Poppy Crop Height and Capsule Volume Estimation from a Single UAS Flight
Abstract
:1. Introduction
2. Materials and Methods
2.1. Study Area
2.2. Data Collection
2.2.1. Field Measurement
2.2.2. GPS Survey
2.2.3. UAS Campaign
2.3. UAS Data Analysis and DSM Generation
2.3.1. DEM Generation
2.4. Vegetation Indices and Bare Ground Pixel Extraction
2.5. Plant Height and Capsule Validation
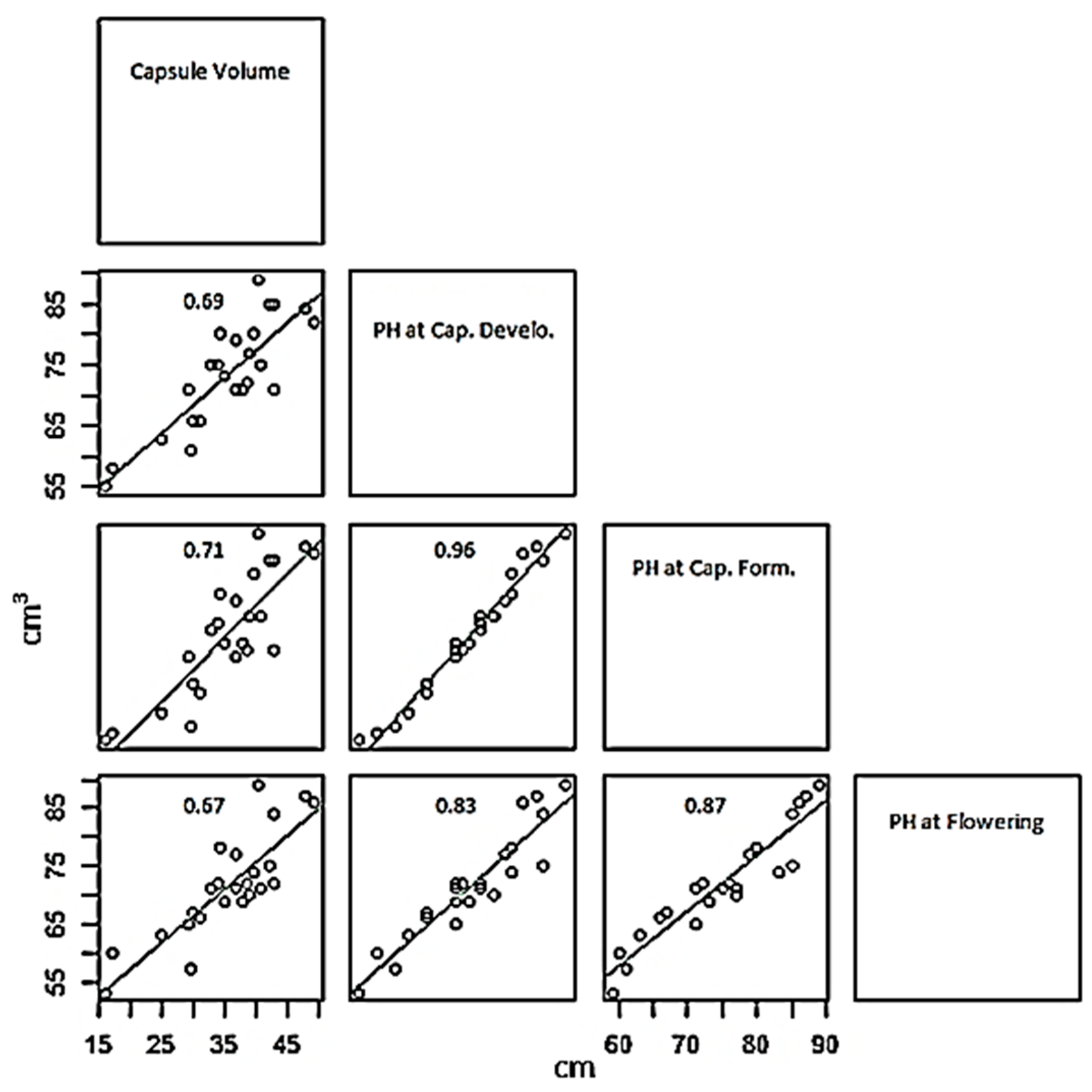
3. Results
3.1. Field Measurements
3.2. Crop Surface Model Generation
3.3. Relationship between CSM-Derived PH and Measured PH
3.4. Relationship between Single Flight PH and Traditionally Measured PH
4. Discussion
5. Conclusions
Acknowledgments
Author Contributions
Conflicts of Interest
Abbreviations
| CSM | Crop Surface Model |
| DSM | Digital Surface Model |
| CHM | Crop Height Model |
| DTM | Digital Terrain Model |
| PH | Plant Height |
| CH | Crop Height |
| CV | Capsule Volume |
| UAS | Unmanned Aircraft System |
| GPS | Global Positioning System |
| DGPS | Differential Global Positioning System |
| RTK | Real Time Kinematic |
| SfM | structure-from-motion |
References
- Zhang, C.H.; Kovacs, J.M. The application of small unmanned aerial systems for precision agriculture: A review. Precis. Agric. 2012, 13, 693–712. [Google Scholar] [CrossRef]
- Berni, J.A.J.; Zarco-Tejada, P.J.; Suarez, L.; Fereres, E. Thermal and Narrowband Multispectral Remote Sensing for Vegetation Monitoring From an Unmanned Aerial Vehicle. IEEE Trans. Geosci. Remote Sens. 2009, 47, 722–738. [Google Scholar] [CrossRef]
- Saari, H.; Pellikka, I.; Pesonen, L.; Tuominen, S.; Heikkilä, J.; Holmlund, C.; Mäkynen, J.; Ojala, K.; Antila, T. Unmanned aerial vehicle (UAV) operated spectral camera system for forest and agriculture applications. In Proceedings of the SPIE 8174, Remote Sensing for Agriculture, Ecosystems, and Hydrology XIII, Prague, Czech Republic, 19 September 2011; Volume 8174. [Google Scholar]
- Baluja, J.; Diago, M.P.; Balda, P.; Zorer, R.; Meggio, F.; Morales, F.; Tardaguila, J. Assessment of vineyard water status variability by thermal and multispectral imagery using an unmanned aerial vehicle (UAV). Irrig. Sci. 2012, 30, 511–522. [Google Scholar] [CrossRef]
- Stagakis, S.; González-Dugo, V.; Cid, P.; Guillén-Climent, M.L.; Zarco-Tejada, P.J. Monitoring water stress and fruit quality in an orange orchard under regulated deficit irrigation using narrow-band structural and physiological remote sensing indices. ISPRS J. Photogramm. Remote Sens. 2012, 71, 47–61. [Google Scholar] [CrossRef]
- Zarco-Tejada, P.J.; Guillen-Climent, M.L.; Hernandez-Clemente, R.; Catalina, A.; Gonzalez, M.R.; Martin, P. Estimating leaf carotenoid content in vineyards using high resolution hyperspectral imagery acquired from an unmanned aerial vehicle (UAV). Agric. For. Meteorol. 2013, 171, 281–294. [Google Scholar] [CrossRef]
- Waine, T.W.; Simms, D.M.; Taylor, J.C.; Juniper, G.R. Towards improving the accuracy of opium yield estimates with remote sensing. Int. J. Remote Sens. 2014, 35, 6292–6309. [Google Scholar] [CrossRef]
- Brandao, Z.N.; Sofiatti, V.; Bezerra, J.R.C.; Ferreira, G.B.; Medeiros, J.C. Spectral reflectance for growth and yield assessment of irrigated cotton. Aust. J. Crop Sci. 2015, 9, 75–84. [Google Scholar]
- Kaur, R.; Singh, B.; Singh, M.; Thind, S.K. Hyperspectral Indices, Correlation and Regression Models for Estimating Growth Parameters of Wheat Genotypes. J. Indian Soc. Remote Sens. 2015, 43, 551–558. [Google Scholar] [CrossRef]
- Yin, X.; McClure, M.A.; Jaja, N.; Tyler, D.D.; Hayes, R.M. In-season prediction of corn yield using plant height under major production systems. Agron. J. 2011, 103, 923–929. [Google Scholar] [CrossRef]
- Bendig, J.; Bolten, A.; Bennertz, S.; Broscheit, J.; Eichfuss, S.; Bareth, G. Estimating Biomass of Barley Using Crop Surface Models (CSMs) Derived from UAV-Based RGB Imaging. Remote Sens. 2014, 6, 10395–10412. [Google Scholar] [CrossRef]
- Tilly, N.; Hoffmeister, D.; Cao, Q.; Huang, S.; Lenz-Wiedemann, V.; Miao, Y.; Bareth, G. Multitemporal crop surface models: Accurate plant height measurement and biomass estimation with terrestrial laser scanning in paddy rice. J. Appl. Remote Sens. 2014, 8, 83671. [Google Scholar] [CrossRef]
- Erten, E.; Lopez-Sanchez, J.M.; Yuzugullu, O.; Hajnsek, I. Retrieval of agricultural crop height from space: A comparison of SAR techniques. Remote Sens. Environ. 2016, 187, 130–144. [Google Scholar] [CrossRef]
- Hasnain, Z.; Abbas, G.; Saeed, A.; Shakeel, A.; Muhammad, A.; Rahim, M.A. Combining ability for plant height and yield related traits in wheat (Triticum aestivum L.). J. Agric. Res 2006, 44, 167–173. [Google Scholar]
- Gao, S.; Niu, Z.; Sun, G.; Zhao, D.; Jia, K.; Qin, Y. Height Extraction of Maize Using Airborne Full-Waveform LIDAR Data and a Deconvolution Algorithm. IEEE Geosci. Remote Sens. Lett. 2015, 12, 1978–1982. [Google Scholar]
- Sharma, L.K.; Bu, H.; Franzen, D.W.; Denton, A. Use of corn height measured with an acoustic sensor improves yield estimation with ground based active optical sensors. Comput. Electron. Agric. 2016, 124, 254–262. [Google Scholar] [CrossRef]
- Papadavid, G.; Hadjimitsis, D.; Toulios, L.; Michaelides, S. Mapping potato crop height and leaf area index through vegetation indices using remote sensing in Cyprus. J. Appl. Remote Sens. 2011, 5, 53526. [Google Scholar] [CrossRef]
- Li, W.; Niu, Z.; Chen, H.; Li, D.; Wu, M.; Zhao, W. Remote estimation of canopy height and aboveground biomass of maize using high-resolution stereo images from a low-cost unmanned aerial vehicle system. Ecol. Indic. 2016, 67, 637–648. [Google Scholar] [CrossRef]
- Wang, Z.; Acock, M.C.; Liu, Q.; Acock, B. Growth, opium gum yield, and photoperiod response of five opium poppy accessions. HortScience 1999, 34, 1060–1063. [Google Scholar]
- Mahdavi-Damghani, A.; Kamkar, B.; Al-Ahmadi, M.J.; Testi, L.; Muñoz-Ledesma, F.J.; Villalobos, F.J. Water stress effects on growth, development and yield of opium poppy (Papaver somniferum L.). Agric. Water Manag. 2010, 97, 1582–1590. [Google Scholar] [CrossRef]
- Jia, K.; Wu, B.; Tian, Y.; Li, Q.; Du, X. An effective biophysical indicator for opium yield estimation. Comput. Electron. Agric. 2011, 75, 272–277. [Google Scholar] [CrossRef]
- Vega, F.A.; Ramirez, F.C.; Saiz, M.P.; Rosua, F.O. Multi-temporal imaging using an unmanned aerial vehicle for monitoring a sunflower crop. Biosyst. Eng. 2015, 132, 19–27. [Google Scholar] [CrossRef]
- Bernath, J. Complex physio-ecological evaluation of the alkaloid formation of the poppy (Papaver somniferum L.). Herba Hung. 1986, 25, 43–75. [Google Scholar]
- Zarco-Tejada, P.J.; González-Dugo, V.; Berni, J.A.J. Fluorescence, temperature and narrow-band indices acquired from a UAV platform for water stress detection using a micro-hyperspectral imager and a thermal camera. Remote Sens. Environ. 2012, 117, 322–337. [Google Scholar] [CrossRef]
- Gago, J.; Douthe, C.; Coopman, R.E.; Gallego, P.P.; Ribas-Carbo, M.; Flexas, J.; Escalona, J.; Medrano, H. UAVs challenge to assess water stress for sustainable agriculture. Agric. Water Manag. 2015, 153, 9–19. [Google Scholar] [CrossRef]
- Wu, M.; Yang, C.; Song, X.; Hoffmann, W.C.; Huang, W.; Niu, Z.; Wang, C.; Li, W. Evaluation of Orthomosics and Digital Surface Models Derived from Aerial Imagery for Crop Type Mapping. Remote Sens. 2017, 9, 239. [Google Scholar] [CrossRef]
- Verhoeven, G.; Vermeulen, F. Engaging with the Canopy-Multi-Dimensional Vegetation Mark Visualisation Using Archived Aerial Images. Remote Sens. 2016, 8, 752. [Google Scholar] [CrossRef]
- Jaakkola, A.; Hyyppa, J.; Kukko, A.; Yu, X.W.; Kaartinen, H.; Lehtomaki, M.; Lin, Y. A low-cost multi-sensoral mobile mapping system and its feasibility for tree measurements. ISPRS J. Photogramm. Remote Sens. 2010, 65, 514–522. [Google Scholar] [CrossRef]
- Harwin, S.; Lucieer, A. Assessing the Accuracy of Georeferenced Point Clouds Produced via Multi-View Stereopsis from Unmanned Aerial Vehicle (UAV) Imagery. Remote Sens. 2012, 4, 1573–1599. [Google Scholar] [CrossRef]
- Lucieer, A.; de Jong, S.; Turner, D. Mapping landslide displacements using Structure from Motion (SfM) and image correlation of multi-temporal UAV photography. Prog. Phys. Geogr. 2013, 97–116. [Google Scholar] [CrossRef]
- Zarco-Tejada, P.J.; Diaz-Varela, R.; Angileri, V.; Loudjani, P. Tree height quantification using very high resolution imagery acquired from an unmanned aerial vehicle (UAV) and automatic 3D photo-reconstruction methods. Eur. J. Agron. 2014, 55, 89–99. [Google Scholar] [CrossRef]
- Geipel, J.; Link, J.; Claupein, W. Combined Spectral and Spatial Modeling of Corn Yield Based on Aerial Images and Crop Surface Models Acquired with an Unmanned Aircraft System. Remote Sens. 2014, 6, 10335–10355. [Google Scholar] [CrossRef]
- Bendig, J.; Bolten, A.; Bareth, G. UAV-based Imaging for Multi-Temporal, very high Resolution Crop Surface Models to monitor Crop Growth Variability. Photogramm. Fernerkund. Geoinf. 2013, 2013, 551–562. [Google Scholar] [CrossRef]
- Remondino, F.; Del Pizzo, S.; Kersten, T.P.; Troisi, S. Low-cost and open-source solutions for automated image orientation-A critical overview. Euro Mediterr. Conf. 2012, 7616, 40–54. [Google Scholar]
- Harwin, S.; Lucieer, A.; Osborn, J. The impact of the calibration method on the accuracy of point clouds derived using unmanned aerial vehicle multi-view stereopsis. Remote Sens. 2015, 7, 11933–11953. [Google Scholar] [CrossRef]
- Nex, F.; Remondino, F. UAV for 3D mapping applications: A review. Appl. Geomat. 2014, 6, 1–15. [Google Scholar] [CrossRef]
- Smith, M.W.; Carrivick, J.L.; Quincey, D.J. Structure from motion photogrammetry in physical geography. Prog. Phys. Geogr. 2016, 40, 247–275. [Google Scholar] [CrossRef]
- Turner, D.; Lucieer, A.; Wallace, L. Direct georeferencing of ultrahigh-resolution UAV imagery. IEEE Trans. Geosci. Remote Sens. 2014, 52, 2738–2745. [Google Scholar] [CrossRef]
- Doneus, M.; Verhoeven, G.; Fera, M.; Briese, C.; Kucera, M.; Neubauer, W. From deposit to point cloud—A study of low-cost computer vision approaches for the straightforward documentation of archaeological excavations. Geoinf. FCE CTU 2011, 6, 81–88. [Google Scholar] [CrossRef]
- Verhoeven, G.; Doneus, M.; Briese, C.; Vermeulen, F. Mapping by matching: A computer vision-based approach to fast and accurate georeferencing of archaeological aerial photographs. J. Archaeol. Sci. 2012, 39, 2060–2070. [Google Scholar] [CrossRef]
- Mancini, F.; Dubbini, M.; Gattelli, M.; Stecchi, F.; Fabbri, S.; Gabbianelli, G. Using unmanned aerial vehicles (UAV) for high-resolution reconstruction of topography: The structure from motion approach on coastal environments. Remote Sens. 2013, 5, 6880–6898. [Google Scholar] [CrossRef]
- Green, S.; Bevan, A.; Shapland, M. A comparative assessment of structure from motion methods for archaeological research. J. Archaeol. Sci. 2014, 46, 173–181. [Google Scholar] [CrossRef]
- Annett, H.E. Factors influencing alkaloidal content and yield of latex in the opium poppy (Papaver somniferum). Biochem. J. 1920, 14, 618. [Google Scholar] [CrossRef] [PubMed]
- Jain, P.M. Effect of split application of nitrogen on opium poppy. Indian J. Agron. 1990, 35, 240–242. [Google Scholar]
- Kang, H.; Primack, R.B. Temporal variation of flower and fruit size in relation to seed yield in celandine poppy (Chelidonium majus; Papaveraceae). Am. J. Bot. 1991, 78, 711–722. [Google Scholar] [CrossRef]
- Acock, M.; Wang, Z.; Acock, B.; Jones, R. Gum yield as affected by capsule age, firmness, gum collecting methods, and phenotypes in opium poppy. HortScience 1996, 31, 1156–1159. [Google Scholar]
- Khan, R.; Khan, M.M.A.; Singh, M.; Nasir, S.; Naeem, M.; Siddiqui, M.H.; Mohammad, F. Gibberellic acid and triacontanol can ameliorate the opium yield and morphine production in opium poppy (Papaver somniferum L.). Acta Agric. Scand. Sect. B 2007, 57, 307–312. [Google Scholar] [CrossRef]
- Harvest, T.; Brown, P.H.; Fist, A.; Gracie, A.; Gregory, D.; Koutoulis, A. The latex capacity of opium poppy capsules is fixed early in capsule development and is not a major determinant in morphine yield. Ann. Appl. Biol. 2009, 154, 251–258. [Google Scholar] [CrossRef]
- Bernáth, J.; Tétényi, P. The effect of environmental factors on growth, development and alkaloid production of poppy. II. Interaction of light and temperature. Biochem. Phusiol. Pflanz. 1981, 176, 599–605. [Google Scholar] [CrossRef]
- Lisson, S.N. Temperature and photoperiod effects on the growth and development of opium poppy (Papaver somniferum). Aust. J. Exp. Agric. 2007, 47, 742. [Google Scholar] [CrossRef]
- Bendig, J.; Yu, K.; Aasen, H.; Bolten, A.; Bennertz, S.; Broscheit, J.; Gnyp, M.L.; Bareth, G. Combining UAV-based plant height from crop surface models, visible, and near infrared vegetation indices for biomass monitoring in barley. Int. J. Appl. Earth Obs. Geoinf. 2015, 39, 79–87. [Google Scholar] [CrossRef]
- Lucieer, A.; Malenovský, Z.; Veness, T.; Wallace, L. HyperUAS-Imaging Spectroscopy from a Multirotor Unmanned Aircraft System. J. Field Robot. 2014, 31, 571–590. [Google Scholar] [CrossRef]
- Gitelson, A.A.; Kaufman, Y.J.; Stark, R.; Rundquist, D. Novel algorithms for remote estimation of vegetation fraction. Remote Sens. Environ. 2002, 80, 76–87. [Google Scholar] [CrossRef]
- Motohka, T.; Nasahara, K.N.; Oguma, H.; Tsuchida, S. Applicability of green-red vegetation index for remote sensing of vegetation phenology. Remote Sens. 2010, 2, 2369–2387. [Google Scholar] [CrossRef]
- Ehlert, D.; Horn, H.-J.; Adamek, R. Measuring crop biomass density by laser triangulation. Comput. Electron. Agric. 2008, 61, 117–125. [Google Scholar] [CrossRef]











| Survey Date | Growth Stage | Observation |
|---|---|---|
| Cambridge | ||
| 28 November 2014 | Flowering | Physical |
| 16 December 2014 | Capsule development | Physical |
| 21 December 2014 | Capsule formation | Physical |
| 22 December 2014 | Capsule formation | Physical, UAS, GPS |
| Cressy | ||
| 17 September 2015 | Sowing and germination | UAS, GPS |
| 3 December 2015 | Capsule formation | Physical, UAS |
| Statistics | Transect 1 | Transect 2 | ||
|---|---|---|---|---|
| PH (cm) | CV (cm3) | PH (cm) | CV (cm3) | |
| Min PH | 49.00 | 13.71 | 59.00 | 16.08 |
| Median PH | 69.00 | 36.79 | 74.00 | 36.86 |
| Mean PH | 72.55 | 34.71 | 74.46 | 35.44 |
| Max PH | 110.0 | 60.00 | 89.00 | 49.35 |
| Transect | Regression Model | N | SE (cm3) | R2 | RMSE (cm3) | RMSE% |
|---|---|---|---|---|---|---|
| T1 | CV = 0.6127 × PH −9.730 | 65 | 6.33 | 0.71 | 7.23 | 20.80 |
| T2 | CV = 0.7911 × PH −23.66 | 60 | 4.30 | 0.72 | 5.32 | 15.00 |
| Statistics | Transect 1 | Transect 2 | ||
|---|---|---|---|---|
| Measured (cm) | Estimated (cm) | Measured (cm) | Estimated (cm) | |
| Min PH | 49.00 | 38.00 | 59.00 | 47.00 |
| Median PH | 69.00 | 59.00 | 74.00 | 64.50 |
| Mean PH | 72.55 | 60.00 | 74.46 | 64.50 |
| Max PH | 110.0 | 92.00 | 89.00 | 82.00 |
| RMSE (cm) | Average PH (cm) | RMSE% | |
|---|---|---|---|
| PH (T1) | 13.58 | 72.54 | 18.72 |
| PH (T2) | 10.12 | 74.45 | 13.60 |
© 2017 by the authors. Licensee MDPI, Basel, Switzerland. This article is an open access article distributed under the terms and conditions of the Creative Commons Attribution (CC BY) license (http://creativecommons.org/licenses/by/4.0/).
Share and Cite
Iqbal, F.; Lucieer, A.; Barry, K.; Wells, R. Poppy Crop Height and Capsule Volume Estimation from a Single UAS Flight. Remote Sens. 2017, 9, 647. https://doi.org/10.3390/rs9070647
Iqbal F, Lucieer A, Barry K, Wells R. Poppy Crop Height and Capsule Volume Estimation from a Single UAS Flight. Remote Sensing. 2017; 9(7):647. https://doi.org/10.3390/rs9070647
Chicago/Turabian StyleIqbal, Faheem, Arko Lucieer, Karen Barry, and Reuben Wells. 2017. "Poppy Crop Height and Capsule Volume Estimation from a Single UAS Flight" Remote Sensing 9, no. 7: 647. https://doi.org/10.3390/rs9070647
APA StyleIqbal, F., Lucieer, A., Barry, K., & Wells, R. (2017). Poppy Crop Height and Capsule Volume Estimation from a Single UAS Flight. Remote Sensing, 9(7), 647. https://doi.org/10.3390/rs9070647

