Diurnal Variation Characteristics of Precipitation in Summer Associated with Diverse Underlying Surfaces in the Arid Region of Eastern Xinjiang, Northwest China
Abstract
Highlights
- High-resolution WRF-NJU simulation data reliably captured the diurnal variation characteristics of precipitation (DVCP) in eastern Xinjiang, consistent with multiple observational and reanalysis datasets.
- The DVCP shows pronounced spatiotemporal differences across basins and mountains, with distinct precipitation peaks at different elevations and underlying surface types.
- The results highlight the crucial role of complex topography and land surface conditions in shaping precipitation diurnal cycles, providing new insights into precipitation mechanisms in arid regions.
- These findings support improved agricultural water management and more rational allocation of water resources, while also informing disaster risk reduction in arid and semi-arid regions.
Abstract
1. Introduction
2. Overview of the Study Area
3. Data and Methods
3.1. Data
3.2. Methods
4. Results
4.1. Evaluation of the Results of the WRF_NJU Simulation
4.2. Spatial Distribution of DVCP
4.3. Coefficient of Variation in PF
4.4. DVCP at Different Elevations
4.5. DVCP over Different Land Use Types
5. Discussion
5.1. Scope and Data Rationale
5.2. Key Characteristics and Regional Implications
5.3. Cross-Sectional Evidence for Topographic and Surface-Type Modulation
5.4. Possible Physical Interpretation and Mechanisms
5.5. Model Evaluation and Uncertainties
5.6. Role of Cloud Microphysics
5.7. Limitations and Future Directions
6. Conclusions
- (1)
- The data from WRF_NJU accurately captured the DVCP in the EX region. The PA from the other four datasets is generally similar to the WRF-NJU data. However, because of the sparse distribution of meteorological stations in the EX region, accurately reflecting the precipitation over complex terrain (mountainous areas) is very difficult. At the same time, precipitation derived from the ERA5 data shows overestimation and hardly reveals the fine-scale variations in the precipitation. CMORPH data has weaker assessment capabilities for mountainous precipitation, while MESWEP data has assessment capabilities that are basically consistent with WRF_NJU data.
- (2)
- The DVCP in the EX region show significant spatiotemporal differences. Precipitation peaks mainly occur from early morning to noon, with a gradual decrease in the afternoon. Moreover, the PA in the basin areas is significantly lower than that in the mountainous areas. The temporal-spatial distribution characteristics of PA, PF, and PI are closely related to elevation.
- (3)
- There are clear differences in the DVCP at different elevations. Below an elevation of 1500 m, and the peak of PA occurs at about 0600 LST, while in the higher altitude (mountainous) areas > 1500 m, the PA reaches its peak at 1300 LST in the afternoon hours, with the PF indicating a similar variation trend. The peak of PI in the mountains occurs at 0000 LST, 1400 LST, and 2100 LST, while in the basins, the PI peaks around 0600–0800 LST.
- (4)
- There are obvious differences in the DVCP between mountainous and basin areas. The mountains are more influenced by topography than by land surface type. Additionally, the strength of the desert-oasis effect is mainly influenced by different land surface types. The central and northern basins of the EX region show higher CV values for PF, indicating obvious differences in the DVCP in these areas and suggesting a higher likelihood of meteorological disasters.
- (5)
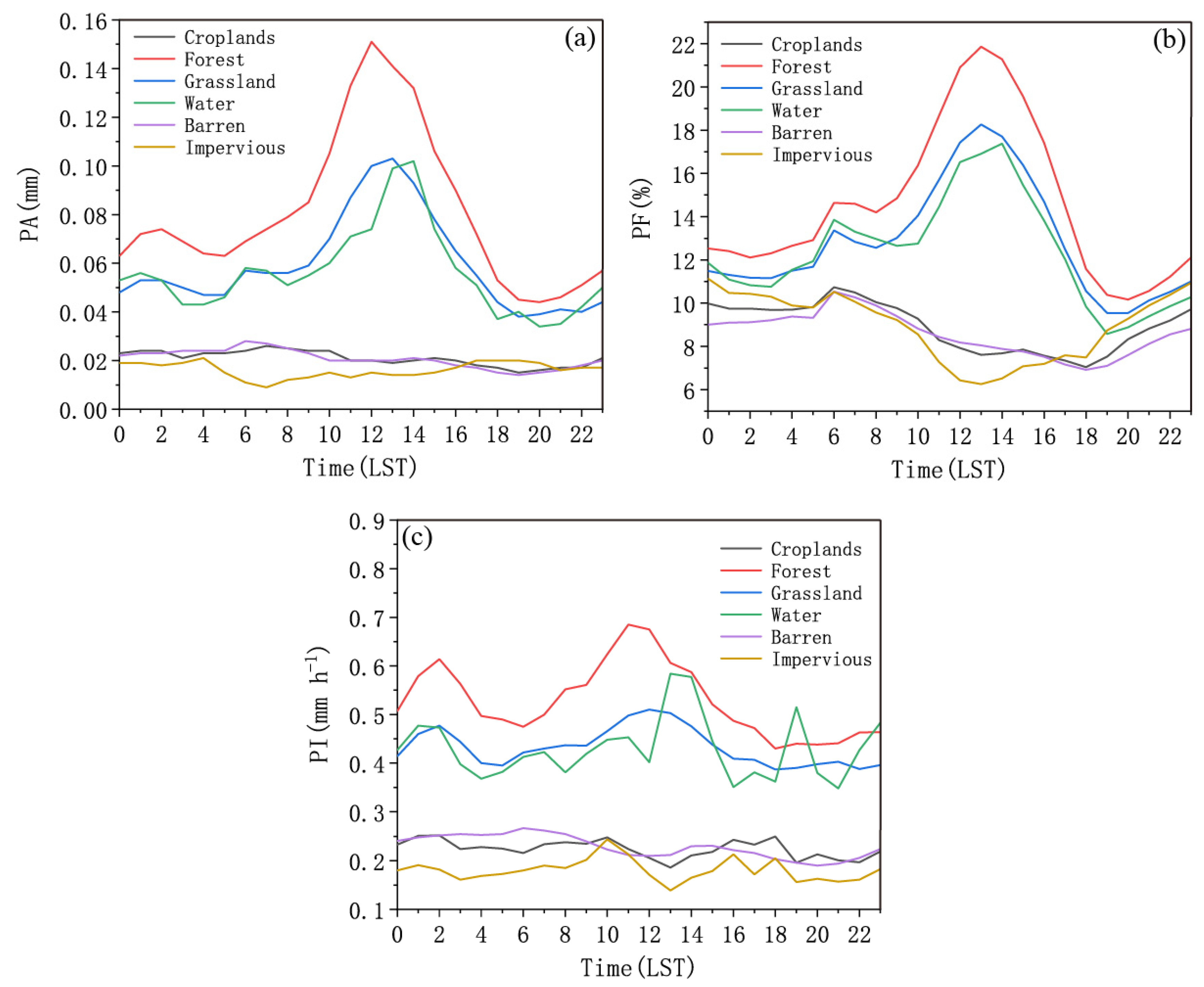
- The timing of precipitation peaks varies among different underlying surfaces. Grasslands, forests, and water bodies have precipitation peaks between 1200 LST and 1400 LST, while impervious areas, the croplands, and barren areas have peaks at 0600 LST. The peaks of PF for grasslands, forests, and water bodies occur at 0700 LST. However, the PF peaks for impervious surfaces, barren areas, and croplands occur between 1700 and 1900 LST. The peaks of PI for barren areas and forests occur at 1100 LST, while the peaks of PI for impervious areas, water bodies, croplands, and grasslands occur at 1700 LST.
Author Contributions
Funding
Data Availability Statement
Acknowledgments
Conflicts of Interest
References
- Yu, R.; Xu, Y.; Zhou, T.; Li, J. Relation between rainfall duration and diurnal variation in the warm season precipitation over central eastern China. Geophys. Res. Lett. 2007, 34, L13703. [Google Scholar] [CrossRef]
- Intergovernmental Panel on Climate Change (IPCC). Climate Change 2021—The Physical Science Basis: Working Group I Contribution to the Sixth Assessment Report of the Intergovernmental Panel on Climate Change; Cambridge University Press: Cambridge, UK, 2023. [Google Scholar]
- Zheng, J.; Abulikemu, A.; Wang, Y.; Kong, M.; Liu, Y. Convection Initiation Associated with the Merger of an Immature Sea-Breeze Front and a Gust Front in Bohai Bay Region, North China: A Case Study. Atmosphere 2022, 13, 750. [Google Scholar] [CrossRef]
- He, X.; Abulikemu, A.; Mamtimin, A.; Li, R.; Abulimiti, A.; An, D.; Aireti, M.; Zhou, Y.; Sun, Q.; Li, Z.; et al. On the Mechanisms of a Snowstorm Associated with a Low-Level Cold Front and Low-Level Jet in the Western Mountainous Region of the Junggar Basin, Xinjiang, Northwest China. Atmosphere 2023, 14, 919. [Google Scholar] [CrossRef]
- Du, Y.; Chen, G.; Han, B.; Bai, L.; Li, M. Convection Initiation and Growth at the Coast of South China. Part II: Effects of the Terrain, Coastline, and Cold Pools. Mon. Weather Rev. 2020, 148, 3871–3892. [Google Scholar] [CrossRef]
- Abulikemu, A.; Xu, X.; Wang, Y.; Ding, J.; Zhang, S.; Shen, W. A modeling study of convection initiation prior to the merger of a sea-breeze front and a gust front. Atmos. Res. 2016, 182, 10–19. [Google Scholar] [CrossRef]
- Abulikemu, A.; Wang, Y.; Gao, R.; Wang, Y.; Xu, X. A Numerical Study of Convection Initiation Associated With a Gust Front in Bohai Bay Region, North China. J. Geophys. Res. Atmos. 2019, 124, 13843–13860. [Google Scholar] [CrossRef]
- Abulikemu, A.; Xu, X.; Wang, Y.; Ding, J.; Wang, Y. Atypical Occlusion Process Caused by the Merger of a Sea-breeze Front and Gust Front. Adv. Atmos. Sci. 2015, 32, 1431–1443. [Google Scholar] [CrossRef]
- Kong, M.; Abulikemu, A.; Zheng, J.; Aireti, M.; An, D. A Case Study on Convection Initiation Associated with Horizontal Convective Rolls over Ili River Valley in Xinjiang, Northwest China. Water 2022, 14, 1017. [Google Scholar] [CrossRef]
- Abulikemu, A.; Abuduaini, A.; Li, Z.; Zhu, K.; Mamtimin, A.; Yao, J.; Zeng, Y.; An, D. Characteristics of Atmospheric Circulation Patterns and the Associated Diurnal Variation Characteristics of Precipitation in Summer over the Complex Terrain in Northern Xinjiang, Northwest China. Remote Sens. 2024, 16, 4520. [Google Scholar] [CrossRef]
- Sun, Q.; Abulikemu, A.; Yao, J.; Mamtimin, A.; Yang, L.; Zeng, Y.; Li, R.; An, D.; Li, Z. A Case Study on the Convection Initiation Mechanisms of an Extreme Rainstorm over the Northern Slope of Kunlun Mountains, Xinjiang, Northwest China. Remote Sens. 2023, 15, 4505. [Google Scholar] [CrossRef]
- Chen, G.; Sha, W.; Iwasaki, T.; Ueno, K. Diurnal variation of rainfall in the Yangtze River Valley during the spring-summer transition from TRMM measurements. J. Geophys. Res. Atmos. 2012, 117, D06106. [Google Scholar] [CrossRef]
- Chen, G.; Lan, R.; Zeng, W.; Pan, H.; Li, W. Diurnal Variations of Rainfall in Surface and Satellite Observations at the Monsoon Coast (South China). J. Clim. 2018, 31, 1703–1724. [Google Scholar] [CrossRef]
- Trenberth, K.E.; Dai, A.; Rasmussen, R.M.; Parsons, D.B. The Changing Character of Precipitation. Bull. Am. Meteorol. Soci. 2003, 84, 1205–1218. [Google Scholar] [CrossRef]
- DeMott, C.A.; Randall, D.A.; Khairoutdinov, M. Convective Precipitation Variability as a Tool for General Circulation Model Analysis. J. Clim. 2007, 20, 91–112. [Google Scholar] [CrossRef]
- Sun, Y.; Solomon, S.; Dai, A.; Portmann, R.W. How Often Will It Rain? J. Clim. 2007, 20, 4801–4818. [Google Scholar] [CrossRef]
- Li, J.; Yu, R.; Zhou, T. Seasonal Variation of the Diurnal Cycle of Rainfall in Southern Contiguous China. J. Clim. 2008, 21, 6036–6043. [Google Scholar] [CrossRef]
- Wallace, J.M. Diurnal Variations in Precipitation and Thunderstorm Frequency over the Conterminous United States. Mon. Weather Rev. 1975, 103, 406–419. [Google Scholar] [CrossRef]
- Wu, M.; Luo, Y. Extreme hourly precipitation over China: Research progress from 2010 to 2019. Torrential Rain Disasters 2019, 38, 502–514. [Google Scholar] [CrossRef]
- Abulikemu, A.; Li, Z.; Zheng, J.; Zhang, S.; Xu, X.; Wang, Y.; Liu, Y. Statistical characteristics of merger-type sea-breeze fronts and associated circulation patterns in the Bohai Bay region, North China. Int. J. Appl. Earth Obser. Geoinform. 2024, 132, 104005. [Google Scholar] [CrossRef]
- Sun, J.; Zhang, F. Impacts of Mountain–Plains Solenoid on Diurnal Variations of Rainfalls along the Mei-Yu Front over the East China Plains. Mon. Weather Rev. 2012, 140, 379–397. [Google Scholar] [CrossRef]
- Geerts, B.; Miao, Q.; Demko, J.C. Pressure Perturbations and Upslope Flow over a Heated, Isolated Mountain. Mon. Weather Rev. 2008, 136, 4272–4288. [Google Scholar] [CrossRef]
- Hartmann, D.L.; Kowalewsky, K.J.; Michelsen, M.L. Diurnal Variations of Outgoing Longwave Radiation and Albedo from ERBE Scanner Data. J. Clim. 1991, 4, 598–617. [Google Scholar] [CrossRef]
- Lorenz, J.M.; Kronenberg, R.; Bernhofer, C.; Niyogi, D. Urban Rainfall Modification: Observational Climatology Over Berlin, Germany. J. Geophys. Res. Atmos. 2019, 124, 731–746. [Google Scholar] [CrossRef]
- Zhang, Y.; Pang, X.; Xia, J.; Shao, Q.; Yu, E.; Zhao, T.; She, D.; Sun, J.; Yu, J.; Pan, X.; et al. Regional Patterns of Extreme Precipitation and Urban Signatures in Metropolitan Areas. J. Geophys. Res. Atmos. 2019, 124, 641–663. [Google Scholar] [CrossRef]
- Zhang, Y.; Smith, J.A.; Luo, L.; Wang, Z.; Baeck, M.L. Urbanization and Rainfall Variability in the Beijing Metropolitan Region. J. Hydromet. 2014, 15, 2219–2235. [Google Scholar] [CrossRef]
- Miao, S.; Chen, F.; Li, Q.; Fan, S. Impacts of Urban Processes and Urbanization on Summer Precipitation: A Case Study of Heavy Rainfall in Beijing on 1 August 2006. J. Appl. Meteorol. Climatol. 2011, 50, 806–825. [Google Scholar] [CrossRef]
- Chen, S.; Li, W.-B.; Du, Y.-D.; Mao, C.-Y.; Zhang, L. Urbanization effect on precipitation over the Pearl River Delta based on CMORPH data. Adv. Clim. Change Res. 2015, 6, 16–22. [Google Scholar] [CrossRef]
- Yang, L.E.; Scheffran, J.; Qin, H.-P.; You, Q. Climate-related flood risks and urban responses in the Pearl River Delta, China. Reg. Environ. Change 2015, 15, 379–391. [Google Scholar] [CrossRef]
- Ping, L.; Yihui, D. The Long-term Variation of Extreme Heavy Precipitation and Its Link to Urbanization Effects in Shanghai during 1916–2014. Adv. Atmos. Sci. 2017, 34, 321–334. [Google Scholar] [CrossRef]
- Wang, J.; Chen, F.; Doan, Q.-V.; Xu, Y. Exploring the effect of urbanization on hourly extreme rainfall over Yangtze River Delta of China. Urban Clim. 2021, 36, 100781. [Google Scholar] [CrossRef]
- Shepherd, J.M.; Burian, S.J. Detection of Urban-Induced Rainfall Anomalies in a Major Coastal City. Earth Interact. 2003, 7, 1–17. [Google Scholar] [CrossRef]
- Kishtawal, C.M.; Niyogi, D.; Tewari, M.; Pielke, R.A., Sr.; Shepherd, J.M. Urbanization signature in the observed heavy rainfall climatology over India. Int. J. Climatol. 2010, 30, 1908–1916. [Google Scholar] [CrossRef]
- Yang, S.; Smith, E.A. Mechanisms for Diurnal Variability of Global Tropical Rainfall Observed from TRMM. J. Clim. 2006, 19, 5190–5226. [Google Scholar] [CrossRef]
- Mooney, P.A.; Broderick, C.; Bruyère, C.L.; Mulligan, F.J.; Prein, A.F. Clustering of Observed Diurnal Cycles of Precipitation over the United States for Evaluation of a WRF Multiphysics Regional Climate Ensemble. J. Clim. 2017, 30, 9267–9286. [Google Scholar] [CrossRef]
- Han, H.; Wu, H.; Huang, A. Temporal and spatial distributions of the diurnal cycle of summer precipitation over North China. Chin. J. Atmos. Sci. 2017, 41, 263–274. [Google Scholar] [CrossRef]
- Zhou, T.; Yu, R.; Chen, H.; Dai, A.; Pan, Y. Summer Precipitation Frequency, Intensity, and Diurnal Cycle over China: A Comparison of Satellite Data with Rain Gauge Observations. J. Clim. 2008, 21, 3997–4010. [Google Scholar] [CrossRef]
- Zhao, Y.; Xu, M.; Wang, Y.; Xu, G.; Cui, C. A Characteristic Analysis on Duirnal Variations of Convective Rainfall Along the Yangtze River Middle Valleys in 2010 Flooding Season. Meteorol. Mon. 2012, 38, 1196–1206. [Google Scholar]
- Chen, H.; Yu, R.; Li, J.; Yuan, W.; Zhou, T. Why Nocturnal Long-Duration Rainfall Presents an Eastward-Delayed Diurnal Phase of Rainfall down the Yangtze River Valley. J. Clim. 2010, 23, 905–917. [Google Scholar] [CrossRef]
- Chen, X.; Zhang, F.; Zhao, K. Diurnal Variations of the Land–Sea Breeze and Its Related Precipitation over South China. J. Atmos. Sci. 2016, 73, 4793–4815. [Google Scholar] [CrossRef]
- Zhao, Y. Diurnal Variation of Rainfall Associated with Tropical Depression in South China and its Relationship to Land-Sea Contrast and Topography. Atmosphere 2014, 5, 16–44. [Google Scholar] [CrossRef]
- Yu, R.; Zhou, T.; Xiong, A.; Zhu, Y.; Li, J. Diurnal variations of summer precipitation over contiguous China. Geophys. Res. Lett. 2007, 34, L01704. [Google Scholar] [CrossRef]
- Bai, A.; Liu, C.; Liu, X. Diurnal variation of summer rainfall over the Tibetan Plateau and its neighboring regions revealed by TRMM multi-scale precipitation analysis. Chin. J. Geophys. 2008, 51, 704–714. [Google Scholar]
- He, H.; Zhang, F. Diurnal Variations of Warm-Season Precipitation over Northern China. Mon. Weather Rev. 2010, 138, 1017–1025. [Google Scholar] [CrossRef]
- Li, J.; Chen, T.; Li, N. Diurnal Variation of Summer Precipitation across the Central Tian Shan Mountains. J. Appl. Meteorol. Climatol. 2017, 56, 1537–1550. [Google Scholar] [CrossRef]
- Yuan, W.; Yu, R.; Zhang, M.; Lin, W.; Chen, H.; Li, J. Regimes of Diurnal Variation of Summer Rainfall over Subtropical East Asia. J. Clim. 2012, 25, 3307–3320. [Google Scholar] [CrossRef]
- Du, Y. Offshore Migration of Summer Monsoon Low-Level Jet on a Diurnal Scale. Geophys. Res. Lett. 2023, 50, e2023GL103840. [Google Scholar] [CrossRef]
- Jiang, Z.; Zhang, D.-L.; Xia, R.; Qian, T. Diurnal Variations of Presummer Rainfall over Southern China. J. Clim. 2017, 30, 755–773. [Google Scholar] [CrossRef]
- Cao, J.; Ma, S.; Yuan, W.; Wu, Z. Characteristics of diurnal variations of warm-season precipitation over Xinjiang Province in China. Atmos. Ocean. Sci. Lett. 2022, 15, 100113. [Google Scholar] [CrossRef]
- Xu, W.; Zipser, E.J. Diurnal Variations of Precipitation, Deep Convection, and Lightning over and East of the Eastern Tibetan Plateau. J. Clim. 2011, 24, 448–465. [Google Scholar] [CrossRef]
- Guan, X.; Yao, J.; Schneider, C. Variability of the precipitation over the Tianshan Mountains, Central Asia. Part II: Multi-decadal precipitation trends and their association with atmospheric circulation in both the winter and summer seasons. Int. J. Climatol. 2022, 42, 139–156. [Google Scholar] [CrossRef]
- Yue, D.; Weiguo, J.; Xiaoya, W.; Jinxia, L.Y.U. Accuracy assessment of MSWEP over mainland China. Adv. Water Sci. 2018, 29, 455–464. [Google Scholar] [CrossRef]
- Yang, J.; Huang, X. The 30 m annual land cover dataset and its dynamics in China from 1990 to 2019. Earth Syst. Sci. Data 2021, 13, 3907–3925. [Google Scholar] [CrossRef]
- Cai, S.; Huang, A.; Zhu, K.; Yang, B.; Yang, X.; Wu, Y.; Mu, X. Diurnal cycle of summer precipitation over the Eastern Tibetan Plateau and surrounding regions simulated in a convection-permitting model. Clim. Dyn. 2021, 57, 611–632. [Google Scholar] [CrossRef]
- Collins, W.D.; Rasch, P.J.; Boville, B.A.; Hack, J.J.; Mccaa, J.R.; Williamson, D.L. Description of the NCAR Community Atmosphere Model (CAM 3.0). NCAR Tech. 2004, 226, 1326–1334. [Google Scholar]
- Pleim, J.E. A Simple, Efficient Solution of Flux–Profile Relationships in the Atmospheric Surface Layer. J. Appl. Meteorol. Climatol. 2006, 45, 341–347. [Google Scholar] [CrossRef]
- Pleim, J.E. A Combined Local and Nonlocal Closure Model for the Atmospheric Boundary Layer. Part I: Model Description and Testing. J. Appl. Meteorol. Climatol. 2007, 46, 1383–1395. [Google Scholar] [CrossRef]
- North, G.R.; Bell, T.L.; Cahalan, R.F. Sampling Errors in the Estimation of Empirical Orthogonal Functions. Mon. Weather. Rev. 1982, 7, 699–706. [Google Scholar] [CrossRef]
- Kadier, Z.; Li, Z.; Abulikemu, A.; Zhu, K.; Abulimiti, A.; An, D.; Abuduaini, A. Diurnal Variation Characteristics of Summer Precipitation over the Northern Slope of the Tianshan Mountains, Xinjiang, Northwest China: Basic Features and Responses to the Inhomogeneous Underlying Surface. Remote Sens. 2023, 15, 4833. [Google Scholar] [CrossRef]
- Chen, T.; Li, J.; Zhang, Y.; Chen, H.; Li, P.; Che, H. Evaluation of Hourly Precipitation Characteristics from a Global Reanalysis and Variable-Resolution Global Model over the Tibetan Plateau by Using a Satellite-Gauge Merged Rainfall Product. Remote Sens. 2023, 15, 1013. [Google Scholar] [CrossRef]
- Li, Z.; Abulikemu, A.; Zhu, K.; Mamtimin, A.; Zeng, Y.; Li, J.; Abulimiti, A.; Kadier, Z.; Abuduaini, A.; Li, C.; et al. Diurnal Variation Characteristics of Summer Precipitation and Related Statistical Analysis in the Ili Region, Xinjiang, Northwest China. Remote Sens. 2023, 15, 3954. [Google Scholar] [CrossRef]
- Hua, S.; Xu, X.; Chen, B. Influence of multiscale orography on the initiation and maintenance of a precipitating convective system in North China: A case study. J. Geophys. Res. Atmos. 2020, 125, e2019JD031731. [Google Scholar] [CrossRef]
- Li, P.; Furtado, K.; Zhou, T.; Chen, H.; Li, J.; Guo, Z.; Xiao, C. The diurnal cycle of East Asian summer monsoon precipitation simulated by the Met Office Unified Model at convection-permitting scales. Clim. Dyn. 2020, 55, 131–151. [Google Scholar] [CrossRef]
- Li, Y.; Tian, Z.; Chen, X.; Su, X.; Yu, E. Investigation on the Sensitivity of Precipitation Simulation to Model Parameterization and Analysis Nudging over Hebei Province, China. Atmosphere 2024, 15, 512. [Google Scholar] [CrossRef]
- Suzuki, Y.; Ryuichi Kawamura, R.; Kawano, T.; Mochizuki, T. Cascading effects of the Changbai Mountains on an extreme weather disaster in northern Japan in January 2021. Weather Clim. Extrem. 2022, 36, 100439. [Google Scholar] [CrossRef]
- Sofokleous, I.; Bruggeman, A.; Michaelides, S.; Hadjinicolaou, P.; Zittis, G.; Camera, C. Comprehensive methodology for the evaluation of high-resolution wrf multiphysics precipitation simulations for small, topographically complex domains. J. Hydrometeorol. 2021, 22, 1169–1186. [Google Scholar] [CrossRef]
- Srivastava, A.; Ullrich, P.; Rastogi, D.; Vahmani, P.; Jones, A.; Grotjahn, R. Assessment of wrf (v 4.2.1) dynamically downscaled precipitation on subdaily and daily timescales over CONUS. Geosci. Model Dev. 2023, 16, 3699–3722. [Google Scholar] [CrossRef]
- Wang, H.; Luo, Y.; Jou, B.J. Initiation, maintenance, and properties of convection in an extreme rainfall event during SCMREX: Observational analysis. J. Geophys. Res. Atmos. 2014, 119, 13,206–13,232. [Google Scholar] [CrossRef]
- Wei, P.; Xu, X.; Xue, M.; Zhang, C.; Wang, Y.; Zhao, K.; Zhou, A.; Zhang, S.; Zhu, K. On the Key Dynamical Processes Supporting the 21.7 Zhengzhou Record-Breaking Hourly Rainfall in China. Adv. Atmos. Sci. 2022, 40, 337–349. [Google Scholar] [CrossRef]
- Xu, X.; Xue, M.; Wang, Y. The genesis of mesovortices within a real-data simulation of a bow echo system. J. Atmos. Sci. 2015, 72, 1963–1986. [Google Scholar] [CrossRef]
- Zhang, S.; Parsons, D.B.; Xu, X.; Wang, Y.; Liu, J.; Abulikemu, A.; Shen, W.; Zhang, X.; Zhang, S. A Modeling Study of an Atmospheric Bore Associated With a Nocturnal Convective System Over China. J. Geophys. Res. Atmos. 2020, 125, e2019JD032279. [Google Scholar] [CrossRef]
- Abulikemu, A.; Ming, J.; Xu, X.; Zhuge, X.; Wang, Y.; Zhang, Y.; Zhang, S.; Yu, B.; Aireti, M. Mechanisms of Convection Initiation in the Southwestern Xinjiang, Northwest China: A Case Study. Atmosphere 2020, 11, 1335. [Google Scholar] [CrossRef]
- Zhang, S.; Parsons, D.B.; Xu, X.; Huang, H.; Xu, F.; Wu, T.; Chen, G.; Abulikemu, A.; Zhao, Y.; Zhang, S.; et al. The Development of Atmospheric Bores in Non-Uniform Baroclinic Environments and Their Roles in the Maintenance, Structure, and Evolution of an MCS. J. Geophys. Res. Atmos. 2024, 129, e2023JD039319. [Google Scholar] [CrossRef]
- Zeng, Y.; Yang, L.; Tong, Z.; Jiang, Y.; Abulikemu, A.; Zhou, Y.; Lu, X.; Li, W.; Li, J.; Liu, J.; et al. Total Cloud Cover in Xinjiang Uygur Autonomous Region, Northwest China: A Comparison of ERA5 and ISCCP With FY4A. Adv. Meteorol. 2025, 2025, 5002403. [Google Scholar] [CrossRef]
- Gao, X.; Sun, J.; Yin, J.; Abulikemu, A.; Wu, C.; Liang, X.; Xia, R. The impact of mountain-plain thermal contrast on precipitation distributions during the “23·7” record-breaking heavy rainfall over North China. Atmos. Res. 2024, 310, 107582. [Google Scholar] [CrossRef]
- Zeng, Y.; Yang, L.; Tong, Z.; Jiang, Y.; Zhou, Y.; Lu, X.; Abulikemu, A.; Li, J. Seasonal Variation in Total Cloud Cover and Cloud Type Characteristics in Xinjiang, China Based on FY-4A. Remote Sens. 2024, 16, 2803. [Google Scholar] [CrossRef]
- Zhang, S.; Huang, H.; Parsons, D.B.; Xu, X.; Chen, Q.; Lyu, F.; Xu, F.; Chen, G.; Abulikemu, A.; Huang, L. Long-Lived Atmospheric Bores and Their Influence on Daytime Mesoscale Convective Systems. Mon. Weather Rev. 2025, 153, 1671–1686. [Google Scholar] [CrossRef]
- Zeng, Y.; Yang, L.; Tong, Z.; Jiang, Y.; Abulikemu, A.; Lu, X.; Li, X. Seasonal Variations in the Rainfall Kinetic Energy Estimation and the Dual-Polarization Radar Quantitative Precipitation Estimation Under Different Rainfall Types in the Tianshan Mountains, China. Remote Sens. 2024, 16, 3859. [Google Scholar] [CrossRef]
- Morrison, H.; Thompson, G.; Tatarskii, V. Impact of cloud microphysics on the development of trailing stratiform precipitation in a simulated squall line: Comparison of one- and two-moment schemes. Mon. Wea. Rev. 2009, 137, 991–1007. [Google Scholar] [CrossRef]
- Guo, H.; Ming, Y.; Fan, S.; Zhou, L.; Harris, L.; Zhao, M. Two-moment bulk cloud microphysics with prognostic precipitation in GFDL’s Atmosphere Model AM4.0: Configuration and performance. J. Adv. Model. Earth Syst. 2021, 13, e2020MS002453. [Google Scholar] [CrossRef]
- Xiao, W.; Zhang, Y.; Zheng, H.; Wu, Z.; Xie, Y.; Huang, Y. Microphysical characteristics of precipitation for four types of typical weather systems on Hainan Island. Remote Sens. 2024, 16, 4144. [Google Scholar] [CrossRef]
- Lin, M.; Horowitz, L.W.; Zhao, M.; Harris, L.; Ginoux, P.; Dunne, J.; Malyshev, S.; Shevliakova, E.; Ahsan, H.; Garner, S.; et al. The GFDL variable-resolution global chemistry–climate model for research at the nexus of US climate and air quality extremes. J. Adv. Model. Earth Syst. 2024, 16, e2023MS003984. [Google Scholar] [CrossRef]
- Schär, C.; Ban, N.; Rajczak, J.; Schmidli, J.; Frei, C.; Giorgi, F.; Zwiers, F.W. Percentile indices for assessing changes in heavy precipitation events. Clim. Change 2016, 137, 201–216. [Google Scholar] [CrossRef]














| Time Slot Name | Time Range (LST = UTC + 6) |
|---|---|
| Midnight | 2300–0100 |
| Early morning | 0200–0400 |
| Dawn | 0500–0700 |
| Morning | 0800–1000 |
| Noon | 1100–1300 |
| Afternoon | 1400–1600 |
| Nightfall | 1700–1900 |
| Evening | 2000–2200 |
| r | R2 | RMSE | |
|---|---|---|---|
| WRF_NJU | 0.78 | 0.61 | 0.36 |
| ERA5 | 0.65 | 0.42 | 1.03 |
| CMORPH | 0.09 | 0.01 | 0.36 |
| MSWEP | 0.69 | 0.48 | 0.34 |
Disclaimer/Publisher’s Note: The statements, opinions and data contained in all publications are solely those of the individual author(s) and contributor(s) and not of MDPI and/or the editor(s). MDPI and/or the editor(s) disclaim responsibility for any injury to people or property resulting from any ideas, methods, instructions or products referred to in the content. |
© 2025 by the authors. Licensee MDPI, Basel, Switzerland. This article is an open access article distributed under the terms and conditions of the Creative Commons Attribution (CC BY) license (https://creativecommons.org/licenses/by/4.0/).
Share and Cite
Abulikemu, A.; Kadier, Z.; Yang, L.; Sawut, M.; Yao, J.; Zeng, Y.; An, D.; Yin, G. Diurnal Variation Characteristics of Precipitation in Summer Associated with Diverse Underlying Surfaces in the Arid Region of Eastern Xinjiang, Northwest China. Remote Sens. 2025, 17, 3438. https://doi.org/10.3390/rs17203438
Abulikemu A, Kadier Z, Yang L, Sawut M, Yao J, Zeng Y, An D, Yin G. Diurnal Variation Characteristics of Precipitation in Summer Associated with Diverse Underlying Surfaces in the Arid Region of Eastern Xinjiang, Northwest China. Remote Sensing. 2025; 17(20):3438. https://doi.org/10.3390/rs17203438
Chicago/Turabian StyleAbulikemu, Abuduwaili, Zulipina Kadier, Lianmei Yang, Mamat Sawut, Junqiang Yao, Yong Zeng, Dawei An, and Gang Yin. 2025. "Diurnal Variation Characteristics of Precipitation in Summer Associated with Diverse Underlying Surfaces in the Arid Region of Eastern Xinjiang, Northwest China" Remote Sensing 17, no. 20: 3438. https://doi.org/10.3390/rs17203438
APA StyleAbulikemu, A., Kadier, Z., Yang, L., Sawut, M., Yao, J., Zeng, Y., An, D., & Yin, G. (2025). Diurnal Variation Characteristics of Precipitation in Summer Associated with Diverse Underlying Surfaces in the Arid Region of Eastern Xinjiang, Northwest China. Remote Sensing, 17(20), 3438. https://doi.org/10.3390/rs17203438

