The Impact of Spatial Dynamic Error on the Assimilation of Soil Moisture Retrieval Products
Abstract
1. Introduction
2. Data
2.1. SMAP
2.2. FY3D
2.3. Observational Data Preprocessing
2.4. Evaluating Data
3. Methods
3.1. CoLM
3.2. Assimilation Method
3.3. Perturbation Scale
4. Experimental Designs in Assimilation and Results
4.1. Comparison of CoLM and In Situ Soil Moisture
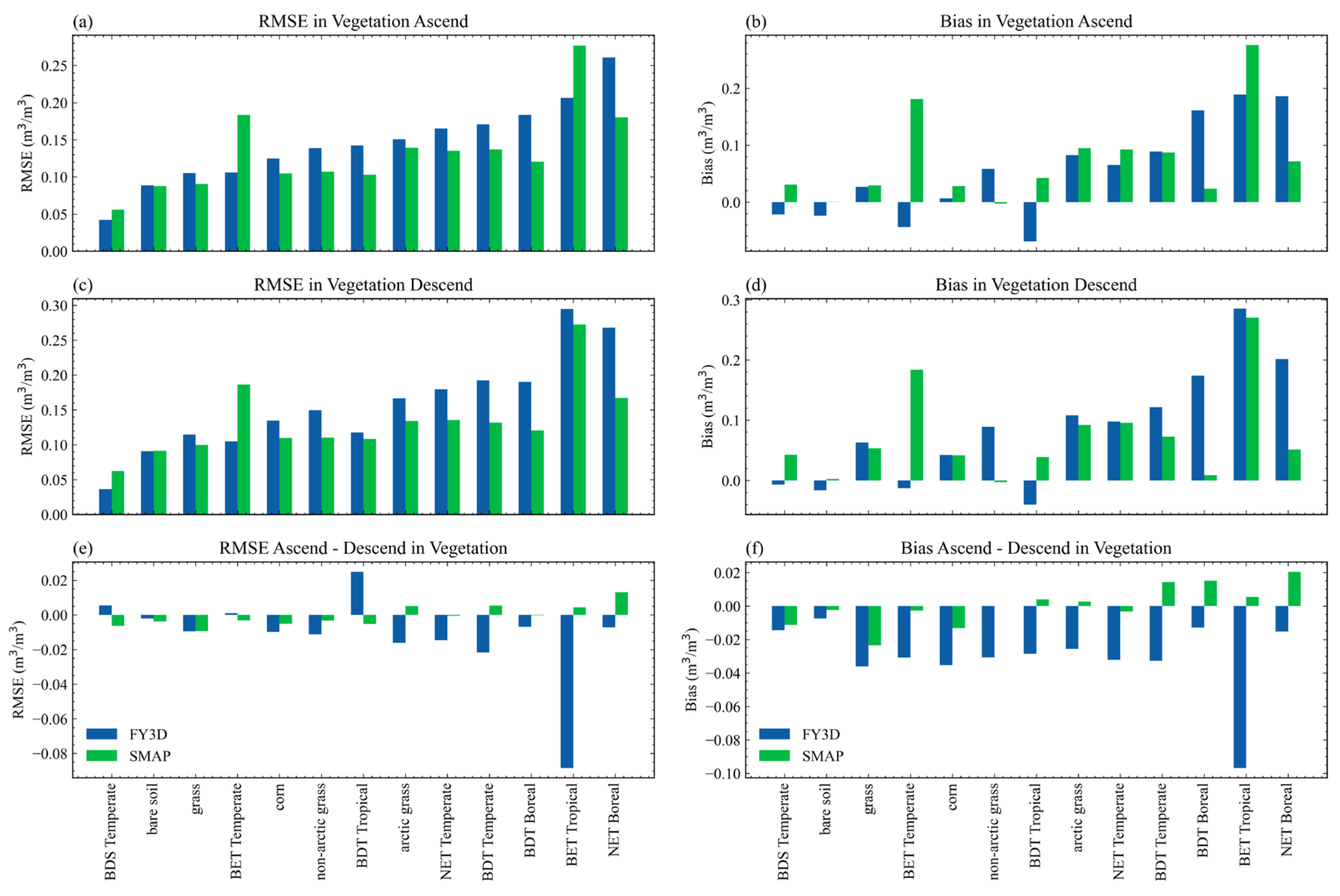
4.2. Comparison of Satellite Products and in Situ Soil Moisture
4.3. Design of Assimilation Experiments
4.4. Results
5. Discussion
6. Conclusions
Author Contributions
Funding
Data Availability Statement
Acknowledgments
Conflicts of Interest
References
- Zhang, Y.; Liang, S.; Ma, H.; He, T.; Wang, Q.; Li, B.; Xu, J.; Zhang, G.; Liu, X.; Xiong, C. Generation of Global 1 Km Daily Soil Moisture Product from 2000 to 2020 Using Ensemble Learning. Earth Syst. Sci. Data 2002, 15, 2055–2079. [Google Scholar] [CrossRef]
- Seneviratne, S.I.; Corti, T.; Davin, E.L.; Hirschi, M.; Jaeger, E.B.; Lehner, I.; Orlowsky, B.; Teuling, A.J. Investigating Soil Moisture–Climate Interactions in a Changing Climate: A Review. Earth-Sci. Rev. 2010, 99, 125–161. [Google Scholar] [CrossRef]
- Feng, Y.; Wang, H.; Liu, W.; Sun, F. Global Soil Moisture–Climate Interactions during the Peak Growing Season. J. Clim. 2023, 36, 1187–1196. [Google Scholar] [CrossRef]
- Gruber, A.; Crow, W.T.; Dorigo, W.A. Assimilation of Spatially Sparse In Situ Soil Moisture Networks into a Continuous Model Domain. Water Resour. Res. 2018, 54, 1353–1367. [Google Scholar] [CrossRef]
- Loizu, J.; Massari, C.; Álvarez-Mozos, J.; Tarpanelli, A.; Brocca, L.; Casalí, J. On the Assimilation Set-up of ASCAT Soil Moisture Data for Improving Streamflow Catchment Simulation. Adv. Water Resour. 2018, 111, 86–104. [Google Scholar] [CrossRef]
- Liu, H.-J.; Zhang, Y.-Z.; Zhang, X.-L.; Zhang, B.; Song, K.-S.; Wang, Z.-M.; Tang, N. Quantitative Analysis of Moisture Effect on Black Soil Reflectance. Pedosphere 2009, 19, 532–540. [Google Scholar] [CrossRef]
- Kerr, Y.H.; Waldteufel, P.; Richaume, P.; Wigneron, J.P.; Ferrazzoli, P.; Mahmoodi, A.; Al Bitar, A.; Cabot, F.; Gruhier, C.; Juglea, S.E.; et al. The SMOS Soil Moisture Retrieval Algorithm. IEEE Trans. Geosci. Remote Sens. 2012, 50, 1384–1403. [Google Scholar] [CrossRef]
- Crow, W.T.; Chen, F.; Reichle, R.H.; Liu, Q.L. Band Microwave Remote Sensing and Land Data Assimilation Improve the Representation of Prestorm Soil Moisture Conditions for Hydrologic Forecasting. Geophys. Res. Lett. 2017, 44, 5495–5503. [Google Scholar] [CrossRef]
- Njoku, E.G.; Jackson, T.J.; Lakshmi, V.; Chan, T.K.; Nghiem, S.V. Soil Moisture Retrieval from AMSR-E. IEEE Trans. Geosci. Remote Sens. 2003, 41, 215–229. [Google Scholar] [CrossRef]
- Kang, C.S.; Zhao, T.; Shi, J.; Cosh, M.H.; Chen, Y.; Starks, P.J.; Collins, C.H.; Wu, S.; Sun, R.; Zheng, J. Global Soil Moisture Retrievals From the Chinese FY-3D Microwave Radiation Imager. IEEE Trans. Geosci. Remote Sens. 2021, 59, 4018–4032. [Google Scholar] [CrossRef]
- Njoku, E.; Stacey, J.; Barath, F. The Seasat Scanning Multichannel Microwave Radiometer (SMMR): Instrument Description and Performance. IEEE J. Ocean. Eng. 1980, 5, 100–115. [Google Scholar] [CrossRef]
- Parinussa, R.M.; Holmes, T.R.H.; Wanders, N.; Dorigo, W.A.; de Jeu, R.A.M. A Preliminary Study toward Consistent Soil Moisture from AMSR2. J. Hydrometeorol. 2015, 16, 932–947. [Google Scholar] [CrossRef]
- Zribi, M. Surface Soil Moisture Estimation from the Synergistic Use of the (Multi-Incidence and Multi-Resolution) Active Microwave ERS Wind Scatterometer and SAR Data. Remote Sens. Environ. 2003, 86, 30–41. [Google Scholar] [CrossRef]
- Bartalis, Z.; Wagner, W.; Naeimi, V.; Hasenauer, S.; Scipal, K.; Bonekamp, H.; Figa, J.; Anderson, C. Initial Soil Moisture Retrievals from the METOP-A Advanced Scatterometer (ASCAT). Geophys. Res. Lett. 2007, 34, L20401. [Google Scholar] [CrossRef]
- Paloscia, S.; Pettinato, S.; Santi, E.; Notarnicola, C.; Pasolli, L.; Reppucci, A. Soil Moisture Mapping Using Sentinel-1 Images: Algorithm and Preliminary Validation. Remote Sens. Environ. 2013, 134, 234–248. [Google Scholar] [CrossRef]
- Entekhabi, D.; Njoku, E.G.; O’Neill, P.E.; Kellogg, K.H.; Crow, W.T.; Edelstein, W.N.; Entin, J.K.; Goodman, S.D.; Jackson, T.J.; Johnson, J.; et al. The Soil Moisture Active Passive (SMAP) Mission. Proc. IEEE 2010, 98, 704–716. [Google Scholar] [CrossRef]
- Entekhabi, D.; Nakamura, H.; Njoku, E.G. Solving the Inverse Problem for Soil Moisture and Temperature Profiles by Sequential Assimilation of Multifrequency Remotely Sensed Observations. IEEE Trans. Geosci. Remote Sens. 1994, 32, 438–448. [Google Scholar] [CrossRef]
- Gettelman, A.; Geer, A.J.; Forbes, R.M.; Carmichael, G.R.; Feingold, G.; Posselt, D.J.; Stephens, G.L.; van den Heever, S.C.; Varble, A.C.; Zuidema, P. The Future of Earth System Prediction: Advances in Model-Data Fusion. Sci. Adv. 2022, 8, eabn3488. [Google Scholar] [CrossRef]
- Khaki, M.; Hoteit, I.; Kuhn, M.; Forootan, E.; Awange, J. Assessing Data Assimilation Frameworks for Using Multi-Mission Satellite Products in a Hydrological Context. Sci. Total Environ. 2019, 647, 1031–1043. [Google Scholar] [CrossRef] [PubMed]
- Petropoulos, G.; McCalmont, J.; Seo, E.; Lee, M.-I.; Reichle, R.H. Assimilation of SMAP and ASCAT Soil Moisture Retrievals into the JULES Land Surface Model Using the Local Ensemble Transform Kalman Filter. Remote Sens. Environ. 2021, 253, 112222. [Google Scholar] [CrossRef]
- Yin, J.; Hain, C.R.; Zhan, X.; Dong, J.; Ek, M. Improvements in the Forecasts of Near-Surface Variables in the Global Forecast System (GFS) via Assimilating ASCAT Soil Moisture Retrievals. J. Hydrol. 2019, 578, 124018. [Google Scholar] [CrossRef]
- Getirana, A.; Rodell, M.; Kumar, S.; Beaudoing, H.K.; Arsenault, K.; Zaitchik, B.; Save, H.; Bettadpur, S. GRACE Improves Seasonal Groundwater Forecast Initialization over the United States. J. Hydrometeorol. 2020, 21, 59–71. [Google Scholar] [CrossRef] [PubMed]
- Drusch, M.; Scipal, K.; de Rosnay, P.; Balsamo, G.; Andersson, E.; Bougeault, P.; Viterbo, P. Towards a Kalman Filter Based Soil Moisture Analysis System for the Operational ECMWF Integrated Forecast System. Geophys. Res. Lett. 2009, 36, L10401. [Google Scholar] [CrossRef]
- Sun, S.; Shi, C.; Pan, Y.; Bai, L.; Xu, B.; Zhang, T.; Han, S.; Jiang, L. Applicability Assessment of the 1998–2018 CLDAS Multi-Source Precipitation Fusion Dataset over China. J. Meteorol. Res. 2020, 34, 879–892. [Google Scholar] [CrossRef]
- Evensen, G. Sequential Data Assimilation with a Nonlinear Quasi-geostrophic Model Using Monte Carlo Methods to Forecast Error Statistics. J. Geophys. Res. 1994, 99, 10143–10162. [Google Scholar] [CrossRef]
- Courtier, P.; Thépaut, J.-N.; Hollingsworth, A. A Strategy for Operational Implementation of 4D-Var, Using an Incremental Approach. Q. J. R. Meteorol. Soc. 1994, 120, 1367–1387. [Google Scholar]
- Caya, A.; Sun, J.; Snyder, C. A Comparison between the 4DVAR and the Ensemble Kalman Filter Techniques for Radar Data Assimilation. Mon. Weather. Rev. 2005, 133, 3081–3094. [Google Scholar] [CrossRef]
- Stammer, D.; Balmaseda, M.; Heimbach, P.; Köhl, A.; Weaver, A. Ocean Data Assimilation in Support of Climate Applications: Status and Perspectives. Annu. Rev. Mar. Sci. 2016, 8, 491–518. [Google Scholar] [CrossRef] [PubMed]
- Orrell, D.; Smith, L.; Barkmeijer, J.; Palmer, T.N. Model Error in Weather Forecasting. Nonlin. Process. Geophys. 2001, 8, 357–371. [Google Scholar] [CrossRef]
- Yang, K.; Zhu, L.; Chen, Y.; Zhao, L.; Qin, J.; Lu, H.; Tang, W.; Han, M.; Ding, B.; Fang, N. Land Surface Model Calibration through Microwave Data Assimilation for Improving Soil Moisture Simulations. J. Hydrol. 2016, 533, 266–276. [Google Scholar] [CrossRef]
- Luo, P.; Song, Y.; Huang, X.; Ma, H.; Liu, J.; Yao, Y.; Meng, L. Identifying Determinants of Spatio-Temporal Disparities in Soil Moisture of the Northern Hemisphere Using a Geographically Optimal Zones-Based Heterogeneity Model. ISPRS J. Photogramm. Remote Sens. 2022, 185, 111–128. [Google Scholar] [CrossRef]
- Muñoz-Sabater, J.; de Rosnay, P.; Albergel, C.; Isaksen, L. Sensitivity of Soil Moisture Analyses to Contrasting Background and Observation Error Scenarios. Water 2018, 10, 890. [Google Scholar] [CrossRef]
- Zhou, J.; Crow, W.T.; Wu, Z.; Dong, J.; He, H.; Feng, H. A Triple Collocation-Based 2D Soil Moisture Merging Methodology Considering Spatial and Temporal Non-Stationary Errors. Remote Sens. Environ. 2021, 263, 112509. [Google Scholar] [CrossRef]
- Pierdicca, N.; Fascetti, F.; Pulvirenti, L.; Crapolicchio, R.; Muñoz-Sabater, J. Analysis of ASCAT, SMOS, in-Situ and Land Model Soil Moisture as a Regionalized Variable over Europe and North Africa. Remote Sens. Environ. 2015, 170, 280–289. [Google Scholar] [CrossRef]
- Vural, J.; Schneider, S.; Bauer-Marschallinger, B.; Haslinger, K. Assimilation of the SCATSAR-SWI with SURFEX: Impact of Local Observation Errors in Austria. Mon. Weather. Rev. 2021, 149, 773–791. [Google Scholar] [CrossRef]
- Qin, J.; Tian, J.; Yang, K.; Lu, H.; Li, X.; Yao, L.; Shi, J. Bias Correction of Satellite Soil Moisture through Data Assimilation. J. Hydrol. 2022, 610, 127947. [Google Scholar] [CrossRef]
- Hess, R. Assimilation of Screen-Level Observations by Variational Soil Moisture Analysis. Meteorol. Atmos. Phys. 2001, 77, 145–154. [Google Scholar] [CrossRef]
- Whitaker, J.S.; Hamill, T.M. Ensemble Data Assimilation without Perturbed Observations. Mon. Wea. Rev. 2002, 130, 1913–1924. [Google Scholar] [CrossRef]
- Courtier, P.; Andersson, E.; Heckley, W.; Vasiljevic, D.; Hamrud, M.; Hollingsworth, A.; Rabier, F.; Fisher, M.; Pailleux, J. The ECMWF Implementation of Three-dimensional Variational Assimilation (3D-Var). I: Formulation. Q. J. R. Meteorol. Soc. 1998, 124, 1783–1807. [Google Scholar] [CrossRef]
- Draper, C.S.; Mahfouf, J.-F.; Walker, J.P. An EKF Assimilation of AMSR-E Soil Moisture into the ISBA Land Surface Scheme. J. Geophys. Res. 2009, 114, D20104. [Google Scholar] [CrossRef]
- Mahfouf, J.-F. Assimilation of Satellite-Derived Soil Moisture from ASCAT in a Limited-Area NWP Model. Q. J. R. Meteorol. Soc. 2010, 136, 784–798. [Google Scholar] [CrossRef]
- Draper, C.; Mahfouf, J.-F.; Calvet, J.-C.; Martin, E.; Wagner, W. Assimilation of ASCAT Near-Surface Soil Moisture into the SIM Hydrological Model over France. Hydrol. Earth Syst. Sci. 2011, 15, 3829–3841. [Google Scholar] [CrossRef]
- Parrens, M.; Mahfouf, J.-F.; Barbu, A.L.; Calvet, J.-C. Assimilation of Surface Soil Moisture into a Multilayer Soil Model: Design and Evaluation at Local Scale. Hydrol. Earth Syst. Sci. 2014, 18, 673–689. [Google Scholar] [CrossRef]
- Muñoz-Sabater, J. Incorporation of Passive Microwave Brightness Temperatures in the ECMWF Soil Moisture Analysis. Remote Sens. 2015, 7, 5758–5784. [Google Scholar] [CrossRef]
- Albergel, C.; Munier, S.; Leroux, D.J.; Dewaele, H.; Fairbairn, D.; Barbu, A.L.; Gelati, E.; Dorigo, W.; Faroux, S.; Meurey, C.; et al. Sequential assimilation of satellite-derived vegetation and soil moisture products using SURFEX_v8.0: LDAS-Monde assessment over the Euro-Mediterranean area. Geosci. Model Dev. 2017, 10, 3889–3912. [Google Scholar] [CrossRef]
- Albergel, C.; Zheng, Y.; Bonan, B.; Dutra, E.; Rodríguez-Fernández, N.; Munier, S.; Draper, C.; de Rosnay, P.; Muñoz-Sabater, J.; Balsamo, G.; et al. Data Assimilation for Continuous Global Assessment of Severe Conditions over Terrestrial Surfaces. Hydrol. Earth Syst. Sci. 2020, 24, 4291–4316. [Google Scholar] [CrossRef]
- Cui, C.; Xu, J.; Zeng, J.; Chen, K.-S.; Bai, X.; Lu, H.; Chen, Q.; Zhao, T.; Zhang, P.; Lu, Q.; et al. Latest Progress of the Chinese Meteorological Satellite Program and Core Data Processing Technologies. Adv. Atmos. Sci. 2019, 36, 1027–1045. [Google Scholar] [CrossRef]
- Rodell, M.; Houser, P.R.; Jambor, U.; Gottschalck, J.; Mitchell, K.; Meng, C.-J.; Arsenault, K.; Cosgrove, B.; Radakovich, J.; Bosilovich, M.; et al. The Global Land Data Assimilation System. Bull. Amer. Meteor. Soc. 2004, 85, 381–394. [Google Scholar] [CrossRef]
- Dorigo, W.A.; Xaver, A.; Vreugdenhil, M.; Gruber, A.; Hegyiová, A.; Sanchis-Dufau, A.D.; Zamojski, D.; Cordes, C.; Wagner, W.; Drusch, M. Global Automated Quality Control of In Situ Soil Moisture Data from the International Soil Moisture Network. Vadose Zone J. 2013, 12, vzj2012.0097. [Google Scholar] [CrossRef]
- Dai, Y.; Zeng, X.; Dickinson, R.E.; Baker, I.; Bonan, G.B.; Bosilovich, M.G.; Denning, A.S.; Dirmeyer, P.A.; Houser, P.R.; Niu, G.; et al. The Common Land Model. Bull. Am. Meteorol. Soc. 2003, 84, 1013–1024. [Google Scholar] [CrossRef]
- Li, X.; Chen, G.; Liu, X.; Liang, X.; Wang, S.; Chen, Y.; Pei, F.; Xu, X. A New Global Land-Use and Land-Cover Change Product at a 1-Km Resolution for 2010 to 2100 Based on Human–Environment Interactions. Ann. Am. Assoc. Geogr. 2017, 107, 1040–1059. [Google Scholar] [CrossRef]
- Moradkhani, H.; Sorooshian, S.; Gupta, H.V.; Houser, P.R. Dual State–Parameter Estimation of Hydrological Models Using Ensemble Kalman Filter. Adv. Water Resour. 2005, 28, 135–147. [Google Scholar] [CrossRef]
- Fu, X.; Yu, Z.; Ding, Y.; Qin, Y.; Luo, L.; Zhao, C.; Lü, H.; Jiang, X.; Ju, Q.; Yang, C. Unscented Weighted Ensemble Kalman Filter for Soil Moisture Assimilation. J. Hydrol. 2020, 580, 124352. [Google Scholar] [CrossRef]
- Yin, J.; Zhan, X.; Barlage, M.; Kumar, S.; Fox, A.; Albergel, C.; Hain, C.R.; Ferraro, R.R.; Liu, J. Assimilation of Blended Satellite Soil Moisture Data Products to Further Improve Noah-MP Model Skills. J. Hydrol. 2023, 621, 129596. [Google Scholar] [CrossRef]
- Li, X.; Liu, F.; Ma, C.; Hou, J.; Zheng, D.; Ma, H.; Bai, Y.; Han, X.; Vereecken, H.; Yang, K.; et al. Land Data Assimilation: Harmonizing Theory and Data in Land Surface Process Studies. Rev. Geophys. 2024, 62, e2022RG000801. [Google Scholar] [CrossRef]
- Khaki, M.; Ait-El-Fquih, B.; Hoteit, I.; Forootan, E.; Awange, J.; Kuhn, M. Unsupervised Ensemble Kalman Filtering with an Uncertain Constraint for Land Hydrological Data Assimilation. J. Hydrol. 2018, 564, 175–190. [Google Scholar] [CrossRef]
- Chen, W.; Huang, C.; Yang, Z.-L.; Zhang, Y. Retrieving Accurate Soil Moisture over the Tibetan Plateau Using Multi-Source Remote Sensing Data Assimilation with Simultaneous State and Parameter Estimations. J. Hydrometeorol. 2021, 22, 2751–2766. [Google Scholar] [CrossRef]
- Balsamo, G.; Bouyssel, F.; Noilhan, J. A Simplified Bi-Dimensional Variational Analysis of Soil Moisture from Screen-Level Observations in a Mesoscale Numerical Weather-Prediction Model. Q. J. R. Meteorol. Soc. 2004, 130, 895–915. [Google Scholar] [CrossRef]
- Giard, D.; Bazile, E. Implementation of a New Assimilation Scheme for Soil and Surface Variables in a Global NWP Model. Mon. Wea. Rev. 2000, 128, 997–1015. [Google Scholar] [CrossRef]
- Fairbairn, D.; Barbu, A.L.; Mahfouf, J.-F.; Calvet, J.-C.; Gelati, E. Comparing the Ensemble and Extended Kalman Filters for In Situ Soil Moisture Assimilation with Contrasting Conditions. Hydrol. Earth Syst. Sci. 2015, 19, 4811–4830. [Google Scholar] [CrossRef]
- Balsamo, G.; Mahfouf, J.-F.; Bélair, S.; Deblonde, G. A Land Data Assimilation System for Soil Moisture and Temperature: An Information Content Study. J. Hydrometeorol. 2007, 8, 1225–1242. [Google Scholar] [CrossRef]
- Cui, C.; Xu, J.; Zeng, J.; Chen, K.-S.; Bai, X.; Lu, H.; Chen, Q.; Zhao, T. Soil Moisture Mapping from Satellites: An Intercomparison of SMAP, SMOS, FY3B, AMSR2, and ESA CCI over Two Dense Network Regions at Different Spatial Scales. Remote Sens. 2018, 10, 33. [Google Scholar] [CrossRef]
- Yao, P.; Lu, H.; Zhao, T.; Wu, S.; Peng, Z.; Cosh, M.H.; Jia, L.; Yang, K.; Zhang, P.; Shi, J. A Global Daily Soil Moisture Dataset Derived from Chinese FengYun Microwave Radiation Imager (MWRI)(2010–2019). Sci. Data 2023, 10, 133. [Google Scholar] [CrossRef] [PubMed]
- Rojas-Munoz, O.; Calvet, J.-C.; Bonan, B.; Baghdadi, N.; Meurey, C.; Napoly, A.; Wigneron, J.-P.; Zribi, M. Soil Moisture Monitoring at Kilometer Scale: Assimilation of Sentinel-1 Products in ISBA. Remote Sens. 2023, 15, 4329. [Google Scholar] [CrossRef]
- McColl, K.A.; Vogelzang, J.; Konings, A.G.; Entekhabi, D.; Piles, M.; Stoffelen, A. Extended Triple Collocation: Estimating Errors and Correlation Coefficients with Respect to an Unknown Target. Geophys. Res. Lett. 2014, 41, 6229–6236. [Google Scholar] [CrossRef]














| Abbreviation | Type | Abbreviation | Type |
|---|---|---|---|
| BDS Temperate | Broadleaf deciduous temperate shrub | BDT Temperate | Broadleaf deciduous temperate tree |
| BDT Boreal | Broadleaf deciduous boreal tree | NDT Boreal | Needleleaf deciduous boreal tree |
| BET Tropical | Broadleaf evergreen tropical tree | NET Temperate | Needleleaf evergreen temperate tree |
| BDT Tropical | Broadleaf deciduous tropical tree | BDS Boreal | Broadleaf deciduous boreal shrub |
| BET Temperate | Broadleaf evergreen temperate tree | NET Boreal | Needleleaf evergreen boreal tree |
| Experiment | Background Error | Observational Error | Observational Data |
|---|---|---|---|
| CTL | |||
| singleOB | Static | Static | FY3D, SMAP |
| changeOB | Dynamic | Dynamic | FY3D, SMAP |
Disclaimer/Publisher’s Note: The statements, opinions and data contained in all publications are solely those of the individual author(s) and contributor(s) and not of MDPI and/or the editor(s). MDPI and/or the editor(s) disclaim responsibility for any injury to people or property resulting from any ideas, methods, instructions or products referred to in the content. |
© 2025 by the authors. Licensee MDPI, Basel, Switzerland. This article is an open access article distributed under the terms and conditions of the Creative Commons Attribution (CC BY) license (https://creativecommons.org/licenses/by/4.0/).
Share and Cite
Bai, X.; Qin, Z.; Li, J.; Zhang, S.; Wang, L. The Impact of Spatial Dynamic Error on the Assimilation of Soil Moisture Retrieval Products. Remote Sens. 2025, 17, 239. https://doi.org/10.3390/rs17020239
Bai X, Qin Z, Li J, Zhang S, Wang L. The Impact of Spatial Dynamic Error on the Assimilation of Soil Moisture Retrieval Products. Remote Sensing. 2025; 17(2):239. https://doi.org/10.3390/rs17020239
Chicago/Turabian StyleBai, Xuesong, Zhengkun Qin, Juan Li, Shupeng Zhang, and Lili Wang. 2025. "The Impact of Spatial Dynamic Error on the Assimilation of Soil Moisture Retrieval Products" Remote Sensing 17, no. 2: 239. https://doi.org/10.3390/rs17020239
APA StyleBai, X., Qin, Z., Li, J., Zhang, S., & Wang, L. (2025). The Impact of Spatial Dynamic Error on the Assimilation of Soil Moisture Retrieval Products. Remote Sensing, 17(2), 239. https://doi.org/10.3390/rs17020239

