Abstract
Wildfires are increasingly frequent and severe, posing substantial risks to ecosystems, communities, and infrastructure. Accurately mapping wildfire severity (WSM) using remote sensing and machine learning (ML) is critical for evaluating damages, informing recovery efforts, and guiding long-term mitigation strategies. Stacking ensemble ML (SEML) enhances predictive accuracy and robustness by combining multiple diverse models into a single meta-learned predictor. This approach leverages the complementary strengths of individual base learners while reducing variance, ultimately improving model reliability. This study aims to optimize a SEML framework to (1) identify the most effective ML models for use as base learners and meta-learners, and (2) determine the optimal number of base models needed for robust and accurate wildfire severity predictions. The study utilizes six ML models—Random Forests (RF), Support Vector Machines (SVM), k-Nearest Neighbors (KNN), Linear Regression (LR), Adaptive Boosting (AB), and Multilayer Perceptron (MLP)—to construct an SEML. To quantify wildfire impacts, we extracted 118 spectral indices from post-fire Landsat-8 data and incorporated four additional predictors (land cover, elevation, slope, and aspect). A dataset of 911 CBI observations from 18 wildfire events was used for training, and models were validated through cross-validation and bootstrapping to ensure robustness. To address multicollinearity and reduce computational complexity, we applied Linear Discriminant Analysis (LDA) and condensed the dataset into three primary components. Our results indicated that simpler models, notably LR and KNN, performed well as meta-learners, with LR achieving the highest predictive accuracy. Moreover, using only two base learners (RF and SVM) was sufficient to realize optimal SEML performance, with an overall accuracy and precision of 0.661, recall of 0.662, and F1-score of 0.656. These findings demonstrate that SEML can enhance wildfire severity mapping by improving prediction accuracy and supporting more informed resource allocation and management decisions. Future research should explore additional meta-learning approaches and incorporate emerging remote sensing data sources such as hyperspectral and LiDAR.
1. Introduction
Wildfires have emerged as a significant global concern, increasing in frequency, intensity, and scale over recent decades. Factors such as climate change [1], prolonged droughts [2], and human activities [3] have exacerbated wildfire occurrences, leading to devastating impacts on ecosystems, economies, and human health. The unprecedented wildfires in regions like Australia in 2019–2020 [4] and the western United States [5] in recent years have highlighted the urgent need for effective wildfire management strategies. Accurate wildfire severity mapping (WSM) is a critical component in the post-fire assessment process. Severity maps provide detailed information on the extent and intensity of burns, which is essential for ecological recovery planning, resource allocation, and mitigating future wildfire risks [6].
Remote sensing has become an indispensable resource for wildfire severity assessment, offering consistent, repeatable, and spatially extensive observations that can be systematically analyzed across multiple scales and timeframes [7,8,9]. Data from platforms such as Landsat, Sentinel, and VIIRS provide critical reflectance measurements that, when combined into spectral indices (e.g., Normalized Burn Ratio [10] and Burned Area Index [11]), have been shown to correlate strongly with post-fire vegetation damage, soil exposure, and habitat alteration. These indices can serve as proxies for biophysical changes, helping researchers and practitioners identify burned areas, delineate fire boundaries, and quantify severity levels with improved accuracy.
Machine learning (ML) techniques further enhance the value of remote sensing data by offering flexible modeling frameworks capable of capturing complex, nonlinear relationships between predictor variables (namely spectral reflectance [12], topography [13], vegetation indices [14]) and severity measures [15,16,17]. Supervised ML algorithms leverage large training datasets of ground-based burn severity measurements—often represented by indices like the Composite Burn Index (CBI)—to develop robust predictive models [18]. For example, Cao et al. (2009) applied SVM to MODIS data for rapid assessment of wildfire impacts, demonstrating improved classification [19]. Building on this work, Dragozi et al. (2014) utilized SVM for mapping burned areas in Greece [20]. Meanwhile, Collins et al. (2018) [21], Gibson et al. (2020) [22], and Dixon et al. (2022) [23] explored the use of random forests (RF) to classify burn severity in Australian ecosystems. Van et al. (2024) proposed a novel WSM approach that integrates RF and Explainable AI (XAI) to improve both the accuracy and interpretability of wildfire impact assessments [14]. These studies underscore the growing application of ML techniques in wildfire assessment, offering scalable and efficient solutions for understanding post-fire impacts.
Despite the growing sophistication of individual ML models, no single algorithm consistently outperforms all others across different datasets, regions, and modeling scenarios. For example, Pu and Gong (2004) compared logistic regression (LR) and artificial neural networks (ANN) for mapping burn scars using Landsat images, finding that LR outperformed ANN in this context [24]. Similarly, Zammit et al. (2006) applied support vector machines (SVM), k-nearest neighbors (KNN), and k-means clustering (KM) to identify wildfire-prone areas, with SVM achieving the best results [25]. In a more recent refinement, Hultquist et al. (2014) assessed burn severity using three ML approaches—Gaussian process regression, RF, and k-means clustering—and found that RF performed best in their study [26]. This observation underlies the rationale for ensemble methods, which combine predictions from multiple, often diverse, models to capitalize on their complementary strengths. Stacking, a specific form of ensemble learning, employs a meta-learner that optimally combines base model predictions, effectively leveraging their individual advantages and mitigating their weaknesses [27]. Stacking ensemble machine learning (SEML) involves training multiple base learners and using a meta-learner to integrate their predictions, often resulting in improved generalization performance [28]. By aggregating the outputs of several base learners—each capturing different patterns and relationships in the data—SEML can reduce model variance, improve robustness, and achieve better predictive accuracy than any single model alone [29,30,31,32]. Within the domain of wildfire severity assessment, where data can be noisy, heterogeneous, and influenced by numerous confounding environmental factors, ensemble methods offer a practical solution to enhance reliability and performance. In environmental sciences, SEML has been employed for tasks such as flash flood susceptibility [33], soil erosion mapping [34], and precipitation estimation [35]. While stacking has been widely used in other domains, its application in WSM is relatively limited. The potential of SEML lies in its ability to harness the strengths of different algorithms, mitigating individual weaknesses, and capturing a broader range of data patterns [28]. A few studies have begun to explore SEML in wildfire-related applications. For example, a recent study by Li et al. (2024) implemented a SEML to predict wildfire risk occurrences, combining RF, Extreme gradient boosting (XGBoost), Light gradient boosting machine (LightGBM), and Multilayer perceptron (MLP), improving prediction accuracy [36].
While SEML methods hold considerable promise for WSM, important gaps remain in understanding their optimal design and performance. In particular, few studies systematically examine how different ML models function as base learners versus meta-learners, and the impact of ensemble size—i.e., the number of base models required for high predictive accuracy—remains unclear [28]. Identifying the best-performing models for each ensemble layer and determining the minimal ensemble complexity required for robust predictions is essential for improving both model accuracy and computational efficiency. This study addresses these gaps by (1) systematically evaluating a range of ML algorithms, including RF, SVM, KNN, LR, Adaptive Boosting, and Multilayer Perceptron, for their suitability as base and meta-learners, and (2) determining the minimal number of base learners needed to achieve robust and consistent performance in WSM. The study focuses on 18 wildfire events that occurred across the United States between 2014 and 2017, spanning diverse ecological and climatic regions. These areas are highly susceptible to wildfires due to a combination of natural and anthropogenic factors, such as prolonged droughts, high temperatures, strong winds, fuel accumulation, land-use changes, unregulated development in fire-prone areas, and accidental ignitions (e.g., power lines, campfires) have also exacerbated fire risk [3,37,38].
By clarifying both the roles of individual models in a stacking framework and the optimal ensemble size, this work offers a novel contribution to wildfire management research. The resulting severity maps can better inform land managers and policymakers on resource allocation, rehabilitation efforts, and future wildfire mitigation strategies.
2. Methodology
2.1. Case Study and Data
2.1.1. Study Area
Table 1 summarizes the information on 18 wildfire events used in this study. They were selected based on their ecological and geographical diversity, ensuring a broad representation of different fire regimes, vegetation types, and topographic conditions (Figure 1). These events occurred between 2014 and 2017 in the United States and encompass a range of land cover types, from evergreen needle-leaf forests to grasslands and shrublands. This diversity is essential for developing a robust wildfire severity mapping model that can generalize across various environmental conditions. Additionally, we prioritized fire events with high-quality and well-documented CBI field data, ensuring reliable ground-truth measurements for model training and validation. The selected fires also varied in severity levels, allowing us to assess the model’s performance across different burn intensities. Finally, we focused on wildfires with available and cloud-free Landsat-8 imagery, ensuring the consistency and accuracy of spectral data inputs for ML analysis.
Table 1.
Information on 18 wildfire events used in this study. The elevation is represented as min-max (mean).
Figure 1.
Spatial distribution of CBI data across 18 wildfire events in the United States, with each colored marker representing a specific wildfire.
2.1.2. Data Availability
We utilized the dataset titled ‘Composite Burn Index (CBI) Data for the Conterminous US, Burned Areas Boundaries, Collected Between 1994 and 2018 [39]’ recently published by the U.S. Geological Survey to label burn severity. The CBI is a field-based method used to assess wildfire burn severity by evaluating ecological changes across distinct vegetation and substrate layers [7]. Trained observers visit post-fire plots and rate five strata—substrate, herbs/low shrubs, tall shrubs/saplings, intermediate trees, and large trees—on a scale of 0 (unburned) to 3 (severely burned) based on indicators like char height, soil discoloration, foliage consumption, and plant mortality. Scores for each layer are averaged to produce a composite index (0–3), which categorizes burn severity as low, moderate, or high based on a threshold (Table 2). The collected CBI data were then integrated with satellite-derived spectral indices and topographic predictors to train and validate the SEML model.
Table 2.
Burn severity category classification used in this study, proposed by Miller and Thode (2009) [40].
To characterize burn severity from a remote sensing perspective, we utilized Landsat-8 Operational Land Imager (OLI) data, with Google Earth Engine (GEE) as the data collection and processing platform. Landsat-8 (GEE code: LANDSAT/LC08/C02/T1_L2) offers a spatial resolution of 30 m and a revisit interval of approximately 16 days, making it highly suitable for post-fire assessments. To ensure accurate surface reflectance values, clouds, cloud shadows, and other atmospheric anomalies were identified using the Landsat Quality Assessment (QA) bands and masked out. For each wildfire, we selected post-burn Landsat-8 scenes that had undergone spectral and atmospheric correction to maintain consistency in reflectance data. Image selection adhered to strict criteria: minimal cloud cover (≤25%) and acquisition dates within one month before and after the field data collection (Table 1). These constraints minimized the influence of vegetation regrowth and ensured a close temporal alignment between field observations and satellite imagery.
We selected nine commonly used indices from WSM research (Table 3). Additionally, we created synthetic optical indices through custom calculations using the core six Landsat-8 spectral bands: Blue, Green, Red, Near-Infrared (NIR), and Shortwave Infrared 1 and 2 (SWIR1, SWIR2). These indices were designed to provide a more nuanced assessment of burn severity levels across the landscape. The custom formulations included normalized difference (a − b)/(a + b), ratio-based (a/b), algebraic sum (a + b), algebraic difference (a − b), and product-based (a × b) calculations, where a and b represent any two of the six Landsat-8 bands. To account for landscape and topographic variability, we incorporated four additional predictors: land cover, elevation, slope, and aspect. Land cover data, sourced from national databases such as the National Land Cover Database (NLCD), provided information on post-fire fuel types and vegetation communities. Topographic variables (elevation, slope, and aspect) were derived from 30 m NASADEM to capture terrain-related burn severity gradients and microclimatic effects. All datasets were standardized to a common spatial reference system and resampled to a 30 m grid cell resolution to match Landsat-8 pixels. In total, this study utilized 122 predictors, including the six original Landsat-8 bands, nine established indices, synthetic indices, land use, and three topographic variables.
Table 3.
Lists of nine established indices were used in this study. Acronyms: BAI —Burn Area Index, SAVI—Soil-Adjusted Vegetation Index, EVI—Enhanced Vegetation Index, GEMI—Global Environment Monitoring Index, NIRv—Near-Infrared Reflectance of Vegetation, VARI—Visible Atmospherically Resistant Index, NDVI—Normalized Difference Vegetation Index, and CSI—Char Soil Index.
2.2. Stacking Ensemble Machine Learning (SEML)
2.2.1. Overview
The SEML framework is an advanced predictive modeling technique designed to combine multiple, diverse predictive models (known as ‘base-learners’) into a single, integrated ensemble that can outperform the predictive accuracy and robustness of any individual constituent model (Figure 2a). By strategically leveraging the complementary strengths of different algorithmic approaches, SEML reduces the variance and biases inherent in single-model predictions and often achieves more reliable and stable forecasts.
Figure 2.
Overview of the SEML framework and the six scenarios used to evaluate different combinations of base-learners and meta-learners. Panel (a) illustrates the SEML workflow, where input data is first transformed using LDA before being passed to the base-learners for initial predictions. The outputs from the base-learners are then fed into the meta-learners, which combine these predictions to generate the final model prediction. Panel (b) outlines six scenarios, where the base-learners remain constant while the meta-learner changes in each scenario.
In an SEML framework, the first critical components are the base-learners. These are individual ML models, each trained independently on the same predictor-response dataset. Their role is to capture different aspects of the underlying data distribution, patterns, and relationships between predictors and the target variable. By incorporating various model architectures—ranging from tree-based methods to linear techniques and neural networks—each learner can offer distinct advantages. The second key component is the meta-learner, a higher-level model tasked with integrating the predictions of the base learners. Rather than being trained directly on the original dataset, the meta-learner is trained on the output (predictions) of the base-learners. In other words, after the base-learners generate their predictions for each sample, these predicted values serve as the ‘features’ for the meta-learner. The meta-learner’s objective is to learn the best possible weighting, combination, or functional transformation of the base learner predictions to minimize overall prediction error. The meta-learner thus acts as a ‘model of models,’ assessing how each base learner’s outputs contribute to predictive accuracy and determining how best to fuse them.
2.2.2. Machine Learning Model Candidate
In order to implement the SEML framework, we first identified a diverse set of candidate ML models. The primary purpose of this diversity was to leverage the complementary strengths of different algorithmic approaches. By integrating models that differ in terms of their assumptions, complexity, and decision boundaries, the SEML framework can better handle the heterogeneous and nonlinear relationships commonly observed in wildfire severity datasets. The six candidate ML models—RF, SVM, KNN, LR, AB, and MLP—were chosen based on (i) prior success in environmental applications. Each model has a documented history of effective use in remote sensing, environmental modeling, or related prediction tasks. (ii) Diversity in methodology: The set includes ensemble methods (RF, AB), kernel-based methods (SVM), instance-based learners (KNN), linear models (LR), and neural networks (MLP). (iii) Computational feasibility: All selected models can be trained efficiently on the reduced-dimension dataset produced by Linear Discriminant Analysis (LDA), supporting practical implementation. Given the well-known nature of these ML models, we provide only a brief description of each, focusing on their relevance to this study.
Random Forests: RF is an ensemble of decision trees constructed on bootstrap samples of the training data. Each tree’s prediction contributes to the final averaged output. Known for its robustness, RF is effective in high-dimensional spaces and can handle nonlinearities and interactions between predictors. Hyperparameters such as the number of trees and maximum depth were tuned using cross-validation. RF often serves as a benchmark in ecological modeling due to its strong predictive performance and resilience to overfitting.
Support Vector Machines: SVMs operate by finding a hyperplane (or set of hyperplanes in higher dimensions) that best separates the data into target classes or predicts continuous outcomes with minimal error. In regression mode, often implemented as epsilon-SVR, SVM can capture complex nonlinear relationships by employing kernel functions (e.g., radial basis function). Hyperparameter tuning focused on the choice of kernel parameters (e.g., gamma) and the regularization parameter C. SVM’s ability to handle nonlinear patterns makes it well-suited for modeling burn severity gradients that do not follow simple linear trends.
K-Nearest Neighbors: KNN is a non-parametric, instance-based algorithm that predicts new observations based on the values of their nearest neighbors. It does not rely on a global model; instead, it infers the target from localized patterns. We determined the optimal number of neighbors (k) and distance metrics (e.g., Euclidean) via grid search. While KNN is conceptually simple and easily interpretable, it can be sensitive to noise and may not scale as well as tree- or kernel-based methods. However, its simplicity can be an asset as a component of an ensemble.
Linear Regression: LR is a parametric model that estimates coefficients to linearly relate input predictors to the response variable. Although it may struggle with complex nonlinear patterns, LR’s interpretability and computational efficiency are significant advantages. Because we applied LDA beforehand, the input features fed into LR were already in a reduced and discriminative subspace, which improved its ability to extract meaningful relationships. LR’s simplicity also makes it an attractive candidate for the meta-learner role in the SEML framework.
Adaptive Boosting: AB, or AdaBoost, is an ensemble technique that iteratively focuses on the instances most difficult to predict, updating the weights of misclassified examples and re-training weak learners (often decision stumps) on these harder cases. This adaptive reweighting reduces bias and variance, potentially leading to improved performance on challenging datasets. In this study, we tuned the number of boosting iterations and learning rates to achieve a balance between model complexity and accuracy.
Multilayer Perceptron: MLP is a class of feedforward neural networks composed of one or more hidden layers of neurons. By adjusting weights through backpropagation, MLPs can model complex, nonlinear relationships. We used a relatively simple architecture (e.g., one hidden layer with a moderate number of neurons) and tuned hyperparameters such as learning rate, number of epochs, and regularization terms. Although MLP requires more careful tuning and can be sensitive to hyperparameters, it can capture intricate feature interactions that simpler models may overlook.
2.2.3. Hyperparameter Optimization
To optimize hyperparameters efficiently, we implemented Bayesian optimization with Gaussian Processes using the Scikit-Optimize library (Table 4). The selected parameters were determined based on a combination of literature review, parameter importance, and sensitivity analysis. This approach adaptively searches for the best hyperparameter configurations while reducing computational costs compared to exhaustive grid search methods. We defined bounded search spaces for key hyperparameters and performed 50 optimization iterations, using an initial random search (10 trials) before shifting to Bayesian exploration. The objective function aimed to minimize validation error using 9-fold cross-validation. This consistent methodological approach ensured that each model operated at or near its optimal capacity, enabling a fair comparison of their standalone performances.
Table 4.
Optimal values of hyperparameters determined by the Bayesian method.
2.3. Dimensionality Reduction
With 122 predictors—including 118 spectral indices, land cover, elevation, slope, and aspect—our dataset presented both multicollinearity and computational challenges. High-dimensional feature spaces can lead to overfitting, increased model training time, and decreased interpretability. To mitigate these issues, we applied LDA as a dimensionality reduction technique.
LDA is particularly well-suited for datasets in which the goal is to maximize the separability of known classes or gradient-based responses, as is often the case in remote sensing and ecological modeling contexts. Our previous study showed that LDA effectively addresses the curse of dimensionality in vegetation mapping and burn severity assessments [48]. It achieves this by projecting the original predictors onto a lower-dimensional subspace that captures the most informative variance for distinguishing burn severity gradients. In addition to handling multicollinearity—caused by highly correlated spectral indices and related environmental variables—LDA reduces the computational load required for training machine learning models. By condensing a large number of predictors into a few components, LDA streamlines model fitting while still preserving key information patterns relevant to burn severity. We evaluated various dimensionality reduction scenarios to identify a suitable number of LDA components. After testing between one and ten components using cross-validation and preliminary model runs, we determined that three LDA components struck an effective balance.
2.4. Model Training and Validation Strategy
Developing a robust model training and validation strategy is critical for ensuring that reported performance metrics accurately reflect each model’s generalizability. In this study, we used a combination of data splitting, bootstrapping, and rigorous model evaluation to provide a comprehensive assessment of predictive capabilities.
Our training and testing dataset comprised a total of 700 random data points, representing four distinct classes of fire severity (each with 175 samples). This balanced dataset design helped ensure that our models would not be biased toward any single severity category (Table 2). We partitioned the data into training and testing subsets following a 70/30 split, resulting in 490 samples for training and 210 samples for testing. By maintaining balanced severity classes in both splits, we minimized the risk of skewed performance metrics due to class imbalances. To further validate model stability and performance, we employed a 10,000-iteration bootstrapping procedure. Bootstrapping involves repeatedly sampling (with replacement) from the training set to create multiple “pseudo-replicates” of the dataset. This approach quantifies the variability and confidence intervals of performance metrics, offering a more robust measure of model reliability than a single train-test evaluation. After each bootstrap sample was created, models were retrained and re-evaluated, providing distributions of performance metrics that better capture uncertainty.
To assess the predictive quality and practical relevance of the models, we employed four primary classification metrics aligned with operational needs in wildfire management (Table 5):
Table 5.
Statistical metrics used in this study. Acronyms: TP—True positives, TN—True negatives, FP—False positives, and FN—False negatives.
- Overall Accuracy: The proportion of correctly classified samples across all severity classes.
- Precision: The fraction of positive predictions (e.g., severe fire classes) that are actually correct.
- Recall (Sensitivity): The fraction of actual positives (samples from a given severity class) that the model correctly identifies.
- F1-score: The harmonic mean of precision and recall, providing a single statistic that balances both metrics.
These metrics were computed for each severity class, and macro-averages (i.e., averages computed equally over each class) were reported to ensure that all severity categories were treated fairly. The resulting performance profiles offered nuanced insights into whether models excelled at identifying particular severity levels or performed uniformly well across classes.
3. Results
3.1. SEML Configurations and Outcomes
This analysis aimed to determine how different combinations of base learners and meta-learners influence predictive accuracy and overall robustness. The experimental design, as described in Figure 2b, systematically varied (i) which subset of models were included as base learners and (ii) which algorithm served as the meta-learner.
Table 6 reveals that LR consistently offers the strongest average performance across all four metrics: OA, Precision, Recall, and F1-score. This is evident in its highest mean values (0.658 for OA, 0.657 for Precision, 0.660 for Recall, and 0.654 for F1-score), suggesting that it generalizes well over the tested datasets. KNN frequently follows closely, scoring second in most categories and occasionally surpassing LR in terms of peak values, such as the 0.771 maximum OA or 0.771 maximum Precision. Notably, while KNN and other algorithms—AB, MLP, RF, and SVM—can sometimes achieve comparable or slightly higher maxima, they generally fall behind in terms of mean performance. All models exhibit relatively small standard deviations (on the order of 0.029 to 0.031), implying that none of them suffers from unusually volatile or unstable predictions across different runs. Moreover, the minimum values reinforce the point that each method can experience performance dips (occasionally dropping below 0.52 on some metrics), highlighting that even the strongest models are not immune to challenging data splits or parameter settings. Nevertheless, LR’s consistent lead across means, combined with its overall competitive range and standard deviation, makes it particularly compelling for scenarios in which reliability and stability are priorities.
Table 6.
Comparison of meta-learner performance across four evaluation metrics: Overall Accuracy (OA), Precision, Recall, and F1-score. Each metric is summarized by its mean, standard deviation (Std), minimum (Min), and maximum (Max) values.
3.2. Optimal Number of Base Learners
A central question in developing a SEML system is determining how many base learners are needed to achieve optimal predictive performance. While combining multiple models generally enhances diversity and reduces prediction variance, adding more learners can also increase computational complexity, training time, and the risk of overfitting. Thus, striking the right balance is essential for practical and scalable wildfire severity mapping. During this experimental phase, we tested ensembles ranging from one to four base-learners (RF, SVM, MLP, and AB) and selected LR as meta-leaners, systematically evaluating how each increment affected accuracy and error metrics. Our initial hypothesis was that adding more base learners would yield diminishing returns, as the benefit of additional diversity might be offset by greater complexity and potential redundancy in model predictions.
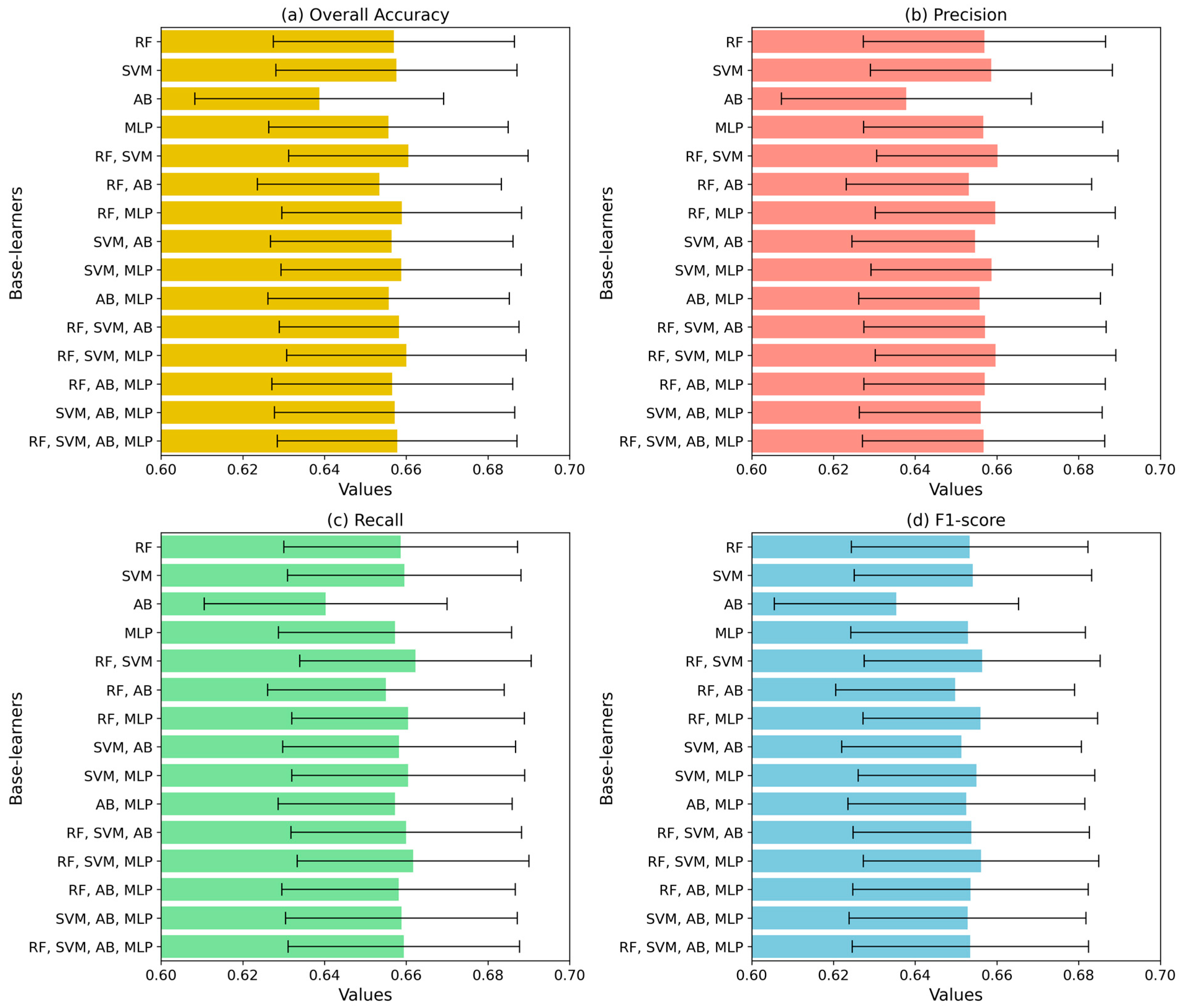
Figure 3 summarizes the key performance metrics—OA, Precision, Recall, and F1-score—across ensembles of varying sizes. It is noted that the pairing of RF and SVM consistently achieves the highest mean performance across the four key metrics: OA, Precision, Recall, and F1-score. In panel (a), for example, the RF–SVM combination appears to hover around 0.66 or slightly above, whereas other single-model approaches (e.g., RF alone or SVM alone) range closer to 0.64–0.65. Even compared to other dual-model ensembles, such as (RF, AB) or (SVM, MLP), RF–SVM still appears to hold at least a small but consistent lead—on the order of 0.01–0.02 in many cases.
Figure 3.
Comparison of base-learner combinations for meta-learning (LR) in terms of four performance metrics: (a) Overall Accuracy, (b) Precision, (c) Recall, and (d) F1-score. The y-axis in each subplot lists various base-learner combinations, while the x-axis shows the metric values. Error bars represent variability in performance across different simulations.
This advantage for RF–SVM persists in panel (b) for Precision, where the bars suggest a similar numeric range around 0.66 for the RF–SVM ensemble, outpacing single models that typically land closer to 0.63–0.65. Some other ensembles, like (RF, MLP) or (SVM, AB), do reach the higher 0.65s, but they rarely match or exceed RF–SVM on average. The error bars generally overlap slightly, so while these differences may not always be dramatically large from a statistical standpoint, they are still noticeable enough to position RF–SVM at the top of the chart. Panel (c), which displays Recall, reinforces this dominance. RF–SVM scores frequently reach values around 0.66, surpassing single learners by about 0.03–0.05 and edging out other combinations by smaller margins of roughly 0.01–0.02. Notably, this is important because Recall emphasizes the ability to correctly identify positive instances—a key concern in many classification tasks. Finally, in panel (d) for the F1-score, which balances both Precision and Recall, RF–SVM continues to lead in a similar numeric band. Although other strong ensembles, such as (RF, SVM, and MLP), come close in certain runs, they tend to average slightly lower.
The synergy between RF’s ensemble-based decision-tree approach and SVM’s capacity for effective margin-based separation appears to give the RF–SVM combination a consistently strong and stable edge. Indeed, the error bars show that while there is some variability across multiple runs or folds, RF–SVM’s performance rarely dips below the best ranges of other ensembles. These findings indicate that RF and SVM form an excellent base-learner ensemble, delivering both high mean performance and relatively tight dispersion across trials. Figure 4 represents an analysis of burn severity levels for the Carlton Complex wildfire. The map effectively highlights spatial patterns, showing areas of high burn severity predominantly in the central and southern regions of the affected zone, while moderate and low severities are more dispersed.
Figure 4.
Burn severity map illustrating the spatial distribution of the Carlton Complex wildfire.
4. Discussion
This study demonstrates that an SEML framework effectively enhances the accuracy and reliability of WSM by strategically combining diverse base learners with an optimized meta-learner. The framework’s robustness was further supported by dimensionality reduction via LDA, which condensed 118 predictors into three primary components, effectively addressing multicollinearity while retaining critical information for accurate predictions. These results highlight that SEML, when paired with judicious model selection and feature engineering, can achieve competitive accuracy in WSM without excessive computational overhead, offering a practical tool for post-fire damage assessment and resource allocation. The findings are consistent with previous research that has demonstrated the benefits of SEML methods in environmental modeling contexts like flash flood susceptibility [33], soil erosion mapping [34], and precipitation estimation [35].
Our results revealed that simpler models, notably LR and KNN, outperformed more complex algorithms as meta-learners, with LR achieving the highest predictive performance. The use of simple models in SEML is particularly advantageous due to their interpretability and lower computational demands. These characteristics enable faster training and prediction times, which is especially crucial in WSM applications, where timely predictions are vital for disaster management and response. Several studies have demonstrated the effectiveness of LR as a meta-learner in stacking ensemble frameworks. For instance, in a study by Shishodia et al. (2024) on glacier classification using Landsat imagery, LR was used to integrate the outputs from an RF, SVM, MLP, and XGBoost [29]. Yao et al. (2022) explored flash flood mapping by combining predictions from base learners such as RF, SVM, and KNN [33]. Sharma et al. (2024) applied a SEML for landslide susceptibility mapping, where LR as the meta-learner enhanced generalization and reduced overfitting despite the inherent noise in the data [49]. Our findings in WSM, together with previous studies, highlight LR’s simplicity and transparency as key advantages in meta-learning, reinforcing its effectiveness in remote sensing and environmental monitoring tasks despite the frequent preference for more complex meta-learners such as LightGBM [36], Gradient boosting decision tree [31], RF [50,51], and XGBoost [32].
Our study also showed that even a minimal ensemble configuration—consisting of only two base learners (RF and SVM)—was sufficient to achieve near-optimal predictive accuracy. This effectiveness can be partly explained by the theoretical underpinnings of each algorithm: RF, as a bagging method of decision trees, excels at capturing non-linear interactions and reducing variance, while SVM leverages maximum-margin optimization to distinguish between classes by focusing on critical boundary points in the data. Previous studies have confirmed that the use of RF and SVM as base learners can yield synergistic benefits, reinforcing the rationale behind their selection in our WSM research [29,33,49,50,52]. Together, these complementary learning mechanisms capture distinct dimensions of the data’s variance, thereby reducing prediction errors without substantially increasing complexity. The absence of significant performance gains beyond two base learners further suggests that the SEML approach need not be cumbersome; strategic model selection can streamline computation and improve interpretability.
Nonetheless, the SEML framework also has limitations. Interpretability can be a concern. While the use of LR as a meta-learner provides transparent weights that help elucidate the contributions of each base model, integrating more complex algorithms or greater numbers of base learners can reduce the clarity of how final predictions are derived. This ‘black-box’ aspect of ensembles may complicate the communication of model outputs to stakeholders and decision-makers who require clear justifications for management actions [14]. Additionally, while SEML can enhance predictive performance, it does not inherently resolve data-related limitations. Issues such as uncertainties in the atmospheric correction of satellite imagery can still propagate through the modeling pipeline. Similarly, SEML’s effectiveness depends on the quality and representativeness of the training dataset. If the input data fail to capture the full range of wildfire severity conditions or if they contain systematic biases, the ensemble predictions may not generalize well to new fire events or different landscapes.
5. Conclusions
This study demonstrates the potential of SEML to advance WSM by harmonizing model accuracy, computational efficiency, and operational practicality. By identifying LR as an optimal meta-learner and demonstrating that only two base learners (RF and SVM) are necessary for robust performance (overall accuracy and precision of 0.661, recall of 0.662, and F1-score of 0.656), the framework challenges the notion that complexity inherently equates to better predictive power. The integration of LDA-driven dimensionality reduction further underscores how strategic feature engineering can retain critical ecological signals while mitigating computational burdens—a vital consideration for scaling WSM across large or data-sparse regions.
The optimized SEML framework developed in this study offers actionable insights for wildfire management and policy. By achieving robust accuracy with minimal model complexity, the approach provides a computationally efficient solution for rapid WSM, which is critical for real-time disaster response and recovery efforts. Agencies can leverage this framework to prioritize resource allocation—such as deploying crews to high-severity burn zones or targeting erosion control measures—based on reliable, data-driven predictions. Integrating topographic variables (elevation, slope, aspect) with spectral indices also enables land managers to identify landscape-specific vulnerability patterns, informing targeted mitigation strategies like fuel reduction in slope-dominated fire corridors. Furthermore, the reduced computational demands of the SEML system make it scalable for regional or national monitoring programs, particularly in resource-constrained settings where advanced infrastructure is lacking. For policymakers, the transparency and interpretability of simpler meta-learners like LR facilitate trust in model outputs, supporting evidence-based decisions on post-fire rehabilitation funding or zoning regulations. Finally, the successful use of Landsat-8 data underscores the framework’s compatibility with widely accessible, cost-effective satellite imagery, democratizing high-quality WSM for agencies and researchers globally. These advancements collectively bridge the gap between theoretical ML innovation and on-the-ground operational needs, empowering stakeholders to mitigate wildfire impacts more effectively. Future research should integrate emerging data sources like hyperspectral or SAR imagery to capture finer-scale fire effects like vegetation structure and soil moisture dynamics.
Author Contributions
Conceptualization, L.N.V. and G.L.; methodology, L.N.V.; formal analysis, L.N.V. and G.L.; writing—original draft preparation, L.N.V.; visualization, L.N.V.; data curation, L.N.V.; writing—review and editing, G.L.; supervision, G.L. All authors have read and agreed to the published version of the manuscript.
Funding
This research was supported by the Disaster-Safety Platform Technology Development Program of the National Research Foundation of Korea (NRF), funded by the Ministry of Science and ICT (No. 2022M3D7A1090338).
Data Availability Statement
The original contributions presented in the study are included in the article, further inquiries can be directed to the corresponding author.
Acknowledgments
We would like to thank the three anonymous reviewers for their insightful comments and suggestions, which have greatly improved the quality of this manuscript.
Conflicts of Interest
The authors declare no conflicts of interest.
References
- Abatzoglou, J.T.; Williams, A.P. Impact of Anthropogenic Climate Change on Wildfire across Western US Forests. Proc. Natl. Acad. Sci. USA 2016, 113, 11770–11775. [Google Scholar] [CrossRef]
- Littell, J.S.; Peterson, D.L.; Riley, K.L.; Liu, Y.; Luce, C.H. A Review of the Relationships between Drought and Forest Fire in the United States. Glob. Change Biol. 2016, 22, 2353–2369. [Google Scholar] [CrossRef] [PubMed]
- Sjöström, J.; Granström, A. Human Activity and Demographics Drive the Fire Regime in a Highly Developed European Boreal Region. Fire Saf. J. 2023, 136, 103743. [Google Scholar] [CrossRef]
- Boer, M.M.; Resco de Dios, V.; Bradstock, R.A. Unprecedented Burn Area of Australian Mega Forest Fires. Nat. Clim. Change 2020, 10, 171–172. [Google Scholar] [CrossRef]
- Zhang, Y.; Fan, J.; Shrivastava, M.; Homeyer, C.R.; Wang, Y.; Seinfeld, J.H. Notable Impact of Wildfires in the Western United States on Weather Hazards in the Central United States. Proc. Natl. Acad. Sci. USA 2022, 119, e2207329119. [Google Scholar] [CrossRef] [PubMed]
- Keeley, J.E. Fire Intensity, Fire Severity and Burn Severity: A Brief Review and Suggested Usage. Int. J. Wildland Fire 2009, 18, 116–126. [Google Scholar] [CrossRef]
- Key, C.H.; Benson, N.C. Landscape Assessment (LA). In Firemon: Fire Effects Monitoring and Inventory System; CreateSpace Independent Publishing Platform: Scotts Valley, CA, USA, 2006. [Google Scholar]
- Roy, D.P.; Boschetti, L.; Trigg, S.N. Remote Sensing of Fire Severity: Assessing the Performance of the Normalized Burn Ratio. IEEE Geosci. Remote Sens. Lett. 2006, 3, 112–116. [Google Scholar] [CrossRef]
- Veraverbeke, S.; Lhermitte, S.; Verstraeten, W.W.; Goossens, R. Evaluation of Pre/Post-Fire Differenced Spectral Indices for Assessing Burn Severity in a Mediterranean Environment with Landsat Thematic Mapper. Int. J. Remote Sens. 2011, 32, 3521–3537. [Google Scholar] [CrossRef]
- Miller, J.D.; Thode, A.E. Quantifying Burn Severity in a Heterogeneous Landscape with a Relative Version of the Delta Normalized Burn Ratio (dNBR). Remote Sens. Environ. 2007, 109, 66–80. [Google Scholar] [CrossRef]
- Chuvieco, E.; Martín, M.P.; Palacios, A. Assessment of Different Spectral Indices in the Red-near-Infrared Spectral Domain for Burned Land Discrimination. Int. J. Remote Sens. 2002, 23, 5103–5110. [Google Scholar] [CrossRef]
- van Wagtendonk, J.W.; Root, R.R.; Key, C.H. Comparison of AVIRIS and Landsat ETM+ Detection Capabilities for Burn Severity. Remote Sens. Environ. 2004, 92, 397–408. [Google Scholar] [CrossRef]
- Wimberly, M.C.; Reilly, M.J. Assessment of Fire Severity and Species Diversity in the Southern Appalachians Using Landsat TM and ETM+ Imagery. Remote Sens. Environ. 2007, 108, 189–197. [Google Scholar] [CrossRef]
- Van, L.N.; Tran, V.N.; Nguyen, G.V.; Yeon, M.; Do, M.T.-T.; Lee, G. Enhancing Wildfire Mapping Accuracy Using Mono-Temporal Sentinel-2 Data: A Novel Approach through Qualitative and Quantitative Feature Selection with Explainable AI. Ecol. Inform. 2024, 81, 102601. [Google Scholar] [CrossRef]
- Stow, D.; Petersen, A.; Rogan, J.; Franklin, J. Mapping Burn Severity of Mediterranean-Type Vegetation Using Satellite Multispectral Data. GIScience Remote Sens. 2007, 44, 1–23. [Google Scholar] [CrossRef]
- Robichaud, P.R.; Lewis, S.A.; Laes, D.Y.M.; Hudak, A.T.; Kokaly, R.F.; Zamudio, J.A. Postfire Soil Burn Severity Mapping with Hyperspectral Image Unmixing. Remote Sens. Environ. 2007, 108, 467–480. [Google Scholar] [CrossRef]
- Parks, S.A.; Dillon, G.K.; Miller, C. A New Metric for Quantifying Burn Severity: The Relativized Burn Ratio. Remote Sens. 2014, 6, 1827–1844. [Google Scholar] [CrossRef]
- Holden, Z.A.; Morgan, P.; Evans, J.S. A Predictive Model of Burn Severity Based on 20-Year Satellite-Inferred Burn Severity Data in a Large Southwestern US Wilderness Area. For. Ecol. Manag. 2009, 258, 2399–2406. [Google Scholar] [CrossRef]
- Cao, X.; Chen, J.; Matsushita, B.; Imura, H.; Wang, L. An Automatic Method for Burn Scar Mapping Using Support Vector Machines. Int. J. Remote Sens. 2009, 30, 577–594. [Google Scholar] [CrossRef]
- Dragozi, E.; Gitas, I.Z.; Stavrakoudis, D.G.; Theocharis, J.B. Burned Area Mapping Using Support Vector Machines and the FuzCoC Feature Selection Method on VHR IKONOS Imagery. Remote Sens. 2014, 6, 12005–12036. [Google Scholar] [CrossRef]
- Collins, L.; Griffioen, P.; Newell, G.; Mellor, A. The Utility of Random Forests for Wildfire Severity Mapping. Remote Sens. Environ. 2018, 216, 374–384. [Google Scholar] [CrossRef]
- Gibson, R.; Danaher, T.; Hehir, W.; Collins, L. A Remote Sensing Approach to Mapping Fire Severity in South-Eastern Australia Using Sentinel 2 and Random Forest. Remote Sens. Environ. 2020, 240, 111702. [Google Scholar] [CrossRef]
- Dixon, D.J.; Callow, J.N.; Duncan, J.M.A.; Setterfield, S.A.; Pauli, N. Regional-Scale Fire Severity Mapping of Eucalyptus Forests with the Landsat Archive. Remote Sens. Environ. 2022, 270, 112863. [Google Scholar] [CrossRef]
- Pu, R.; Gong, P. Determination of Burnt Scars Using Logistic Regression and Neural Network Techniques from a Single Post-Fire Landsat 7 ETM + Image. Photogramm. Eng. Remote Sens. 2004, 70, 841–850. [Google Scholar] [CrossRef]
- Zammit, O.; Descombes, X.; Zerubia, J. Burnt Area Mapping Using Support Vector Machines. For. Ecol. Manag. 2006, 234, S240. [Google Scholar] [CrossRef]
- Hultquist, C.; Chen, G.; Zhao, K. A Comparison of Gaussian Process Regression, Random Forests and Support Vector Regression for Burn Severity Assessment in Diseased Forests. Remote Sens. Lett. 2014, 5, 723–732. [Google Scholar] [CrossRef]
- Xu, X.; Chen, F.; Wang, B.; Harrison, M.T.; Chen, Y.; Liu, K.; Zhang, C.; Zhang, M.; Zhang, X.; Feng, P.; et al. Unleashing the Power of Machine Learning and Remote Sensing for Robust Seasonal Drought Monitoring: A Stacking Ensemble Approach. J. Hydrol. 2024, 634, 131102. [Google Scholar] [CrossRef]
- Wolpert, D.H. Stacked Generalization. Neural Netw. 1992, 5, 241–259. [Google Scholar] [CrossRef]
- Shishodia, V.; Singh, V.; Thampi, S.G. Implementation of Stack-Based Ensemble Technique for Classification of Glaciers in the Western Himalayan Catchments. Phys. Chem. Earth Parts A/B/C 2024, 136, 103723. [Google Scholar] [CrossRef]
- Zhu, L.; Lu, W.; Luo, C.; Xu, Y.; Wang, Z. An Ensemble Optimizer with a Stacking Ensemble Surrogate Model for Identification of Groundwater Contamination Source. J. Contam. Hydrol. 2024, 267, 104437. [Google Scholar] [CrossRef] [PubMed]
- Hou, S.; Liu, Y.; Yang, Q. Real-Time Prediction of Rock Mass Classification Based on TBM Operation Big Data and Stacking Technique of Ensemble Learning. J. Rock Mech. Geotech. Eng. 2022, 14, 123–143. [Google Scholar] [CrossRef]
- Zeng, T.; Wu, L.; Peduto, D.; Glade, T.; Hayakawa, Y.S.; Yin, K. Ensemble Learning Framework for Landslide Susceptibility Mapping: Different Basic Classifier and Ensemble Strategy. Geosci. Front. 2023, 14, 101645. [Google Scholar] [CrossRef]
- Yao, J.; Zhang, X.; Luo, W.; Liu, C.; Ren, L. Applications of Stacking/Blending Ensemble Learning Approaches for Evaluating Flash Flood Susceptibility. Int. J. Appl. Earth Obs. Geoinf. 2022, 112, 102932. [Google Scholar] [CrossRef]
- Cimusa Kulimushi, L.; Bigabwa Bashagaluke, J.; Prasad, P.; Heri-Kazi, A.B.; Lal Kushwaha, N.; Masroor, M.; Choudhari, P.; Elbeltagi, A.; Sajjad, H.; Mohammed, S. Soil Erosion Susceptibility Mapping Using Ensemble Machine Learning Models: A Case Study of Upper Congo River Sub-Basin. Catena 2023, 222, 106858. [Google Scholar] [CrossRef]
- Zhou, S.; Wang, Y.; Yuan, Q.; Yue, L.; Zhang, L. Spatiotemporal Estimation of 6-Hour High-Resolution Precipitation across China Based on Himawari-8 Using a Stacking Ensemble Machine Learning Model. J. Hydrol. 2022, 609, 127718. [Google Scholar] [CrossRef]
- Li, Y.; Li, G.; Wang, K.; Wang, Z.; Chen, Y. Forest Fire Risk Prediction Based on Stacking Ensemble Learning for Yunnan Province of China. Fire 2024, 7, 13. [Google Scholar] [CrossRef]
- Addington, R.N.; Hudson, S.J.; Hiers, J.K.; Hurteau, M.D.; Hutcherson, T.F.; Matusick, G.; Parker, J.M. Relationships among Wildfire, Prescribed Fire, and Drought in a Fire-Prone Landscape in the South-Eastern United States. Int. J. Wildland Fire 2015, 24, 778–783. [Google Scholar] [CrossRef]
- MacDonald, G.; Wall, T.; Enquist, C.A.F.; LeRoy, S.R.; Bradford, J.B.; Breshears, D.D.; Brown, T.; Cayan, D.; Dong, C.; Falk, D.A.; et al. Drivers of California’s Changing Wildfires: A State-of-the-Knowledge Synthesis. Int. J. Wildland Fire 2023, 32, 1039–1058. [Google Scholar] [CrossRef]
- Composite Burn Index (CBI) Data for the Conterminous US, Burned Areas Boundaries, Collected Between 1994 and 2018|USGS Science Data Catalog. Available online: https://data.usgs.gov/datacatalog/data/USGS:62e968e5d34e749ac04cc10a (accessed on 18 October 2024).
- Miller, J.D.; Knapp, E.E.; Key, C.H.; Skinner, C.N.; Isbell, C.J.; Creasy, R.M.; Sherlock, J.W. Calibration and Validation of the Relative Differenced Normalized Burn Ratio (RdNBR) to Three Measures of Fire Severity in the Sierra Nevada and Klamath Mountains, California, USA. Remote Sens. Environ. 2009, 113, 645–656. [Google Scholar] [CrossRef]
- Huete, A.R. A Soil-Adjusted Vegetation Index (SAVI). Remote Sens. Environ. 1988, 25, 295–309. [Google Scholar] [CrossRef]
- Huete, A.; Didan, K.; Miura, T.; Rodriguez, E.P.; Gao, X.; Ferreira, L.G. Overview of the Radiometric and Biophysical Performance of the MODIS Vegetation Indices. Remote Sens. Environ. 2002, 83, 195–213. [Google Scholar] [CrossRef]
- Pinty, B.; Verstraete, M.M. GEMI: A Non-Linear Index to Monitor Global Vegetation from Satellites. Vegetatio 1992, 101, 15–20. [Google Scholar] [CrossRef]
- Badgley, G.; Field, C.B.; Berry, J.A. Canopy Near-Infrared Reflectance and Terrestrial Photosynthesis. Sci. Adv. 2017, 3, e1602244. [Google Scholar] [CrossRef]
- Tucker, C.J. Red and Photographic Infrared Linear Combinations for Monitoring Vegetation. Remote Sens. Environ. 1979, 8, 127–150. [Google Scholar] [CrossRef]
- Gitelson, A.A.; Stark, R.; Grits, U.; Rundquist, D.; Kaufman, Y.; Derry, D. Vegetation and Soil Lines in Visible Spectral Space: A Concept and Technique for Remote Estimation of Vegetation Fraction. Int. J. Remote Sens. 2002, 23, 2537–2562. [Google Scholar] [CrossRef]
- Smith, A.M.S.; Wooster, M.J.; Drake, N.A.; Dipotso, F.M.; Falkowski, M.J.; Hudak, A.T. Testing the Potential of Multi-Spectral Remote Sensing for Retrospectively Estimating Fire Severity in African Savannahs. Remote Sens. Environ. 2005, 97, 92–115. [Google Scholar] [CrossRef]
- Nguyen Van, L.; Lee, G. Underutilized Feature Extraction Methods for Burn Severity Mapping: A Comprehensive Evaluation. Remote Sens. 2024, 16, 4339. [Google Scholar] [CrossRef]
- Sharma, N.; Saharia, M.; Ramana, G.V. High Resolution Landslide Susceptibility Mapping Using Ensemble Machine Learning and Geospatial Big Data. Catena 2024, 235, 107653. [Google Scholar] [CrossRef]
- Shojaeian, A.; Shafizadeh-Moghadam, H.; Sharafati, A.; Shahabi, H. Extreme Flash Flood Susceptibility Mapping Using a Novel PCA-Based Model Stacking Approach. Adv. Space Res. 2024, 74, 5371–5382. [Google Scholar] [CrossRef]
- Ma, Z.; Li, W.; Warner, T.A.; He, C.; Wang, X.; Zhang, Y.; Guo, C.; Cheng, T.; Zhu, Y.; Cao, W.; et al. A Framework Combined Stacking Ensemble Algorithm to Classify Crop in Complex Agricultural Landscape of High Altitude Regions with Gaofen-6 Imagery and Elevation Data. Int. J. Appl. Earth Obs. Geoinf. 2023, 122, 103386. [Google Scholar] [CrossRef]
- Lv, H.; Wu, Z.; Zheng, X.; Yan, D.; Yu, Z.; Shang, W. Multi-Attribute Diagnosis of Urban Flood-Bearing Bodies Based on Integrated Learning with Stacking–GPR–QPSO Coupling. J. Hydrol. 2024, 645, 132222. [Google Scholar] [CrossRef]
Disclaimer/Publisher’s Note: The statements, opinions and data contained in all publications are solely those of the individual author(s) and contributor(s) and not of MDPI and/or the editor(s). MDPI and/or the editor(s) disclaim responsibility for any injury to people or property resulting from any ideas, methods, instructions or products referred to in the content. |
© 2025 by the authors. Licensee MDPI, Basel, Switzerland. This article is an open access article distributed under the terms and conditions of the Creative Commons Attribution (CC BY) license (https://creativecommons.org/licenses/by/4.0/).



