Predicting Vascular Plant Diversity in Anthropogenic Peatlands: Comparison of Modeling Methods with Free Satellite Data
Abstract
:1. Introduction
2. Materials and Methods
2.1. Study Area
2.2. Ground Data
2.3. Remote Sensing Predictors
2.4. Statistical Models
- Identify the proper model family to deal with the statistical properties of the observed variables. To predict species richness, we compared the normalized quantile-plots of the residuals of several GLMs, using the model families which are generally recommended for count data: Poisson, Quasi-Poisson, and negative binomial. All models tested were set with log-link functions. To predict the diversity, we tested model families (recommended for continuous positive data) as Gamma with inverse, identity, and log-link functions. Likewise, we tested less adequate Gaussian error distribution with log-link function. In all cases we tested the models using the best (only one) predictor, ranked by recursive feature elimination (RFE; see below). By the shape of the normalized quantile-plots of the residuals, we selected the Poisson error distribution with a log-link function for the species richness models, while the Gaussian error distribution with log-link function was selected for the prediction of diversity.
- Select the subset of predictors for each model. As GLMs cannot cope with multi-collinearity among independent predictors, a selection and ranking of the most important predictors was performed by the recursive feature elimination (RFE) algorithm [41]. This algorithm operates based in an iterative procedure, in which one predictor at a time is eliminated and ranked by its importance. We used random forest as the kernel. RFE was implemented using a leave-one-out cross validation procedure to acquire the RMSE and the number and importance of predictors. Models were selected based on a tradeoff between a low RMSE and a low number of predictors. In addition, we followed the recommendations of Hair et al. [42], who state that the number of observations should not be less than 5 per predictor, and ideally should be between 15 and 20.
- With the first subset obtained, the correlation between these predictors was assessed using the Pearson correlation coefficient (r), selecting the pairs of predictors with r ≥ ǀ0.6ǀ and eliminating, one by one, the least important predictors according to the RFE ranking. This process was carried out independently for each sensor model, so the models could be compared.
- Select the final model. The final number of predictors were determined by calculating several models and adding a single predictor in each run (starting with the most important predictor according to RFE). The best number of predictors was assessed by comparing the Akaike information criterion (AIC) and deviance [43]. We selected the model using three predictors.
2.5. Model Validation
2.6. Predictive Species Map
3. Results
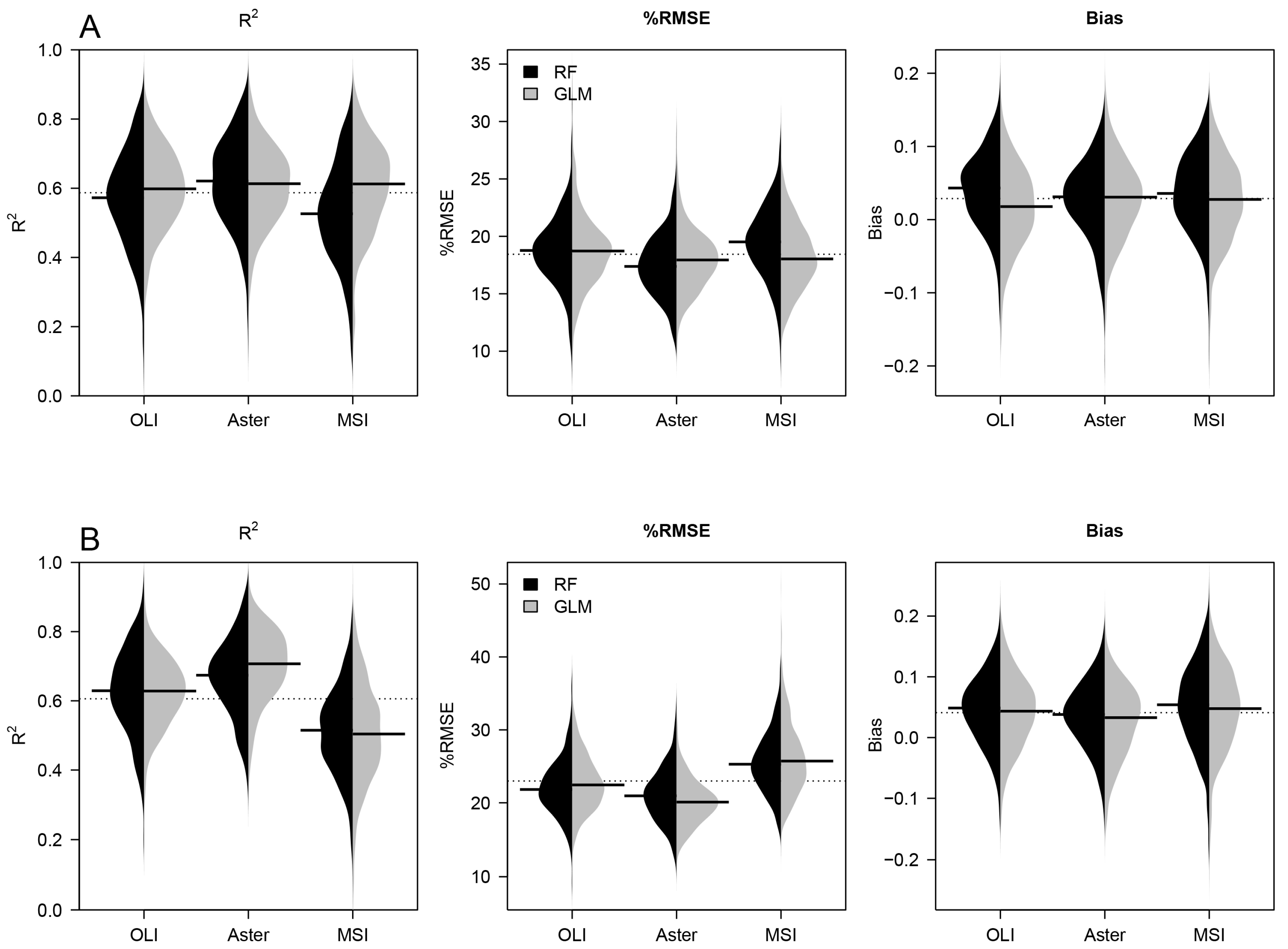
3.1. Model Performance
3.2. Prediction Map
4. Discussion
4.1. Selected Predictors and Their Ecological Implications
4.2. Satellite Sensor Comparison
4.3. Model Comparisons
5. Conclusions
Supplementary Materials
Acknowledgments
Author Contributions
Conflicts of Interest
References
- Zedler, J.B.; Kercher, S. Wetland resources: Status, trends, ecosystem services, and restorability. Annu. Rev. Environ. Resour. 2005, 30, 39–74. [Google Scholar] [CrossRef]
- Bullock, A.; Acreman, M. The role of wetlands in the hydrological cycle. Hydrol. Earth Syst. Sci. 2003, 7, 358–389. [Google Scholar] [CrossRef]
- Keddy, P.A. Wetland Ecology: Principles and Conservation, 2nd ed.; Cambridge University Press: New York, NY, USA, 2010; p. 497. [Google Scholar]
- Díaz, M.F.; Bigelow, S.; Armesto, J.J. Alteration of the hydrologic cycle due to forest clearing and its consequences for rainforest succession. For. Ecol. Manag. 2007, 244, 32–40. [Google Scholar] [CrossRef]
- Duffy, E. Why biodiversity is important to the functioning of real-world ecosystems. Front. Ecol. Environ. 2009, 7, 437–444. [Google Scholar] [CrossRef]
- Turner, W. Sensing biodiversity. Science 2014, 346, 301–302. [Google Scholar] [CrossRef] [PubMed]
- Lee, K.H.; Lunetta, R.S. Wetland detection methods. In Wetland and Environmental Application of GIS, 1st ed.; Lyon, J.G., McCarthy, J., Eds.; Lewis Publishers: New York, NY, USA, 1996; pp. 249–284. [Google Scholar]
- Evans, T.L.; Costa, M.; Tomas, W.M.; Camilo, A.R. Large-scale habitat mapping of the Brazilian Pantanal wetland: A synthetic aperture radar approach. Remote Sens. Environ. 2014, 155, 89–108. [Google Scholar] [CrossRef]
- Luo, S.; Wang, C.; Pan, F.; Xi, X.; Li, G.; Nie, S. Estimation of wetland vegetation height and leaf area index using airborne laser scanning data. Ecol. Indic. 2015, 48, 550–559. [Google Scholar] [CrossRef]
- Cole, B.; McMorrow, J.; Evans, M. Spectral monitoring of moorland plant phenology to identify a temporal window for hyperspectral remote sensing of peatland. ISPRS J. Photogramm. Remote Sens. 2014, 90, 49–58. [Google Scholar] [CrossRef]
- Cole, B.; McMorrow, J.; Evans, M. Empirical modeling of vegetation abundance from airborne hyperspectral data for upland peatland restoration monitoring. Remote Sens. 2014, 6, 716–739. [Google Scholar] [CrossRef]
- Aslan, A.; Rahman, A.; Warren, M.; Robeson, S. Mapping spatial distribution and biomass of coastal wetland vegetation in Indonesian Papua by combining active and passive remotely. Remote Sens. Environ. 2016, 183, 65–81. [Google Scholar] [CrossRef]
- Dabrowska-Zielinska, K.; Budzynska, M.; Tomaszewska, M.; Bartold, M.; Gatkowska, M.; Malek, I.; Turlej, K.; Napiorkowska, M. Monitoring wetlands ecosystems using ALOS PALSAR (L-Band, HV) supplemented by optical data: A case study of Biebrza Wetlands in Northeast Poland. Remote Sens. 2014, 6, 1605–1633. [Google Scholar] [CrossRef]
- Adam, E.; Mutanga, O.; Rugege, D. Multispectral and hyperspectral remote sensing for identification and mapping of wetland vegetation: A review. Wetl. Ecol. Manag. 2009, 18, 281–296. [Google Scholar] [CrossRef]
- Savage, S.L.; Lawrence, R.L.; Squires, J.R. Predicting relative species composition within mixed conifer forest pixels using zero-inflated models and Landsat imagery. Remote Sens. Environ. 2015, 171, 326–336. [Google Scholar] [CrossRef]
- Mutowo, G.; Murwira, A. Relationship between remotely sensed variables and tree species diversity in savanna woodlands of Southern Africa. Int. J. Remote Sens. 2012, 33, 6378–6402. [Google Scholar] [CrossRef]
- Laurin, G.; Puletti, N.; Hawthorne, W.; Liesenberg, V.; Corona, P.; Papale, D.; Chen, Q.; Valentini, R. Discrimination of tropical forest types, dominant species, and mapping of functional guilds by hyperspectral and simulated multispectral Sentinel-2 data. Remote Sens. Environ. 2016, 176, 163–176. [Google Scholar] [CrossRef]
- Shoko, C.; Mutanga, O. Examining the strength of the newly-launched Sentinel 2 MSI sensor in detecting and discriminating subtle differences between C3 and C4 grass species. ISPRS J. Photogramm. Remote Sens. 2017, 129, 32–40. [Google Scholar] [CrossRef]
- Cabezas, J.; Galleguillos, M.; Perez–Quezada, J.F. Predicting vascular plant richness in a heterogeneous wetland using spectral and textural features and a random forest algorithm. IEEE Geosci. Remote Sens. Lett. 2016, 13, 646–650. [Google Scholar] [CrossRef]
- Lopatin, J.; Galleguillos, M.; Fassnacht, F.E.; Ceballos, A.; Hernández, J. Using a multistructural object–based LiDAR approach to estimate vascular plant richness in Mediterranean forests with complex structure. IEEE Geosci. Remote Sens. Lett. 2015, 12, 1008–1012. [Google Scholar] [CrossRef]
- Latifi, H.; Fassnacht, F.; Koch, B. Forest structure modeling with combined airborne hyperspectral and LiDAR data. Remote Sens. Environ. 2012, 121, 10–25. [Google Scholar] [CrossRef]
- Shannon, C. A mathematical theory of communication. Bell Syst. Tech. J. 1948, 27, 379–423. [Google Scholar] [CrossRef]
- Nagendra, H. Opposite trends in response for the Shannon and Simpson indices for landscape diversity. Appl. Geogr. 2002, 22, 175–186. [Google Scholar] [CrossRef]
- Laurin, G.; Chan, J.; Chen, Q.; Lindsell, J.; Coomes, D.; Guerriero, L.; del Frate, F.; Miglietta, F.; Valentini, R. Biodiversity Mapping in a Tropical West African Forest with Airborne Hyperspectral Data. PLoS ONE 2014, 9, e97910. [Google Scholar]
- Rocchini, D.; Marcantonio, M.; Riccota, C. Measuring Rao’s Q diversity index from remote sensing: An open source solution. Ecol. Indic. 2017, 72, 234–238. [Google Scholar] [CrossRef]
- Rocchini, D.; Balkenhol, N.; Carter, G.A.; Foody, G.M.; Gillespie, T.W.; He, K.S.; Kark, S.; Levin, N.; Lucas, K.; Luoto, M.; et al. Remotely sensed spectral heterogeneity as a proxy of species diversity: Recent advances and open challenges. Ecol. Inform. 2010, 5, 318–329. [Google Scholar] [CrossRef]
- Oldeland, J.; Wesuls, D.; Rocchini, D.; Schmidt, M.; Jurgens, N. Does using species abundance data improve estimates of species diversity from remotely sensed spectral heterogeneity? Ecol. Indic. 2010, 10, 390–396. [Google Scholar] [CrossRef]
- Ceballos, A.; Hernández, J.; Corvalán, P.; Galleguillos, M. Comparison of airborne LiDAR and satellite hyperspectral remote sensing to estimate vascular plant richness in deciduous mediterranean forests of central Chile. Remote Sens. 2015, 7, 2692–2714. [Google Scholar] [CrossRef]
- Feilhauer, H.; Schmidtlein, S. Mapping continuous fields of forest alpha and beta diversity. Appl. Veg. Sci. 2009, 12, 429–439. [Google Scholar] [CrossRef]
- Fava, F.; Parolo, G.; Colombo, R.; Gusmeroli, F.; DellaMarianna, G.; Monteiro, A.; Bocchi, S. Fine-scale assessment of hay meadow productivity and plant diversity in the European Alps using field spectrometric data. Agric. Ecosyst. Environ. 2010, 137, 151–157. [Google Scholar] [CrossRef]
- Foody, G.; Cutler, M. Tree biodiversity in protected and logged Bornean tropical rain forests and its measurement by satellite remote sensing. J. Biogeogr. 2003, 30, 1053–1066. [Google Scholar] [CrossRef]
- Foody, G.M.; Cutler, M.E.J. Mapping the species richness and composition of tropical forests from remotely sensed data with neural networks. Ecol. Model. 2006, 195, 37–42. [Google Scholar] [CrossRef]
- Lopatin, J.; Dolos, K.; Hernández, H.J.; Galleguillos, M.; Fassnacht, F.E. Comparison Generalized Linear Model and random forest to model vascular plant species richness using LiDAR data in a natural forest in central Chile. Remote Sens. Environ. 2016, 173, 200–210. [Google Scholar] [CrossRef]
- Díaz, M.F.; Larrain, J.; Zegers, G.; Tapia, C. Caracterización florística e hidrológica de turberas de la Isla Grande de Chiloé, Chile. Rev. Chil. Hist. Nat. 2008, 81, 455–468. [Google Scholar] [CrossRef]
- Ulanowski, T.A.; Branfireun, B.A. Small-scale variability in peatland pore-water biogeochemistry, Hudson Bay Lowland, Canada. Sci. Total Environ. 2013, 454-455, 211–218. [Google Scholar] [CrossRef] [PubMed]
- Cabezas, J.; Galleguillos, M.; Valdés, A.; Fuentes, J.P.; Pérez, C.; Perez–Quezada, J.F. Evaluation of impacts of management in an anthropogenic peatland using field and remote sensing data. Ecosphere 2015, 6, 282. [Google Scholar] [CrossRef]
- Chavez, P.S. An improved dark-object subtraction technique for atmospheric scattering correction of multispectral data. Remote Sens. Environ. 1988, 24, 459–479. [Google Scholar] [CrossRef]
- Mairota, P.; Cafarelli, B.; Labadessa, R.; Lovergine, F.; Tarantino, C.; Lucas, R.M.; Nagendra, H.; Didham, R. Very high resolution Earth observation features for monitoring plant and animal community structure across multiple spatial scales in protected areas. Int. J. Appl. Earth Obs. Geoinform. 2015, 37, 100–105. [Google Scholar] [CrossRef]
- Haralick, R.; Shanmugan, K.; Dinstein, I. Textural features for image classification. IEEE Trans. Syst. Man Cybern. 1973, 3, 610–621. [Google Scholar] [CrossRef]
- Baig, M.H.A.; Zhang, L.; Shuai, T.; Tong, Q. Derivation of a tasselled cap transformation based on Landsat 8 at–satellite reflectance. Remote Sens. Lett. 2014, 5, 423–431. [Google Scholar] [CrossRef]
- Guyon, I.; Weston, J.; Barnhill, S. Gene selection for cancer classification using support vector machines. Mach. Learn. 2002, 46, 389–422. [Google Scholar] [CrossRef]
- Hair, J.F.J.; Black, W.C.; Babin, B.J.; Anderson, R.E. Multivariate Data Analysis: A Global Perspective, 7th ed.; Prentice Hall: Upper Saddle River, NJ, USA, 2009; p. 800. [Google Scholar]
- Posada, D.; Buckley, T.R. Model selection and model averaging in phylogenetics: advantages of Akaike information criterion and bayesian approaches over likelihood ratio tests. Syst. Biol. 2004, 53, 793–808. [Google Scholar] [CrossRef] [PubMed]
- Breiman, L. Random forests. Mach. Learn. 2001, 45, 5–32. [Google Scholar] [CrossRef]
- Svetnik, V.; Liaw, A.; Tong, C.; Culberson, J.; Sheridan, R.P.; Feuston, B.P. Random forest: A classification and regression tool for compound classification and QSAR modeling. J. Chem. Inf. Comput. Sci. 2003, 43, 1947–1958. [Google Scholar] [CrossRef] [PubMed]
- Fassnacht, F.; Neumann, C.; Förster, M.; Buddenbaum, H.; Ghosh, A.; Clasen, A.; Joshi, P.K.; Koch, B. Comparison of feature reduction algorithms for classifying tree species with hyperspectral data on three central European test sites. IEEE J. Sel. Top. Appl. Earth Obs. Remote Sens. 2014, 7, 2547–2561. [Google Scholar] [CrossRef]
- Liaw, A.; Wiener, M. Classification and regression by randomForest. R News 2002, 2, 18–22. [Google Scholar]
- Kuhn, M. Caret: Classification and Regression Training, R Package Version 6.0-71; 2016. Available online: https://github.com/topepo/caret/ (accessed on 1 July 2017).
- Shapiro, S.S.; Wilk, M.B. An analysis of variance test for normality (complete samples). Biometrika 1965, 52, 591–611. [Google Scholar] [CrossRef]
- Moran, P.A.P. Notes on continuous stochastic phenomena. Biometrika 1950, 37, 17–23. [Google Scholar] [CrossRef] [PubMed]
- Chuvieco, E. Teledetección Ambiental, 3rd ed.; RIALP: Madrid, Spain, 2002; p. 608. [Google Scholar]
- Vaiphasa, C.; Skidmore, A.K.; de Boer, W.F.; Vaiphasa, T. A hyperspectral band selector for plant species discrimination. ISPRS J. Photogramm. Remote Sens. 2007, 62, 225–235. [Google Scholar] [CrossRef]
- Ollinger, S.V. Sources of variability in canopy reflectance and the convergent properties of plants. New Phytol. 2011, 189, 375–394. [Google Scholar] [CrossRef] [PubMed]
- Kattenborn, T.; Fassnacht, F.; Pierce, S.; Lopatin, J.; Grime, J.P.; Schmidtlein, S. Linking plant strategies and plant traits derived by radiative transfer modelling. J. Veg. Sci. 2017, 38, 42–49. [Google Scholar] [CrossRef]
- Kumar, L.; Schmidt, K.S.; Dury, S.; Skidmore, A.K. Review of hyperspectral remote sensing and vegetation Science. In Imaging Spectrometry: Basic Principles and Prospective Applications, 1st ed.; Van Der Meer, F.D., De Jong, S.M., Eds.; Springer: Enchede, The Netherlands, 2001; pp. 111–154. [Google Scholar]
- Anderson, R.R. Spectral Reflectance Characteristics and Automated Data Reduction Techniques which Identify Wetland and Water Quality Condition in the Chesapeake Bay; Third Annual Earth Resources Program 329; Johnson Space Center: Houston, TX, USA, 1970. [Google Scholar]
- Stein, A.; Gerstner, K.; Kreft, H. Environmental heterogeneity as a universal driver of species richness across taxa, biomes and spatial scales. Ecol. Lett. 2014, 17, 866–880. [Google Scholar] [CrossRef] [PubMed]
- Palmer, M.; Earls, G.; Hoagland, B.; White, W.; Wohlgemuth, T. Quantitative tools for perfecting species lists. Environmetrics 2002, 13, 121–259. [Google Scholar] [CrossRef]
- Schmidtlein, S.; Fassnacht, F.E. The spectral variability hypothesis does not hold across landscapes. Remote Sens. Environ. 2017, 192, 114–125. [Google Scholar] [CrossRef]
- Feilhauer, H.; Thonfeld, F.; Faude, U.; He, K.; Rocchini, D.; Schmidtlein, S. Assessing floristic composition with multispectral sensors: A comparison based on monotemporal and multiseasonal field spectra. Int. J. Appl. Earth Obs. Geoinform. 2013, 21, 218–229. [Google Scholar] [CrossRef]
- Bradley, B.A. Remote detection of invasive plants: A review of spectral, textural and phenological approaches. Biol. Invasions 2014, 16, 1411–1425. [Google Scholar] [CrossRef]
- Chavez, P.S. Image-based atmospheric corrections—Revisited and improved. Photogramm. Eng. Remote Sens. 1996, 62, 1025–1036. [Google Scholar]
- Bridgham, S.D.; Pastor, J.; Janssens, J.A.; Chapin, C.; Malterer, T.J. Multiple limiting gradients in peatlands: A call for a new paradigm. Wetlands 1996, 16, 45–65. [Google Scholar] [CrossRef]
- Nagendra, H.; Rocchini, D. High resolution satellite imagery for tropical biodiversity studies: The devil is in the detail. Biodivers. Conserv. 2008, 17, 3431–3442. [Google Scholar] [CrossRef]
- Ciampi, A. Generalized regression trees. Comput. Stat. Data Anal. 1991, 12, 57–78. [Google Scholar] [CrossRef]
- Loh, W.Y. Classification and regression trees. Wiley Interdiscip. Rev. Data Min. Knowl. Discov. 2011, 1, 14–23. [Google Scholar] [CrossRef]
- Song, L.; Langfelder, P.; Horvath, S. Random generalized linear model: A highly accurate and interpretable ensemble predictor. BMC Bioinform. 2013, 14, 1–22. [Google Scholar] [CrossRef] [PubMed]




| Predictors | Reference or Equation | OLI | ASTER | MSI |
|---|---|---|---|---|
| Bands | ||||
| Blue | B | x | x | |
| Green | G | x | x | x |
| Red | R | x | x | x |
| Near Infrared | NIR | x | x | x |
| Short Wave Infrared | SWIR | x | x | |
| Index | ||||
| Transformed Vegetation Index | x | x | x | |
| All Normalized Difference Index | x | x | x 1 | |
| Tasseled Cap Transformation | TCT = Greenness, Brightness, and Wetness [40] | x | x | |
| Modified Soil Adjusted Vegetation Index | with L = 0.5 | x | x | |
| Difference Vegetation Index | x | x | x | |
| Simple Ratio | x | x | x | |
| Modified Simple Ratio | x | x | x | |
| Renormalized Difference Vegetation Index | x | |||
| Enhanced Vegetation Index | x | x | ||
| Soil Adjusted Vegetation Index | x | x | x | |
| Three-Band Index Wang | a, b, and c are spectral bands | x | ||
| Three-Band Vegetation Index Tian | a, b, and c are spectral bands | x |
| Sensor | Predictors | Textural Metrics | GLM | RF |
|---|---|---|---|---|
| Richness models | ||||
| OLI | NDI | Mean | x | x |
| NIR Band | x | x | ||
| NDI | Contrast | x | ||
| ASTER | Red Band | Mean | x | x |
| NDI | Standard deviation | x | x | |
| NDI | Correlation | x | ||
| MSI | SR | Correlation | x | x |
| TCT Brightness using NIR Band | x | x | ||
| SR | Homogeneity | x | x | |
| Shannon Index models | ||||
| OLI | NDI | Mean | x | x |
| NDI | x | |||
| ASTER | 3BSI_W | Mean | x | x |
| SR | Standard deviation | x | ||
| SR | Mean | x | x | |
| MSI | SR | Correlation | x | x |
| SR | Homogeneity | x | ||
| NIR Band | Contrast | x | x | |
| Sensor | R² | %RMSE | Bias | ||||||
|---|---|---|---|---|---|---|---|---|---|
| GLM | RF | GLM | RF | GLM | RF | ||||
| Richness models | |||||||||
| OLI | 0.59 | 0.57 | - | 18.3 | 18.5 | - | 0.02 | 0.04 | - |
| ASTER | 0.60 | 0.62 | - | 17.7 | 17.2 | - | 0.03 | 0.03 | - |
| MSI | 0.60 | 0.54 | - | 18.3 | 19.1 | - | 0.03 | 0.04 | - |
| Shannon index model | |||||||||
| OLI | 0.63 | 0.62 | - | 22.8 | 21.8 | - | 0.05 | 0.04 | - |
| ASTER | 0.71 | 0.68 | - | 20.2 | 20.5 | - | 0.03 | 0.04 | - |
| MSI | 0.52 | 0.52 | - | 25.6 | 25.1 | - | 0.05 | 0.05 | - |
© 2017 by the authors. Licensee MDPI, Basel, Switzerland. This article is an open access article distributed under the terms and conditions of the Creative Commons Attribution (CC BY) license (http://creativecommons.org/licenses/by/4.0/).
Share and Cite
Castillo-Riffart, I.; Galleguillos, M.; Lopatin, J.; Perez-Quezada, A.J.F. Predicting Vascular Plant Diversity in Anthropogenic Peatlands: Comparison of Modeling Methods with Free Satellite Data. Remote Sens. 2017, 9, 681. https://doi.org/10.3390/rs9070681
Castillo-Riffart I, Galleguillos M, Lopatin J, Perez-Quezada AJF. Predicting Vascular Plant Diversity in Anthropogenic Peatlands: Comparison of Modeling Methods with Free Satellite Data. Remote Sensing. 2017; 9(7):681. https://doi.org/10.3390/rs9070681
Chicago/Turabian StyleCastillo-Riffart, Ivan, Mauricio Galleguillos, Javier Lopatin, and And Jorge F. Perez-Quezada. 2017. "Predicting Vascular Plant Diversity in Anthropogenic Peatlands: Comparison of Modeling Methods with Free Satellite Data" Remote Sensing 9, no. 7: 681. https://doi.org/10.3390/rs9070681
APA StyleCastillo-Riffart, I., Galleguillos, M., Lopatin, J., & Perez-Quezada, A. J. F. (2017). Predicting Vascular Plant Diversity in Anthropogenic Peatlands: Comparison of Modeling Methods with Free Satellite Data. Remote Sensing, 9(7), 681. https://doi.org/10.3390/rs9070681

