Change in Urinary Inflammatory Biomarkers and Psychological Health with Gut Microbiome Modulation after Six Months of a Lifestyle Modification Program in Children
Abstract
1. Introduction
2. Materials and Methods
2.1. Study Design
2.2. Setting
2.3. Participants
2.3.1. Psychological Parameters Collection
2.3.2. Lifestyle Modification Coaching
2.4. DNA Extraction from Stools and Sequencing
2.5. Biomarker Assays
2.6. Bioinformatic Analysis Pipeline
2.7. Statistical Analysis
3. Results
3.1. Participants
3.2. Characteristics
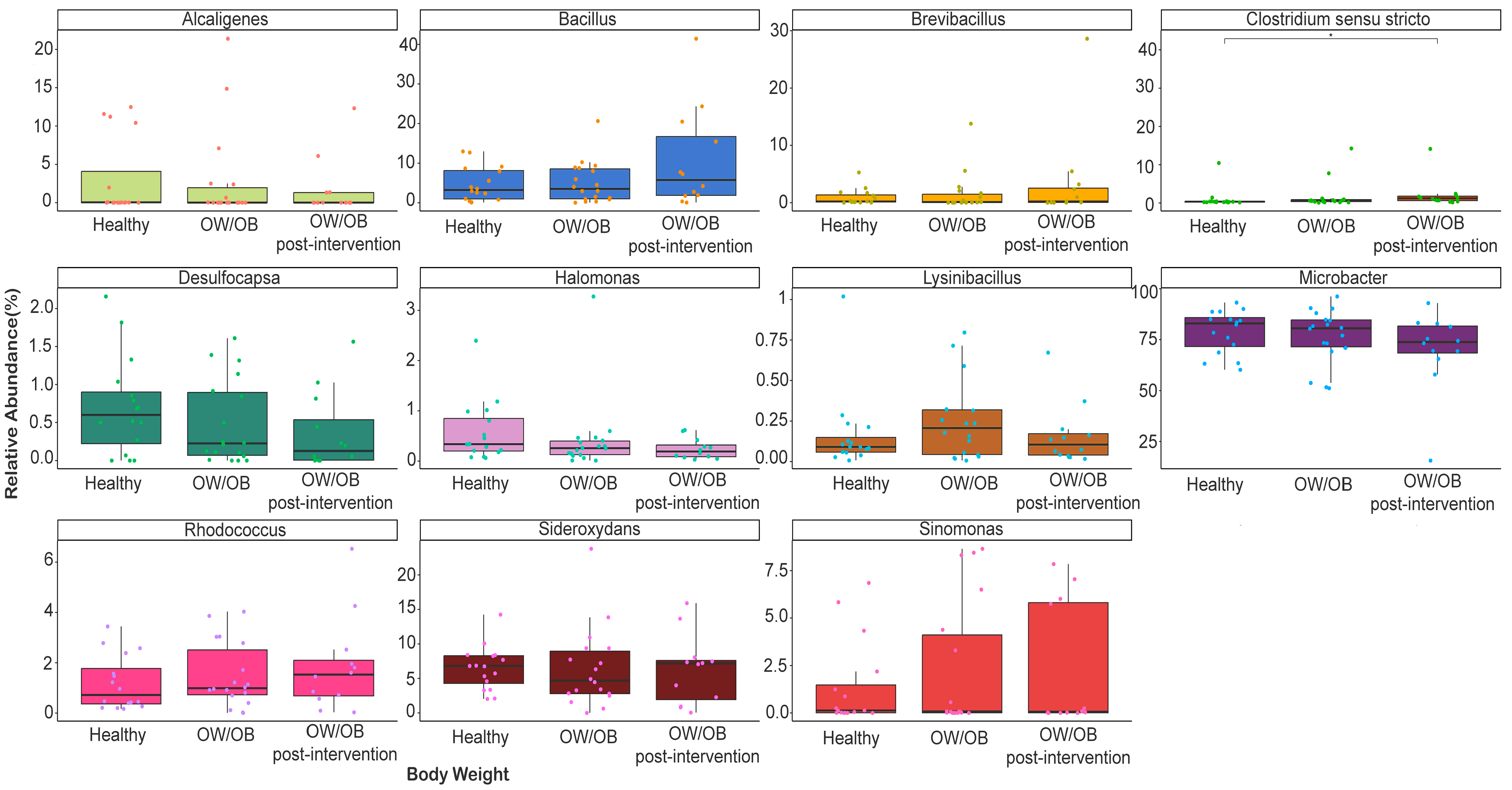
3.3. Measurable Change in Four Gut Microbiome Phyla and Eleven Genera among Prevalent Phyla in OW/OB Adolescents after Employing Lifestyle Modification Program
3.4. Alpha, Beta Diversity Indices Differential Abundance of Microbiomes among the Study Participants
3.5. OW/OB Adolescents Exhibit Increased Levels of Urinary TNF-α, IL-6, and ET-1 Compared to Healthy Controls
3.6. OW/OB Adolescents’ Psychological Behaviors Show Marginal Improvement through Lifestyle Modification Programs
3.7. Significant Correlations between Inflammatory and Psychological Indexes across Various Phyla in OW/OB Participants
3.8. Functional Pathway Abundance Differences between Post-Intervening OW/OB Participants Compared to OW/OB and Healthy Participants
4. Discussion
5. Conclusions
Supplementary Materials
Author Contributions
Funding
Institutional Review Board Statement
Informed Consent Statement
Data Availability Statement
Acknowledgments
Conflicts of Interest
References
- Statistics, O. Obesity Action Coalition. Available online: https://www.obesityaction.org/get-educated/public-resources/obesity-statistics-fact-sheets/ (accessed on 20 September 2023).
- Salam, R.A.; Padhani, Z.A.; Das, J.K.; Shaikh, A.Y.; Hoodbhoy, Z.; Jeelani, S.M.; Lassi, Z.S.; Bhutta, Z.A. Effects of Lifestyle Modification Interventions to Prevent and Manage Child and Adolescent Obesity: A Systematic Review and Meta-Analysis. Nutrients 2020, 12, 2208. [Google Scholar] [CrossRef] [PubMed]
- Shah, S.M. Epidemiology of type 2 diabetes mellitus in pediatric populations. In Management of Pediatric Obesity and Diabetes; Ferry, R., Jr., Ed.; Nutrition and Health; Springer: New York, NY, USA, 2011; pp. 251–264. [Google Scholar]
- Wen, X.; Zhang, B.; Wu, B.; Xiao, H.; Li, Z.; Li, R.; Xu, X.; Li, T. Signaling pathways in obesity: Mechanisms and therapeutic interventions. Signal Transduct. Target. Ther. 2022, 7, 298. [Google Scholar] [CrossRef]
- Cavalcante-Silva, L.H.A.; Galvão, J.G.F.M.; Silva, J.S.d.F.d.; de Sales-Neto, J.M.; Rodrigues-Mascarenhas, S. Obesity-Driven Gut Microbiota Inflammatory Pathways to Metabolic Syndrome. Front. Physiol. 2015, 6, 341. [Google Scholar] [CrossRef]
- Ley, R.E.; Bäckhed, F.; Turnbaugh, P.; Lozupone, C.A.; Knight, R.D.; Gordon, J.I. Obesity alters gut microbial ecology. Proc. Natl. Acad. Sci. USA 2005, 102, 11070–11075. [Google Scholar] [CrossRef] [PubMed]
- Mitrea, L.; Nemes, S.A.; Szabo, K.; Teleky, B.E.; Vodnar, D.C. Guts Imbalance Imbalances the Brain: A Review of Gut Microbiota Association with Neurological and Psychiatric Disorders. Front. Med. 2022, 9, 813204. [Google Scholar] [CrossRef] [PubMed]
- Park, H.S.; Park, J.Y.; Yu, R. Relationship of obesity and visceral adiposity with serum concentrations of CRP, TNF-α and IL-6. Diabetes Res. Clin. Pract. 2005, 69, 29–35. [Google Scholar] [CrossRef]
- Singh, R.; Verma, A.; Aljabari, S.; Vasylyeva, T.L. Urinary biomarkers as indicator of chronic inflammation and endothelial dysfunction in obese adolescents. BMC Obes. 2017, 4, 11. [Google Scholar] [CrossRef]
- Singh, R.K.; Chang, H.-W.; Yan, D.; Lee, K.M.; Ucmak, D.; Wong, K.; Abrouk, M.; Farahnik, B.; Nakamura, M.; Zhu, T.H.; et al. Influence of diet on the gut microbiome and implications for human health. J. Transl. Med. 2017, 15, 73. [Google Scholar] [CrossRef]
- Engin, A. Endothelial Dysfunction in Obesity. Adv. Exp. Med. Biol. 2017, 960, 345–379. [Google Scholar] [CrossRef]
- Agustí, A.; García-Pardo, M.P.; López-Almela, I.; Campillo, I.; Maes, M.; Romani-Pérez, M.; Sanz, Y. Interplay Between the Gut-Brain Axis, Obesity and Cognitive Function. Front. Neurosci. 2018, 12, 155. [Google Scholar] [CrossRef]
- Carabotti, M.; Scirocco, A.; Maselli, M.A.; Severi, C. The gut-brain axis: Interactions between enteric microbiota, central and enteric nervous systems. Ann. Gastroenterol. 2015, 28, 203–209. [Google Scholar] [PubMed]
- Kuczmarski, R.R.J.; Ogden, C.L.C.; Guo, S.S.; Grummer-Strawn, L.M.; Flegal, K.M.; Mei, Z.; Wei, R.; Curtin, L.R.; Roche, A.F.; Johnson, C.L. 2000 CDC Growth Charts for the United States: Methods and development. Vital Health Stat. 2002, 246, 1–190. [Google Scholar]
- Liu, J.; Ding, R.; Gao, R.; Bao, Y.; Hood, S.K.; Ni, S. A preliminary investigation of psychometric properties of the youth-reported Pediatric Symptom Checklist (PSC-Y) in Chinese elementary, middle, and high schools. J. Affect. Disord. 2022, 311, 205–213. [Google Scholar] [CrossRef]
- Zhang, D.; Fan, C.; Zhang, J.; Zhang, C.-H. Nonparametric methods for measurements below detection limit. Stat. Med. 2009, 28, 700–715. [Google Scholar] [CrossRef]
- Dietrich, A.; Matchado, M.S.; Zwiebel, M.; Ölke, B.; Lauber, M.; Lagkouvardos, I.; Baumbach, J.; Haller, D.; Brandl, B.; Skurk, T.; et al. Namco: A microbiome explorer. Microb. Genom. 2022, 8, 000852. [Google Scholar] [CrossRef] [PubMed]
- Langille, M.G.I.; Zaneveld, J.; Caporaso, J.G.; McDonald, D.; Knights, D.; Reyes, J.A.; Clemente, J.C.; Burkepile, D.E.; Vega Thurber, R.L.; Knight, R.; et al. Predictive functional profiling of microbial communities using 16S rRNA marker gene sequences. Nat. Biotechnol. 2013, 31, 814–821. [Google Scholar] [CrossRef] [PubMed]
- Ley, R.E.; Turnbaugh, P.J.; Klein, S.; Gordon, J.I. Microbial ecology: Human gut microbes associated with obesity. Nature 2006, 444, 1022–1023. [Google Scholar] [CrossRef]
- Magne, F.; Gotteland, M.; Gauthier, L.; Zazueta, A.; Pesoa, S.; Navarrete, P.; Balamurugan, R. The Firmicutes/Bacteroidetes Ratio: A Relevant Marker of Gut Dysbiosis in Obese Patients? Nutrients 2020, 12, 1474. [Google Scholar] [CrossRef]
- Salah, M.; Azab, M.; Ramadan, A.; Hanora, A. New Insights on Obesity and Diabetes from Gut Microbiome Alterations in Egyptian Adults. OMICS A J. Integr. Biol. 2019, 23, 477–485. [Google Scholar] [CrossRef]
- Dod, H.S.; Bhardwaj, R.; Sajja, V.; Weidner, G.; Hobbs, G.R.; Konat, G.W.; Manivannan, S.; Gharib, W.; Warden, B.E.; Nanda, N.C.; et al. Effect of intensive lifestyle changes on endothelial function and on inflammatory markers of atherosclerosis. Am. J. Cardiol. 2010, 105, 362–367. [Google Scholar] [CrossRef]
- Popko, K.; Gorska, E.; Stelmaszczyk-Emmel, A.; Plywaczewski, R.; Stoklosa, A.; Gorecka, D.; Pyrzak, B.; Demkow, U. Proinflammatory cytokines IL-6 and TNF-α and the development of inflammation in obese subjects. Eur. J. Med. Res. 2010, 15 (Suppl. S2), 120–122. [Google Scholar] [CrossRef] [PubMed]
- Fabricatore, A.N.; Wadden, T.A. Psychological aspects of obesity. Clin. Dermatol. 2004, 22, 332–337. [Google Scholar] [CrossRef] [PubMed]
- Orbe-Orihuela, Y.C.; Lagunas-Martínez, A.; Bahena-Román, M.; Madrid-Marina, V.; Torres-Poveda, K.; Flores-Alfaro, E.; Méndez-Padrón, A.; Díaz-Benítez, C.E.; Peralta-Zaragoza, O.; Antúnez-Ortiz, D.; et al. High relative abundance of firmicutes and increased TNF-α levels correlate with obesity in children. Salud Publica Mex. 2018, 60, 5–11. [Google Scholar] [CrossRef] [PubMed]
- Buhmann, H.; le Roux, C.W.; Bueter, M. The gut–brain axis in obesity. Best Pract. Res. Clin. Gastroenterol. 2014, 28, 559–571. [Google Scholar] [CrossRef] [PubMed]
- Morais, L.H.; Schreiber, H.L., IV; Mazmanian, S.K. The gut microbiota–brain axis in behaviour and brain disorders. Nat. Rev. Microbiol. 2021, 19, 241–255. [Google Scholar] [CrossRef] [PubMed]
- Tamana, S.K.; Tun, H.M.; Konya, T.; Chari, R.S.; Field, C.J.; Guttman, D.S.; Becker, A.B.; Moraes, T.J.; Turvey, S.E.; Subbarao, P.; et al. Bacteroides-dominant gut microbiome of late infancy is associated with enhanced neurodevelopment. Gut Microbes 2021, 13, 1930875. [Google Scholar] [CrossRef] [PubMed]
- Gomes, A.C.; Hoffmann, C.; Mota, J.F. The human gut microbiota: Metabolism and perspective in obesity. Gut Microbes 2018, 9, 308–325. [Google Scholar] [CrossRef]
- Fan, Y.; Pedersen, O. Gut microbiota in human metabolic health and disease. Nat. Rev. Microbiol. 2021, 19, 55–71. [Google Scholar] [CrossRef]
- Wachsmuth, H.R.; Weninger, S.N.; Duca, F.A. Role of the gut–brain axis in energy and glucose metabolism. Exp. Mol. Med. 2022, 54, 377–392. [Google Scholar] [CrossRef]
- Liu, Y.; Hou, Y.; Wang, G.; Zheng, X.; Hao, H. Gut Microbial Metabolites of Aromatic Amino Acids as Signals in Host–Microbe Interplay. Trends Endocrinol. Metab. 2020, 31, 818–834. [Google Scholar] [CrossRef]






| Parameters (M ± SD or n) | Healthy (n = 16) | OW/OB (n = 22) | |
|---|---|---|---|
| Gender | Male (n = 17) | 7 | 10 |
| Female (n = 21) | 9 | 12 | |
| Age (years) | 8–12 (n = 18) | 9.5 ± 1.4 | 10.1 ± 1.36 |
| 13–18 (n = 16) | 16.1 ± 0.98 | 14.77 ± 1.74 | |
| Hight (cm) | 153.8 ± 17.8 | 164.3 ± 11.8 | |
| Weight (kg) | 47.4 ± 16.7 | 63.5 ± 42.4 | |
| Race | African American (n = 3) | 1 | 2 |
| Hispanic (n = 9) | 3 | 6 | |
| Caucasian (n = 18) | 5 | 0 | |
| Mix-race (n = 6) | 2 | 4 | |
| Body Mass Index (BMI) (kg/m2) | 19.4 ± 3.0 | 31.4 ± 5.2 | |
| BMI-z score | 0.23 ± 0.57 | 2.22 ± 0.34 | |
| Waist-to-hip ratio | 0.67 ± 0.21 | 0.72 ± 0.41 | |
| Phylum | Characteristics | Category | Weight Attribute Comparison | Median Difference (%) | Adjusted p-Value * |
|---|---|---|---|---|---|
| Lifestyle characteristics | |||||
| Firmicutes | Physical activities | Regular | Healthy- OW/OB | −6.25 | 0.037 |
| Firmicutes | Physical activities | Regular | OW/OB vs. OW/OB post-intervention | −22.55 | 0.022 |
| Firmicutes | Physical activities | Regular | Healthy vs. OW/OB post-intervention | −28.79 | 0.000699 |
| Firmicutes | Vegetable consumption | Regular | Healthy vs. OW/OB post-intervention | −28.91 | 0.013 |
| Firmicutes | Vegetable consumption | Sometimes | Healthy vs. OW/OB post-intervention | −14.88 | 0.002 |
| Firmicutes | Fruit consumption | Sometimes | Healthy vs. OW/OB post-intervention | −13.57 | 0.002 |
| Firmicutes | Meals outside | No | OW/OB vs. OW/OB post-intervention | −8.97 | 0.031 |
| Firmicutes | Meals outside | No | Healthy vs. OW/OB post-intervention | −13.09 | 0.008 |
| Firmicutes | Meals outside | Sometimes | Healthy vs. OW/OB post-intervention | −33.97 | 0.008 |
| Cytokine parameters | |||||
| Bacteroidetes | TNF-alpha level | Higher | OW/OB vs. OW/OB post-intervention | 20.57 | 0.009 |
| Firmicutes | TNF-alpha level | Higher | Healthy vs. OW/OB post-intervention | −23.58 | 0.001 |
| Firmicutes | TNF-alpha level | Higher | OW/OB vs. OW/OB post-intervention | −15.27 | 0.01 |
| Firmicutes | IL-6 level | Normal | OW/OB vs. OW/OB post-intervention | −11.54 | 0.017 |
| Firmicutes | IL-6 level | Normal | Healthy vs. OW/OB post-intervention | −15.07 | 0.000495 |
| Bacteroidetes | ET1 level | Higher | Healthy vs. OW/OB post-intervention | 33.85 | 0.019 |
| Firmicutes | ET1 level | Higher | Healthy vs. OW/OB post-intervention | −38.75 | 0.005 |
| Firmicutes | ET1 level | Normal | Healthy vs. OW/OB post-intervention | −15.54 | 0.004 |
| Mental health attributes | |||||
| Bacteroidetes | Internalizing problem | Frequent | Healthy vs. OW/OB post-intervention | 18.38 | 0.036 |
| Bacteroidetes | Internalizing problem | Frequent | OW/OB vs. OW/OB post-intervention | 12.32 | 0.036 |
| Firmicutes | Internalizing problem | Frequent | OW/OB vs. OW/OB post-intervention | −10.76 | 0.015 |
| Firmicutes | Internalizing problem | Frequent | Healthy vs. OW/OB post-intervention | −13.01 | 0.00075 |
| Bacteroidetes | Attention problem | Frequent | Healthy vs. OW/OB post-intervention | 28.23 | 0.026 |
| Bacteroidetes | Attention problem | Frequent | OW/OB vs. OW/OB post-intervention | 15.01 | 0.026 |
| Firmicutes | Attention problem | Frequent | OW/OB vs. OW/OB post-intervention | −10.95 | 0.047 |
| Firmicutes | Attention problem | Frequent | Healthy vs. OW/OB post-intervention | −16.85 | 0.000274 |
| Firmicutes | Externalizing problem | Frequent | OW/OB vs. OW/OB post-intervention | −12.15 | 0.036 |
| Firmicutes | Externalizing problem | Frequent | Healthy vs. OW/OB post-intervention | −21.04 | 0.007 |
| Bacteroidetes | Suicidality | Negative | Healthy vs. OW/OB post-intervention | 22.79 | 0.015 |
| Bacteroidetes | Suicidality | Negative | OW/OB vs. OW/OB post-intervention | 12.42 | 0.041 |
| Firmicutes | Suicidality | Negative | OW/OB vs. OW/OB post-intervention | −12.13 | 0.009 |
| Firmicutes | Suicidality | Negative | Healthy vs. OW/OB post-intervention | −15.54 | 0.0000022 |
| Bacteroidetes | Non-categorical | Abnormal | Healthy vs. OW/OB post-intervention | 20.8 | 0.013 |
| Bacteroidetes | Non-categorical | Abnormal | OW/OB vs. OW/OB post-intervention | 14.99 | 0.033 |
| Firmicutes | Non-categorical | Abnormal | OW/OB vs. OW/OB post-intervention | −10.74 | 0.013 |
| Firmicutes | Non-categorical | Abnormal | Healthy vs. OW/OB post-intervention | −14.04 | 0.0000241 |
| Bacteroidetes | Total score | Normal | Healthy vs. OW/OB post-intervention | 22.68 | 0.013 |
| Bacteroidetes | Total score | Normal | OW/OBvs OW/OB post-intervention | 12.56 | 0.04 |
| Firmicutes | Total score | Normal | OW/OB vs. OW/OB post-intervention | −13.51 | 0.007 |
| Firmicutes | Total score | Normal | Healthy vs. OW/OB post-intervention | −17.04 | 0.00000155 |
Disclaimer/Publisher’s Note: The statements, opinions and data contained in all publications are solely those of the individual author(s) and contributor(s) and not of MDPI and/or the editor(s). MDPI and/or the editor(s) disclaim responsibility for any injury to people or property resulting from any ideas, methods, instructions or products referred to in the content. |
© 2023 by the authors. Licensee MDPI, Basel, Switzerland. This article is an open access article distributed under the terms and conditions of the Creative Commons Attribution (CC BY) license (https://creativecommons.org/licenses/by/4.0/).
Share and Cite
Islam, M.S.; Page-Hefley, S.; Hernandez, A.P.; Whelchel, L.; Crasto, C.; Viator, W.; Money, T.; Awosile, B.; Howard, N.; Vasylyeva, T.L. Change in Urinary Inflammatory Biomarkers and Psychological Health with Gut Microbiome Modulation after Six Months of a Lifestyle Modification Program in Children. Nutrients 2023, 15, 4243. https://doi.org/10.3390/nu15194243
Islam MS, Page-Hefley S, Hernandez AP, Whelchel L, Crasto C, Viator W, Money T, Awosile B, Howard N, Vasylyeva TL. Change in Urinary Inflammatory Biomarkers and Psychological Health with Gut Microbiome Modulation after Six Months of a Lifestyle Modification Program in Children. Nutrients. 2023; 15(19):4243. https://doi.org/10.3390/nu15194243
Chicago/Turabian StyleIslam, Md Saimul, Shyanne Page-Hefley, Anne P. Hernandez, Luke Whelchel, Chiquito Crasto, Whitney Viator, Treyce Money, Babafela Awosile, Noel Howard, and Tetyana L. Vasylyeva. 2023. "Change in Urinary Inflammatory Biomarkers and Psychological Health with Gut Microbiome Modulation after Six Months of a Lifestyle Modification Program in Children" Nutrients 15, no. 19: 4243. https://doi.org/10.3390/nu15194243
APA StyleIslam, M. S., Page-Hefley, S., Hernandez, A. P., Whelchel, L., Crasto, C., Viator, W., Money, T., Awosile, B., Howard, N., & Vasylyeva, T. L. (2023). Change in Urinary Inflammatory Biomarkers and Psychological Health with Gut Microbiome Modulation after Six Months of a Lifestyle Modification Program in Children. Nutrients, 15(19), 4243. https://doi.org/10.3390/nu15194243

