.; Kaga, S.; Ogata, T.; Kodama, M. Accumulation of paralytic shellfish poisoning toxins in bivalves and an ascidian fed on Alexandrium tamarense cells. Fish. Sci. 2001, 67, 301–305. [Google Scholar] [CrossRef]
- Madejska, A.; Osek, J. Occurrence of marine biotoxins in bivalve molluscs available in Poland in 2014–2018. J. Vet. Res. 2021, 65, 329–333. [Google Scholar] [CrossRef] [PubMed]
- Nagashima, Y.; Arakawa, O.; Shiomi, K.; Noguchi, T. Paralytic Shellfish Poisons of Ormer, Haliotis tuberculata, from Spain. Food Hyg. Saf. Sci. (Shokuhin Eiseigaku Zasshi) 1995, 36, 627–631_1. [Google Scholar] [CrossRef]
- Bravo, I.; Reyero, M.I.; Cacho, E.; Franco, J.M. Paralytic shellfish poisoning in Haliotis tuberculata from the Galician coast: Geographical distribution, toxicity by lengths and parts of the mollusc. Aquat. Toxicol. 1999, 46, 79–85. [Google Scholar] [CrossRef]
- Harwood, D.T.; Selwood, A.I.; van Ginkel, R.; Waugh, C.; McNabb, P.S.; Munday, R.; Hay, B.; Thomas, K.; Quilliam, M.A.; Malhi, N.; et al. Paralytic shellfish toxins, including deoxydecarbamoyl-STX, in wild-caught Tasmanian abalone (Haliotis rubra). Toxicon 2014, 90, 213–225. [Google Scholar] [CrossRef]
- Pitcher, G.C.; Franco, J.M.; Doucette, G.J.; Powell, C.L.; Mouton, A. Paralytic shellfish poisoning in the abalone Haliotis midae on the west coast of South Africa. J. Shellfish Res. 2001, 20, 895–904. [Google Scholar]
- Etheridge, S.M.; Pitcher, G.C.; Roesler, C.S. Depuration and transformation of PSP toxins in the South African abalone Haliotis midae. In Harmful Algae 2002; Steidinger, K.A., Landsberg, J.H., Tomas, C.R., Vargo, G.A., Eds.; Florida Fish and Wildlife Conservation Commission, Florida Institute of Oceanography, and Intergovernmental Oceanographic Commission of UNESCO: St. Petersburg, FL, USA, 2004; pp. 175–177. [Google Scholar]
- McLeod, C.; Dowsett, N.; Hallegraeff, G.; Harwood, D.T.; Hay, B.; Ibbott, S.; Malhi, N.; Murray, S.; Smith, K.; Tan, J.; et al. Accumulation and depuration of paralytic shellfish toxins by Australian abalone Haliotis rubra: Conclusive association with Gymnodinium catenatum dinoflagellate blooms. Food Control 2017, 73, 971–980. [Google Scholar] [CrossRef]
- Artigas, M.L.; Vale, P.J.V.; Gomes, S.S.; Botelho, M.J.; Rodrigues, S.M.; Arnorim, A. Profiles of Paralytic Shellfish Poisoning Toxins in Shellfish from Portugal Explained by Carbamoylase Activity. J. Chromatogr. A 2007, 1160, 99–105. [Google Scholar] [CrossRef] [PubMed]
- Turner, A.D.; Lewis, A.M.; O’Neil, A.; Hatfield, R.G. Transformation of paralytic shellfish poisoning toxins in UK surf clams (Spisula solida) for targeted production of reference materials. Toxicon 2013, 65, 41–58. [Google Scholar] [CrossRef] [PubMed]
- Diz, A.P.; Presa, P. The genetic diversity pattern of Mytilus galloprovincialis in Galician Rías (NW Iberian estuaries). Aquaculture 2009, 287, 278–285. [Google Scholar] [CrossRef]
- EFSA Panel on Contaminants in the Food Chain. Scientific Opinion of the Panel on Contaminants in the Food Chain on a request from the European Commission on Marine Biotoxins in Shellfish—Saxitoxin Group. EFSA J. 2009, 1019, 1–76. [Google Scholar]
- R. Core Team. R: A Language and Environment for Statistical Computing; R Foundation for Statistical Computing: Vienna, Austria, 2019. [Google Scholar]
- Warton, D.I.; Duursma, R.A.; Falster, D.S.; Taskinen, S. Smatr 3- an R package for estimation and inference about allometric lines: The smatr 3—An R package. Methods Ecol. Evol. 2012, 3, 257–259. [Google Scholar] [CrossRef]
- Wickham, H. ggplot2: Elegant Graphics for Data Analysis; Springer: Berlin/Heidelberg, Germany, 2016. [Google Scholar]
- Turner, H.; Firth, D. Bradley-Terry Models in R: The BradleyTerry2 Package. J. Stat. Softw. 2012, 48, 1–21. [Google Scholar] [CrossRef]













| Parameter | AOAC 2005.06 | CIMA-Intecmar |
|---|---|---|
| CH3CN mobile phase A | 5% | 10% |
| Mobile phases A and B | No filtering | Filter 0.22 µm Sonicate 15 min |
| Matrix modifier | Supernatant filtered to 0.45 µm | Filtered 0.22 µm |
| SPE-COOH cartridges | Bakerbone carboxylic acid silane | Strata-X-CW |
| Adjust pH oxidants | NaOH 0.2 M | NaOH 1 M |
| Volume of 10% H2O2 for peroxide oxidation | 25 µL | 50 µL |
| Mixing time after oxidation | Not specified | 30 s |
| 10% H2O2 | Not filtered | Filtered 0.22 µm |
| Periodate oxidation reagent | Not filtered | Filtered 0.22 µm |
| Column | Atlantis T3 C18, 3 µm, 2.1 × 75 mm | ||
| Temperature | 40 °C | ||
| Flow | 0.7 mL/min | ||
| Injection volume | 15 µL | ||
| Autosampler temperature | 4–6 °C | ||
| Gradient | Time (min) | Phase A (%) | Phase B (%) |
| 0 | 100 | 0 | |
| 0.3 | 95 | 5 | |
| 0.9 | 95 | 5 | |
| 2.10 | 55 | 45 | |
| 2.50 | 100 | 0 | |
| 3.60 | 100 | 0 | |
Disclaimer/Publisher’s Note: The statements, opinions and data contained in all publications are solely those of the individual author(s) and contributor(s) and not of MDPI and/or the editor(s). MDPI and/or the editor(s) disclaim responsibility for any injury to people or property resulting from any ideas, methods, instructions or products referred to in the content. |
© 2024 by the authors. Licensee MDPI, Basel, Switzerland. This article is an open access article distributed under the terms and conditions of the Creative Commons Attribution (CC BY) license (https://creativecommons.org/licenses/by/4.0/).
Share and Cite
Blanco, J.; Lamas, J.P.; Arévalo, F.; Correa, J.; Rodríguez-Cabo, T.; Moroño, Á. Paralytic Shellfish Toxins in Mollusks from Galicia Analyzed by a Fast Refined AOAC 2005.06 Method: Toxicity, Toxin Profile, and Inter-Specific, Spatial, and Seasonal Variations. Toxins 2024, 16, 230. https://doi.org/10.3390/toxins16050230
Blanco J, Lamas JP, Arévalo F, Correa J, Rodríguez-Cabo T, Moroño Á. Paralytic Shellfish Toxins in Mollusks from Galicia Analyzed by a Fast Refined AOAC 2005.06 Method: Toxicity, Toxin Profile, and Inter-Specific, Spatial, and Seasonal Variations. Toxins. 2024; 16(5):230. https://doi.org/10.3390/toxins16050230
Chicago/Turabian StyleBlanco, Juan, Juan Pablo Lamas, Fabiola Arévalo, Jorge Correa, Tamara Rodríguez-Cabo, and Ángeles Moroño. 2024. "Paralytic Shellfish Toxins in Mollusks from Galicia Analyzed by a Fast Refined AOAC 2005.06 Method: Toxicity, Toxin Profile, and Inter-Specific, Spatial, and Seasonal Variations" Toxins 16, no. 5: 230. https://doi.org/10.3390/toxins16050230
APA StyleBlanco, J., Lamas, J. P., Arévalo, F., Correa, J., Rodríguez-Cabo, T., & Moroño, Á. (2024). Paralytic Shellfish Toxins in Mollusks from Galicia Analyzed by a Fast Refined AOAC 2005.06 Method: Toxicity, Toxin Profile, and Inter-Specific, Spatial, and Seasonal Variations. Toxins, 16(5), 230. https://doi.org/10.3390/toxins16050230

