Dynamic Monitoring of Ecological Environmental Quality in Arid and Semi-Arid Regions: Disparities Among Central Asian Countries and Analysis of Key Driving Factors
Abstract
1. Introduction
2. Materials and Methods
2.1. Study Area
2.2. Methodology
2.3. Data and Pre-Processing
2.4. ASAEI Indicator Construction
2.5. CatBoost–SHAP Regression Prediction Model
2.6. Coefficient of Variation
2.7. Sen’s Slope Estimator and the Mann–Kendall Statistical Test
2.8. Spatial Autocorrelation Analysis
2.9. Hurst Exponent
3. Results
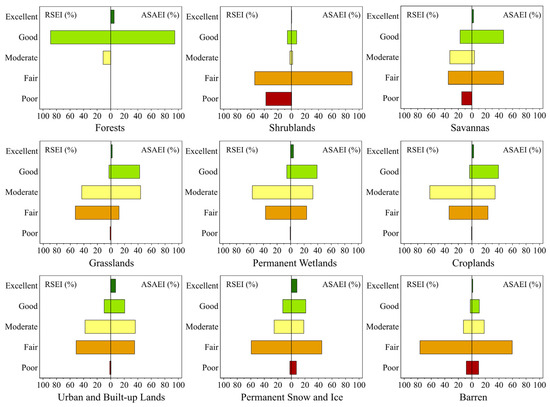
3.1. Validation and Comparative Analysis of the ASAEI Results
3.2. Spatial Distribution of the ASAEI
3.3. Volatility of the ASAEI
3.4. Spatiotemporal Evolution of the ASAEI
3.5. Spatial Autocorrelation Analysis of the ASAEI
3.6. Driving Factors of the ASAEI
4. Discussion
4.1. Examination of Future Changes and Their Causes in the ASAEI
4.2. Reliability, Applicability, and Scientific Interpretation of the ASAEI Model
4.3. Analysis of the Driving Factors of the ASAEI
4.4. Limitations and Prospects
5. Conclusions
Author Contributions
Funding
Data Availability Statement
Conflicts of Interest
Abbreviations
| EEQ | Ecological environmental quality |
| ASAEI | Arid and Semi-Arid Environmental Index |
| MSAVI | Modified Soil-Adjusted Vegetation Index |
| WET | Wetness component |
| LST | Land surface temperature |
| SI | Composite salinity index |
| TGSI | Topsoil Grain Size Index |
| RSEI | Remote Sensing Ecological Index |
| NDVI | Normalized Difference Vegetation Index |
| NDBSI | Normalized Difference Bare Soil Index |
| GEE | Google Earth Engine |
| PCA | Principal Component Analysis |
| ASARs | arid and semi-arid regions |
| CA | Central Asia |
| CNXJ | Xinjiang, China |
| DEM | Digital elevation model |
| IGBP | International Geosphere-Biosphere Programme |
| SM | 1 km surface soil moisture |
| AET | Actual evapotranspiration |
| PDSI | Palmer drought severity index |
| PET | Reference evapotranspiration |
| PRE | Precipitation accumulation |
| SRAD | Downward surface shortwave radiation |
| TMMN | Minimum temperature |
| TMMX | Maximum temperature |
| VPD | Vapor pressure deficit |
| VS | Wind speed |
| GDP | Gross Domestic Product |
| EC | Electricity consumption |
| PD | Population density |
| RMSE | Root Mean Square Error |
| MAE | Mean Absolute Error |
| R2 | Coefficient of Determination |
| CV | Coefficient of Variation |
| MK | Mann–Kendall |
| ESR | Extremely significant rise |
| SR | Significant rise |
| SSR | Slightly significant rise |
| NSR | No significant rise |
| RS | Relatively stable |
| NSD | No significant decline |
| SSD | Slightly significant decline |
| SD | Significant decline |
| ESD | Extremely significant decline |
References
- Zhou, Y.; Li, Y.; Li, W.; Li, F.; Xin, Q. Ecological responses to climate change and human activities in the arid and semi-arid regions of Xinjiang in China. Remote Sens. 2022, 14, 3911. [Google Scholar] [CrossRef]
- Hu, Z.; Chen, X.; Chen, D.; Li, J.; Wang, S.; Zhou, Q.; Yin, G.; Guo, M. “Dry gets drier, wet gets wetter”: A case study over the arid regions of central Asia. Int. J. Climatol. 2019, 39, 1072–1091. [Google Scholar] [CrossRef]
- Morante-Carballo, F.; Montalván-Burbano, N.; Quiñonez-Barzola, X.; Jaya-Montalvo, M.; Carrión-Mero, P. What do we know about water scarcity in semi-arid zones? A global analysis and research trends. Water 2022, 14, 2685. [Google Scholar] [CrossRef]
- Safaei, M.; Bashari, H.; Mosaddeghi, M.R.; Jafari, R. Assessing the impacts of land use and land cover changes on soil functions using landscape function analysis and soil quality indicators in semi-arid natural ecosystems. Catena 2019, 177, 260–271. [Google Scholar] [CrossRef]
- Hu, X.; Xu, H. A new remote sensing index for assessing the spatial heterogeneity in urban ecological quality: A case from Fuzhou City, China. Ecol. Indic. 2018, 89, 11–21. [Google Scholar] [CrossRef]
- Zhang, X.; Jia, W.; He, J. Spatial and temporal variation of ecological quality in northeastern China and analysis of influencing factors. J. Clean. Prod. 2023, 423, 138650. [Google Scholar] [CrossRef]
- Xu, H. A remote sensing urban ecological index and its application. Acta Ecol. Sin. 2013, 33, 7853–7862. [Google Scholar]
- Xu, H. A remote sensing index for assessment of regional ecological changes. China Environ. Sci. 2013, 33, 889–897. [Google Scholar]
- Zhang, W.; Du, P.; Guo, S.; Lin, C.; Zheng, H.; Fu, P. Enhanced remote sensing ecological index and ecological environment evaluation in arid area. J. Remote Sens. 2022, 27, 299–317. [Google Scholar] [CrossRef]
- Feng, Z.; She, L.; Wang, X.; Yang, L.; Yang, C. Spatial and Temporal Variations of Ecological Environment Quality in Ningxia Based on Improved Remote Sensing Ecological Index. Ecol. Environ. 2024, 33, 131. [Google Scholar]
- Cheng, L.-L.; Wang, Z.-W.; Tian, S.-F.; Liu, Y.-T.; Sun, M.-Y.; Yang, Y.-M. Evaluation of eco-environmental quality in Mentougou District of Beijing based on improved remote sensing ecological index. Chin. J. Ecol. 2021, 40, 1177. [Google Scholar]
- Zheng, Z.; Wu, Z.; Chen, Y.; Guo, C.; Marinello, F. Instability of remote sensing based ecological index (RSEI) and its improvement for time series analysis. Sci. Total Environ. 2022, 814, 152595. [Google Scholar] [CrossRef] [PubMed]
- Xu, S.; Wang, J.; Altansukh, O.; Chuluun, T. Spatial-temporal pattern of desertification in the Selenge River Basin of Mongolia from 1990 to 2020. Front. Environ. Sci. 2023, 11, 1125583. [Google Scholar] [CrossRef]
- Robinove, C.J. Space platform albedo measurements as indicator,,,s of change in arid lands. Adv. Space Res. 1983, 2, 31–35. [Google Scholar] [CrossRef]
- Lamchin, M.; Lee, W.-K.; Jeon, S.W.; Lee, J.-Y.; Song, C.; Piao, D.; Lim, C.H.; Khaulenbek, A.; Navaandorj, I. Correlation between desertification and environmental variables using remote sensing techniques in Hogno Khaan, Mongolia. Sustainability 2017, 9, 581. [Google Scholar] [CrossRef]
- Ahmad, F. Spectral vegetation indices performance evaluated for Cholistan Desert. J. Geogr. Reg. Plan. 2012, 5, 165–172. [Google Scholar]
- Wang, F.; Ding, J.; Wei, Y.; Zhou, Q.; Yang, X.; Wang, Q. Sensitivity analysis of soil salinity and vegetation indices to detect soil salinity variation by using Landsat series images: Applications in different oases in Xinjiang, China. Acta Ecol. Sin. 2017, 37, 5007–5022. [Google Scholar]
- Zhang, X.; Fan, H.; Sun, L.; Liu, W.; Wang, C.; Wu, Z.; Lv, T. Identifying regional eco-environment quality and its influencing factors: A case study of an ecological civilization pilot zone in China. J. Clean. Prod. 2024, 435, 140308. [Google Scholar] [CrossRef]
- Jia, Q.; Yu, W.; Zhou, L.; Liang, C. Atmospheric and surface-condition effects on CO2 exchange in the Liaohe Delta Wetland, China. Water 2017, 9, 806. [Google Scholar] [CrossRef]
- Hu, X.; Hou, Y.; Li, D.; Hua, T.; Marchi, M.; Urrego, J.P.F.; Huang, B.; Zhao, W.; Cherubini, F. Changes in multiple ecosystem services and their influencing factors in Nordic countries. Ecol. Indic. 2023, 146, 109847. [Google Scholar] [CrossRef]
- Han, J.; Wang, J.; Zhao, Y.; Wang, Q.; Zhang, B.; Li, H.; Zhai, J. Spatio-temporal variation of potential evapotranspiration and climatic drivers in the Jing-Jin-Ji region, North China. Agric. For. Meteorol. 2018, 256, 75–83. [Google Scholar] [CrossRef]
- Fu, Q.; Li, B.; Hou, Y.; Bi, X.; Zhang, X. Effects of land use and climate change on ecosystem services in Central Asia’s arid regions: A case study in Altay Prefecture, China. Sci. Total Environ. 2017, 607, 633–646. [Google Scholar] [CrossRef]
- Zheng, J.; Hu, M.; Wang, C.; Wang, S.; Han, B.; Wang, H. Spatial patterns of residents’ daily activity space and its influencing factors based on the catboost model: A case study of nanjing, china. Front. Arch. Res. 2022, 11, 1193–1204. [Google Scholar] [CrossRef]
- Zhou, M.; Li, Y. Spatial distribution and source identification of potentially toxic elements in Yellow River Delta soils, China: An interpretable machine-learning approach. Sci. Total Environ. 2024, 912, 169092. [Google Scholar] [CrossRef]
- Li, X.; Zhang, L.; Guo, H.; Fu, W.; Lu, L.; Qiu, Y.; Wang, X.; Jia, G. Space recognition of eco-environment global change response of arid and semi-arid region of the Silk Road Economic Belt. Bull. Chin. Acad. Sci. 2016, 31, 559–566. [Google Scholar]
- Zhao, S.; Ding, J.; Wang, J.; Ge, X.; Han, L.; Wang, R.; Qin, S. Central Asia’s desertification challenge: Recent trends and drives explored with Google Earth Engine. J. Clean. Prod. 2024, 460, 142595. [Google Scholar] [CrossRef]
- Yao, J.; Hu, W.; Chen, Y.; Huo, W.; Zhao, Y.; Mao, W.; Yang, Q. Hydro-climatic changes and their impacts on vegetation in Xinjiang, Central Asia. Sci. Total Environ. 2019, 660, 724–732. [Google Scholar] [CrossRef]
- Yao, J.-Q.; Chen, J.; Zhang, T.-W.; Dilinuer, T.; Mao, W.-Y. Stationarity in the variability of arid precipitation: A case study of arid Central Asia. Adv. Clim. Change Res. 2021, 12, 172–186. [Google Scholar] [CrossRef]
- Li, J.; Chen, H.; Zhang, C. Impacts of climate change on key soil ecosystem services and interactions in Central Asia. Ecol. Indic. 2020, 116, 106490. [Google Scholar] [CrossRef]
- Xiong, X.; Angal, A.; Chang, T.; Chiang, K.; Lei, N.; Li, Y.; Sun, J.; Twedt, K.; Wu, A. MODIS and VIIRS calibration and characterization in support of producing long-term high-quality data products. Remote Sens. 2020, 12, 3167. [Google Scholar] [CrossRef]
- Xu, S.; Wang, J.; Altansukh, O.; Chuluun, T. Spatiotemporal evolution and driving mechanisms of desertification on the Mongolian Plateau. Sci. Total Environ. 2024, 941, 173566. [Google Scholar] [CrossRef] [PubMed]
- Shao, W.; Li, L.; Yan, M.; Meng, Z.; Zhang, L.; Zhang, Q.; Chen, Y. Thirty years’ spatio-temporal evolution of desertification degrees and driving factors in Turpan–Hami Basin, Xinjiang, China. Ecol. Indic. 2024, 166, 112484. [Google Scholar] [CrossRef]
- Rivera-Marin, D.; Dash, J.; Ogutu, B. The use of remote sensing for desertification studies: A review. J. Arid. Environ. 2022, 206, 104829. [Google Scholar] [CrossRef]
- Belhadj, A.; Boulghobra, N.; Allache, F.D. Assessment. Multi-temporal Landsat imagery and MSAVI index for monitoring rangeland degradation in arid ecosystem, case study of Biskra (southeast Algeria). Environ. Monit. Assess. 2023, 195, 656. [Google Scholar] [CrossRef] [PubMed]
- Qi, J.; Chehbouni, A.; Huete, A.R.; Kerr, Y.H.; Sorooshian, S. A modified soil adjusted vegetation index. Remote Sens. Environ. 1994, 48, 119–126. [Google Scholar] [CrossRef]
- Wen, Y.; Guo, B.; Zang, W.; Ge, D.; Luo, W.; Zhao, H. Natural Hazards; Risk. Desertification detection model in Naiman Banner based on the albedo-modified soil adjusted vegetation index feature space using the Landsat8 OLI images. Geomat. Nat. Hazards Risk 2020, 11, 544–558. [Google Scholar] [CrossRef]
- Zhu, D.; Chen, T.; Zhen, N.; Niu, R. Monitoring the effects of open-pit mining on the eco-environment using a moving window-based remote sensing ecological index. Environ. Sci. Pollut. Res. 2020, 27, 15716–15728. [Google Scholar] [CrossRef]
- Prokhorenkova, L.; Gusev, G.; Vorobev, A.; Dorogush, A.V.; Gulin, A. CatBoost: Unbiased boosting with categorical features. In Proceedings of the 32nd International Conference on Neural Information Processing Systems, Montréal, QC, Canada, 3–8 December 2018; Volume 31. [Google Scholar]
- Bentéjac, C.; Csörgő, A.; Martínez-Muñoz, G. A comparative analysis of gradient boosting algorithms. Artif. Intell. Rev. 2021, 54, 1937–1967. [Google Scholar] [CrossRef]
- Sun, B.; Cui, W.; Liu, G.; Zhou, B.; Zhao, W. A hybrid strategy of AutoML and SHAP for automated and explainable concrete strength prediction. Case Stud. Constr. Mater. 2023, 19, e02405. [Google Scholar] [CrossRef]
- Sen, P.K. Estimates of the regression coefficient based on Kendall’s tau. J. Am. Stat. Assoc. 1968, 63, 1379–1389. [Google Scholar] [CrossRef]
- Partal, T.; Kahya, E. Trend analysis in Turkish precipitation data. Hydrol. Process. 2006, 20, 2011–2026. [Google Scholar] [CrossRef]
- Moran, P.A. Notes on continuous stochastic phenomena. Biometrika 1950, 37, 17–23. [Google Scholar] [CrossRef] [PubMed]
- Wang, Y.; Lv, W.; Wang, M.; Chen, X.; Li, Y. Application of improved Moran’s I in the evaluation of urban spatial development. Spat. Stat. 2023, 54, 100736. [Google Scholar] [CrossRef]
- Hurst, H.E. Long-term storage capacity of reservoirs. Trans. Am. Soc. Civ. Eng. 1951, 116, 770–799. [Google Scholar] [CrossRef]
- Amitrano, C.; Arena, C.; Rouphael, Y.; De Pascale, S.; De Micco, V. Vapour pressure deficit: The hidden driver behind plant morphofunctional traits in controlled environments. Ann. Appl. Biol. 2019, 175, 313–325. [Google Scholar] [CrossRef]
- Li, M.; Yao, J.; Zheng, J. Spatio-temporal changes in atmospheric aridity over the arid region of Central Asia during 1979–2019. Ecol. Indic. 2024, 169, 112814. [Google Scholar] [CrossRef]
- Li, J.; Liu, L.; Zheng, J.; Yu, X.; Tian, R.; Han, W.; Guan, J. Increasing influence of minimum temperature on grassland spring phenology in arid Central Asia. Agric. For. Meteorol. 2024, 355, 110122. [Google Scholar] [CrossRef]
- Liu, L.; Zheng, J.; Guan, J.; Li, C.; Ma, L.; Liu, Y.; Han, W. Strong positive direct impact of soil moisture on the growth of central asian grasslands. Sci. Total Environ. 2024, 954, 176663. [Google Scholar] [CrossRef]
- Zhang, W.; Jin, H.; Shao, H.; Li, A.; Li, S.; Fan, W. Temporal and spatial variations in the leaf area index and its response to topography in the Three-River Source Region, China from 2000 to 2017. ISPRS Int. J. Geo-Inf. 2021, 10, 33. [Google Scholar] [CrossRef]
- Conrad, C.; Usman, M.; Morper-Busch, L.; Schönbrodt-Stitt, S. Remote sensing-based assessments of land use, soil and vegetation status, crop production and water use in irrigation systems of the Aral Sea Basin. A review. Water Secur. 2020, 11, 100078. [Google Scholar] [CrossRef]
- Wang, T.; Wang, Z.; Guo, L.; Zhang, J.; Li, W.; He, H.; Zong, R.; Wang, D.; Jia, Z.; Wen, Y. Experiences and challenges of agricultural development in an artificial oasis: A review. Agric. Syst. 2021, 193, 103220. [Google Scholar] [CrossRef]
- Amuti, T.; Luo, G. Analysis of land cover change and its driving forces in a desert oasis landscape of Xinjiang, northwest China. Solid Earth 2014, 5, 1071–1085. [Google Scholar] [CrossRef]
- Gupta, A. Shrinking of Aral Sea: An environmental disaster in Central Asia. Int. J. Humanit. Arts Soc. Sci. 2020, 6, 162. [Google Scholar] [CrossRef]
- Koriche, S.A.; Singarayer, J.S.; Cloke, H.L. The fate of the Caspian Sea under projected climate change and water extraction during the 21st century. Environ. Res. Lett. 2021, 16, 094024. [Google Scholar] [CrossRef]
- Xia, Q.-Q.; Chen, Y.-N.; Zhang, X.-Q.; Ding, J.-L. Spatiotemporal changes in ecological quality and its associated driving factors in Central Asia. Remote Sens. 2022, 14, 3500. [Google Scholar] [CrossRef]
- Ding, Q.; Wang, L.; Fu, M. Spatial characteristics and trade-offs of ecosystem services in arid central asia. Ecol. Indic. 2024, 161, 111935. [Google Scholar] [CrossRef]
- Wei, W.; Zou, S.; Duan, W.; Chen, Y.; Li, S.; Zhou, Y. Spatiotemporal variability in extreme precipitation and associated large-scale climate mechanisms in Central Asia from 1950 to 2019. J. Hydrol. 2023, 620, 129417. [Google Scholar] [CrossRef]
- Wang, X.; Du, X.; Qin, Y.; Xu, F. Spatiotemporal differentiation and mechanisms of ecological quality in Central Asia. Ecol. Indic. 2024, 158, 111514. [Google Scholar] [CrossRef]
- Yushanjiang, A.; Zhang, F.; Tan, M.L. Spatial-temporal characteristics of ecosystem health in Central Asia. Int. J. Appl. Earth Obs. Geoinf. 2021, 105, 102635. [Google Scholar] [CrossRef]
- Baldocchi, D.; Ma, S.; Verfaillie, J. On the inter-and intra-annual variability of ecosystem evapotranspiration and water use efficiency of an oak savanna and annual grassland subjected to booms and busts in rainfall. Glob. Change Biol. 2021, 27, 359–375. [Google Scholar] [CrossRef]
- Li, H.; Tang, Y.; Meng, F.; Zhou, W.; Liang, W.; Yang, J.; Wang, Y.; Wang, H.; Guo, J.; Yang, Q.; et al. Transcriptome and metabolite reveal the inhibition induced by combined heat and drought stress on the viability of silk and pollen in summer maize. Ind. Crop. Prod. 2025, 226, 120720. [Google Scholar] [CrossRef]
- Lian, X.; Piao, S.; Chen, A.; Huntingford, C.; Fu, B.; Li, L.Z.; Huang, J.; Sheffield, J.; Berg, A.M.; Keenan, T.F.; et al. Multifaceted characteristics of dryland aridity changes in a warming world. Nat. Rev. Earth Environ. 2021, 2, 232–250. [Google Scholar] [CrossRef]
- Hao, Y.; Mao, J.; Bachmann, C.M.; Hoffman, F.M.; Koren, G.; Chen, H.; Tian, H.; Liu, J.; Tao, J.; Tang, J.; et al. Soil moisture controls over carbon sequestration and greenhouse gas emissions: A review. npj Clim. Atmos. Sci. 2025, 8, 16. [Google Scholar] [CrossRef]
















| Type | Data | Spatial Resolution | Temporal Resolution | Time | Data Sources/References |
|---|---|---|---|---|---|
| Climatic zoning | Köppen | 1000 m | 2020 | Köppen-Geiger http://www.gloh2o.org/ (accessed on 7 December 2024) | |
| Remote Sensing-Based Ecological Index | MSAVI, WET, SI, Albedo, TGSI | 500 m | 8 days | 2000–2022 | MOD09A1, MOD11A2, GEE https://earthengine.google.com (accessed on 5 December 2024) |
| LST | 1000 m | ||||
| Natural Driving Factors | Digital elevation model (DEM) | 1 arcsecond | Yearly | 2000 | SRTMGL1 v003 https://lpdaac.usgs.gov/products/srtmgl1v003/ (accessed on 18 December 2024) |
| International Geosphere-Biosphere Programme (IGBP) classification | 500 m | Yearly | 2001–2020 | MCD12Q1, GEE https://lpdaac.usgs.gov/products/mcd12q1v061/ (accessed on 22 July 2024) | |
| 1 km surface soil moisture (SM) | 1000 m | Yearly | 2000–2020 | GLASS SM https://zenodo.org (accessed on 13 May 2024) | |
| Actual evapotranspiration (AET), Palmer drought severity index (PDSI), Reference evapotranspiration (PET), Precipitation accumulation (PRE), Downward surface shortwave radiation (SRAD), Minimum temperature (TMMN), Maximum temperature (TMMX), Vapor pressure deficit (VPD), Wind-speed (VS) | 4638.3 m | Monthly (mm, W m−2, °C, m s−1) | 2000–2020 | TerraClimate https://www.climatologylab.org/ (accessed on 21 May 2024) | |
| Anthropogenic Driving Factors | Gross domestic product (GDP), Electricity consumption (EC) | 1000 m | Yearly | 2001–2019 | GDP and EC https://figshare.com (accessed on 7 August 2024) |
| Population density (PD) | 92.77 m | Yearly | 2001–2020 | WorldPop https://www.worldpop.org/ (accessed on 7 August 2024) |
| Indicator Name | MSAVI | WET | LST | SI | Albedo | TGSI |
|---|---|---|---|---|---|---|
| PCA weight | 0.2484 | 0.1497 | 0.1617 | 0.1162 | 0.1020 | 0.2220 |
| Volatility Degree | |
|---|---|
| < 0.05 | Low volatility |
| 0.05 ≤ < 0.10 | Relatively low volatility |
| 0.10 ≤ < 0.15 | Medium volatility |
| 0.15 ≤ < 0.20 | Relatively high volatility |
| 0.20 ≤ | High volatility |
| Sen | Z | Trend Type | Trend Features |
|---|---|---|---|
| 2.58 < Z | 4 | Extremely significant rise (ESR) | |
| Sen > 0 | 1.96 < Z ≤ 2.58 | 3 | Significant rise (SR) |
| 1.65 < Z ≤ 1.96 | 2 | Slightly significant rise (SSR) | |
| Z ≤ 1.65 | 1 | No significant rise (NSR) | |
| Sen = 0 | Z | 0 | Relatively stable (RS) |
| Z ≤ 1.65 | −1 | No significant decline (NSD) | |
| 1.65 < Z ≤ 1.96 | −2 | Slightly significant decline (SSD) | |
| Sen < 0 | 1.96 < Z ≤ 2.58 | −3 | Significant decline (SD) |
| 2.58 < Z | −4 | Extremely significant decline (ESD) |
| Volatility | Low | Relatively Low | Medium | Relatively High | High | Total | |
|---|---|---|---|---|---|---|---|
| Area | |||||||
| CA | 33.34% | 56.41% | 8.57% | 1.09% | 0.59% | 100.00% | |
| CNXJ | 28.16% | 65.99% | 4.70% | 0.70% | 0.45% | 100.00% | |
| Kazakhstan | 46.03% | 50.14% | 3.06% | 0.45% | 0.31% | 100.00% | |
| Kyrgyzstan | 49.03% | 50.51% | 0.44% | 0.02% | 0.01% | 100.00% | |
| Tajikistan | 36.16% | 56.97% | 6.39% | 0.45% | 0.03% | 100.00% | |
| Turkmenistan | 11.24% | 57.35% | 26.94% | 2.97% | 1.49% | 100.00% | |
| Uzbekistan | 29.44% | 57.54% | 9.86% | 1.90% | 1.26% | 100.00% | |
| Year | R2 | MAE | RMSE |
|---|---|---|---|
| 2000 | 0.924 ± 0.005 | 0.033 ± 0.001 | 0.045 ± 0.001 |
| 2010 | 0.921 ± 0.006 | 0.033 ± 0.001 | 0.045 ± 0.001 |
| 2020 | 0.930 ± 0.006 | 0.031 ± 0.001 | 0.043 ± 0.001 |
Disclaimer/Publisher’s Note: The statements, opinions and data contained in all publications are solely those of the individual author(s) and contributor(s) and not of MDPI and/or the editor(s). MDPI and/or the editor(s) disclaim responsibility for any injury to people or property resulting from any ideas, methods, instructions or products referred to in the content. |
© 2025 by the authors. Licensee MDPI, Basel, Switzerland. This article is an open access article distributed under the terms and conditions of the Creative Commons Attribution (CC BY) license (https://creativecommons.org/licenses/by/4.0/).
Share and Cite
Liu, Y.; Wang, J.; Ding, J.; Zhang, Z.; Liu, Z.; Zhang, Z.; Zhang, J.; Shi, L. Dynamic Monitoring of Ecological Environmental Quality in Arid and Semi-Arid Regions: Disparities Among Central Asian Countries and Analysis of Key Driving Factors. Remote Sens. 2025, 17, 1825. https://doi.org/10.3390/rs17111825
Liu Y, Wang J, Ding J, Zhang Z, Liu Z, Zhang Z, Zhang J, Shi L. Dynamic Monitoring of Ecological Environmental Quality in Arid and Semi-Arid Regions: Disparities Among Central Asian Countries and Analysis of Key Driving Factors. Remote Sensing. 2025; 17(11):1825. https://doi.org/10.3390/rs17111825
Chicago/Turabian StyleLiu, Yue, Jinjie Wang, Jianli Ding, Zipeng Zhang, Zhihong Liu, Zihan Zhang, Jinming Zhang, and Liya Shi. 2025. "Dynamic Monitoring of Ecological Environmental Quality in Arid and Semi-Arid Regions: Disparities Among Central Asian Countries and Analysis of Key Driving Factors" Remote Sensing 17, no. 11: 1825. https://doi.org/10.3390/rs17111825
APA StyleLiu, Y., Wang, J., Ding, J., Zhang, Z., Liu, Z., Zhang, Z., Zhang, J., & Shi, L. (2025). Dynamic Monitoring of Ecological Environmental Quality in Arid and Semi-Arid Regions: Disparities Among Central Asian Countries and Analysis of Key Driving Factors. Remote Sensing, 17(11), 1825. https://doi.org/10.3390/rs17111825

