Preliminary Evaluation of the SMAP Radiometer Soil Moisture Product over China Using In Situ Data
Abstract
:1. Introduction
2. Materials and Methods
2.1. Study Area
2.2. Satellite-Based Soil Moisture Data
2.3. In Situ Soil Moisture Data
2.4. Auxiliary Data
2.5. Methods
3. Results
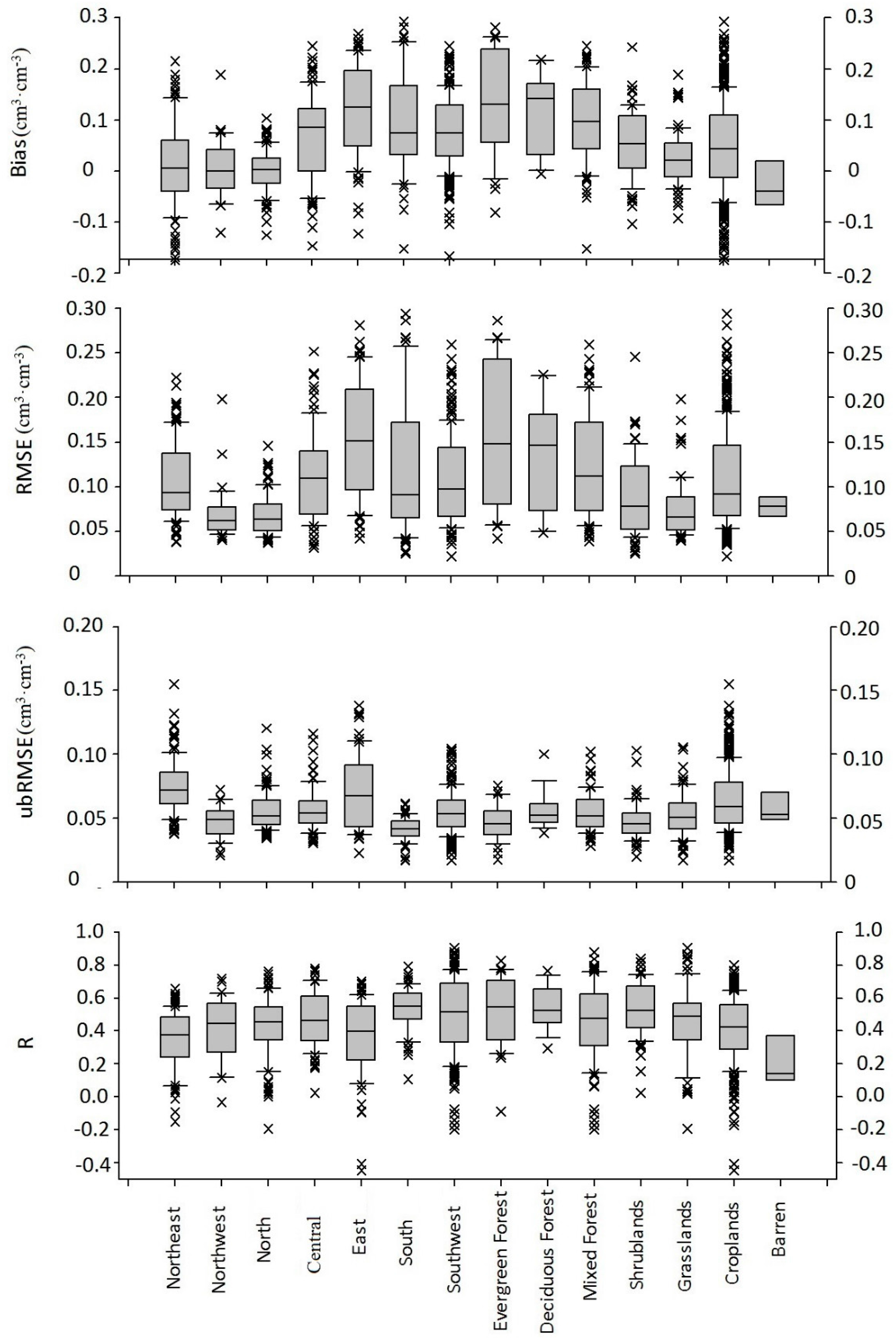
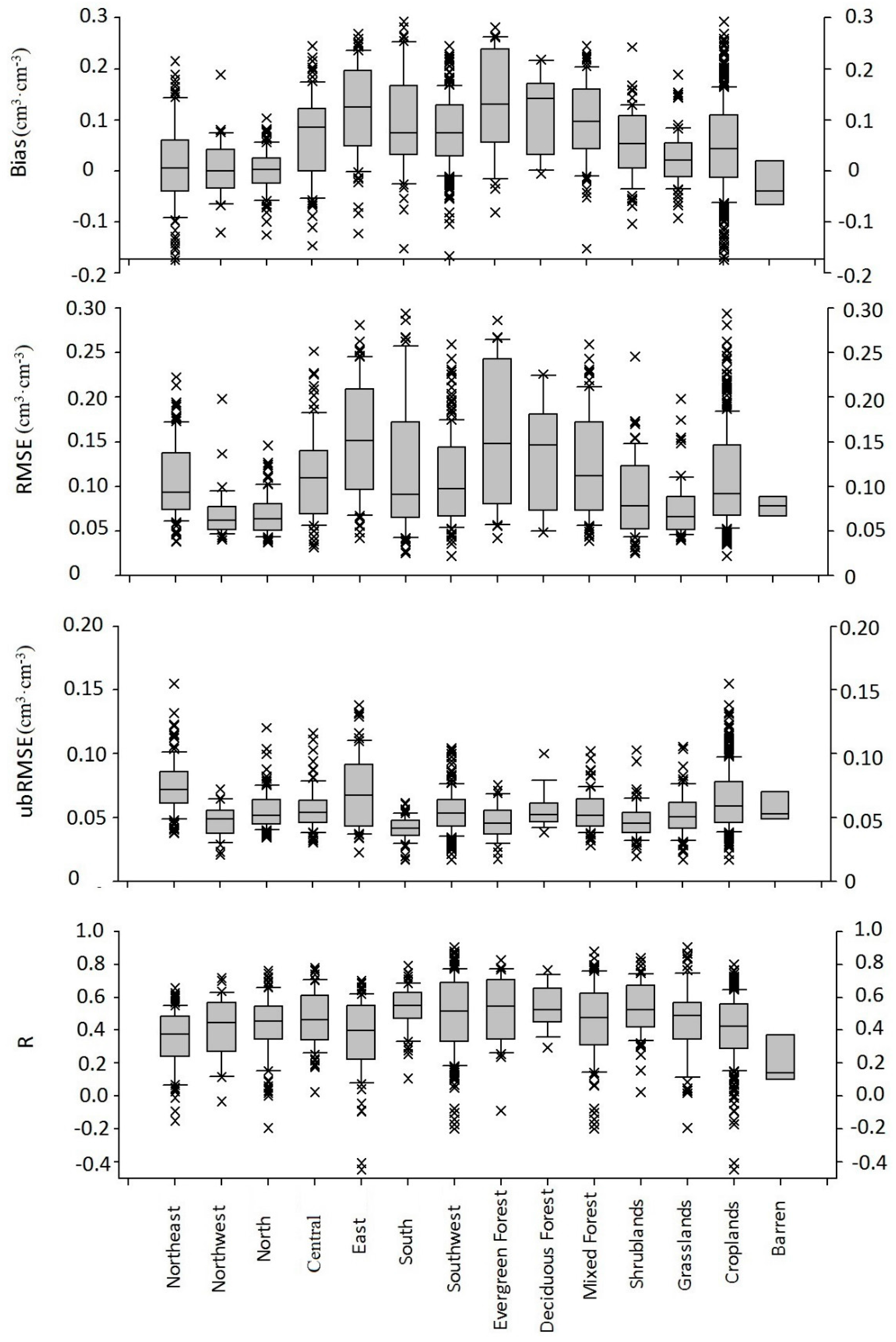
3.1. Comparison of Original Data from the SMAP Radiometer-Based Product and In Situ Observations
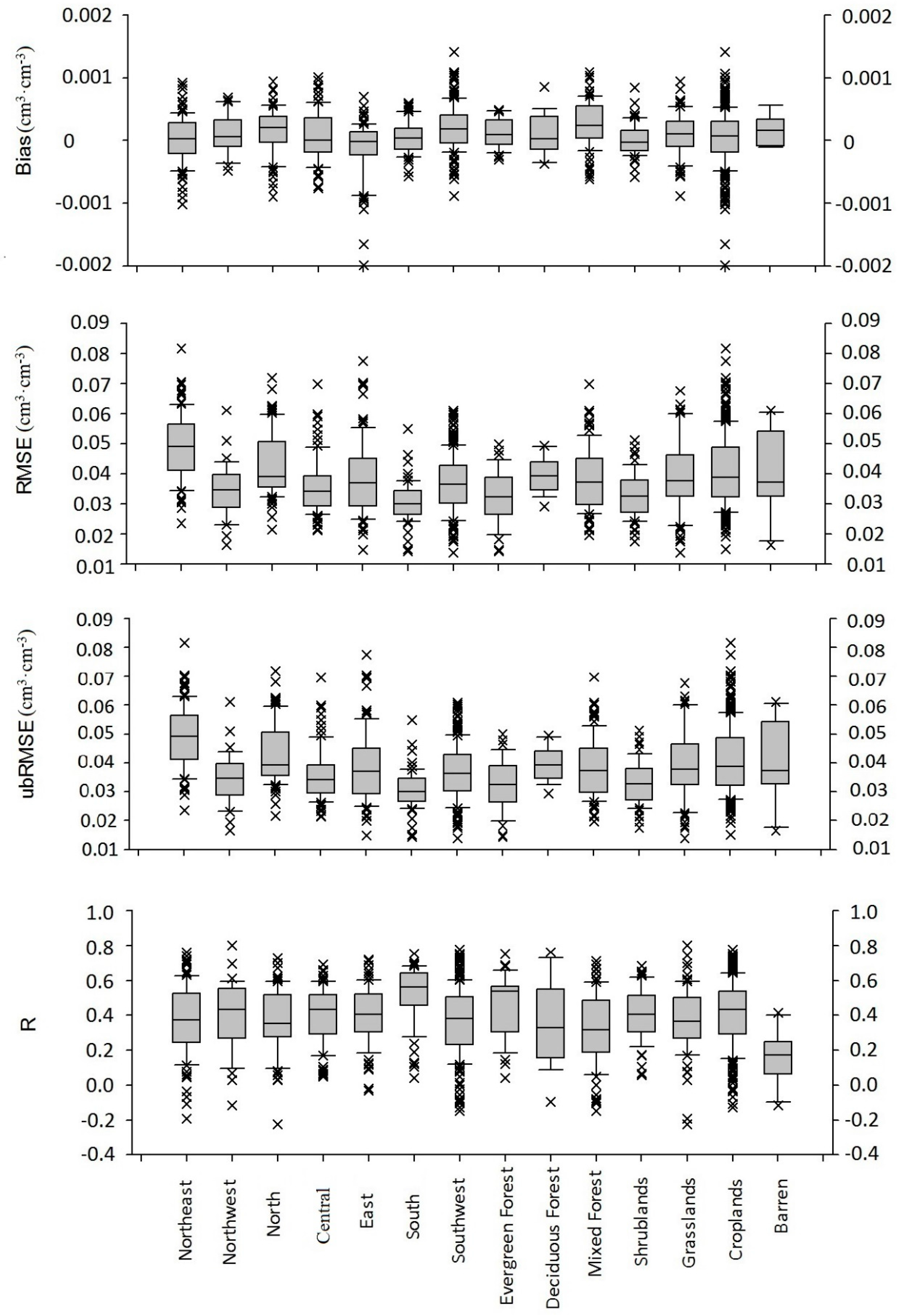
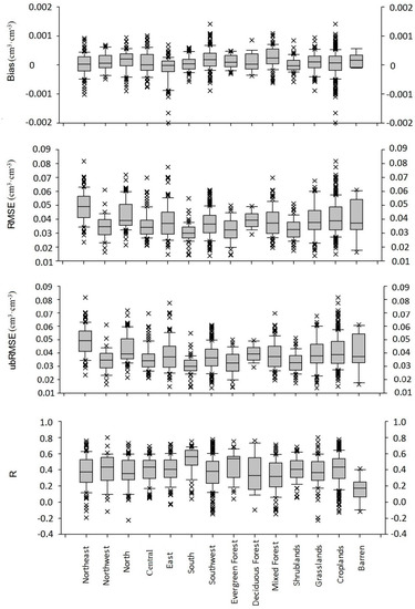
3.2. Comparison of the SMAP Radiometer Soil Moisture Product and In Situ Observations Based on Anomaly Data
4. Discussion
5. Conclusions
Acknowledgments
Author Contributions
Conflicts of Interest
References
- Entekhabi, D.; Rodrigueziturbe, I.; Bras, R.L. Variability in large-scale water balance with land surface atmosphere interaction. J. Clim. 1992, 5, 798–813. [Google Scholar] [CrossRef]
- Jackson, T.J. Passive microwave remote sensing of soil moisture and regional drought monitoring. In Monitoring and Predicting Agricultural Drought: A Global Study; Oxford University Press: Oxford, UK, 2005. [Google Scholar]
- Drusch, M. Initializing numerical weather prediction models with satellite-derived surface soil moisture: Data assimilation experiments with ECMWF’s integrated forecast system and the TMI soil moisture data set. J. Geophys. Res. Atmos. 2007, 112. [Google Scholar] [CrossRef]
- Wu, Q.; Liu, H.; Wang, L.; Deng, C. Evaluation of AMSR2 soil moisture products over the contiguous United States using in situ data from the International Soil Moisture Network. Int. J. Earth Obs. 2016, 45, 187–199. [Google Scholar] [CrossRef]
- Dorigo, W.A.; Wagner, W.; Hohensinn, R.; Hahn, S.; Paulik, C.; Xaver, A.; Gruber, A.; Drusch, M.; Mecklenburg, S.; Van Oevelen, P.; et al. The International Soil Moisture Network: A data hosting facility for global in situ soil moisture measurements. Hydrol. Earth Syst. Sci. 2011, 15, 1675–1698. [Google Scholar] [CrossRef]
- Dorigo, W.; Xaver, A.; Vreugdenhil, M.; Gruber, A.; Hegyiová, A.; Sanchis-Dufau, A.; Zamojski, D.; Cordes, C.; Wagner, W.; Drusch, M. Global automated quality control of in situ soil moisture data from the International Soil Moisture Network. Vadose Zone J. 2013, 12. [Google Scholar] [CrossRef]
- Schaefer, G.L.; Cosh, M.H.; Jackson, T.J. The USDA natural resources conservation service soil climate analysis network (SCAN). J. Atmos. Ocean. Technol. 2007, 24, 2073–2077. [Google Scholar] [CrossRef]
- An, R.; Zhang, L.; Wang, Z.; Quaye-Ballard, J.A.; You, J.; Shen, X.; Gao, W.; Zhao, Y.; Ke, Z. Validation of the ESA CCI soil moisture product in China. Int. J. Earth Obs. 2016, 48, 28–36. [Google Scholar] [CrossRef]
- Leng, P.; Song, X.; Li, Z.L.; Ma, J.; Zhou, F.; Li, S. Bare surface soil moisture retrieval from the synergistic use of optical and thermal infrared data. Int. J. Remote Sens. 2014, 35, 988–1003. [Google Scholar] [CrossRef]
- Leng, P.; Song, X.; Duan, S.B.; Li, Z.L. A practical algorithm for estimating surface soil moisture using combined optical and thermal infrared data. Int. J. Appl. Earth Obs. 2016, 52, 338–348. [Google Scholar] [CrossRef]
- Leng, P.; Song, X.; Duan, S.B.; Li, Z.L. Generation of continuous surface soil moisture dataset using combined optical and thermal infrared images. Hydrol. Process. 2016. [Google Scholar] [CrossRef]
- Schmugge, T. Remote sensing of surface soil moisture. J. Appl. Meteorol. 1978, 17, 1549–1557. [Google Scholar] [CrossRef]
- de Jeu, R.A.M.; Wagner, W.; Holmes, T.R.H.; Dolman, A.J.; Giesen, N.C.; Friesen, J. Global soil moisture patterns observed by space borne microwave radiometers and scatterometers. Surv. Geophys. 2008, 29, 399–420. [Google Scholar] [CrossRef]
- Chen, Y.; Yang, K.; Qin, J.; Zhao, L.; Tang, W.; Han, M. Evaluation of AMSR-E retrievals and GLDAS simulations against observations of a soil moisture network on the central Tibetan Plateau. J. Geophys. Res. Atmos. 2013, 118, 4466–4475. [Google Scholar] [CrossRef]
- Owe, M.; de Jeu, R.; Holmes, T. Multisensor historical climatology of satellite-derived global land surface moisture. J. Geophys. Res. Earth Surf. 2008, 113. [Google Scholar] [CrossRef]
- Njoku, E.G.; Jackson, T.J.; Lakshmi, V.; Chan, T.K.; Nghiem, S.V. Soil moisture retrieval from AMSR-E. IEEE Trans. Geosci. Remote Sens. 2003, 41, 215–229. [Google Scholar] [CrossRef]
- Owe, M.; De Jeu, R.; Walker, J. A methodology for surface soil moisture and vegetation optical depth retrieval using the microwave polarization difference index. IEEE Trans. Geosci. Remote Sens. 2001, 39, 1643–1654. [Google Scholar] [CrossRef]
- Koike, T.; Nakamura, Y.; Kaihotsu, I.; Davva, G.; Matsuura, N.; Tamagawa, K.; Fujii, H. Development of an advanced microwave scanning radiometer (AMSR-E) algorithm of soil moisture and vegetation water content. J. Hydraul. Eng. 2004, 48, 217–222. [Google Scholar] [CrossRef]
- Kim, S.; Liu, Y.Y.; Johnson, F.M.; Parinussa, R.M.; Sharma, A. A global comparison of alternate AMSR2 soil moisture products: Why do they differ. Remote Sens. Environ. 2015, 161, 43–62. [Google Scholar] [CrossRef]
- Kerr, Y.H.; Waldteufel, P.; Wigneron, J.P.; Delwart, S.; Cabot, F.; Boutin, J.; Mecklenburg, S. The SMOS mission: New tool for monitoring key elements of the global water cycle. Proc. IEEE 2010, 98, 666–687. [Google Scholar] [CrossRef]
- Van der Schalie, R.; Parinussa, R.M.; Renzullo, L.J.; van Dijk, A.I.J.M.; Su, C.H.; de Jeu, R.A.M. SMOS soil moisture retrievals using the land parameter retrieval model: Evaluation over the Murrumbidgee Catchment, southeast Australia. Remote Sens. Environ. 2015, 163, 70–79. [Google Scholar] [CrossRef]
- Wagner, W.; Lemoine, G.; Rott, H. A method for estimating soil moisture from ERS scatterometer and soil data. Remote Sens. Environ. 1999, 70, 191–207. [Google Scholar] [CrossRef]
- Wagner, W.; Hahn, S.; Kidd, R.; Melzer, T.; Bartalis, Z.; Hasenauer, S.; Steinnocher, K. The ASCAT soil moisture product: A reviewof its specifications, validation results, and emerging applications. Meteorol. Z. 2013, 22, 5–33. [Google Scholar]
- Bartalis, Z.; Wagner, W.; Naeimi, V.; Hasenauer, S.; Scipal, K.; Bonekamp, H.; Figa, J.; Anderson, C. Initial soil moisture retrievals from the METOP-A Advanced Scatterometer (ASCAT). Geophys. Res. Lett. 2007, 34. [Google Scholar] [CrossRef]
- Albergel, C.; Rüdiger, C.; Carrer, D.; Calvet, J.C.; Fritz, N.; Naeimi, V.; Bartalis, Z.; Hasenauer, S. An evaluation of ASCAT surface soil moisture products with in-situ observations in Southwestern France. Hydrol. Earth Syst. Sci. 2009, 13, 115–124. [Google Scholar] [CrossRef]
- Jackson, T.J.; Cosh, M.H.; Bindlish, R.; Starks, P.J.; Bosch, D.D.; Seyfried, M.; Goodrich, D.C.; Moran, M.S.; Du, J. Validation of advanced microwave scanning radiometer soil moisture products. IEEE Trans. Geosci. Remote Sens. 2010, 48, 4256–4272. [Google Scholar] [CrossRef]
- Jackson, T.J.; Bindlish, R.; Cosh, M.H.; Zhao, T.; Starks, P.J.; Bosch, D.D.; Seyfried, M.; Moran, M.S.; Goodrich, D.C.; Kerr, Y.H.; et al. Validation of soilmoisture and ocean salinity (SMOS) soil moisture over watershed networks inthe U.S. IEEE Trans. Geosci. Remote Sens. 2012, 50, 1530–1543. [Google Scholar] [CrossRef]
- Zhao, L.; Yang, K.; Qin, J.; Chen, Y.; Tang, W.; Montzka, C.; Wu, H.; Lin, C.; Han, M.; Vereecken, H. Spatiotemporal analysis of soil moisture observations within a Tibetan mesoscale area and its implication to regional soil moisture measurements. J. Hydrol. 2013, 482, 92–104. [Google Scholar] [CrossRef]
- Zeng, J.; Li, Z.; Chen, Q.; Bi, H.; Qiu, J.; Zou, P. Evaluation of remotely sensed and reanalysis soil moisture products over the Tibetan Plateau using in-situ observations. Remote Sens. Environ. 2015, 163, 91–110. [Google Scholar] [CrossRef]
- Zeng, J.; Chen, K.S.; Bi, H.; Chen, Q. A Preliminary Evaluation of the SMAP Radiometer Soil Moisture Product over United States and Europe Using Ground-Based Measurements. IEEE Trans. Geosci. Remote Sens. 2016, 54, 4929–4940. [Google Scholar] [CrossRef]
- Dorigo, W.A.; Gruber, A.; De Jeu, R.A.M.; Wanger, W.; Stacke, T.; Loew, A.; Albergel, C.; Brocca, L.; Chung, D.; Parinussa, R.M.; et al. Evaluation of the ESA CCI soil moisture product using ground-based observations. Remote Sens. Environ. 2015, 162, 380–395. [Google Scholar] [CrossRef]
- Griesfeller, A.; Lahoz, W.A.; de Jeu, R.A.M.; Dorigo, W.; Haugen, L.E.; Svendby, T.M.; Wanger, W. Evaluation of satellite soil moisture products over Norway using ground-based observations. Int. J. Earth Obs. 2016, 45, 155–164. [Google Scholar] [CrossRef]
- Polcher, J.; Piles, M.; Gelati, E.; Barella-Ortiz, A.; Tello, M. Comparing surface-soil moisture from the SMOS mission and the ORCHIDEE land-surface model over the Iberian Peninsula. Remote Sens. Environ. 2016, 174, 69–81. [Google Scholar] [CrossRef]
- Zawadzki, J.; Kędzior, M. Soil moisture variability over Odra watershed: Comparison between SMOS and GLDAS data. Int. J. Earth Obs. 2016, 45, 110–124. [Google Scholar] [CrossRef]
- Kerr, Y.H.; Al-Yaari, A.; Rodriguez-Fernandez, N.; Parrens, M.; Molero, B.; Leroux, D.; Bircher, S.; Mahmoodi, A.; Mialon, A.; Richaume, P.; et al. Overview of SMOS performance in terms of global soil moisture monitoring after six years in operation. Remote Sens. Environ. 2016, 180, 40–63. [Google Scholar] [CrossRef]
- Fascetti, F.; Pierdicca, N.; Pulvirenti, L.; Crapolicchio, R.; Muñozsabater, J. A comparison of ASCAT and SMOS soil moisture retrievals over Europe and northern Africa from 2010 to 2013. Int. J. Earth Obs. 2016, 45, 135–142. [Google Scholar] [CrossRef]
- Entekhabi, D.; Njoku, E.G.; O’Neill, P.E.; Kellogg, K.H.; Crow, W.T.; Edelstein, W.N.; Entin, J.K.; Goodman, S.D.; Jackson, T.J.; Johnson, J.; et al. The Soil Moisture Active Passive (SMAP) mission. Proc. IEEE 2010, 98, 704–716. [Google Scholar] [CrossRef]
- Dorigo, W.A.; Scipal, K.; Parinussa, R.M.; Liu, Y.Y.; Wagner, W.; de Jeu, R.A.M.; Naeimi1, V. Error characterisation of global active and passive microwave soil moisture datasets. Hydrol. Earth Syst. Sci. 2010, 14, 2605–2616. [Google Scholar] [CrossRef]
- Entekhabi, D.; Yueh, S.; O’Neill, P.E.; Kellogg, K.H.; Allen, A.; Bindlish, R.; Brown, M.; Chan, S.; Colliander, A.; Crow, W.T.; et al. SMAP Handbook, JPL Publication JPL 400-1567; Jet Propulsion Laboratory: Pasadena, CA, USA, 2014; p. 182. [Google Scholar]
- Miernecki, M.; Wigneron, J.P.; Lopez-Baeza, E.; Kerr, Y.; Jeu, R.D.; Lannoy, G.J.M.D.; Jackson, T.J.; O’Neill, P.E.; Schwank, M.; Moran, R.F.; et al. Comparison of SMOS and SMAP soil moisture retrieval approaches using tower-based radiometer data over a vineyard field. Remote Sens. Environ. 2014, 154, 89–101. [Google Scholar] [CrossRef]
- Zhu, Y. China relief; the trisected scale terrace. J. South China Normal Univ. (Nat. Sci.) 1989, 2, 011. [Google Scholar]
- Zhou, G.; Zhang, X. Study on climate-vegetation classification for global change in China. Acta Bot. Sin. 1995, 38, 8–17. [Google Scholar]
- Brodzik, M.J.; Knowles, K. EASE-Grid 2.0 Land Cover Classifications from Boston University MODIS/Terra Land Cover Data; NASA National Snow and Ice Data Center Distributed Active Archive Center: Boulder, CO, USA, 2010.
- Draper, C.S.; Walker, J.P.; Steinle, P.J.; de Jeu, R.A.M.; Holmes, T.R.H. An evaluation of AMSR-E derived soil moisture over Australia. Remote Sens. Environ. 2009, 113, 703–710. [Google Scholar] [CrossRef]
- Crow, W.T.; Berg, A.A.; Cosh, M.H.; Loew, A.; Mohanty, B.P.; Panciera, R.; Rosnay, P.; Ryu, D.; Walker, J.P. Upscaling sparse ground-based soil moisture observations for the validation of coarse-resolution satellite soil moisture products. Rev. Geophys. 2012, 50. [Google Scholar] [CrossRef]
- Scipal, K.T.; Holmes, T.R.H.; de Jeu, R.A.M.; Naeimi, V.; Wagner, W. A possible solution for the problem of estimating the error structure of global soil moisture data sets. Geophys. Res. Lett. 2008, 35. [Google Scholar] [CrossRef]
- Chen, F.; Crow, W.T.; Colliander, A.; Cosh, M.H. Application of triple collocation in ground-based validation of Soil Moisture Active/Passive (SMAP) level 2 data products. IEEE J.-STARS 2016. [Google Scholar] [CrossRef]
- Chan, S.K.; Bindlish, R.; O’Neill, P.E.; Njoku, E.; Jackson, T.; Colliander, A.; Chen, F.; Burgin, M.; Dunbar, S.; Piepmeier, J.; et al. Assessment of the SMAP Passive Soil Moisture Product. IEEE Trans. Geosci. Remote Sens. 2016, 54, 4994–5007. [Google Scholar] [CrossRef]
- Jackson, T.; Schmugge, T. Vegetation effects on the microwave emission of soils. Remote Sens. Environ. 1991, 36, 203–212. [Google Scholar] [CrossRef]
- Kerr, Y.; Waldteufel, P.; Richaume, P.; Ferrazzoli, P.; Wigneron, J.P. SMOS Level 2 Processor Soil Moisture Algorithm Theoretical Basis Document (ATBD) V4.a; SM-ESL (CBSA): Toulouse, France, 2014; p. 142. [Google Scholar]
- Wang, X.; Wang, X.; Han, Z. Radio Frequency Interference Detection and Characteristic Analysis Based on the L Band Stokes Parameters Remote Sensing Data. JEIT 2015, 37, 2342–2348. [Google Scholar]






| No. of Sites | Bias | RMSE | ubRMSE | R | Density of Sites (Per Million km2) | ||
|---|---|---|---|---|---|---|---|
| All of China | 655 | 0.058 | 0.108 | 0.059 | 0.44 | ||
| Geographical Zones | Northeast | 107 | 0.012 | 0.106 | 0.075 | 0.35 | 137 |
| Northwest | 34 | 0.003 | 0.070 | 0.047 | 0.41 | 12 | |
| North | 90 | 0.000 | 0.068 | 0.056 | 0.42 | 60 | |
| East | 81 | 0.121 | 0.156 | 0.070 | 0.36 | 147 | |
| Central | 83 | 0.066 | 0.112 | 0.057 | 0.48 | 104 | |
| South | 63 | 0.096 | 0.122 | 0.041 | 0.53 | 140 | |
| Southwest | 197 | 0.077 | 0.108 | 0.055 | 0.49 | 99 | |
| Land Cover | Evergreen Forest | 33 | 0.136 | 0.158 | 0.047 | 0.52 | 41 |
| Deciduous Forest | 15 | 0.114 | 0.136 | 0.056 | 0.54 | 50 | |
| Mixed Forest | 96 | 0.098 | 0.125 | 0.055 | 0.45 | 480 | |
| Shrublands | 67 | 0.053 | 0.089 | 0.047 | 0.54 | 124 | |
| Grasslands | 79 | 0.026 | 0.075 | 0.054 | 0.46 | 24 | |
| Croplands | 357 | 0.047 | 0.109 | 0.064 | 0.41 | 162 | |
| Barren | 8 | −0.029 | 0.083 | 0.056 | 0.21 | 4 | |
| No. of Sites | Bias | RMSE | ubRMSE | R | Density of Sites (Per Million km2) | ||
|---|---|---|---|---|---|---|---|
| All of China | 655 | 0.00009 | 0.039 | 0.039 | 0.39 | ||
| Geographical Zones | Northeast | 107 | 0.00002 | 0.049 | 0.049 | 137 | 137 |
| Northwest | 34 | 0.00010 | 0.035 | 0.035 | 12 | 12 | |
| North | 90 | 0.00015 | 0.043 | 0.043 | 60 | 60 | |
| East | 81 | 0.00007 | 0.036 | 0.036 | 147 | 147 | |
| Central | 83 | −0.00013 | 0.039 | 0.039 | 104 | 104 | |
| South | 63 | 0.00004 | 0.031 | 0.031 | 140 | 140 | |
| Southwest | 197 | 0.00021 | 0.037 | 0.037 | 99 | 99 | |
| Land Cover | Evergreen Forest | 33 | 0.00012 | 0.033 | 0.033 | 0.46 | 41 |
| Deciduous Forest | 15 | 0.00013 | 0.040 | 0.040 | 0.37 | 50 | |
| Mixed Forest | 96 | 0.00026 | 0.039 | 0.039 | 0.32 | 480 | |
| Shrublands | 67 | 0.00001 | 0.033 | 0.033 | 0.40 | 124 | |
| Grasslands | 79 | 0.00010 | 0.040 | 0.040 | 0.37 | 24 | |
| Croplands | 357 | 0.00005 | 0.041 | 0.041 | 0.41 | 162 | |
| Barren | 8 | 0.00016 | 0.041 | 0.041 | 0.16 | 4 | |
© 2017 by the authors. Licensee MDPI, Basel, Switzerland. This article is an open access article distributed under the terms and conditions of the Creative Commons Attribution (CC BY) license ( http://creativecommons.org/licenses/by/4.0/).
Share and Cite
Sun, Y.; Huang, S.; Ma, J.; Li, J.; Li, X.; Wang, H.; Chen, S.; Zang, W. Preliminary Evaluation of the SMAP Radiometer Soil Moisture Product over China Using In Situ Data. Remote Sens. 2017, 9, 292. https://doi.org/10.3390/rs9030292
Sun Y, Huang S, Ma J, Li J, Li X, Wang H, Chen S, Zang W. Preliminary Evaluation of the SMAP Radiometer Soil Moisture Product over China Using In Situ Data. Remote Sensing. 2017; 9(3):292. https://doi.org/10.3390/rs9030292
Chicago/Turabian StyleSun, Yayong, Shifeng Huang, Jianwei Ma, Jiren Li, Xiaotao Li, Hui Wang, Sheng Chen, and Wenbin Zang. 2017. "Preliminary Evaluation of the SMAP Radiometer Soil Moisture Product over China Using In Situ Data" Remote Sensing 9, no. 3: 292. https://doi.org/10.3390/rs9030292
APA StyleSun, Y., Huang, S., Ma, J., Li, J., Li, X., Wang, H., Chen, S., & Zang, W. (2017). Preliminary Evaluation of the SMAP Radiometer Soil Moisture Product over China Using In Situ Data. Remote Sensing, 9(3), 292. https://doi.org/10.3390/rs9030292

