Comparative Analysis of Carbon Density Simulation Methods in Grassland Ecosystems: A Case Study from Gansu Province, China
Abstract
1. Introduction
2. Materials and Methods
2.1. Study Area
2.2. Data Source and Processing
2.2.1. Carbon Density Data
2.2.2. Remote Sensing of Data for Variables
2.3. Methods
2.3.1. Selection of Remote Sensing Variables
2.3.2. Carbon Density Model Construction
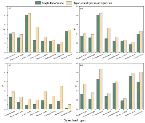
- This study used parametric models, including a single-factor model and stepwise multiple linear regression (SMLR) models [66]. The single-factor model identified variables significantly correlated with carbon density, characterized by the highest Pearson’s correlation coefficients (p < 0.01). Linear, logarithmic, power, and exponential models were then constructed to determine the optimal model [67]. Previous research demonstrated that parametric models outperformed their non-parametric counterparts in estimating grassland biomass within northern China’s agro-pastoral ecotone, with the use of an SMLR model identified as the most effective approach [68]. The parametric models were implemented using SPSS26 software.
- A spatial model was based on MGWR 2.2 software, using two kernel functions (Gaussian and Bisquare) and four bandwidth selection methods—the Akaike Information Criterion (AIC), Corrected Akaike Information Criterion (AICc), Cross-Validation (CV), and Bayesian Information Criterion (BIC)—to construct geographically weighted regression (GWR) and multi-scale geographically weighted regression (MGWR) models. The GWR model, a local parameter estimation method, incorporates spatial distance weights into the fitting process, constructing a spatial weight matrix to account for spatial non-stationarity in localized regions [69]. The MGWR model advances both traditional global and GWR models by deriving regression coefficients locally, with unique bandwidths assigned to each point. Spatial models offer significant advantages over traditional methods, particularly at spatiotemporal scales. Studies indicate that GWR and MGWR models yield more accurate spatial distributions of carbon storage compared to traditional regression methods, thereby enhancing regional carbon density estimation accuracy [30,31].
- The non-parametric model employed in this study is an RF model. An RF model, a Bagging ensemble learning algorithm [70], has demonstrated high accuracy in processing high-dimensional data, coupled with ease of operation and robustness against noise [71]. Multiple studies suggest that model accuracy does not significantly vary across different machine learning algorithms [72]. Notably, the RF model is among the most frequently used algorithms in machine learning, consistently delivering reliable predictive accuracy [73]. This model was implemented using the R programming language.
2.3.3. Model Evaluation
3. Results
3.1. Feature Variable Selection
3.2. Model Construction
3.2.1. Parameter Model
3.2.2. Spatial Model
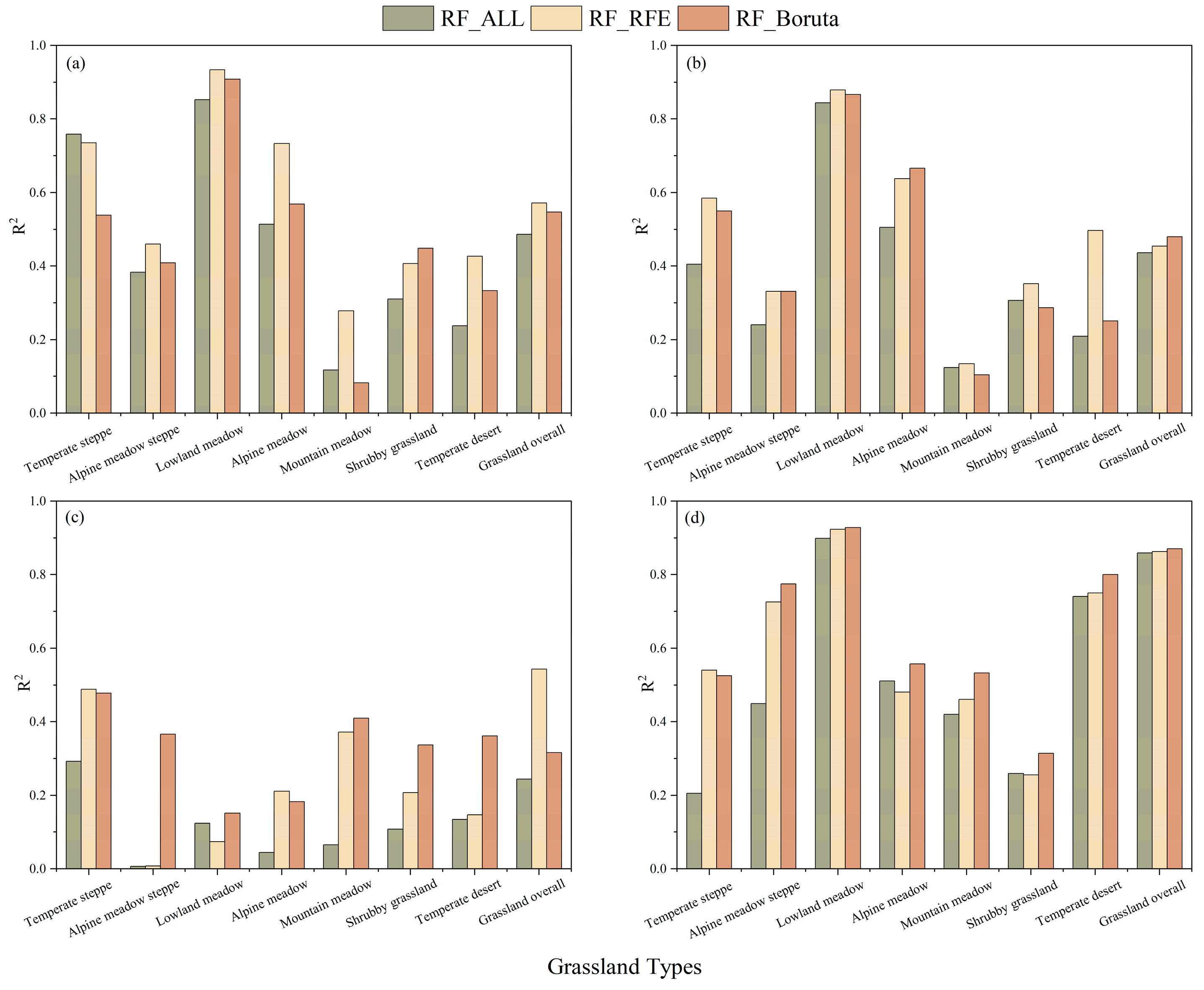
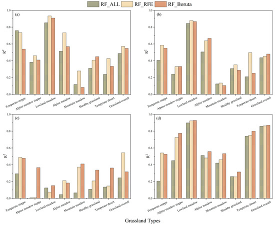
3.2.3. Non-Parametric Model
3.3. Comparative Analysis of Estimation Results Among Models
4. Discussion
4.1. Effects of Various Variable Selection Methods on Estimating Carbon Storage in Grassland Ecosystems
4.2. Comparison of Estimation Results from Various Model Types
4.3. Limitations and Future Research Directions
5. Conclusions
Supplementary Materials
Author Contributions
Funding
Data Availability Statement
Acknowledgments
Conflicts of Interest
References
- Piipponen, J.; Jalava, M.; de Leeuw, J.; Rizayeva, A.; Godde, C.; Cramer, G.; Herrero, M.; Kummu, M. Global trends in grassland carrying capacity and relative stocking density of livestock. Glob. Chang. Biol. 2022, 28, 3902–3919. [Google Scholar] [CrossRef]
- Bardgett, R.D.; Bullock, J.M.; Lavorel, S.; Manning, P.; Schaffner, U.; Ostle, N.; Chomel, M.; Durigan, G.; Fry, E.L.; Johnson, D.; et al. Combatting global grassland degradation. Nat. Rev. Earth Environ. 2021, 2, 720–735. [Google Scholar] [CrossRef]
- Wang, S.; Fan, J.; Liu, S. A comprehensive analysis of difference in carbon stock estimation in the grasslands of china. Acta Agrestia Sin. 2017, 25, 905–913. [Google Scholar]
- Liu, L.L.; Sayer, E.J.; Deng, M.F.; Li, P.; Liu, W.X.; Wang, X.; Yang, S.; Huang, J.S.; Luo, J.; Su, Y.J.; et al. The grassland carbon cycle: Mechanisms, responses to global changes, and potential contribution to carbon neutrality. Fundam. Res. 2023, 3, 209–218. [Google Scholar] [CrossRef] [PubMed]
- Carvalhais, N.; Forkel, M.; Khomik, M.; Bellarby, J.; Jung, M.; Migliavacca, M.; Mu, M.Q.; Saatchi, S.; Santoro, M.; Thurner, M.; et al. Global covariation of carbon turnover times with climate in terrestrial ecosystems. Nature 2014, 514, 213–217. [Google Scholar] [CrossRef]
- Yang, Y.; Shi, Y.; Sun, W.; Chang, J.; Zhu, J.; Chen, L.; Wang, X.; Guo, Y.; Zhang, H.; Yu, L.; et al. Terrestrial carbon sinks in china and around the world and their contribution to carbon neutrality. Sci. China (Life Sci.) 2022, 65, 861–895. [Google Scholar] [CrossRef] [PubMed]
- Ahlström, A.; Raupach, M.R.; Schurgers, G.; Smith, B.; Arneth, A.; Jung, M.; Reichstein, M.; Canadell, J.G.; Friedlingstein, P.; Jain, A.K.; et al. The dominant role of semi-arid ecosystems in the trend and variability of the land Co2 sink. Science 2015, 348, 895–899. [Google Scholar] [CrossRef] [PubMed]
- Bai, Y.F.; Han, X.G.; Wu, J.G.; Chen, Z.Z.; Li, L.H. Ecosystem stability and compensatory effects in the inner mongolia grassland. Nature 2004, 431, 181–184. [Google Scholar] [CrossRef] [PubMed]
- Fang, J.Y.; Kato, T.; Guo, Z.D.; Yang, Y.H.; Hu, H.F.; Shen, H.H.; Zhao, X.; Kishimoto-Mo, A.W.; Tang, Y.H.; Houghton, R.A. Evidence for environmentally enhanced forest growth. Proc. Natl. Acad. Sci. USA 2014, 111, 9527–9532. [Google Scholar] [CrossRef] [PubMed]
- Cheng, K.; Yang, H.T.; Tao, S.L.; Su, Y.J.; Guan, H.C.; Ren, Y.; Hu, T.Y.; Li, W.K.; Xu, G.C.; Chen, M.X.; et al. Carbon storage through china’s planted forest expansion. Nat. Commun. 2024, 15, 4106. [Google Scholar] [CrossRef] [PubMed]
- Kodero, J.M.; Felzer, B.S.; Shi, Y.N. Future transition from forests to shrublands and grasslands in the western united states is expected to reduce carbon storage. Commun. Earth Environ. 2024, 5, 78. [Google Scholar] [CrossRef]
- Bai, Y.-F.; Huang, J.-H.; Zheng, S.-X.; Pan, Q.-M.; Zhang, L.-X.; Zhou, H.-K.; Xu, H.-L.; Li, Y.-L.; Ma, J. Drivers and regulating mechanisms of grassland and desert ecosystem services. Chin. J. Plant Ecol. 2014, 38, 93–102. [Google Scholar]
- Piao, S.L.; He, Y.; Wang, X.H.; Chen, F.H. Estimation of china’s terrestrial ecosystem carbon sink: Methods, progress and prospects. Sci. China-Earth Sci. 2022, 65, 641–651. [Google Scholar] [CrossRef]
- Bao, N.; Li, W.; Gu, X.; Liu, Y. Biomass estimation for semiarid vegetation and mine rehabilitation using worldview-3 and sentinel-1 sar imagery. Remote Sens. 2019, 11, 2855. [Google Scholar] [CrossRef]
- Zhao, S.; Liu, M.; Tao, M.; Zhou, W.; Lu, X.; Xiong, Y.; Li, F.; Wang, Q. The role of satellite remote sensing in mitigating and adapting to global climate change. Sci. Total Environ. 2023, 904, 166820. [Google Scholar] [CrossRef] [PubMed]
- Hall, R.J.; Skakun, R.S.; Arsenault, E.J.; Case, B.S. Modeling forest stand structure attributes using landsat etm + data: Application to mapping of aboveground biomass and stand volume. For. Ecol. Manag. 2006, 225, 378–390. [Google Scholar] [CrossRef]
- Piao, S.; Fang, J.; He, J.; Xiao, Y. Spatial distribution of grassland biomass in china. Acta Phytoecol. Sin. 2004, 28, 491–498. [Google Scholar]
- Huang, S.; Tang, L.N.; Hupy, J.P.; Wang, Y.; Shao, G.F. A commentary review on the use of normalized difference vegetation index (ndvi) in the era of popular remote sensing. J. For. Res. 2021, 32, 1–6. [Google Scholar] [CrossRef]
- Anderson, K.E.; Glenn, N.F.; Spaete, L.P.; Shinneman, D.J.; Pilliod, D.S.; Arkle, R.S.; McIlroy, S.K.; Derryberry, D.R. Estimating vegetation biomass and cover across large plots in shrub and grass dominated drylands using terrestrial lidar and machine learning. Ecol. Indic. 2018, 84, 793–802. [Google Scholar] [CrossRef]
- Zheng, J.; Zhang, Y.; Wang, X.; Zhu, J.; Zhao, G.; Zheng, Z.; Tao, J.; Zhang, Y.; Li, J. Estimation of net ecosystem productivity on the tibetan plateau grassland from 1982 to 2018 based on random forest model. Remote Sens. 2023, 15, 2375. [Google Scholar] [CrossRef]
- Paris, G.; Robilliard, D.; Fonlupt, C. Exploring overfitting in genetic programming. In International Conference on Artificial Evolution (Evolution Artificielle); Springer: Berlin/Heidelberg, Germany, 2003; pp. 267–277. [Google Scholar]
- Jensen, D.D.; Cohen, P.R. Multiple comparisons in induction algorithms. Mach. Learn. 2000, 38, 309–338. [Google Scholar] [CrossRef]
- Ying, X. An overview of overfitting and its solutions. J. Phys. Conf. Ser. 2019, 1168, 022022. [Google Scholar] [CrossRef]
- Lever, J.; Krzywinski, M.; Altman, N. Model selection and overfitting. Nat. Methods 2016, 13, 703–704. [Google Scholar] [CrossRef]
- Qiu, X.; Zheng, D.; Wang, H.; An, T.; Xu, D.; Hao, Y.; Peng, D. Estimation of aboveground carbon storage of arbor forest based on the combination of geo-statistical method and landsat 8 images. J. Cent. South Univ. For. Technol. 2020, 40, 138–146. [Google Scholar]
- Lyu, X.; Li, X.; Gong, J.; Li, S.; Dou, H.; Dang, D.; Xuan, X.; Wang, H. Remote-sensing inversion method for aboveground biomass of typical steppe in inner mongolia, china. Ecol. Indic. 2021, 120, 106883. [Google Scholar] [CrossRef]
- Jia, Y.; Zhang, L.; Wu, D.; Song, C.; Yuan, W.; Li, L. Comparative analysis of grassland biomass inversion models based on unmanned aerial vehicle multispe. Acta Ecol. Sin. 2024, 44, 6854–6864. [Google Scholar]
- Liu, W.J.; Xu, C.; Zhang, Z.M.; De Boeck, H.; Wang, Y.F.; Zhang, L.K.; Xu, X.W.; Zhang, C.; Chen, G.R.; Xu, C. Machine learning-based grassland aboveground biomass estimation and its response to climate variation in southwest china. Front. Ecol. Evol. 2023, 11, 1146850. [Google Scholar] [CrossRef]
- Bu, L.; Lai, Q.; Liu, X. Adaptation of different machine learning algorithms for grassland biomass estimation. Acta Agrestia Sin. 2022, 30, 3156–3164. [Google Scholar]
- Song, X.; Mi, N.; Mi, W.; Li, L. Spatial non-stationary characteristics between grass yield and its influencing factors in the ningxia temperate grasslands based on a mixed geographically weighted regression model. J. Geogr. Sci. 2022, 32, 1076–1102. [Google Scholar] [CrossRef]
- Long, Y.; Jiang, F.; Sun, H.; Wang, T.; Zou, Q.; Chen, C. Estimating vegetation carbon storage based on optimal bandwidth selected from geographically weighted regression model in shenzhen city. Acta Ecol. Sin. 2022, 42, 4933–4945. [Google Scholar]
- Wei, P.J.; Chen, S.Y.; Wu, M.H.; Jia, Y.L.; Xu, H.J.; Liu, D.M. Increased ecosystem carbon storage between 2001 and 2019 in the northeastern margin of the qinghai-tibet plateau. Remote Sens. 2021, 13, 3986. [Google Scholar] [CrossRef]
- Shoko, C.; Mutanga, O.; Dube, T. Progress in the remote sensing of c3 and c4 grass species aboveground biomass over time and space. Isprs J. Photogramm. Remote Sens. 2016, 120, 13–24. [Google Scholar] [CrossRef]
- Magiera, A.; Feilhauer, H.; Waldhardt, R.; Wiesmair, M.; Otte, A. Modelling biomass of mountainous grasslands by including a species composition map. Ecol. Indic. 2017, 78, 8–18. [Google Scholar] [CrossRef]
- Zang, P.; Zhang, Y.; Chen, Z.; Hou, G.; Liu, Z.; Lu, X. The inversion modeling and aboveground biomass mapping of withered grass changes in the western grassland of northeast china. Front. Earth Sci. 2023, 10, 1031098. [Google Scholar] [CrossRef]
- Rasel, S.M.M.; Chang, H.-C.; Ralph, T.J.; Saintilan, N.; Diti, I.J. Application of feature selection methods and machine learning algorithms for saltmarsh biomass estimation using worldview-2 imagery. Geocarto Int. 2019, 36, 1075–1099. [Google Scholar] [CrossRef]
- Fan, J.; Lv, J. A selective overview of variable selection in high dimensional feature space. Stat. Sin. 2010, 20, 101–148. [Google Scholar]
- You, S.; Yan, Y. Stepwise regression analysis and its application. Stat. Decis. 2017, 14, 31–35. [Google Scholar]
- Gregorutti, B.; Michel, B.; Saint-Pierre, P. Correlation and variable importance in random forests. Stat. Comput. 2017, 27, 659–678. [Google Scholar] [CrossRef]
- Degenhardt, F.; Seifert, S.; Szymczak, S. Evaluation of variable selection methods for random forests and omics data sets. Brief. Bioinform. 2019, 20, 492–503. [Google Scholar] [CrossRef]
- Garroutte, E.L.; Hansen, A.J.; Lawrence, R.L. Using ndvi and evi to map spatiotemporal variation in the biomass and quality of forage for migratory elk in the greater yellowstone ecosystem. Remote Sens. 2016, 8, 404. [Google Scholar] [CrossRef]
- Yao, Y.; Ren, H. Estimation of grassland aboveground biomass in northern china based on topography-climate-remote sensing data. Ecol. Indic. 2024, 165, 112230. [Google Scholar] [CrossRef]
- Ge, J.; Hou, M.; Liang, T.; Feng, Q.; Meng, X.; Liu, J.; Bao, X.; Gao, H. Spatiotemporal dynamics of grassland aboveground biomass and its driving factors in north china over the past 20 years. Sci. Total Environ. 2022, 826, 154226. [Google Scholar] [CrossRef] [PubMed]
- Xia, A.; Wang, Y.; Hao, Y.; Hu, R.; Wang, F.; Wu, W.; Cui, X. Research progress on estimation of vegetation carbon storage of grasslands on complex terrain by remote sensing technology. Acta Ecol. Sin. 2020, 40, 6338–6350. [Google Scholar]
- Chen, A.; Wang, X.; Zhang, M.; Guo, J.; Xing, X.Y.; Yang, D.; Zhang, H.L.; Hou, Z.Y.; Jia, Z.; Yang, X.C. Fusion of lidar and multispectral data for aboveground biomass estimation in mountain grassland. Remote Sens. 2023, 15, 405. [Google Scholar] [CrossRef]
- Jia, W.; Liu, M.; Yang, Y.; He, H.; Zhu, X.; Yang, F.; Yin, C.; Xiang, W. Estimation and uncertainty analyses of grassland biomass in northern china: Comparison of multiple remote sensing data sources and modeling approaches. Ecol. Indic. 2016, 60, 1031–1040. [Google Scholar] [CrossRef]
- Yang, D.; Yang, Z.; Wen, Q.; Ma, L.; Guo, J.; Chen, A.; Zhang, M.; Xing, X.; Yuan, Y.; Lan, X.; et al. Dynamic monitoring of aboveground biomass in inner mongolia grasslands over the past 23 years using gee and analysis of its driving forces. J. Environ. Manag. 2024, 354, 120415. [Google Scholar] [CrossRef] [PubMed]
- Zhou, Y.; Liu, T.; Batelaan, O.; Duan, L.; Wang, Y.; Li, X.; Li, M. Spatiotemporal fusion of multi-source remote sensing data for estimating aboveground biomass of grassland. Ecol. Indic. 2023, 146, 109892. [Google Scholar] [CrossRef]
- Gansu, D. Main Data Bulletin of the Third National Land Survey of Gansu Province. Available online: https://www.gs.gov.cn/gsszf/c100002/c100006/c100007/202109/1835145.shtml (accessed on 7 November 2024).
- Liu, C. The Temporal-Spatial Changes and Dynamic Mechanism of Carbon Source/Sink of Provincial Ecosystem—A Case of Gansu Province. Ph.D. Thesis, Lanzhou University, Lanzhou, China, 2015. [Google Scholar]
- Song, W.; Song, W. Cropland fallow reduces agricultural water consumption by 303 million tons annually in gansu province, china. Sci. Total Environ. 2023, 879, 163013. [Google Scholar] [CrossRef]
- Miao, H. Temporal and Spatial Changes of Natural Grassland Productivity and Climatic Driving Force in Gansu Province. Master’s Thesis, University of Chinese Academy of Sciences, Beijing, China, 2019. [Google Scholar]
- Zhang, Y.; Zhao, Y.; Ni, Y.; Zhang, Y.; Ding, Y.; Liu, L. Challenges and actions for the improvement of grassland carbon sink function in china. Acta Agrestia Sin. 2024, 32, 987–994. [Google Scholar]
- Wang, D. Carbon Storage and the Impact Mechanism in the Naturalgrassland Ecosystem—A Case Study on Gansu Province; Research Center for Eco-environments and Soil and WaterConservation, Chinese Academy of Sciences & Ministry of Education: Beijing, China, 2016. [Google Scholar]
- Sun, W.; Liu, X. Review on carbon storage estimation of forest ecosystem and applications in china. For. Ecosyst. 2020, 7, 4. [Google Scholar] [CrossRef]
- Jiang, Y.T.; Wang, L.M. Pattern and control of biomass allocation across global forest ecosystems. Ecol. Evol. 2017, 7, 5493–5501. [Google Scholar] [CrossRef] [PubMed]
- Fan, J.; Zhong, H.; Harris, W.; Yu, G.; Wang, S.; Hu, Z.; Yue, Y. Carbon storage in the grasslands of china based on field measurements of above- and below-ground biomass. Clim. Change 2008, 86, 375–396. [Google Scholar] [CrossRef]
- Zhang, J.P.; Zhang, L.B.; Hao, H.; Liu, C.; Wang, H. Carbon storage of a subtropical forest ecosystem: A case study of the jinggang mountain national nature reserve in south-eastern china. J. For. Res. 2019, 30, 1011–1021. [Google Scholar] [CrossRef]
- Sun, B.Q.; Du, J.Q.; Chong, F.F.; Li, L.J.; Zhu, X.Q.; Zhai, G.Q.; Song, Z.B.; Mao, J.L. Spatio-temporal variation and prediction of carbon storage in terrestrial ecosystems in the yellow river basin. Remote Sens. 2023, 15, 3866. [Google Scholar] [CrossRef]
- Zhu, M.; Zhang, J.; Zhang, C.; Feng, Q.; National Cryosphere Desert Data Center. Soil Organic Carbon Density (0–100 cm) Data at 30 m Resolution in Northwest China. 2023. Available online: www.ncdc.ac.cn (accessed on 7 November 2024).
- GEBCO. Compilation Group (2023) GEBCO 2023 Grid. 2023. Available online: https://www.gebco.net/ (accessed on 7 November 2024).
- Peng, S.; Ding, Y.; Liu, W.; Li, Z. 1 km monthly temperature and precipitation dataset for china from 1901 to 2017 [dataset]. In Earth System Science Data; Copernicus Publications: Göttingen, Germany, 2019; Volume 11, pp. 1931–1946. [Google Scholar]
- Kong, F.; Li, X.; Bai, Y.; Li, X.; Wang, H. The estimation of aboveground vegetation carbon storage based on gf-1 wfv satellite images in fengning county. Resour. Sci. 2016, 38, 1054–1064. [Google Scholar]
- Tassi, A.; Vizzari, M. Object-oriented lulc classification in google earth engine combining snic, glcm, and machine learning algorithms. Remote Sens. 2020, 12, 3776. [Google Scholar] [CrossRef]
- Li, X.; Du, H.; Mao, F.; Zhou, G.; Chen, L.; Xing, L.; Fan, W.; Xu, X.; Liu, Y.; Cui, L.; et al. Estimating bamboo forest aboveground biomass using enkf-assimilated modis lai spatiotemporal data and machine learning algorithms. Agric. For. Meteorol. 2018, 256–257, 445–457. [Google Scholar] [CrossRef]
- Wang, S.; Sun, Y. Urban water consumption prediction based on a partial least-square model coupled with stepwise regression. J. Saf. Environ. 2012, 12, 170–173. [Google Scholar]
- Diouf, A.A.; Hiernaux, P.; Brandt, M.; Faye, G.; Djaby, B.; Diop, M.B.; Ndione, J.A.; Tychon, B. Do agrometeorological data improve optical satellite-based estimations of the herbaceous yield in sahelian semi-arid ecosystems? Remote Sens. 2016, 8, 668. [Google Scholar] [CrossRef]
- Zhou, J.; Zhang, R.; Guo, J.; Dai, J.; Zhang, J.; Zhang, L.; Miao, Y. Estimation of aboveground biomass of senescence grassland in china’s arid region using multi-source data. Sci Total Env. 2024, 918, 170602. [Google Scholar] [CrossRef] [PubMed]
- Brunsdon, C.; Fotheringham, A.S.; Charlton, M.E. Geographically weighted regression: A method for exploring spatial nonstationarity. Geogr. Anal. 1996, 28, 281–298. [Google Scholar] [CrossRef]
- Breiman, L. Random forests. Mach. Learn. 2001, 45, 5–32. [Google Scholar] [CrossRef]
- Scornet, E. Random forests and kernel methods. IEEE Trans. Inf. Theory 2016, 62, 1485–1500. [Google Scholar] [CrossRef]
- Zeng, N.; Ren, X.L.; He, H.L.; Zhang, L.; Zhao, D.; Ge, R.; Li, P.; Niu, Z.E. Estimating grassland aboveground biomass on the tibetan plateau using a random forest algorithm. Ecol. Indic. 2019, 102, 479–487. [Google Scholar] [CrossRef]
- Li, H.; Li, F.; Xiao, J.; Chen, J.; Lin, K.; Bao, G.; Liu, A.; Wei, G. A machine learning scheme for estimating fine-resolution grassland aboveground biomass over china with sentinel-1/2 satellite images. Remote Sens. Environ. 2024, 311, 114317. [Google Scholar] [CrossRef]
- Wheeler, D.; Tiefelsdorf, M. Multicollinearity and correlation among local regression coefficients in geographically weighted regression. J. Geogr. Syst. 2005, 7, 161–187. [Google Scholar] [CrossRef]
- Breiman, L. Statistical modeling: The two cultures (with comments and a rejoinder by the author). Stat. Sci. 2001, 16, 199–231. [Google Scholar] [CrossRef]
- Lu, Z.; Liu, X.; Chang, S.; Yang, S.; Zhao, W.; Yang, Y.; Liu, A. Hyperspectral inversion of the surface soil n/p ratio in a grassland mining area based on the bp neural network. Pratacultural Sci. 2018, 35, 2127–2136. [Google Scholar]
- Chen, P.F.; Tremblay, N.; Wang, J.H.; Vigneault, P.; Huang, W.J.; Li, B.G. New index for crop canopy fresh biomass estimation. Spectrosc. Spectr. Anal. 2010, 30, 512–517. [Google Scholar]
- Wang, Y.; Wu, G.; Deng, L.; Tang, Z.; Wang, K.; Sun, W.; Shangguan, Z. Prediction of aboveground grassland biomass on the loess plateau, china, using a random forest algorithm. Sci. Rep. 2017, 7, 6940. [Google Scholar] [CrossRef] [PubMed]
- Liu, H.; Chen, Y.; Liu, Y.; Gang, C. Simulation of spatial pattern and future trends of grassland net primary productivity in the loess plateau based on random forest model. Arid Zone Res. 2023, 40, 123–131. [Google Scholar]
- Ma, W.H.; Fang, J.Y.; Yang, Y.H.; Mohammat, A. Biomass carbon stocks and their changes in northern china’s grasslands during 1982–2006. Sci. China-Life Sci. 2010, 53, 841–850. [Google Scholar] [CrossRef] [PubMed]
- Li, H.; Yang, B.; Meng, Y.; Liu, K.; Wang, S.; Wang, D.; Zhang, H.; Huang, Y.; Liu, X.; Li, D.; et al. Relationship between carbon pool changes and environmental changes in arid and semi-arid steppe—A two decades study in inner mongolia, china. Sci. Total Environ. 2023, 893, 164930. [Google Scholar] [CrossRef]
- Yang, Y.; Fang, J.; Ma, W.; Smith, P.; Mohammat, A.; Wang, S.; Wang, W. Soil carbon stock and its changes in northern china’s grasslands from 1980s to 2000s. Glob. Change Biol. 2010, 16, 3036–3047. [Google Scholar] [CrossRef]
- Liu, S.; Yang, Y.; Shen, H.; Hu, H.; Zhao, X.; Li, H.; Liu, T.; Fang, J. No significant changes in topsoil carbon in the grasslands of northern china between the 1980s and 2000s. Sci. Total Environ. 2018, 624, 1478–1487. [Google Scholar] [CrossRef]
- Wang, S.; Xu, L.; Zhuang, Q.; He, N. Investigating the spatio-temporal variability of soil organic carbon stocks in different ecosystems of china. Sci. Total Environ. 2021, 758, 143644. [Google Scholar] [CrossRef] [PubMed]
- Zhang, L.; Zhou, G.; Ji, Y.; Bai, Y. Spatiotemporal dynamic simulation of grassland carbon storage in china. Sci. China Earth Sci. 2016, 59, 1946–1958. [Google Scholar] [CrossRef]
- Ma, Q.; Kuang, W.; Liu, Z.; Hu, F.; Qian, J.; Liu, B.; Zhu, J.; Cao, C.; Wu, J.; Li, X. Spatial pattern of different component carbon in varied grasslands of northern china. Geoderma 2017, 303, 27–36. [Google Scholar] [CrossRef]
- Fang, J.Y.; Yang, Y.H.; Ma, W.H.; Mohammat, A.; Shen, H.H. Ecosystem carbon stocks and their changes in China’s grasslands. Sci. China-Life Sci. 2010, 53, 757–765. [Google Scholar] [CrossRef]
- Piao, S.; Fang, J.; Zhou, L.; Tan, K.; Tao, S. Changes in biomass carbon stocks in china’s grasslands between 1982 and 1999. Glob. Biogeochem. Cycles 2007, 21. [Google Scholar] [CrossRef]
- Zhao, J.; Hou, P.; Chen, Y. Research progress on carbon storage estimation of grassland vegetation in china. Chin. J. Ecol. 2024, 6, 1–15. [Google Scholar]
- Ma, A.; He, N.; Yu, G.; Wen, D.; Peng, S. Carbon storage in chinese grassland ecosystems: Influence of different integrative methods. Sci. Rep. 2016, 6, 21378. [Google Scholar] [CrossRef] [PubMed]
- Bai, Y.-F.; Chen, S.-P. Carbon sequestration of chinese grassland ecosystems: Stock, rate and potential. Chin. J. Plant Ecol. 2018, 42, 261–264. [Google Scholar]
- Meng, X. Remote Sensing Estimation of Grassland Vegetation Carbon Stocks in Gannan Prefecture. Master’s Thesis, Lanzhou University, Lanzhou, China, 2023. [Google Scholar]
- Ren, X.; Pei, T.; Chen, Y.; Xie, B.; Cheng, D. Impact of land use change on carbon storage in gansu province based on carbon density correction. Ecol. Sci. 2021, 40, 66–74. [Google Scholar]






| Type | Variable | Formula and Explanation |
|---|---|---|
| Band | Band1 | Blue |
| Band2 | Blue-Green | |
| Band3 | Green | |
| Band4 | Red | |
| Band5 | Near IR | |
| Band6 | SWIR-1 | |
| Band7 | SWIR-2 | |
| Vegetation Index | Atmospherically Resistant Vegetation Index (ARVI) | ARVI = (NIR − RED + r × (BLUE − RED))/(NIR − RED − r × (BLUE − RED)) |
| Chlorophyll Vegetation Index (CVI) | CVI = (NIR/RED) − 1 | |
| Difference Vegetation Index (DVI) | DVI = NIR − RED | |
| Enhanced Vegetation Index (EVI) | EVI = G × (NIR − RED)/(NIR + C1 × RED −C2 × BIUE + L) | |
| Global Environment Monitoring Index (GEMI) | GEMI = μ × (1 − 0.25 × μ) − (RED − 0.125)/(1 − RED) μ = [2 × (NIR2 − RED2) +1.5 × NIR + 0.5 × RED]/(NIR + RED + 0.5) | |
| Normalized Green Difference Vegetation Index (GNDVI) | GNDVI = (NIR − GREEN)/(NIR + GREEN) | |
| Modified Soil Adjustment Vegetation Index (MSAVI) | ||
| Modified Second Ration Index (MSRI) | ||
| Normalized Difference Vegetation Index (NDVI) | NDVI = NIR − RED/NIR + RED | |
| Nonlinear Vegetation Index (NLI) | NLI = NIR2 − RED/NIR2 + RED | |
| Chlorophyll Normalized Vegetation Index (NPCI) | NPCI = (RED − BLUE)/(RED + BLUE) | |
| Optimization of Soil Regulatory Vegetation Index (OSAVI) | OSAVI = (NIR − RED)/(NIR + RED + 0.16) | |
| Ratio Vegetation Index (RVI) | RVI = NIR/RED | |
| Ratio Vegetation Index 1 (RVI54) | RVI54 = SWIRI/NIR | |
| Ratio Vegetation Index 2 (RVI64) | RVI64 = SWIR2/NIR | |
| Source Address Validation Improvement (SAVI) | SAVI = (1 + L) (NIR − RED)/NIR + RED + L | |
| Triangle Vegetation Index (TVI) | TVI = 0.5 × (120 × NIR − GREEN) − 200 × (RED − GREEN)) | |
| Texture feature | Variance | |
| Correlation | ||
| Contrast | ||
| Entropy | ||
| Dissimilarity | ||
| Angular second moment | ||
| Topographical factor | DEM | DEM |
| Slope | Slope | |
| Aspect | Aspect | |
| Climatic factor | PRE | Average monthly precipitation |
| TEM | Average monthly temperature | |
| PET | Monthly Potential Evapotranspiration |
| Grassland Type | AGBC | BGBC | DOMC | SOC | ||||
|---|---|---|---|---|---|---|---|---|
| Variable | VIF | Variable | VIF | Variable | VIF | Variable | VIF | |
| Temperate grassland | RVI64_mean | 1.55 | RVI64_mean | 1.55 | MSRI | 1.05 | CVI_max | 1.72 |
| CVI | 1.55 | CVI | 1.55 | B1_corr | 1.01 | TEM | 3.99 | |
| MSRI_mean | 1.04 | B3_mean | 1.71 | |||||
| PET | 3.57 | |||||||
| Alpine meadow steppe | DVI_max | 1.00 | DVI_max | 1.00 | gray_asm | 1.97 | GNDVI_max | 1.77 |
| B7_diss | 1.00 | B7_diss | 1.00 | B4_asm | 1.97 | B1_diss | 1.02 | |
| B3_mean | 1.79 | |||||||
| Lowland meadow | RVI_max | 5.33 | RVI_max | 5.33 | B4_corr | 1.44 | TEM | 1.21 |
| GEMI | 9.69 | GEMI | 9.68 | B5_corr | 1.40 | B4_mean | 2.82 | |
| OSAVI_mean | 7.34 | OSAVI_mean | 7.34 | B6_contras | 1.03 | B6_var | 1.09 | |
| RVI54 | 2.61 | |||||||
| Alpine meadow | CVI_max | 6.77 | CVI_max | 1.79 | RVI54_mean | 3.16 | B3 | 1.47 |
| CVI_mean | 6.67 | NPCI | 1.31 | MSRI_mean | 3.09 | B3_mean | 1.47 | |
| NPCI | 1.20 | PRE | 2.20 | RVI54 | 1.05 | |||
| PRE | 1.89 | RVI54_mean | 2.29 | |||||
| RVI54_mean | 3.31 | NDVI_mean | 4.69 | |||||
| NDVI_max | 4.12 | |||||||
| Mountain meadow | B7_mean | 1.70 | B7_mean | 1.70 | PET | 1.04 | TEM | 1.19 |
| CVI_max | 1.45 | CVI_max | 1.45 | gray_asm | 1.03 | RVI54 | 1.05 | |
| ARVI_mean | 1.20 | ARVI_mean | 1.20 | NLI_mean | 1.30 | B2 | 1.19 | |
| ARVI | 1.30 | |||||||
| Shrubby grassland | PRE | 1.32 | PRE | 1.32 | GNDVI | 2.14 | DEM | 1.24 |
| MSAVI_mean | 1.32 | MSAVI_mean | 1.32 | PET | 1.73 | TVI_max | 1.24 | |
| CVI_mean | 3.14 | |||||||
| Temperate desert | TVI_mean | 7.73 | TVI_mean | 7.73 | TVI | 1.24 | NDVI_max | 3.58 |
| MSRI_max | 7.73 | MSRI_max | 7.73 | PET | 1.14 | PET | 1.02 | |
| B5_diss | 1.14 | PRE | 3.56 | |||||
| RVI64_mean | 1.20 | |||||||
| NLI_mean | 1.15 | |||||||
| Grassland overall | PRE | 2.58 | CVI_max | 2.76 | DEM | 1.24 | DEM | 1.41 |
| CVI_max | 2.58 | PRE | 3.36 | B7 | 3.11 | B7 | 2.82 | |
| RVI54_mean | 3.82 | NPCI | 1.06 | B6_max | 2.78 | NDVI | 5.64 | |
| OSAVI | 2.25 | RVI54_mean | 3.80 | B3_corr | 1.28 | GNDVI_mean | 6.81 | |
| SAVI | 3.78 | B5_corr | 1.28 | |||||
| B3_asm | 1.03 | |||||||
| Carbon Density Components | Grassland Types | Model | Formula | R2 | RMSE | MAE |
|---|---|---|---|---|---|---|
| AGBC | Temperate steppe | Linear model | y = 0.7509RVI64_mean + 9.2895 | 0.41 | 50.23 | 36.39 |
| SMLR | y = −87.588RVI64_mean + 13.315CVI + 114.587 | 0.43 | 33.56 | 24.68 | ||
| Alpine meadow steppe | Power model | y = 325.4DVI_max1.4128 | 0.32 | 53.68 | 41.68 | |
| SMLR | y = 303.490DVI_max − 4.354B7_diss + 7.555 | 0.39 | 50.79 | 39.21 | ||
| Lowland meadow | Linear model | y = 17.549RVI_max − 1.6352 | 0.81 | 27.6 | 18.41 | |
| SMLR | y = 12.871RVI_max + 388.769GEMI − 122.922OSAVI_mean − 201.262 | 0.85 | 24.74 | 17.47 | ||
| Alpine meadow | Linear model | y = 7.4813CVI_max + 36.861 | 0.26 | 51.72 | 38.26 | |
| SMLR | y = 19.702CVI_max + 224.555NPCI + 0.836PRE − 366.166NDVI_max − 15.177CVI_mean − 92.855RVI54_mean + 211.123 | 0.55 | 40.15 | 32.47 | ||
| Mountain meadow | Linear model | y = −971.59B7_mean + 233.51 | 0.24 | 49.76 | 39.77 | |
| SMLR | y = −478.547B7_mean + 66.282ARVI_mean + 5.052CVI_max + 73.026 | 0.33 | 46.57 | 36.82 | ||
| Shrubby grassland | Exponential model | y = 29.277e0.0086PRE | 0.24 | 59.46 | 42.02 | |
| SMLR | y = 0.676PRE + 169.046MSAVI_mean − 45.386 | 0.26 | 58.77 | 42.01 | ||
| Temperate desert | Linear model | y = 5.3626TVI_mean + 7.4144 | 0.17 | 15.58 | 9.75 | |
| SMLR | y = 12.882TVI_mean − 86.195MSRI_max + 14.830 | 0.23 | 15.09 | 9.74 | ||
| Grassland overall | Power model | y = 55.774MSRI_mean0.8781 | 0.46 | 49.23 | 35.47 | |
| SMLR | y = 0.445PRE + 4.014CVI_max − 64.729RVI54_mean − 39.921OSAVI + 78.894 | 0.49 | 47.63 | 35.86 | ||
| BGBC | Temperate steppe | Linear model | y = −697.08RVI64_mean + 889.71 | 0.35 | 193.65 | 143.04 |
| SMLR | y = −481.736RVI64_mean + 73.232CVI + 630.227 | 0.41 | 184.57 | 135.75 | ||
| Alpine meadow steppe | Power model | y = 2573.9DVI_max1.4128 | 0.32 | 424.59 | 329.69 | |
| SMLR | y = 2400.609DVI_max − 34.443B7_diss + 59.762 | 0.39 | 401.78 | 310.13 | ||
| Lowland meadow | Linear model | y = 17.549RVI_max−1.6352 | 0.81 | 174.18 | 116.14 | |
| SMLR | y = 81.215RVI_max + 2453.132GEMI − 775.637OSAVI_mean − 1269.966 | 0.85 | 156.12 | 110.22 | ||
| Alpine meadow | Linear model | y = 54.109CVI_max + 217.89 | 0.30 | 337.65 | 248.15 | |
| SMLR | y = 57.284CVI_max + 1623.066NPCI + 5.950PRE − 2119.996NDVI_mean − 617.581RVI54_mean + 876.021 | 0.53 | 275.92 | 217.83 | ||
| Mountain meadow | Linear model | y = −3400.6B7_mean + 817.3 | 0.24 | 174.16 | 139.2 | |
| SMLR | y = −1674.915B7_mean + 231.986ARVI_mean + 17.682CVI_max + 255.592 | 0.33 | 163.00 | 128.86 | ||
| Shrubby grassland | Exponential model | y = 129.4e0.0086PRE | 0.24 | 262.82 | 185.74 | |
| SMLR | y = 2.989PRE + 747.183MSAVI_mean − 200.606 | 0.26 | 259.78 | 185.66 | ||
| Temperate desert | Linear model | y = 42.311TVI_mean + 58.5 | 0.17 | 122.91 | 76.9 | |
| SMLR | y = 101.638TVI_mean − 680.077MSRI_max + 117.006 | 0.23 | 119.06 | 76.85 | ||
| Grassland overall | Power model | y = 153.17CVI_max0.5949 | 0.39 | 306.92 | 214.57 | |
| SMLR | y = 33.563CVI_max + 1.917Pre + 654.152NPCI − 349.102RVI54_mean − 266.929SAVI + 259.836B3_asm + 643.718 | 0.46 | 289.64 | 199.12 | ||
| DOMC | Temperate steppe | Power model | y = 18.022MSRI1.0985 | 0.26 | 30.8 | 18.73 |
| SMLR | y = 36.874MSRI + 64.046B1_corr + 23.053MSRI_mean − 22.588 | 0.38 | 28.11 | 17.73 | ||
| Alpine meadow steppe | Exponential model | y = 2.3063e1.5749gray_asm | 0.15 | 40.73 | 17.1 | |
| SMLR | y = 359.345gray_asm − 159.242B4_asm − 16.509 | 0.27 | 37.95 | 19.59 | ||
| Lowland meadow | Exponential model | y = 14.032e − 0.565B4_corr | 0.10 | 230.12 | 84.44 | |
| SMLR | y = −688.393B4_corr + 442.703B5_corr + 1.761B6_con + 1.028 | 0.22 | 214.24 | 99.82 | ||
| Alpine meadow | Exponential model | y = 1.8248e1.0664RVI54_mean | 0.10 | 30.41 | 15.51 | |
| SMLR | y = 135.870RVI54_mean + 29.132MSRI_mean − 24.257RVI54−129.084 | 0.20 | 28.72 | 16.51 | ||
| Mountain meadow | Linear model | y = 2.2099PET − 164.31 | 0.19 | 57.32 | 30.56 | |
| SMLR | y = 2.509PET + 441.294gray_asm + 677.258NLI_mean − 94.898ARVI−259.297 | 0.38 | 49.99 | 31.91 | ||
| Shrubby grassland | Exponential model | y = 8.0319e1.9931GNDVI | 0.11 | 48.52 | 32.95 | |
| SMLR | y = 45.388GNDVI + 2.517PET + 9.792CVI_mean−270.63 | 0.29 | 43.50 | 27.29 | ||
| Temperate desert | Linear model | y = 1.4652TVI + 2.5711 | 0.18 | 5.33 | 3.35 | |
| SMLR | y = 1.520TVI + 0.429PET + 0.677B5_diss − 16.472RVI64_mean − 63.616NLI_mean − 30.521 | 0.50 | 4.16 | 2.86 | ||
| Grassland overall | Logarithmic model | y = −32.91ln(DEM) + 276.05 | 0.02 | 99.92 | 26.57 | |
| SMLR | y = −0.026DEM − 477.687B7 + 427.872B6_max − 85.860B3_corr + 62.912B5_corr + 36.019 | 0.10 | 95.59 | 32.35 | ||
| SOC | Temperate steppe | Linear model | y = 0.8149CVI_max + 7.9499 | 0.33 | 3.41 | 2.37 |
| SMLR | y = 0.419CVI_max − 1.123TEM−46.805B3_mean + 0.177PET + 9.467 | 0.55 | 2.79 | 1.96 | ||
| Alpine meadow steppe | Logarithmic model | y = 12.827ln(GNDVI_max) + 24.142 | 0.23 | 5.12 | 4.12 | |
| SMLR | y = 14.562GNDVI_max + 0.262B1_diss − 51.899B3_mean + 12.651 | 0.36 | 4.65 | 3.61 | ||
| Lowland meadow | Linear model | y = −0.9589TEM + 21.47 | 0.66 | 2.33 | 1.36 | |
| SMLR | y = −0.759TEM − 32.076B4_mean + 0.005B6_var + 4.306RVI54 + 19.843 | 0.87 | 1.43 | 0.89 | ||
| Alpine meadow | Logarithmic model | y = −8.083ln(B3) − 0.7039 | 0.28 | 4.45 | 3.48 | |
| SMLR | y = −55.73B3 − 51.418B3_mean + 29.122 | 0.35 | 4.23 | 3.28 | ||
| Mountain meadow | Power model | y = 104.14TEM − 0.812 | 0.57 | 3.23 | 2.61 | |
| SMLR | y = −1.357TEM − 3.828RVI54 + 12.931B3 + 32.904 | 0.60 | 3.13 | 2.43 | ||
| Shrubby grassland | Exponential model | y = 5.4968e0.0003DEM | 0.19 | 2.23 | 1.30 | |
| SMLR | y = 0.002DEM + 0.116TVI_max + 3.466 | 0.23 | 2.17 | 1.31 | ||
| Temperate desert | Logarithmic model | y = 3.6734ln(NDVI_max) + 11.503 | 0.72 | 1.15 | 0.86 | |
| SMLR | y = 15.547NDVI_max − 0.029PET + 0.052PER + 4.442 | 0.79 | 1.01 | 0.72 | ||
| Grassland overall | Linear model | y = 0.0065DEM − 3.061 | 0.60 | 4.98 | 3.49 | |
| SMLR | y = 0.004DEM − 18.295B7 − 10.671NDVI + 26.994GNDVI_mean − 1.843 | 0.81 | 3.46 | 2.54 |
| Carbon Density Components | Grassland Types | Model | Optimal Kernel Function | Optimal Bandwidth | R2 | RMSE | MAE |
|---|---|---|---|---|---|---|---|
| AGBC | Temperate steppe | GWR | Adaptive Bisquare | AIC | 0.443 | 32.53 | 23.15 |
| MGWR | Fixed Gaussian | AIC | 0.999 | 0.98 | 0.25 | ||
| Alpine meadow steppe | GWR | Adaptive Bisquare | AIC | 0.422 | 49.49 | 38.91 | |
| MGWR | Adaptive Bisquare | AIC | 0.425 | 49.38 | 38.31 | ||
| Lowland meadow | GWR | Fixed Gaussian | AICC | 0.901 | 20.02 | 15.49 | |
| MGWR | Fixed Gaussian | AICC | 0.915 | 18.48 | 14.56 | ||
| Alpine meadow | GWR | Adaptive Bisquare | AIC | 0.689 | 33.42 | 26.28 | |
| MGWR | Fixed Gaussian | AIC | 0.999997 | 0.10 | 0.02 | ||
| Mountain meadow | GWR | Adaptive Bisquare | AIC | 0.458 | 41.97 | 31.99 | |
| MGWR | Fixed Gaussian | CV | 0.592 | 36.40 | 26.99 | ||
| Shrubby grassland | GWR | Adaptive Bisquare | CV | 0.331 | 55.94 | 38.63 | |
| MGWR | Adaptive Bisquare | CV | 0.315 | 56.63 | 39.91 | ||
| Temperate desert | GWR | Adaptive Bisquare | AIC | 0.247 | 14.88 | 9.56 | |
| MGWR | Adaptive Bisquare | AIC | 0.257 | 14.78 | 8.86 | ||
| Grassland overall | GWR | Adaptive Bisquare | AIC | 0.674 | 38.08 | 26.71 | |
| MGWR | Fixed Gaussian | CV | 0.661 | 38.85 | 26.99 | ||
| BGBC | Temperate steppe | GWR | Adaptive Bisquare | AIC | 0.443 | 178.90 | 127.31 |
| MGWR | Fixed Gaussian | AIC | 0.999 | 5.36 | 1.37 | ||
| Alpine meadow steppe | GWR | Adaptive Bisquare | AIC | 0.422 | 391.49 | 307.76 | |
| MGWR | Adaptive Bisquare | AIC | 0.425 | 390.63 | 303.06 | ||
| Lowland meadow | GWR | Fixed Gaussian | AICC | 0.901 | 126.33 | 97.73 | |
| MGWR | Fixed Gaussian | AICC | 0.915 | 116.63 | 91.88 | ||
| Alpine meadow | GWR | Adaptive Bisquare | AIC | 0.715 | 214.79 | 171.51 | |
| MGWR | Fixed Gaussian | AIC | 0.999 | 1.45 | 0.29 | ||
| Mountain meadow | GWR | Adaptive Bisquare | AIC | 0.458 | 146.89 | 111.96 | |
| MGWR | Fixed Gaussian | CV | 0.592 | 127.41 | 94.47 | ||
| Shrubby grassland | GWR | Adaptive Bisquare | CV | 0.331 | 247.24 | 170.76 | |
| MGWR | Adaptive Bisquare | CV | 0.315 | 250.30 | 176.42 | ||
| Temperate desert | GWR | Adaptive Bisquare | AIC | 0.247 | 117.40 | 75.45 | |
| MGWR | Adaptive Bisquare | AIC | 0.257 | 116.61 | 69.86 | ||
| Grassland overall | GWR | Adaptive Bisquare | AIC | 0.662 | 229.15 | 157.20 | |
| MGWR | Fixed Gaussian | CV | 0.727 | 205.91 | 141.73 | ||
| DOMC | Temperate steppe | GWR | Fixed Gaussian | CV | 0.646 | 21.31 | 14.07 |
| MGWR | Fixed Gaussian | CV | 0.643 | 21.40 | 14.20 | ||
| Alpine meadow steppe | GWR | Fixed Gaussian | AICC | 0.897 | 14.24 | 9.20 | |
| MGWR | Fixed Gaussian | AICC | 0.879 | 15.41 | 9.36 | ||
| Lowland meadow | GWR | Adaptive Bisquare | AICC | 0.533 | 165.32 | 81.69 | |
| MGWR | Fixed Gaussian | CV | 0.918 | 69.30 | 32.43 | ||
| Alpine meadow | GWR | Adaptive Bisquare | AIC | 0.574 | 20.90 | 12.69 | |
| MGWR | Adaptive Bisquare | AICC | 0.231 | 28.18 | 16.94 | ||
| Mountain meadow | GWR | Adaptive Bisquare | AICC | 0.888 | 21.27 | 12.01 | |
| MGWR | Fixed Gaussian | CV | 0.893 | 20.86 | 12.42 | ||
| Shrubby grassland | GWR | Fixed Gaussian | CV | 0.422 | 39.12 | 24.67 | |
| MGWR | Fixed Gaussian | AIC | 0.999 | 0.12 | 0.04 | ||
| Temperate desert | GWR | Fixed Gaussian | AICC | 0.729 | 3.06 | 2.38 | |
| MGWR | Fixed Gaussian | AICC | 0.672 | 3.37 | 2.57 | ||
| Grassland overall | GWR | Fixed Gaussian | AICC | 0.599 | 63.95 | 29.29 | |
| MGWR | Fixed Gaussian | AICC | 0.385 | 79.22 | 35.10 | ||
| SOC | Temperate steppe | GWR | Adaptive Bisquare | AIC | 0.699 | 2.29 | 1.70 |
| MGWR | Fixed Gaussian | AICC | 0.604 | 2.63 | 1.95 | ||
| Alpine meadow steppe | GWR | Fixed Gaussian | AICC | 0.743 | 2.95 | 2.34 | |
| MGWR | Fixed Gaussian | AICC | 0.696 | 3.21 | 2.59 | ||
| Lowland meadow | GWR | Fixed Gaussian | AICC | 0.992 | 0.36 | 0.26 | |
| MGWR | Adaptive Bisquare | BIC | 0.922 | 1.11 | 0.80 | ||
| Alpine meadow | GWR | Adaptive Bisquare | AIC | 0.463 | 3.85 | 3.05 | |
| MGWR | Adaptive Bisquare | AIC | 0.391 | 4.10 | 3.19 | ||
| Mountain meadow | GWR | Adaptive Bisquare | AIC | 0.627 | 3.01 | 2.37 | |
| MGWR | Adaptive Bisquare | CV | 0.622 | 3.03 | 2.39 | ||
| Shrubby grassland | GWR | Adaptive Bisquare | AIC | 0.326 | 2.03 | 1.23 | |
| MGWR | Adaptive Bisquare | AICC | 0.25 | 2.14 | 1.34 | ||
| Temperate desert | GWR | Adaptive Bisquare | AICC | 0.794 | 0.99 | 0.71 | |
| MGWR | Adaptive Bisquare | AICC | 0.789 | 1.00 | 0.72 | ||
| Grassland overall | GWR | Adaptive Bisquare | AIC | 0.916 | 2.26 | 1.64 | |
| MGWR | Fixed Gaussian | CV | 0.893 | 2.57 | 1.86 |
| Carbon Density Components | Grassland Types | RF_ALL | RF_RFE | RF_Boruta | ||||||
|---|---|---|---|---|---|---|---|---|---|---|
| R2 | RMSE | MAE | R2 | RMSE | MAE | R2 | RMSE | MAE | ||
| AGBC | Temperate steppe | 0.759 | 16.8 | 14.4 | 0.735 | 19.3 | 16.3 | 0.538 | 35.5 | 26.6 |
| Alpine meadow steppe | 0.383 | 48.5 | 40.7 | 0.460 | 45.4 | 36.2 | 0.409 | 46.3 | 37.2 | |
| Lowland meadow | 0.852 | 29.4 | 21 | 0.934 | 19.8 | 17.3 | 0.908 | 23 | 19.9 | |
| Alpine meadow | 0.514 | 43.6 | 35.6 | 0.733 | 34.4 | 26.7 | 0.569 | 39.2 | 32.1 | |
| Mountain meadow | 0.117 | 58.1 | 45.9 | 0.278 | 44.5 | 33 | 0.082 | 53.5 | 41.4 | |
| Shrubby grassland | 0.310 | 55.1 | 46.1 | 0.407 | 48.3 | 38.5 | 0.389 | 60.5 | 40.8 | |
| Temperate desert | 0.237 | 11.2 | 9.3 | 0.427 | 10.4 | 8.6 | 0.333 | 12.2 | 8.5 | |
| Grassland overall | 0.486 | 47.6 | 33.8 | 0.571 | 47.1 | 31.6 | 0.547 | 45.8 | 31.2 | |
| BGBC | Temperate steppe | 0.405 | 221 | 166 | 0.585 | 187 | 145 | 0.550 | 195 | 149 |
| Alpine meadow steppe | 0.240 | 470 | 356 | 0.331 | 393 | 330 | 0.331 | 330 | 393 | |
| Lowland meadow | 0.844 | 180 | 131 | 0.879 | 165 | 122 | 0.867 | 168 | 130 | |
| Alpine meadow | 0.505 | 277 | 226 | 0.638 | 231 | 191 | 0.666 | 224 | 180 | |
| Mountain meadow | 0.124 | 203 | 159 | 0.134 | 196 | 141 | 0.104 | 207 | 165 | |
| Shrubby grassland | 0.307 | 288 | 234 | 0.352 | 278 | 222 | 0.287 | 288 | 229 | |
| Temperate desert | 0.209 | 89.6 | 75.8 | 0.497 | 73.5 | 56 | 0.251 | 95.3 | 71 | |
| Grassland overall | 0.436 | 281 | 186 | 0.454 | 299 | 207 | 0.48 | 291 | 203 | |
| DOMC | Temperate steppe | 0.292 | 28.4 | 21.3 | 0.488 | 25.1 | 19 | 0.478 | 25.1 | 14.9 |
| Alpine meadow steppe | 0.006 | 28.2 | 15.2 | 0.008 | 60.6 | 28.4 | 0.366 | 19.6 | 8.3 | |
| Lowland meadow | 0.124 | 117 | 68 | 0.074 | 23.8 | 20.6 | 0.151 | 51.0 | 31.9 | |
| Alpine meadow | 0.045 | 22.6 | 15.2 | 0.211 | 16.9 | 9.5 | 0.183 | 13.7 | 11.0 | |
| Mountain meadow | 0.065 | 19.6 | 15 | 0.372 | 11.2 | 8.3 | 0.41 | 9.8 | 7.5 | |
| Shrubby grassland | 0.108 | 51.1 | 30.9 | 0.207 | 48.7 | 22.6 | 0.337 | 45.5 | 21.7 | |
| Temperate desert | 0.134 | 2.9 | 2.3 | 0.147 | 2.6 | 1.8 | 0.361 | 2.4 | 1.9 | |
| Grassland overall | 0.244 | 38.6 | 22.0 | 0.543 | 35.7 | 18.2 | 0.316 | 112 | 27.8 | |
| SOC | Temperate steppe | 0.205 | 4 | 2.7 | 0.540 | 3.2 | 2.0 | 0.525 | 3.3 | 2.2 |
| Alpine meadow steppe | 0.449 | 4.3 | 3.4 | 0.726 | 3.4 | 2.9 | 0.775 | 3.4 | 2.9 | |
| Lowland meadow | 0.899 | 1.2 | 0.9 | 0.923 | 1 | 0.7 | 0.928 | 0.9 | 0.7 | |
| Alpine meadow | 0.511 | 4.0 | 3.0 | 0.481 | 3.9 | 2.9 | 0.542 | 3.7 | 2.8 | |
| Mountain meadow | 0.42 | 4.2 | 3.2 | 0.461 | 4.0 | 3.2 | 0.533 | 4.0 | 3.2 | |
| Shrubby grassland | 0.259 | 3.2 | 1.9 | 0.255 | 3.2 | 1.8 | 0.314 | 3.1 | 1.8 | |
| Temperate desert | 0.741 | 1.1 | 0.9 | 0.750 | 1.0 | 0.8 | 0.800 | 1.0 | 0.8 | |
| Grassland overall | 0.859 | 2.9 | 2.0 | 0.863 | 2.9 | 2.1 | 0.870 | 2.8 | 1.9 | |
| Carbon Density Components | Grassland Types | Optimal Model | R2 | RMSE | MAE |
|---|---|---|---|---|---|
| AGBC | Temperate steppe | MGWR | 0.9994 | 0.98 | 0.25 |
| Alpine meadow steppe | RF_RFE | 0.443 | 46.30 | 37.90 | |
| Lowland meadow | RF_RFE | 0.934 | 19.80 | 17.30 | |
| Alpine meadow | MGWR | 0.999997 | 0.10 | 0.02 | |
| Mountain meadow | MGWR | 0.592 | 36.40 | 26.99 | |
| Shrubby grassland | RF_RFE | 0.407 | 48.30 | 38.50 | |
| Temperate desert | RF_RFE | 0.434 | 10.40 | 8.42 | |
| Grasslands overall | GWR | 0.674 | 38.11 | 26.34 | |
| BGBC | Temperate steppe | MGWR | 0.9994 | 5.36 | 1.37 |
| Alpine meadow steppe | MGWR | 0.425 | 390.63 | 303.06 | |
| Lowland meadow | MGWR | 0.915 | 116.63 | 91.88 | |
| Alpine meadow | MGWR | 0.999987 | 1.45 | 0.29 | |
| Mountain meadow | MGWR | 0.592 | 127.41 | 94.47 | |
| Shrubby grassland | RF_RFE | 0.352 | 278 | 222 | |
| Temperate desert | RF_RFE | 0.497 | 73.5 | 56 | |
| Grasslands overall | MGWR | 0.727 | 205.91 | 141.73 | |
| DOMC | Temperate steppe | GWR | 0.646 | 21.31 | 14.07 |
| Alpine meadow steppe | GWR | 0.897 | 14.24 | 9.19 | |
| Lowland meadow | MGWR | 0.918 | 69.30 | 32.44 | |
| Alpine meadow | GWR | 0.574 | 20.99 | 12.69 | |
| Mountain meadow | MGWR | 0.893 | 20.86 | 12.42 | |
| Shrubby grassland | MGWR | 0.999994 | 0.12 | 0.04 | |
| Temperate desert | GWR | 0.729 | 3.06 | 2.38 | |
| Grasslands overall | GWR | 0.599 | 63.95 | 29.29 | |
| SOC | Temperate steppe | GWR | 0.699 | 2.29 | 1.70 |
| Alpine meadow steppe | GWR | 0.743 | 2.96 | 2.34 | |
| Lowland meadow | GWR | 0.992 | 0.36 | 0.26 | |
| Alpine meadow | RF_Boruta | 0.542 | 3.69 | 2.84 | |
| Mountain meadow | GWR | 0.627 | 3.01 | 2.37 | |
| Shrubby grassland | GWR | 0.326 | 2.03 | 1.23 | |
| Temperate desert | GWR | 0.794 | 0.99 | 0.71 | |
| Grasslands overall | GWR | 0.916 | 2.26 | 1.64 |
| Carbon Density Components | Stratification | Maximum (kg C/m2) | Minimum (kg C/m2) | Mean (kg C/m2) | Coefficient of Variation (%) | Standardized Residuals (−2 and 2) |
|---|---|---|---|---|---|---|
| AGBC | Stratified | 0.212 | 0.009 | 0.079 | 68.49% | 94.63% |
| BGBC | Stratified | 1.431 | 0.027 | 0.443 | 80.06% | 92.88% |
| DOMC | Stratified | 0.172 | 0.0007 | 0.029 | 330.86% | 95.58% |
| SOC | Overall (without distinguishing grassland types) | 32.991 | 0.866 | 12.199 | 60.87% | 93.67% |
Disclaimer/Publisher’s Note: The statements, opinions and data contained in all publications are solely those of the individual author(s) and contributor(s) and not of MDPI and/or the editor(s). MDPI and/or the editor(s) disclaim responsibility for any injury to people or property resulting from any ideas, methods, instructions or products referred to in the content. |
© 2025 by the authors. Licensee MDPI, Basel, Switzerland. This article is an open access article distributed under the terms and conditions of the Creative Commons Attribution (CC BY) license (https://creativecommons.org/licenses/by/4.0/).
Share and Cite
Wu, L.; Du, J.; Liu, X.; Li, L.; Zhu, X.; Chen, X.; Gong, Y.; Li, Y. Comparative Analysis of Carbon Density Simulation Methods in Grassland Ecosystems: A Case Study from Gansu Province, China. Remote Sens. 2025, 17, 172. https://doi.org/10.3390/rs17010172
Wu L, Du J, Liu X, Li L, Zhu X, Chen X, Gong Y, Li Y. Comparative Analysis of Carbon Density Simulation Methods in Grassland Ecosystems: A Case Study from Gansu Province, China. Remote Sensing. 2025; 17(1):172. https://doi.org/10.3390/rs17010172
Chicago/Turabian StyleWu, Luyao, Jiaqiang Du, Xinying Liu, Lijuan Li, Xiaoqian Zhu, Xiya Chen, Yue Gong, and Yushuo Li. 2025. "Comparative Analysis of Carbon Density Simulation Methods in Grassland Ecosystems: A Case Study from Gansu Province, China" Remote Sensing 17, no. 1: 172. https://doi.org/10.3390/rs17010172
APA StyleWu, L., Du, J., Liu, X., Li, L., Zhu, X., Chen, X., Gong, Y., & Li, Y. (2025). Comparative Analysis of Carbon Density Simulation Methods in Grassland Ecosystems: A Case Study from Gansu Province, China. Remote Sensing, 17(1), 172. https://doi.org/10.3390/rs17010172

