Abstract
The intensification of climate change and the implementation of territorial spatial planning policies have jointly increased the complexity of future carbon storage changes. However, the impact of territorial spatial planning on carbon storage under future climate change remains unclear. Therefore, this study aims to reveal the potential impacts of future climate change and territorial spatial planning on carbon storage and sequestration, providing decision support for addressing climate change and optimizing territorial spatial planning. We employed the FLUS model, the InVEST model, and the variance partitioning analysis (VPA) method to simulate carbon storage under 15 different scenarios that combine climate change scenarios and territorial spatial planning for Xiamen in 2035, and to quantify the individual and combined impacts of territorial spatial planning and climate change on ecosystem carbon sequestration. The results showed that (1) by 2035, Xiamen’s carbon storage capacity is expected to range from 32.66 × 106 Mg to 33.00 × 106 Mg under various scenarios, reflecting a decrease from 2020 levels; (2) the implementation of territorial spatial planning is conducive to preserving Xiamen’s carbon storage, with the urban development boundary proving to be the most effective; (3) carbon storage is greatly affected by climate change, with RCP 4.5 more effective than RCP 8.5 in maintaining higher levels of carbon storage; and (4) the influence of territorial spatial planning on carbon sequestration consistently exceeds that of climate change, particularly under high-emission scenarios, where the regulatory effect of planning is especially significant.
1. Introduction
With the progress of industrialization and urbanization, human activities have significantly increased the concentrations of greenhouse gases in the atmosphere, exacerbating global climate change and posing substantial threats to sustainable development [1,2]. Terrestrial ecosystems, critical to the global carbon cycle, help lower atmospheric CO2 levels through carbon sequestration [3]. Therefore, enhancing the capacity of terrestrial ecosystems to store and sequester carbon is regarded as one of the most environmentally friendly, economically viable, and cost-effective methods for reducing greenhouse gas emissions and addressing climate change impacts [4,5]. Numerous studies indicate that land use/land cover (LULC) change and climate change are significant factors affecting carbon storage [6,7]. In particular, spatial planning and policies directly affect land use patterns, which, in turn, have a profound impact on carbon storage. Consequently, elucidating the potential impacts of territorial spatial planning and climate change on ecosystem carbon storage and sequestration is essential to support relevant policy formulation and alleviate climate change impacts.
LULC change caused by human activities can directly affect carbon storage in terrestrial ecosystems [5,8]. Studies have shown that about one third of atmospheric carbon dioxide emissions can be attributed to LULC change [9,10]. Considering the critical role of land use in shaping future land climate–carbon cycle interactions, efforts to mitigate climate change should focus on minimizing land use emissions [11]. The Fifth Assessment Report (AR5) of the Intergovernmental Panel on Climate Change (IPCC) added a dedicated chapter on “Human Settlement, Infrastructure, and Spatial Planning” to highlight the significance of spatial planning in curbing CO2 emissions [12]. The Sixth Assessment Report (AR6) of the IPCC proposed three major strategies for urban systems to mitigate climate change, one of which emphasizes the role of spatial planning [13]. However, despite these recognitions, the role of spatial planning in addressing climate change remains unclear, particularly regarding its impact on future carbon storage [14]. With the establishment and supervision of China’s territorial spatial planning system in 2019, future land use changes will be rigidly constrained by three control lines: the ecological conservation red line, the urban development boundary red line, and the permanent basic farmland conservation red line [15]. Some studies have explored the impacts of different land use management scenarios (for example, ecological protection or economic development scenarios) on carbon storage based on relevant policy guidelines [6,16]. However, applying simplified and extreme scenarios rather than actual policies to simulate changes in carbon storage may limit the application of simulation results in carbon emission reduction policy formulation and urban management planning.
Climate change will alter the distribution of ecosystems and their biophysical processes, thereby influencing their carbon storage services [7,17]. Typically, an increase in temperature suppresses the productivity of land and boosts respiration processes, leading to a decrease in net carbon sequestration [18,19]. Moreover, climate change-induced extreme heat may exacerbate the risk of wildfires, thereby threatening the carbon storage function of ecosystems [20,21]. In contrast, carbon density increases with rising precipitation. This is especially true in arid regions, where precipitation is a key factor for plant production. Higher precipitation alleviates water scarcity, promotes the accumulation of organic matter in vegetation, and, thus, effectively enhances terrestrial carbon sequestration [22,23]. Therefore, it is crucial to consider climate change when evaluating future carbon storage [24]. The Representative Concentration Pathways (RCPs) describe potential future climates under different levels of greenhouse gas concentrations and have been widely used to simulate future climate change [25,26]. The research indicates that different climate scenarios result in varying rules of conversion between LULC types, thereby influencing the spatial distribution patterns of land use and carbon storage [5]. The combined impact of LULC change and climate change undoubtedly increases the complexity of future carbon storage changes. However, most current research concentrates on climate or LULC change in isolation, without considering their joint impacts [27]. In the foreseeable future, land use types will inevitably undergo significant changes due to the impacts of territorial spatial planning and climate change. However, within the context of climate change, the influence of various control lines in territorial spatial planning on carbon storage remains unexplored. Moreover, it is necessary to distinguish the contribution of territorial spatial planning and climate change to carbon storage, to help policymakers formulate reasonable adaptive management strategies.
The methods for evaluating carbon storage in terrestrial ecosystems primarily involve field surveys, carbon flux monitoring, and model simulations [28]. While field surveys and carbon flux monitoring offer high reliability, they are not suitable for studying long-term, large-scale, and future changes in carbon storage [29]. As remote sensing (RS), geographic information system (GIS), and Global Positioning System (GPS) technologies evolve, scholars estimate and simulate carbon storage through modeling, which overcomes the limitations of traditional carbon storage evaluation methods in spatial and temporal scales. The Integrated Valuation of Ecosystem Services and Trade-offs (InVEST) model primarily calculates ecosystem carbon storage based on LULC distribution maps and carbon density data. It features advantages such as minimal parameter requirements, accurate simulations, and visualized assessment results, and is widely used in ecosystem carbon storage evaluations [30]. Land use simulation models serve as crucial elements in scenario analysis, utilizing remote sensing data to predict the spatio-temporal dynamics of land use. Commonly employed models include CA-Markov [30], ANN-CA [31], CLUE-S [32], PLUS [27], and FLUS [33]. Among them, the Future Land-Use Simulation (FLUS) model is established based on the system dynamics (SD) model and the cellular automata (CA) model, which excels in addressing the uncertainty and relative complexity of LULC change processes influenced by natural and human factors, and has high simulation accuracy [34].
China, committed to achieving carbon neutrality by 2060, is launching territorial spatial planning and a new round of eco-environmental management to promote green and low-carbon development, as one of the world’s largest carbon emitters [16,27]. In June 2022, the National Climate Change Adaptation Strategy 2035 (NCCAS 2035) was released, emphasizing developing a climate-resilient territorial space [35]. Xiamen, one of China’s first four Special Economic Zones and eight low-carbon pilot cities, serves as a key region for implementing “dual carbon” goals [36]. In response to climate change challenges, such as rising temperatures, typhoons, and sea-level rise, Xiamen urgently needs to explore effective adaptation strategies. This study aims to reveal the potential impacts of future climate change and Xiamen’s territorial spatial planning on carbon storage and sequestration, thereby providing decision support for formulating more targeted and rational carbon management policies, optimizing territorial spatial planning, and achieving the “dual carbon” goals. To this end, we integrated the FLUS model, InVEST model, and VPA method, based on Xiamen’s actual territorial spatial planning and climate scenarios from Coupled Model Intercomparison Project Phase 5 (CMIP5), to assess the impacts of various planning policies on future land use patterns and carbon storage under different climate change scenarios. Also, we clarified the individual and combined impacts of climate change and territorial spatial planning on ecosystem carbon sequestration.
2. Materials and Methods
2.1. Study Area
Xiamen, situated from 24°23′ to 24°54′N latitude and 117°52′ to 118°26′E longitude, is an important central city in southeast China, located on the west coast of the Taiwan Strait (Figure 1). The city comprises mainland areas along Xiamen Bay, including Xiamen Island, Gulangyu Island, and other surrounding islands. It covers a total land area of 1699 km2 and a marine area of 333 km2. The terrain slopes from south to north, characterized mainly by coastal plains, mountains, and hills. Xiamen experiences a subtropical oceanic monsoon climate, characterized by an average annual precipitation of 1388 mm and an average annual temperature of 22.3 °C. The city’s warm climate and abundant rainfall, coupled with high average relative humidity, provide favorable conditions for plant growth. Xiamen features 11 vegetation types, including evergreen coniferous forests, evergreen broad-leaved forests, mixed coniferous and broad-leaved forests, and mangroves, with the subtropical monsoon evergreen broad-leaved forest being the zonal vegetation of the city [37]. Xiamen has undergone significant urbanization since the reform and opening-up policy. The urban built-up area expanded from 30 km2 in 1978 to 402 km2 by 2020. By the end of 2023, Xiamen’s permanent population reached 5.33 million, with an urbanization rate of 90.81% [38].
Figure 1.
Study area. (a) Location of Xiamen, China. (b) Land use in Xiamen in 2020. Source: created by the authors, based on Landsat 8 OLI/TIRS dataset (https://www.gscloud.cn/ (accessed on 6 July 2024)).
2.2. Data Sources
The FLUS model requires land use data and driving factors for its operation. Data sources are detailed in Table 1.
Table 1.
Data sources of this research.
- (1)
- Land use data. This study utilized remote sensing data from the Landsat-8 Operational Land Imager (OLI) sensor, selecting images from 2015 and 2020 with cloud cover below 5% and a resolution of 30 m. We performed radiometric calibration, atmospheric correction, cropping, supervised classification, and post-classification processing in ENVI 5.1. The supervised classification was conducted using the random forest classification method, categorizing the images into six land use types: farmland, forest land, grassland, built-up land, unused land, and water body (Figure 1). During the classification process, 50 region of interest (ROI) samples were selected for each land use type. To ensure the accuracy of the results, post-classification processing was carried out. The classification results were corrected through visual interpretation in conjunction with high-resolution Google imagery and remote sensing data from Landsat 8. Finally, we validated the classified results in ENVI, achieving an overall accuracy exceeding 90% (Table S1).
- (2)
- Driving factors. The driving factors for land use prediction are divided into natural and socioeconomic factors. The natural factors include slope and elevation, which derive from the digital elevation model (DEM), as well as climate data. The socioeconomic factors include gross domestic product (GDP) distribution data, population distribution data, and distance from railways, roads, built-up areas, and water bodies. Using ArcGIS 10.5’s resampling function, the resolution of the driving factor data is uniformly adjusted to 30 m × 30 m.
3. Methodology
3.1. FLUS Model
The FLUS model, developed by Liu et al. [34], is a tool designed to simulate changes in land use. The FLUS model integrates CA with SD, artificial neural networks (ANN), and a roulette wheel selection technique. This integration effectively handles the complex relationships between land use changes and a variety of influencing factors, thereby enhancing the accuracy of land use simulation. Due to its superior performance, FLUS has been widely applied in predicting land use changes under the influence of human activities and natural factors [39,40,41]. Figure 2 depicts the specific simulation process of the FLUS model.
Figure 2.
The process of land use change simulation in the FLUS model.
Firstly, ANN is employed to calculate the suitability probability distribution for various land use types. The ANN-based probability of occurrence estimation module can integrate various driving factors such as natural, social, and economic elements, and simulate the suitability probability distribution of various land use types under preset scenarios based on the current land use. Secondly, the historical land use dataset is combined with the Markov chain to forecast the total number of pixels for various land use types in the future. In addition, we also set the parameters containing neighborhood weights (Table S2), cost matrix (Table S3), and restricted development areas. Finally, the CA model is applied to predict future land use under different scenarios. The FLUS model introduces an adaptive inertia competition mechanism based on the roulette wheel selection into the CA model simulation process through the cellular automata simulation module, to achieve high-precision simulation of land use changes.
3.2. LULC Change Scenarios
We designed 15 scenarios by combining three climate change scenarios with five LULC scenarios, aimed at exploring their impacts on carbon storage and sequestration in Xiamen (Table 2). The RCPs proposed in the fifth assessment report of the IPCC are often utilized as input variables for climate change forecasting models influenced by human activities [42]. RCP 4.5 and RCP 8.5 are two of the most typical scenarios among the RCPs. RCP 4.5 envisions the successful implementation of greenhouse gas reduction policies and technological advancements, stabilizing radiative forcing around 4.5 W/m2 by 2100. In contrast, RCP 8.5 is a no-policy scenario noted for continuously rising greenhouse gas emissions and concentrations, with radiative forcing expected to rise to 8.5 W/m2 by 2100. This study established three climate scenarios: RCP 4.5, RCP 8.5, and NC. Among these, NC represents a scenario with no climate change.
Table 2.
Fifteen scenarios coupling climate change with territorial spatial planning.
According to China’s newly released territorial spatial planning policy in 2019, Xiamen has delineated three control lines, the ecological conservation red line, the permanent basic farmland conservation red line, and the urban development boundary, as rigid constraints for territorial spatial protection and development [43]. To assess the impact of territorial spatial planning on carbon storage and sequestration in Xiamen, we designed five land use scenarios utilizing government-provided data, ensuring that our simulations and predictions accurately reflect the actual policy impacts:
- (1)
- No restriction (NR): a business-as-usual development scenario reflecting the historical trend of land use, with no policy planning to restrict the future development of land use.
- (2)
- Ecological conservation red line (EC): areas with crucial ecological functions that require strict protection. Xiamen has designated 303.69 km2 as ecological conservation red lines, including 216.01 km2 of terrestrial areas, encompassing key ecological areas like nature reserves, water source conservation areas, and forests. Under the EC scenario, the addition of new farmland and built-up land in these areas is forbidden.
- (3)
- Permanent basic farmland conservation red line (BF): farmland boundaries that cannot be occupied or developed, which require permanent protection. Xiamen has designated 68.87 km2 of permanent basic farmland. The BF scenario restricts the conversion of farmland to other uses.
- (4)
- Urban development boundary red line (UB): the boundary of areas designated for urban development and construction within a certain period, including both existing built-up areas and reserved space for future urban construction. Xiamen has designated 734.06 km2 for urban development. Under the UB scenario, new built-up land is prohibited outside the urban development boundary to prevent uncontrolled urban sprawl.
- (5)
- Integrated three control line scenarios (ITL): a comprehensive scenario that combines all three control lines (EC, BF, and UB). It reflects Xiamen’s territorial planning, integrating ecological protection, farmland preservation, and orderly urban development.
3.3. InVEST Model
The InVEST model’s carbon module employs a streamlined carbon cycle to quantify static carbon storage and dynamic carbon sequestration in ecosystems [44,45]. Four basic carbon pools are included in the carbon module: aboveground, belowground, soil organic carbon, and dead organic matter. Carbon storage is determined by multiplying the area of each LULC type by its specific carbon density. The formula is given as follows:
where represents the total carbon storage (Mg), Ai denotes the area of the land use type i (km2), and the four carbon densities of the land use type i include aboveground biomass (Ci,above), belowground biomass (Ci,below), dead organic carbon (Ci,soil), and soil organic carbon (Ci,soil), with all units in Mg/km2. The carbon density data for each land use type were obtained from the relevant literature as shown in Table 3 [46].
Table 3.
Carbon density across various land use types in Xiamen.
Carbon sequestration usually refers to the amount of carbon added to an ecosystem within a certain period [44,45]. The InVEST model assesses carbon sequestration by calculating the changes in ecosystem carbon storage.
where represents carbon sequestration (Mg), and and are the carbon storage at time t + 1 and time t, respectively.
3.4. Variation Partitioning Analysis
Variance partitioning is a method used to identify the unique and shared contributions of multiple drivers to the explanation of the dependent variable [47]. To investigate the impacts of climate change and territorial spatial planning on carbon sequestration in Xiamen, this study employed the VPA method from the “vegan” package in R [48]. The variation in carbon sequestration was partitioned into four components: the unique effects of climate change, the unique effects of territorial spatial planning, the combined effects of climate change and territorial spatial planning, and unexplained residuals.
3.5. Hot Spot Analysis
Hot spot analysis is usually utilized to detect statistically significant spatial cold and hot spots [49]. The method calculates the Gi* statistic for each spatial unit and classifies clusters into high or low through the standard normal distribution. Areas with significant high-value clustering are identified as hot spots (“high-high” clusters), while areas with significant low-value clustering are identified as cold spots (“low-low” clusters). This study employs hot spot analysis to detect spatially hot/cold spots of carbon sequestration, aiming to reveal key regions across various scenarios.
4. Results
4.1. Future Land Use in Multi-Scenario
The actual and simulated land use maps for 2020 achieved an overall accuracy of 95% and map-level image classification efficacy (MICE) of 90% [50], indicating that the FLUS model performs well in modeling changes in LUCC. The model was utilized to simulate land use in Xiamen under 15 scenarios for 2035 (Figure 3).
Figure 3.
Land use map of Xiamen in 2035 across 15 scenarios.
By 2035, all scenarios show a trend of decline in ecological land (forest land, grassland, and water bodies) and farmland, alongside a growing trend of built-up land (Figure 4). Compared to 2020, built-up land is expected to increase by 5.55 km2 (ITL_RCP 4.5) to 26.55 km2 (NR_RCP 8.5), ecological land will decrease by 1.26 km2 (ITL_NC) to 11.38 km2 (NR_RCP 8.5), and farmland will be reduced by 1.01 km2 (UB_RCP 4.5) to 13.73 km2 (EC_RCP 8.5). We observed that, regardless of spatial planning constraints, the growth in built-up land and the reduction in ecological land and farmland follow the same trend across different climate scenarios: RCP 4.5 < NC < RCP 8.5. This suggests that implementing climate change intervention policies and maintaining relatively low emissions would better preserve farmland and ecological land in Xiamen. In contrast, urban sprawl and the rapid loss of farmland and ecological land occur under the high-emission scenario. The impact of different climate scenarios on Xiamen’s land use changes varies spatially. For instance, among the three climate scenarios, the growth of built-up land is most pronounced in the northern mountainous regions of Xiamen under the NC scenario.
Figure 4.
The area change rate of various land use types across various scenarios (compared with 2020).
The impact of the three control lines on different land uses in Xiamen varies significantly, with the UB scenario being the most effective in curbing urban sprawl. The growth of built-up land in Xiamen markedly slows down in the UB scenario, showing an average growth rate of 1.41% across the three climate scenarios, which is about 1/3 of the rates under the EC (3.88%), BF (4.02%), and NR (4.13%) scenarios. Additionally, the UB constraint results in the lowest rates of ecological space and farmland decline. EC plays a role in protecting ecological land, with the average decline rate of ecological land under the EC constraint being 1.25%, which is lower than that under the NR scenario (1.54%). The BF scenario mitigates the decline of farmland, with a decline rate of 2.69% under the BF scenario, which is lower than that under the NR scenario (2.84%). These results suggest that the implementation of territorial planning and policies will effectively protect Xiamen’s ecological environment and farmland, prevent uncontrolled urban expansion, and ensure sustainable urban development.
Although the ITL integrates the effects of all three control lines, it does not necessarily outperform each control line scenario in every aspect. Research indicates that under the ITL scenario, the average decline rate of ecological land is 0.41%, which is lower than that under any single control line constraint. The average growth rate of built-up land is comparable to that in the UB scenario, while the decline rate of farmland is 0.87%, which is lower than under the UB scenario.
4.2. Carbon Storage Under Various Scenarios
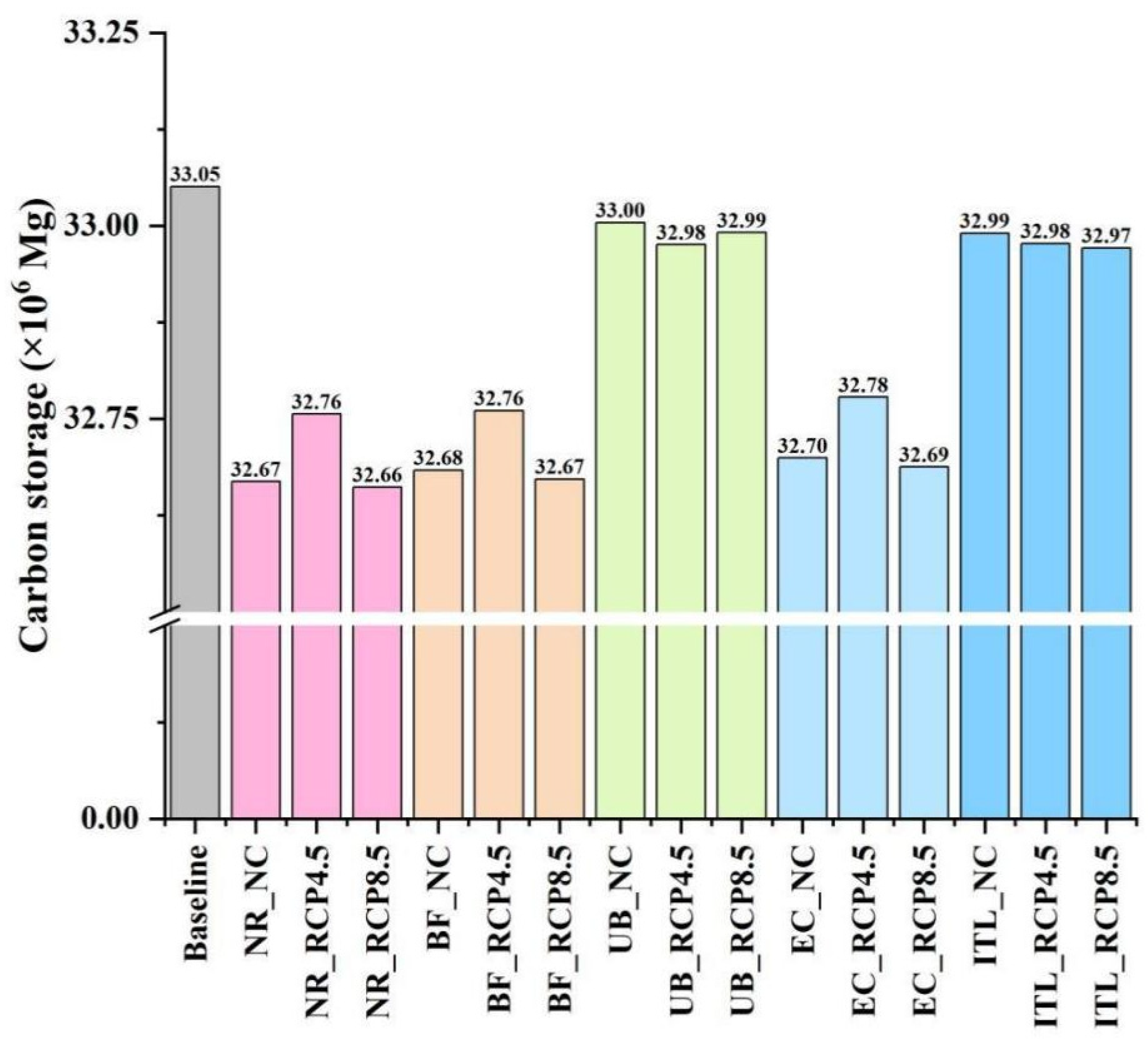
Xiamen’s carbon storage spatial distribution under various scenarios exhibits a general trend of higher values in the north and lower values in the south (Figure 5). This result was due to the extensive vegetation and water bodies in the northern part of Xiamen, while the southern part is predominantly urbanized. Compared to the baseline (2020), carbon storage decreases in all scenarios. In 2020, Xiamen’s carbon storage was 33.05 × 106 Mg. By 2035, carbon storage in different scenarios ranges from 32.66 × 106 Mg to 33.00 × 106 Mg.
Figure 5.
Spatial patterns of carbon storage in Xiamen in 2035 across various scenarios.
Carbon storage is significantly influenced by climate change. Changes in carbon storage across scenarios demonstrate that RCP 4.5 is more favorable for maintaining higher levels of carbon storage compared to RCP 8.5. In the NR scenario, we observe NR_RCP 4.5 (32.76 × 106 Mg) > NR_NC (32.67 × 106 Mg) > NR_RCP 8.5 (32.66 × 106 Mg). Under RCP 8.5, carbon storage shows a decrease relative to the NC scenario. These findings highlight the importance of reducing greenhouse gas emissions to protect and enhance ecosystem carbon storage.
Under the NR, BF, and EC scenarios, carbon storage is significantly higher in RCP 4.5 compared to the NC and RCP 8.5 scenarios, while in the UB scenario, the NC model is the most favorable for maintaining carbon storage (Figure 6). Under the ITL scenario, carbon storage across different climate scenarios follows the pattern of NC > RCP 4.5 > RCP 8.5. This indicates that, under the current climate trend, the joint implementation of the three control lines in territorial spatial planning is most conducive to maintaining carbon storage. However, with climate change, whether under low or high emission scenarios, carbon storage will decline.
Figure 6.
The amount of carbon storage in Xiamen across various scenarios.
Territorial spatial planning lines have varying effects on carbon storage. Under the NR scenario, the average carbon storage amounts to 32.69 × 106 Mg, whereas the average carbon storage under other planning scenarios is higher. Specifically, the mean values under the three climate scenarios are as follows: BF (32.70 × 106 Mg) < EC (32.72 × 106 Mg) < ITL (32.98 × 106 Mg) < UB (32.99 × 106 Mg). This indicates that implementing various territorial spatial planning measures benefits the maintenance of carbon storage in Xiamen, with UB having the greatest impact.
4.3. Carbon Sequestration Under Various Scenarios
To better support policy implementation, we use the smallest administrative units—subdistricts (or townships)—as statistical units to analyze carbon sequestration during the study period under 15 scenarios. In Figure 7, green and gray areas represent positive and negative carbon sequestration, respectively, indicating whether the carbon storage in these areas is expected to increase or decrease relative to 2020.
Figure 7.
Carbon sequestration for each subdistrict (or township) in different scenarios in Xiamen.
In the NC scenario, positive carbon sequestration regions are mainly located in the northern part of Tong’an District, indicating that this area has favorable carbon sequestration potential under current climate conditions. Under RCP 4.5, positive carbon sequestration regions extend to include Siming District, Haicang District, and Jimei District, showing a wider range of carbon sequestration capacity. Under RCP 8.5, the distribution of positive carbon sequestration regions further extends to cover the northern Tong’an District, northern Xiang’an District, and western Siming District, reflecting that with the increase in greenhouse gas emissions, the carbon sequestration potential of these areas has been further exerted.
In the BF and EC scenarios, the spatial pattern of carbon sequestration resembles that in the NR scenarios, indicating that the ecological red line and farmland red line have a limited influence on the spatial distribution of carbon sequestration. Conversely, in the UB and ITL scenarios, the area of positive carbon sequestration regions significantly increases, particularly in the NC and RCP 4.5 scenarios, where the positive carbon sequestration regions in northern Tong’an and Xiang’an districts are more extensive. However, under RCP 8.5, no positive carbon sequestration regions are observed within Xiamen Island, although sporadic distributions remain in northern Tong’an, northern Xiang’an, and in Haicang and Jimei Districts. This indicates that under stricter land use constraints, the area of carbon sequestration-positive regions has increased, but the carbon sequestration capacity of urban central areas may be limited under the high emission level of RCP 8.5.
4.4. Spatial Patterns of Carbon Sequestration Hot/Cold Spots
Hot spot analysis was applied to identify the spatial hot and cold spots of carbon sequestration within Xiamen (Figure 8). Under the NC, EC, and BF scenarios, carbon sequestration cold spots are consistently observed in the northwest of Tong’an District, indicating a challenge to the region’s carbon sequestration capacity. Under RCP 4.5, new carbon sequestration cold spots emerge in the northern areas of Haicang District and the eastern areas of Xiang’an District, while a hot spot forms in the southeastern part of Jimei District. Under RCP 8.5, the cold spot in the northern regions of Haicang District persists, and a new hot spot develops in the eastern part of Tong’an District, highlighting the regional impacts of climate change on carbon sequestration capacity. Notably, under the UB and URL scenarios, a large carbon sequestration hot spot appears in the northern part of Xiamen, whereas a cold spot emerges in the southern part of Xiang’an District. This finding underscores the significant influence of urban development boundaries on regional carbon sequestration capacity, where effective planning strategies can enhance carbon sequestration, while disorderly urban expansion may lead to its decline.
Figure 8.
Hot/cold spots of carbon sequestration for each subdistrict (or township) in different scenarios in Xiamen.
4.5. Impact of Territorial Spatial Planning and Climate Change on Carbon Sequestration
To compare the relative impacts of territorial spatial planning and climate change on future carbon sequestration in Xiamen, we employed VPA to evaluate their unique and shared contributions to the variability in carbon sequestration (Figure 9). The findings reveal that the unique contribution of territorial spatial planning consistently exceeds that of climate change, though differences arise under various climate scenarios. Under RCP 4.5, the contribution of land spatial planning (48%) is slightly greater than that of climate change (41%). Under RCP 8.5, the impact of territorial spatial planning becomes more pronounced, with a unique contribution of 39%, 6.5 times that of climate change, and a shared explanation with climate change of 11%. These results indicate that territorial spatial planning has a larger impact on carbon sequestration under high-emission scenarios.
Figure 9.
Variance partitioning Venn diagram. The diagram illustrates the unique and intersecting contributions of climate and territorial spatial planning to carbon sequestration. The intersection represents the percentage of variance explained by shared explanatory variables, with no value area indicating that the shared variance is zero or negative. Residuals represent the percentage of unexplained variance.
5. Discussion
5.1. The Impact of Territorial Spatial Planning on Carbon Storage
Scientific understanding of the effectiveness of territorial spatial planning in addressing climate change is limited. Our study results show that implementing territorial spatial planning positively affects the maintenance of carbon storage in Xiamen. This is consistent with the research of Zhang et al. [51], who simulated the carbon storage of the Wuhan City circle under two scenarios: natural development and the “three lines” constraints of territorial spatial planning. They found that the carbon storage under the “three lines” constraint scenario was higher than that under the natural development scenario. Our study further reveals the specific differences in this impact under various planning control line scenarios. The results show that carbon storage is maximized under the UB (urban development boundary red line) scenario. Both the ITL (integrated three control line) and UB scenarios strictly limit the uncontrolled expansion of construction land by setting an urban construction boundary, demonstrating that the expansion of construction land is a primary factor leading to the decline in carbon storage. Similar to this finding, after systematically analyzing 70 studies, Zhang et al. also emphasized that to achieve low-carbon goals, the focus of urban spatial planning should shift towards controlling urban sprawl [14].
Conversions between different LULC types can either increase or decrease carbon storage. Existing studies posit that low-carbon-density urban construction land encroaches upon a substantial amount of high-carbon-density farmland and forest land, resulting in a significant reduction in the carbon storage of terrestrial ecosystems [47,52]. In the 15 scenario simulations for our study area, forest, grassland, and farmland all exhibited varying degrees of decline, which is a significant reason for the substantial projected decrease in carbon storage compared to the baseline. Previous studies have found that the increase in forest and grassland areas caused by ecological projects contributed up to 56% to the regional carbon storage in China [53]. The IPCC AR6 proposes three major strategies for how urban systems can mitigate climate change, one of which is enhancing carbon storage in urban environments through urban green and blue infrastructure [13]. Therefore, in order to improve regional carbon storage, it is essential to focus on ecological protection to bolster the carbon sequestration capacity of the regional ecosystem while avoiding over-exploitation of urban areas.
5.2. The Impact of Climate Change on Carbon Storage
Climate change significantly affects carbon storage, which is confirmed by the differences in carbon storage under different RCPs. Our findings show that carbon storage under RCP 4.5 is generally higher than under RCP 8.5, and compared to the baseline period, carbon storage in both scenarios shows a significant downward trend. This is consistent with the research findings of Liu et al., who applied the CENTURY model to simulate carbon dynamics under different climate change scenarios and also concluded that the carbon storage under RCP 4.5 is higher than that under RCP 8.5 [54]. However, in contrast to the findings of Gu et al., their research indicates that the carbon storage in the Yangtze River Middle and Lower Reaches Basin continues to increase under both the RCP 4.5 and RCP 8.5 scenarios, with a higher growth rate under RCP 8.5 [55]. We believe that the inconsistency in the study results may stem from differences in regional ecological characteristics, uncertainties in future climate change, and the different research methods employed. This disparity reflects that the impact of climate change on carbon storage is a highly complex and region-specific process. Therefore, policymakers need to understand the impacts of different climate scenarios on carbon storage in order to develop adaptive management strategies for addressing future climate change.
5.3. The Impact of Territorial Spatial Planning and Climate Change on Carbon Storage
In the context of the interaction between future LULC change and climate change, the impact of spatial planning and different climate scenarios on carbon storage is uncertain. For example, previous studies show that human activities impact carbon storage more than natural disturbances [52,56], while Guo et al. argue that the influence of natural factors such as climate and terrain determines the pattern of carbon storage distribution, while land use changes dominated by human activities cause fluctuations, and the implementation of policies is the main driver of such impacts [27]. Although its importance has been recognized, there is still a lack of quantitative research on the combined and individual impacts of future climate change and spatial planning on carbon storage. Our study further quantifies the relative contributions of territorial spatial planning and climate change to carbon storage. The results indicate that the influence of territorial spatial planning on carbon sequestration consistently exceeds that of climate change. This may be due to the fact that territorial spatial planning involves various aspects such as land use, urban construction, and ecological protection, which directly determine the land use patterns and the ecosystem structure, making its impact on carbon storage more rapid and significant, while the effects of climate change are more gradual. This conclusion is supported by previous studies showing that human activities impact carbon storage more than natural disturbances [52,56]. It is worth noting that under the high-emission scenario (RCP 8.5), the independent contribution of territorial spatial planning to carbon sequestration is 6.5 times that of climate change. RCP 8.5 is a scenario characterized by high population growth, high energy demand, and low technological progress, without any climate mitigation goals, leading to a significant increase in greenhouse gas concentrations over time [57]. The simulation results of land use show that under RCP 8.5, the built-up land growth rate in Xiamen is the highest among all climate scenarios, while the types of land with high carbon storage, such as ecological land and agricultural land, are significantly reduced. Furthermore, under high-emission scenarios, the negative impact of climate change on ecosystems intensifies [58,59], resulting, for example, in an increase in extreme weather events, which poses a threat to the stability and carbon absorption capacity of natural carbon sinks (such as forests, grasslands, and wetlands). In this context, effective spatial planning can mitigate these impacts by controlling land use conversion and promoting ecosystem restoration.
5.4. Constructing Territorial Spatial Planning for Climate Change Adaptation
Our study shows that under RCP 4.5, the roles of climate change and territorial spatial planning on carbon storage are comparable. This finding highlights the significant impact of climate change on carbon storage. Therefore, although the impact of spatial planning on carbon storage is more pronounced, the long-term effects of climate change should not be overlooked. Variations persist among countries in their perceptions and practices concerning the effectiveness and feasibility of utilizing spatial planning for climate change adaptation [60]. In Western countries, incorporating climate change adaptation goals into spatial planning has become a mainstream policy, while in many developing countries, the potential of territorial spatial planning in combating climate change has not been fully realized. At present, although thousands of cities have implemented climate action plans, these plans mostly focus on energy efficiency and less on land use planning strategies [61]. Our findings suggest that territorial spatial planning has significant potential in adapting to climate change, especially under high-emission scenarios, where its role will become more prominent. This finding provides strong evidence for the adaptation of spatial planning to climate change.
The NCCAS 2035 and a notice on climate-resilient urban construction issued by China in September 2023 both advocate for the integration of climate change adaptation with territorial spatial planning to explore urban spatial layouts that are resilient to climate change [62]. However, as a relatively new planning system, territorial spatial planning urgently needs decision-support tools to effectively address climate change within this framework, especially regarding how to achieve carbon storage and climate adaptation at the urban level. The analytical framework constructed in this study evaluates the role of territorial spatial planning in addressing climate change from the perspective of ecosystem carbon storage services, which can offer guidance to planners for considering climate change when formulating and adjusting future plans.
5.5. Limitations
Despite the valuable insights provided by this study, several limitations should be noted. Firstly, although the FLUS model is widely recognized for its outstanding performance and scientific validity, its parameters are often based on the researchers’ experience or literature reviews, which may introduce biases during the simulation process. Secondly, this research only considered two widely used and representative climate change scenarios (RCP 4.5 and RCP 8.5), which may not fully reflect possible future climate change. Expanding to a broader range of climate scenarios, particularly those from the latest CMIP6, will provide a more comprehensive assessment of changes in carbon storage under the dual impacts of climate change and socioeconomic development [4]. Thirdly, the InVEST model inputs carbon density data for various land types at assumed fixed levels, neglecting variations in carbon density caused by differences in vegetation type, growth, and soil type [5]. If conditions permit, combining field sampling data and using more detailed classification estimates will help improve the accuracy of carbon storage assessments.
6. Conclusions
This study aims to comprehensively evaluate the potential impacts of territorial spatial planning and future climate change on ecosystem carbon storage and sequestration. By integrating future climate scenarios with territorial spatial planning, 15 scenarios were designed, and the FLUS model, InVEST model, and VPA method were applied to assess the carbon storage in Xiamen under these scenarios for 2035.
The results indicate that the implementation of territorial spatial planning positively impacts carbon storage, with urban development boundaries proving to be the most effective. Climate change also significantly affects carbon storage, with RCP 4.5 being more conducive to maintaining higher levels of carbon storage compared to RCP 8.5. After the implementation of territorial spatial planning, carbon storage increases under all climate change scenarios. Under the combined effect of both factors, the influence of territorial spatial planning on carbon sequestration consistently exceeds that of climate change. The effect of territorial spatial planning is more prominent in high-emission scenarios (RCP 8.5). As emission scenarios shift from low to high, the independent impact of climate change on carbon sequestration decreases significantly. Effective territorial spatial planning can enhance carbon sequestration capacity and offset the negative effects of climate change.
Our findings support the mainstream policy trend of integrating climate change adaptation goals into spatial planning. With the advancement of carbon neutrality goals, territorial spatial planning can become an important tool for addressing climate change and achieving carbon objectives. The analytical framework developed in this study, which evaluates the role of territorial spatial planning in climate change adaptation from the perspective of ecosystem carbon storage services, is expected to serve as an effective decision-making tool, providing guidance for planners to consider climate change when formulating and adjusting future plans. In conclusion, this study provides new insights into the impact of future climate change and territorial spatial planning on carbon storage and sequestration, highlighting the importance of territorial spatial planning in enhancing ecosystem carbon storage and responding to climate change.
The impacts of climate change may exhibit different trends in the short and long term. Therefore, future research requires evidence on a longer timescale to fully understand the unique and intersecting contributions of climate change and territorial spatial planning on carbon sequestration. Considering regional differences in climate change and its impacts and risks, future research could extend to other regions within China that exhibit significant climatic differences from Xiamen, such as mountainous and high-latitude areas, to enrich the findings. This would help explore the impacts of territorial spatial planning and climate change on carbon storage and sequestration in cities across different regions and climate types.
Supplementary Materials
The following supporting information can be downloaded at: https://www.mdpi.com/article/10.3390/rs17020273/s1.
Author Contributions
Conceptualization, W.Z.; methodology, W.Z.; software, W.Z.; validation, W.Z.; formal analysis, W.Z.; investigation, W.Z.; resources, W.Z. and L.T.; data curation, W.Z.; writing—original draft preparation, W.Z.; writing—review and editing, W.Z. and T.L.; visualization, W.Z.; supervision, L.T. and T.L.; project administration, L.T.; funding acquisition, L.T. All authors have read and agreed to the published version of the manuscript.
Funding
This research was funded by the National Key R&D Program of China, grant number 2022YFF1301300.
Data Availability Statement
The data supporting the findings of this study are available from the corresponding author upon reasonable request. The data presented in this study are available on request from the corresponding author due to two primary reasons. Confidentiality of data: A portion of the data included in our study contains confidential information. The disclosure of such information could potentially compromise the privacy and interests of third parties. Ongoing research: Furthermore, these data sets are integral to our ongoing research programs. At this stage, they are not suitable for public dissemination, as doing so might adversely affect the integrity and originality of our ongoing work.
Acknowledgments
The authors sincerely thank the editor and the reviewers for their constructive suggestions and comments.
Conflicts of Interest
The authors declare no conflicts of interest.
References
- Hoegh-Guldberg, O.; Jacob, D.; Taylor, M.; Guillén Bolaños, T.; Bindi, M.; Brown, S.; Camilloni, I.A.; Diedhiou, A.; Djalante, R.; Ebi, K.; et al. The human imperative of stabilizing global climate change at 1.5 °C. Science 2019, 365, eaaw6974. [Google Scholar] [CrossRef]
- Kumar, A.; Nagar, S.; Anand, S. 1—Climate change and existential threats. In Global Climate Change; Singh, S., Singh, P., Rangabhashiyam, S., Srivastava, K.K., Eds.; Elsevier: Amsterdam, The Netherlands, 2021; pp. 1–31. [Google Scholar]
- Wang, Z. Estimating of terrestrial carbon storage and its internal carbon exchange under equilibrium state. Ecol. Model. 2019, 401, 94–110. [Google Scholar] [CrossRef]
- Wang, Z.; Li, X.; Mao, Y.; Li, L.; Wang, X.; Lin, Q. Dynamic simulation of land use change and assessment of carbon storage based on climate change scenarios at the city level: A case study of Bortala, China. Ecol. Indic. 2022, 134, 108499. [Google Scholar] [CrossRef]
- Zhu, L.; Song, R.; Sun, S.; Li, Y.; Hu, K. Land use/land cover change and its impact on ecosystem carbon storage in coastal areas of China from 1980 to 2050. Ecol. Indic. 2022, 142, 109178. [Google Scholar] [CrossRef]
- Li, G.; Cheng, G.; Liu, G.; Chen, C.; He, Y. Simulating the Land Use and Carbon Storage for Nature-Based Solutions (NbS) under Multi-Scenarios in the Three Gorges Reservoir Area: Integration of Remote Sensing Data and the RF–Markov–CA–InVEST Model. Remote Sensing 2023, 15, 5100. [Google Scholar] [CrossRef]
- Guo, M.; Ma, S.; Wang, L.-J.; Lin, C. Impacts of future climate change and different management scenarios on water-related ecosystem services: A case study in the Jianghuai ecological economic Zone, China. Ecol. Indic. 2021, 127, 107732. [Google Scholar] [CrossRef]
- Zaehle, S.; Bondeau, A.; Carter, T.R.; Cramer, W.; Erhard, M.; Prentice, I.C.; Reginster, I.; Rounsevell, M.D.A.; Sitch, S.; Smith, B.; et al. Projected Changes in Terrestrial Carbon Storage in Europe under Climate and Land-use Change, 1990–2100. Ecosystems 2007, 10, 380–401. [Google Scholar] [CrossRef]
- Arneth, A.; Sitch, S.; Pongratz, J.; Stocker, B.D.; Ciais, P.; Poulter, B.; Bayer, A.D.; Bondeau, A.; Calle, L.; Chini, L.P.; et al. Historical carbon dioxide emissions caused by land-use changes are possibly larger than assumed. Nat. Geosci. 2017, 10, 79–84. [Google Scholar] [CrossRef]
- Eggleston, H.S.; Buendia, L.; Miwa, K.; Ngara, T.; Tanabe, K. 2006 IPCC Guidelines for National Greenhouse Gas Inventories; Institute for Global Environmental Strategies: Hayama, Japan, 2006. [Google Scholar]
- Yue, C.; Ciais, P.; Houghton, R.A.; Nassikas, A.A. Contribution of land use to the interannual variability of the land carbon cycle. Nat. Commun. 2020, 11, 3170. [Google Scholar] [CrossRef] [PubMed]
- Seto, K.C.; Dhakal, S.; Bigio, A.; Blanco, H.; Carlo Delgado, G.; Dewar, D.; Huang, L.; Inaba, A.; Kansal, A.; Lwasa, S. Human Settlements, Infrastructure, and Spatial Planning; Cambridge University Press: Cambridge, UK; New York, NY, USA, 2014. [Google Scholar]
- Intergovernmental Panel on Climate Change (Ed.) Climate Change 2022—Mitigation of Climate Change: Working Group III Contribution to the Sixth Assessment Report of the Intergovernmental Panel on Climate Change; Cambridge University Press: Cambridge, UK, 2023. [Google Scholar]
- Zhang, H.; Peng, J.; Wang, R.; Zhang, J.; Yu, D. Spatial planning factors that influence CO2 emissions: A systematic literature review. Urban Clim. 2021, 36, 100809. [Google Scholar] [CrossRef]
- Yanbo, Q.; Shilei, W.; Yaya, T.; Guanghui, J.; Tao, Z.; Liang, M. Territorial spatial planning for regional high-quality development—An analytical framework for the identification, mediation and transmission of potential land utilization conflicts in the Yellow River Delta. Land Use Policy 2023, 125, 106462. [Google Scholar] [CrossRef]
- Xiang, S.; Wang, Y.; Deng, H.; Yang, C.; Wang, Z.; Gao, M. Response and multi-scenario prediction of carbon storage to land use/cover change in the main urban area of Chongqing, China. Ecol. Indic. 2022, 142, 109205. [Google Scholar] [CrossRef]
- Parmesan, C.; Yohe, G. A globally coherent fingerprint of climate change impacts across natural systems. Nature 2003, 421, 37–42. [Google Scholar] [CrossRef] [PubMed]
- Ballantyne, A.á.; Alden, C.á.; Miller, J.á.; Tans, P.á.; White, J.J.N. Increase in observed net carbon dioxide uptake by land and oceans during the past 50 years. Nature 2012, 488, 70–72. [Google Scholar] [CrossRef] [PubMed]
- Jiao, K.; Liu, Z.; Wang, W.; Yu, K.; McGrath, M.J.; Xu, W. Carbon cycle responses to climate change across China’s terrestrial ecosystem: Sensitivity and driving process. Sci. Total Environ. 2024, 915, 170053. [Google Scholar] [CrossRef] [PubMed]
- Kirkland, M.; Atkinson, P.W.; Pearce-Higgins, J.W.; de Jong, M.C.; Dowling, T.P.F.; Grummo, D.; Critchley, M.; Ashton-Butt, A. Landscape fires disproportionally affect high conservation value temperate peatlands, meadows, and deciduous forests, but only under low moisture conditions. Sci. Total Environ. 2023, 884, 163849. [Google Scholar] [CrossRef] [PubMed]
- Chen, B.; Wu, S.; Jin, Y.; Song, Y.; Wu, C.; Venevsky, S.; Xu, B.; Webster, C.; Gong, P. Wildfire risk for global wildland–urban interface areas. Nat. Sustain. 2024, 7, 474–484. [Google Scholar] [CrossRef]
- Tang, X.; Zhao, X.; Bai, Y.; Tang, Z.; Wang, W.; Zhao, Y.; Wan, H.; Xie, Z.; Shi, X.; Wu, B.; et al. Carbon pools in China’s terrestrial ecosystems: New estimates based on an intensive field survey. Proc. Natl. Acad. Sci. USA 2018, 115, 4021–4026. [Google Scholar] [CrossRef]
- Zhou, J.; Zhao, Y.; Huang, P.; Zhao, X.; Feng, W.; Li, Q.; Xue, D.; Dou, J.; Shi, W.; Wei, W.; et al. Impacts of ecological restoration projects on the ecosystem carbon storage of inland river basin in arid area, China. Ecol. Indic. 2020, 118, 106803. [Google Scholar] [CrossRef]
- Song, J.; Wan, S.; Piao, S.; Knapp, A.K.; Classen, A.T.; Vicca, S.; Ciais, P.; Hovenden, M.J.; Leuzinger, S.; Beier, C.; et al. A meta-analysis of 1,119 manipulative experiments on terrestrial carbon-cycling responses to global change. Nat. Ecol. Evol. 2019, 3, 1309–1320. [Google Scholar] [CrossRef] [PubMed]
- Pechanec, V.; Purkyt, J.; Benc, A.; Nwaogu, C.; Štěrbová, L.; Cudlín, P. Modelling of the carbon sequestration and its prediction under climate change. Ecol. Inform. 2018, 47, 50–54. [Google Scholar] [CrossRef]
- Wang, W.; Yu, H.; Tong, X.; Jia, Q. Estimating terrestrial ecosystem carbon storage change in the YREB caused by land-use change under SSP-RCPs scenarios. J. Clean. Prod. 2024, 469, 143205. [Google Scholar] [CrossRef]
- Guo, W.; Teng, Y.; Li, J.; Yan, Y.; Zhao, C.; Li, Y.; Li, X. A new assessment framework to forecast land use and carbon storage under different SSP-RCP scenarios in China. Sci. Total Environ. 2024, 912, 169088. [Google Scholar] [CrossRef]
- Yang, X.; Chen, R.; Zheng, X.Q. Simulating land use change by integrating ANN-CA model and landscape pattern indices. Geomat. Nat. Hazards Risk 2016, 7, 918–932. [Google Scholar] [CrossRef]
- He, Y.; Ma, J.; Zhang, C.; Yang, H. Spatio-Temporal Evolution and Prediction of Carbon Storage in Guilin Based on FLUS and InVEST Models. Remote Sens. 2023, 15, 1445. [Google Scholar] [CrossRef]
- Babbar, D.; Areendran, G.; Sahana, M.; Sarma, K.; Raj, K.; Sivadas, A. Assessment and prediction of carbon sequestration using Markov chain and InVEST model in Sariska Tiger Reserve, India. J. Clean. Prod. 2021, 278, 123333. [Google Scholar] [CrossRef]
- Yan, X.; Li, M.; Guo, D.; Yang, D.; Zhan, D. Spatial-temporal evolution and prediction of carbon storage in Mohe city by linking the logistic-CA-Markov and InVEST models. Front. Earth Sci. 2024, 12, 1383237. [Google Scholar] [CrossRef]
- Verburg, P.H.; Soepboer, W.; Veldkamp, A.; Limpiada, R.; Espaldon, V.; Mastura, S.S.A. Modeling the Spatial Dynamics of Regional Land Use: The CLUE-S Model. Environ. Manag. 2002, 30, 391–405. [Google Scholar] [CrossRef]
- Li, J.; Gong, J.; Guldmann, J.-M.; Li, S.; Zhu, J. Carbon Dynamics in the Northeastern Qinghai–Tibetan Plateau from 1990 to 2030 Using Landsat Land Use/Cover Change Data. Remote Sens. 2020, 12, 528. [Google Scholar] [CrossRef]
- Liu, X.; Liang, X.; Li, X.; Xu, X.; Ou, J.; Chen, Y.; Li, S.; Wang, S.; Pei, F. A future land use simulation model (FLUS) for simulating multiple land use scenarios by coupling human and natural effects. Landsc. Urban Plan. 2017, 168, 94–116. [Google Scholar] [CrossRef]
- Ministry of Ecology and Environment of the People’s Republic of China. Notice on the Issuance of the National Climate Change Adaptation Strategy 2035. Available online: https://www.gov.cn/zhengce/zhengceku/2022-06/14/content_5695555.htm (accessed on 9 November 2024).
- Lin, J.; Jacoby, J.; Cui, S.; Liu, Y.; Lin, T. A model for developing a target integrated low carbon city indicator system: The case of Xiamen, China. Ecol. Indic. 2014, 40, 51–57. [Google Scholar] [CrossRef]
- Qian, L.; Huang, Z.; Yang, S.; Cao, W. Study on spatial conservation priority pattern of key protected plants in Xiamen. Acta Ecol. Sin. 2021, 41, 4367–4378. (In Chinese) [Google Scholar]
- Xiamen Municipal People’s Government. Population. Available online: https://www.xm.gov.cn/zjxm/qhhrk/202212/t20221215_2709954.htm (accessed on 27 December 2024).
- Lin, J.; He, P.; Yang, L.; He, X.; Lu, S.; Liu, D. Predicting future urban waterlogging-prone areas by coupling the maximum entropy and FLUS model. Sustain. Cities Soc. 2022, 80, 103812. [Google Scholar] [CrossRef]
- Chen, Z.; Huang, M.; Zhu, D.; Altan, O. Integrating Remote Sensing and a Markov-FLUS Model to Simulate Future Land Use Changes in Hokkaido, Japan. Remote Sens. 2021, 13, 2621. [Google Scholar] [CrossRef]
- Liu, P.; Hu, Y.; Jia, W. Land use optimization research based on FLUS model and ecosystem services–setting Jinan City as an example. Urban Clim. 2021, 40, 100984. [Google Scholar] [CrossRef]
- Moss, R.H.; Edmonds, J.A.; Hibbard, K.A.; Manning, M.R.; Rose, S.K.; van Vuuren, D.P.; Carter, T.R.; Emori, S.; Kainuma, M.; Kram, T.; et al. The next generation of scenarios for climate change research and assessment. Nature 2010, 463, 747–756. [Google Scholar] [CrossRef] [PubMed]
- Xinhua Agency. Opinions of the CPC Central Committee and the State Council on the Establishment and Supervision of Territorial Space Planning System. 2019. Available online: http://www.xinhuanet.com/politics/2019-05/23/c_1124534206.htm (accessed on 20 November 2024).
- Adelisardou, F.; Zhao, W.; Chow, R.; Mederly, P.; Minkina, T.; Schou, J.S. Spatiotemporal change detection of carbon storage and sequestration in an arid ecosystem by integrating Google Earth Engine and InVEST (the Jiroft plain, Iran). Int. J. Environ. Sci. Technol. 2022, 19, 5929–5944. [Google Scholar] [CrossRef]
- Sharp, R.; Chaplin-Kramer, R.; Wood, S.; Guerry, A.; Tallis, H.; Ricketts, T.; Nelson, E.; Ennaanay, D.; Wolny, S.; Olwero, N.; et al. InVEST User’s Guide; The Natural Capital Project: Stanford, CA, USA, 2018. [Google Scholar]
- Hua, Y.; Yan, D.; Liu, X. Assessing synergies and trade-offs between ecosystem services in highly urbanized area under different scenarios of future land use change. Environ. Sustain. Indic. 2024, 22, 100350. [Google Scholar] [CrossRef]
- Truchy, A.; Göthe, E.; Angeler, D.G.; Ecke, F.; Sponseller, R.A.; Bundschuh, M.; Johnson, R.K.; McKie, B.G. Partitioning spatial, environmental, and community drivers of ecosystem functioning. Landsc. Ecol. 2019, 34, 2371–2384. [Google Scholar] [CrossRef]
- Oksanen, J.; Blanchet, F.G.; Kindt, R.; Legendre, P.; Minchin, P.; O’Hara, R.B.; Simpson, G.; Solymos, P.; Stevens, M.H.H.; Wagner, H. Vegan: Community Ecology Package. R Package Vegan, Vers. 2.2-1. 2015. Available online: https://cran.r-project.org/package=vegan (accessed on 20 July 2024).
- Huang, Y.; Lin, T.; Zhang, G.; Zhu, Y.; Zeng, Z.; Ye, H. Spatial patterns of urban green space and its actual utilization status in China based on big data analysis. Big Earth Data 2021, 5, 391–409. [Google Scholar] [CrossRef]
- Shao, G.; Tang, L.; Zhang, H. Introducing Image Classification Efficacies. IEEE Access 2021, 9, 134809–134816. [Google Scholar] [CrossRef]
- Zhang, B.; Li, L.; Xia, Q.Y.; Dong, J. Land use change and its impact on carbon storage under the constraints of “three lines”: A case study of Wuhan City circle. Acta Ecol. Sin. 2022, 42, 2265–2280. [Google Scholar] [CrossRef]
- Huang, W.; Guo, L.; Zhang, T.; Chen, T.; Chen, L.; Li, L.; Zhang, X. The Impact of Territorial Spatial Transformation on Carbon Storage: A Case Study of Suqian, East China. Land 2024, 13, 348. [Google Scholar] [CrossRef]
- Lu, F.; Hu, H.; Sun, W.; Zhu, J.; Liu, G.; Zhou, W.; Zhang, Q.; Shi, P.; Liu, X.; Wu, X.; et al. Effects of national ecological restoration projects on carbon sequestration in China from 2001 to 2010. Proc. Natl. Acad. Sci. USA 2018, 115, 4039–4044. [Google Scholar] [CrossRef] [PubMed]
- Liu, W.; Yan, Y.; Wang, D.; Ma, W. Integrate carbon dynamics models for assessing the impact of land use intervention on carbon sequestration ecosystem service. Ecol. Indic. 2018, 91, 268–277. [Google Scholar] [CrossRef]
- Gu, F.; Zhang, Y.; Huang, M.; Yu, L.; Yan, H.; Guo, R.; Zhang, L.; Zhong, X.; Yan, C. Climate-induced increase in terrestrial carbon storage in the Yangtze River Economic Belt. Ecol. Evol. 2021, 11, 7211–7225. [Google Scholar] [CrossRef] [PubMed]
- Ito, A.; Nishina, K.; Noda, H.M. Impacts of future climate change on the carbon budget of northern high-latitude terrestrial ecosystems: An analysis using ISI-MIP data. Polar Sci. 2016, 10, 346–355. [Google Scholar] [CrossRef]
- Riahi, K.; Rao, S.; Krey, V.; Cho, C.; Chirkov, V.; Fischer, G.; Kindermann, G.; Nakicenovic, N.; Rafaj, P. RCP 8.5—A scenario of comparatively high greenhouse gas emissions. Clim. Chang. 2011, 109, 33. [Google Scholar] [CrossRef]
- Sarofim, M.C.; Smith, C.J.; Malek, P.; McDuffie, E.E.; Hartin, C.A.; Lay, C.R.; McGrath, S. High radiative forcing climate scenario relevance analyzed with a ten-million-member ensemble. Nat. Commun. 2024, 15, 8185. [Google Scholar] [CrossRef] [PubMed]
- Yin, Y.; Ma, D.; Wu, S. Climate change risk to forests in China associated with warming. Sci. Rep. 2018, 8, 493. [Google Scholar] [CrossRef] [PubMed]
- Zhou, K.; Wang, S.; Feng, Y. How Is Spatial Planning Adapting to Climate Change? A Textual Analysis Based on the Territorial and Spatial Plans of 368 Chinese Cities. Land 2023, 12, 1993. [Google Scholar] [CrossRef]
- Intergovernmental Panel on Climate Change [IPCC]. Summary for Policymakers. In Climate Change 2014: Mitigation of Climate Change; Edenhofer, O., Madruga, R.P., Sokona, Y., Farahani, E., Kadner, S., Seyboth, K., Adler, A., Baum, I., Brunner, S., Eickemeier, P., et al., Eds.; Contribution of Working Group III to the Fifth Assessment Report of the Intergovernmental Panel on Climate Change; Cambridge University Press: Cambridge, UK, 2014. [Google Scholar]
- Ministry of Ecology and Environment of the People’s Republic of China. Notice on Deepening Pilot Work on the Construction of Climate-Resilient Cities. Available online: https://www.mee.gov.cn/xxgk2018/xxgk/xxgk05/202308/t20230825_1039387.html (accessed on 23 November 2024).
Disclaimer/Publisher’s Note: The statements, opinions and data contained in all publications are solely those of the individual author(s) and contributor(s) and not of MDPI and/or the editor(s). MDPI and/or the editor(s) disclaim responsibility for any injury to people or property resulting from any ideas, methods, instructions or products referred to in the content. |
© 2025 by the authors. Licensee MDPI, Basel, Switzerland. This article is an open access article distributed under the terms and conditions of the Creative Commons Attribution (CC BY) license (https://creativecommons.org/licenses/by/4.0/).








