Leaf Water Potential in a Mixed Mediterranean Forest from Machine Learning and Unmanned Aerial Vehicle (UAV)-Based Hyperspectral Imaging
Abstract
1. Introduction
2. Data and Methods
2.1. Study Site and Experimental Design
2.2. Field Measurements
2.3. UAV Platform and Spectral Data Acquisition
2.4. Spectral Data Processing
3. Predictive Models
3.1. Spectral Indices
3.2. Machine Learning Algorithms
3.3. Statistical Analysis
4. Results
4.1. Leaf Water Potential Dynamics and Correlation with Spectral Indices
4.2. Machine Learning Models
4.3. Averaging Data at the Plot Scale
5. Discussion
6. Summary and Conclusions
Supplementary Materials
Author Contributions
Funding
Data Availability Statement
Acknowledgments
Conflicts of Interest
References
- Allen, C.D.; Macalady, A.K.; Chenchouni, H.; Bachelet, D.; McDowell, N.; Vennetier, M.; Kitzberger, T.; Rigling, A.; Breshears, D.D.; Hogg, E.H.; et al. A global overview of drought and heat-induced tree mortality reveals emerging climate change risks for forests. For. Ecol. Manag. 2010, 259, 660–684. [Google Scholar] [CrossRef]
- IPCC. Climate Change 2023: Synthesis Report. Contribution of Working Groups I, II and III to the Sixth Assessment Report of the Intergovernmental Panel on Climate Change; Core Writing Team, Lee, H., Romero, J., Eds.; IPCC: Geneva, Switzerland, 2023. [Google Scholar]
- Klein, T.; Cahanovitc, R.; Sprintsin, M.; Herr, N.; Schiller, G. A nation-wide analysis of tree mortality under climate change: Forest loss and its causes in Israel 1948–2017. For. Ecol. Manag. 2019, 432, 840–849. [Google Scholar] [CrossRef]
- Patsiou, T.S.; Shestakova, T.A.; Klein, T.; di Matteo, G.; Sbay, H.; Chambel, M.R.; Zas, R.; Voltas, J. Intraspecific responses to climate reveal nonintuitive warming impacts on a widespread thermophilic conifer. New Phytol. 2020, 228, 525–540. [Google Scholar] [CrossRef]
- Hartmann, H.; Moura, C.F.; Anderegg, W.R.L.; Ruehr, N.K.; Salmon, Y.; Allen, C.D.; Arndt, S.K.; Breshears, D.D.; Davi, H.; Galbraith, D.; et al. Research frontiers for improving our understanding of drought-induced tree and forest mortality. New Phytol. 2018, 218, 15–28. [Google Scholar] [CrossRef] [PubMed]
- Jarvis, P.G. The Interpretation of the Variations in Leaf Water Potential and Stomatal Conductance Found in Canopies in the Field. Philos. Trans. R. Soc. Lond. B. Biol. Sci. 1976, 273, 593–610. [Google Scholar]
- Sack, L.; Ball, M.; Brodersen, C.; Davis, S.; Des Marais, D.; Donovan, L.; Givnish, T.; Hacke, U.; Huxman, T.; Jansen, S.; et al. Plant hydraulics as a central hub integrating plant and ecosystem function: Meeting report for “Emerging Frontiers in Plant Hydraulics” (Washington, DC, May 2015). Plant. Cell Environ. 2016, 39, 2085–2094. [Google Scholar] [CrossRef] [PubMed]
- Scholander, P.F.; Hammel, H.T.; Bradstreet, E.D.; Hemmingsen, E.A. Sap pressure in vascular plants. Science 1965, 148, 339–346. [Google Scholar] [CrossRef] [PubMed]
- Kerr, J.T.; Ostrovsky, M. From space to species: Ecological applications for remote sensing. Trends Ecol. Evol. 2003, 18, 299–305. [Google Scholar] [CrossRef]
- Konings, A.G.; Rao, K.; Steele-Dunne, S.C. Macro to micro: Microwave remote sensing of plant water content for physiology and ecology. New Phytol. 2019, 223, 1166–1172. [Google Scholar] [CrossRef]
- Asner, G.P.; Martin, R.E.; Anderson, C.B.; Kryston, K.; Vaughn, N.; Knapp, D.E.; Bentley, L.P.; Shenkin, A.; Salinas, N.; Sinca, F.; et al. Scale dependence of canopy trait distributions along a tropical forest elevation gradient. New Phytol. 2017, 214, 973–988. [Google Scholar] [CrossRef]
- Zarco-Tejada, P.J.; Rueda, C.A.; Ustin, S.L. Water content estimation in vegetation with MODIS reflectance data and model inversion methods. Remote Sens. Environ. 2003, 85, 109–124. [Google Scholar] [CrossRef]
- Ullah, S.; Skidmore, A.K.; Naeem, M.; Schlerf, M. An accurate retrieval of leaf water content from mid to thermal infrared spectra using continuous wavelet analysis. Sci. Total Environ. 2012, 437, 145–152. [Google Scholar] [CrossRef]
- Helman, D.; Yungstein, Y.; Mulero, G.; Michael, Y. High-Throughput Remote Sensing of Vertical Green Living Walls (VGWs) in Workplaces. Remote Sens. 2022, 14, 3485. [Google Scholar] [CrossRef]
- Konings, A.G.; Gentine, P. Global variations in ecosystem-scale isohydricity. Glob. Change Biol. 2017, 23, 891–905. [Google Scholar] [CrossRef] [PubMed]
- Anderson, L.O.; Malhi, Y.; Aragão, L.E.O.C.; Ladle, R.; Arai, E.; Barbier, N.; Phillips, O. Remote sensing detection of droughts in Amazonian forest canopies. New Phytol. 2010, 187, 733–750. [Google Scholar] [CrossRef] [PubMed]
- Ceccato, P.; Flasse, S.; Tarantola, S.; Jacquemoud, S.; Grégoire, J.-M. Detecting vegetation leaf water content using reflectance in the optical domain. Remote Sens. Environ. 2001, 77, 22–33. [Google Scholar] [CrossRef]
- Coops, N.C.; Stone, C.; Culvenor, D.S.; Chisholm, L.A.; Merton, R.N. Chlorophyll content in eucalypt vegetation at the leaf and canopy scales as derived from high resolution spectral data. Tree Physiol. 2003, 23, 23–31. [Google Scholar] [CrossRef] [PubMed]
- Helman, D.; Mussery, A. Using Landsat satellites to assess the impact of check dams built across erosive gullies on vegetation rehabilitation. Sci. Total Environ. 2020, 730, 138873. [Google Scholar] [CrossRef] [PubMed]
- Roberts, D.A.; Barbara, S.; Roth, K.; Perroy, R.L. Spectral and Spatial Methods of Hyperspectral Image Analysis for Estimation of Biophysical and Biochemical Properties of Agricultural Crops; CRC Press: Boca Raton, FL, USA, 2011; ISBN 6087858334. [Google Scholar] [CrossRef]
- Thenkabail, P.S.; Lyon, J.G.; Huete, A. (Eds.) Hyperspectral Indices and Image Classifications for Agriculture and Vegetation, 2nd ed.; CRC Press: Boca Raton, FL, USA, 2018. [Google Scholar] [CrossRef]
- Raj, R.; Walker, J.P.; Vinod, V.; Pingale, R.; Naik, B.; Jagarlapudi, A. Leaf water content estimation using top-of-canopy airborne hyperspectral data. Int. J. Appl. Earth Obs. Geoinf. 2021, 102, 102393. [Google Scholar] [CrossRef]
- Peñuelas, J.; Fillla, I.; Serrano, L.; Savé, R. Cell wall elasticity and Water Index (R970 nm/R900 nm) in wheat under different nitrogen availabilities. Int. J. Remote Sens. 1996, 17, 373–382. [Google Scholar] [CrossRef]
- Stimson, H.C.; Breshears, D.D.; Ustin, S.L.; Kefauver, S.C. Spectral sensing of foliar water conditions in two co-occurring conifer species: Pinus edulis and Juniperus monosperma. Remote Sens. Environ. 2005, 96, 108–118. [Google Scholar] [CrossRef]
- Italiano, S.S.P.; Julio Camarero, J.; Borghetti, M.; Colangelo, M.; Pizarro, M.; Ripullone, F. Radial growth, wood anatomical traits and remote sensing indexes reflect different impacts of drought on Mediterranean forests. For. Ecol. Manag. 2023, 548, 121406. [Google Scholar] [CrossRef]
- Othman, Y.; Steele, C.; VanLeeuwen, D.; Heerema, R.; Bawazir, S.; St. Hilaire, R. Remote sensing used to detect moisture status of pecan orchards grown in a desert environment. Int. J. Remote Sens. 2014, 35, 949–966. [Google Scholar] [CrossRef]
- Wang, Z.; Sun, Z.; Lu, S. Optimal vegetation index for assessing leaf water potential using reflectance factors from the adaxial and abaxial surfaces. Comput. Electron. Agric. 2020, 172, 105337. [Google Scholar] [CrossRef]
- Li, J.; Wijewardane, N.K.; Ge, Y.; Shi, Y. Improved chlorophyll and water content estimations at leaf level with a hybrid radiative transfer and machine learning model. Comput. Electron. Agric. 2023, 206, 107669. [Google Scholar] [CrossRef]
- Li, W.; Pacheco-Labrador, J.; Migliavacca, M.; Miralles, D.; Hoek van Dijke, A.; Reichstein, M.; Forkel, M.; Zhang, W.; Frankenberg, C.; Panwar, A.; et al. Widespread and complex drought effects on vegetation physiology inferred from space. Nat. Commun. 2023, 14, 4640. [Google Scholar] [CrossRef] [PubMed]
- Sadiq, M.A.; Sarkar, S.K.; Raisa, S.S. Meteorological drought assessment in northern Bangladesh: A machine learning-based approach considering remote sensing indices. Ecol. Indic. 2023, 157, 111233. [Google Scholar] [CrossRef]
- Virnodkar, S.S.; Pachghare, V.K.; Patil, V.C.; Jha, S.K. Remote sensing and machine learning for crop water stress determination in various crops: A critical review. Precis. Agric. 2020, 21, 1121–1155. [Google Scholar] [CrossRef]
- Peñuelas, J.; Sardans, J.; Filella, I.; Estiarte, M.; Llusià, J.; Ogaya, R.; Carnicer, J.; Bartrons, M.; Rivas-Ubach, A.; Grau, O.; et al. Impacts of Global Change on Mediterranean Forests and Their Services. Forests 2017, 8, 463. [Google Scholar] [CrossRef]
- Rog, I.; Tague, C.; Jakoby, G.; Megidish, S.; Yaakobi, A.; Wagner, Y.; Klein, T. Interspecific Soil Water Partitioning as a Driver of Increased Productivity in a Diverse Mixed Mediterranean Forest. J. Geophys. Res. Biogeosci. 2021, 126, e2021JG006382. [Google Scholar] [CrossRef]
- Lapidot, O.; Ignat, T.; Rud, R.; Rog, I.; Alchanatis, V.; Klein, T. Use of thermal imaging to detect evaporative cooling in coniferous and broadleaved tree species of the Mediterranean maquis. Agric. For. Meteorol. 2019, 271, 285–294. [Google Scholar] [CrossRef]
- Amir, S.; Rechtman, O. The development of forest policy in Israel in the 20th century: Implications for the future. For. Policy Econ. 2006, 8, 35–51. [Google Scholar] [CrossRef]
- Fassnacht, F.E.; Latifi, H.; Stereńczak, K.; Modzelewska, A.; Lefsky, M.; Waser, L.T.; Straub, C.; Ghosh, A. Review of studies on tree species classification from remotely sensed data. Remote Sens. Environ. 2016, 186, 64–87. [Google Scholar] [CrossRef]
- Pozner, E.; Bar-On, P.; Livne-Luzon, S.; Moran, U.; Tsamir-Rimon, M.; Dener, E.; Schwartz, E.; Rotenberg, E.; Tatarinov, F.; Preisler, Y.; et al. A hidden mechanism of forest loss under climate change: The role of drought in eliminating forest regeneration at the edge of its distribution. For. Ecol. Manag. 2022, 506, 119966. [Google Scholar] [CrossRef]
- Rog, I.; Hilman, B.; Fox, H.; Yalin, D.; Qubaja, R.; Klein, T. Increased belowground tree carbon allocation in a mature mixed forest in a dry versus a wet year. Glob. Change Biol. 2024, 30, e17172. [Google Scholar] [CrossRef]
- Israel Meteorological Service. Available online: http://www.ims.gov.il (accessed on 29 December 2024).
- Sternberg, M.; Golodets, C.; Gutman, M.; Perevolotsky, A.; Kigel, J.; Henkin, Z. No precipitation legacy effects on above-ground net primary production and species diversity in grazed Mediterranean grassland: A 21-year experiment. J. Veg. Sci. 2017, 28, 260–269. [Google Scholar] [CrossRef]
- Boyer, J.S. Leaf Water Potentials Measured with a Pressure Chamber. Plant Physiol. 1967, 42, 133–137. [Google Scholar] [CrossRef] [PubMed]
- Ritchie, G.A.; Hinckley, T.M. The Pressure Chamber as an Instrument for Ecological Research. Adv. Ecol. Res. 1975, 9, 165–254. [Google Scholar] [CrossRef]
- Savitzky, A.; Golay, M.J.E. Smoothing and Differentiation of Data by Simplified Least Squares Procedures. Anal. Chem. 1964, 36, 1627–1639. [Google Scholar] [CrossRef]
- Azar, M.; Mulero, G.; Oppenheimer-Shaanan, Y.; Helman, D.; Klein, T. Aboveground responses to belowground root damage detected by non-destructive sensing metrics in three tree species. Forestry 2023, 96, 672–689. [Google Scholar] [CrossRef]
- Peñuelas, J.; Filella, I.; Biel, C.; Serrano, L.; Savé, R. The reflectance at the 950–970 nm region as an indicator of plant water status. Int. J. Remote Sens. 1993, 14, 1887–1905. [Google Scholar] [CrossRef]
- Sadeh, R.; Avneri, A.; Tubul, Y.; Lati, R.N.; Bonfil, D.J.; Peleg, Z.; Herrmann, I. Chickpea leaf water potential estimation from ground and VENµS satellite. Precis. Agric. 2024, 25, 1–26. [Google Scholar] [CrossRef]
- Helman, D.; Osem, Y.; Yakir, D.; Lensky, I.M. Relationships between climate, topography, water use and productivity in two key Mediterranean forest types with different water-use strategies. Agric. For. Meteorol. 2017, 232, 319–330. [Google Scholar] [CrossRef]
- Helman, D.; Bahat, I.; Netzer, Y.; Ben-Gal, A.; Alchanatis, V.; Peeters, A.; Cohen, Y. Using Time Series of High-Resolution Planet Satellite Images to Monitor Grapevine Stem Water Potential in Commercial Vineyards. Remote Sens. 2018, 10, 1615. [Google Scholar] [CrossRef]
- Mulero, G.; Jiang, D.; Bonfil, D.J.; Helman, D. Use of thermal imaging and the photochemical reflectance index (PRI) to detect wheat response to elevated CO2 and drought. Plant. Cell Environ. 2023, 46, 76–92. [Google Scholar] [CrossRef] [PubMed]
- Hunt, E.R., Jr.; Daughtry, C.; Qu, J.; Wang, L.; Hao, X. Comparison of hyperspectral retrievals with vegetation water indices for leaf and canopy water content. Proc. SPIE Int. Soc. Opt. Eng. 2011, 8156, 5. [Google Scholar] [CrossRef]
- Gao, B. NDWI—A normalized difference water index for remote sensing of vegetation liquid water from space. Remote Sens. Environ. 1996, 58, 257–266. [Google Scholar] [CrossRef]
- McFeeters, S.K. The use of the Normalized Difference Water Index (NDWI) in the delineation of open water features. Int. J. Remote Sens. 1996, 17, 1425–1432. [Google Scholar] [CrossRef]
- Kriegler, F.J.; Malila, W.A.; Nalepka, R.F.; Richardson, W. Preprocessing Transformations and Their Effects on Multispectral Recognition. In Proceedings of the Sixth International Symposium on Remote Sensing of Environment; Arbor, A., Ed.; University of Michigan: Michigan, MI, USA, 1969; pp. 97–131. [Google Scholar]
- Gamon, J.A.; Peñuelas, J.; Field, C.B. A narrow-waveband spectral index that tracks diurnal changes in photosynthetic efficiency. Remote Sens. Environ. 1992, 41, 35–44. [Google Scholar] [CrossRef]
- Elsayed, S.; Mistele, B.; Schmidhalter, U. Can changes in leaf water potential be assessed spectrally? Funct. Plant Biol. 2011, 38, 523–533. [Google Scholar] [CrossRef]
- Jiang, Z.; Huete, A.R.; Didan, K.; Miura, T. Development of a two-band enhanced vegetation index without a blue band. Remote Sens. Environ. 2008, 112, 3833–3845. [Google Scholar] [CrossRef]
- Inoue, Y.; Peñuelas, J.; Miyata, A.; Mano, M. Normalized difference spectral indices for estimating photosynthetic efficiency and capacity at a canopy scale derived from hyperspectral and CO2 flux measurements in rice. Remote Sens. Environ. 2008, 112, 156–172. [Google Scholar] [CrossRef]
- Breiman, L. Random Forests. Mach. Learn. 2001, 45, 5–32. [Google Scholar] [CrossRef]
- Chen, T.; Guestrin, C. XGBoost: A scalable tree boosting system. In Proceedings of the 22nd ACM SIGKDD International Conference on Knowledge Discovery and Data Mining, San Francisco, CA, USA, 13–17 August 2016; Association for Computing Machinery: New York, NY, USA, 2016; Volume 13, pp. 785–794. [Google Scholar]
- Cortes, C.; Vapnik, V. Support-vector networks. Mach. Learn. 1995, 20, 273–297. [Google Scholar] [CrossRef]
- Kok, Z.H.; Mohamed Shariff, A.R.; Alfatni, M.S.M.; Khairunniza-Bejo, S. Support Vector Machine in Precision Agriculture: A review. Comput. Electron. Agric. 2021, 191, 106546. [Google Scholar] [CrossRef]
- Pinhanez, C.S.; Cavalin, P.R. Exploring the Advantages of Dense-Vector to One-Hot Encoding of Intent Classes in Out-of-Scope Detection Tasks. arXiv 2022, arXiv:2205.09021. [Google Scholar]
- Agussabti; Rahmaddiansyah; Satriyo, P.; Munawar, A.A. Data analysis on near infrared spectroscopy as a part of technology adoption for cocoa farmer in Aceh Province, Indonesia. Data Br. 2020, 29, 105251. [Google Scholar] [CrossRef]
- Sahoo, M.M.; Perach, O.; Shachter, A.; Gonda, I.; Porwal, A.; Dudai, N.; Herrmann, I. Spectral estimation of carnosic acid content in in vivo rosemary plants. Ind. Crops Prod. 2022, 187, 115292. [Google Scholar] [CrossRef]
- Mouazen, A.M.; De Baerdemaeker, J.; Ramon, H. Effect of wavelength range on the measurement accuracy of some selected soil constituents using visual-near infrared spectroscopy. J. Near Infrared Spectrosc. 2006, 14, 189–199. [Google Scholar] [CrossRef]
- Weil, G.; Lensky, I.M.; Resheff, Y.S.; Levin, N. Using Near-Surface Observations for Optimizing the Timing of Overhead Image Acquisition for Applied Mapping of Woody Vegetation Species. In Proceedings of the IGARSS 2018–2018 IEEE International Geoscience and Remote Sensing Symposium, Valencia, Spain, 22–27 July 2018; pp. 5398–5401. [Google Scholar]
- Weil, G.; Lensky, I.M.; Levin, N. Using ground observations of a digital camera in the VIS-NIR range for quantifying the phenology of Mediterranean woody species. Int. J. Appl. Earth Obs. Geoinf. 2017, 62, 88–101. [Google Scholar] [CrossRef]
- Croft, H.; Chen, J.M. Leaf Pigment Content. Compr. Remote Sens. 2018, 3, 117–142. [Google Scholar] [CrossRef]
- Thenkabail, P.S.; Lyon, J.G.; Huete, A. Hyperspectral Remote Sensing of Vegetation. CRC Press: Boca Raton, FL, USA, 2016; ISBN 978-1-4398-4538-7. [Google Scholar]
- Xie, Q.; Dash, J.; Huang, W.; Peng, D.; Qin, Q.; Mortimer, H.; Casa, R.; Pignatti, S.; Laneve, G.; Pascucci, S.; et al. Vegetation Indices Combining the Red and Red-Edge Spectral Information for Leaf Area Index Retrieval. IEEE J. Sel. Top. Appl. Earth Obs. Remote Sens. 2018, 11, 1482–1492. [Google Scholar] [CrossRef]
- Guyot, G.; Baret, F.; Major, D.J. High spectral resolution: Determination of spectral shifts between the red and infrared. Int. Arch. Photogramm. Remote Sens. 1988, 11, 750–760. [Google Scholar] [CrossRef]
- Kumar, L.; Schmidt, K.; Dury, S.; Skidmore, A. Imaging Spectrometry and Vegetation Science BT—Imaging Spectrometry: Basic Principles and Prospective Applications; Meer, F.D., van der, J., De, S.M., Eds.; Springer: Dordrecht, The Netherlands, 2001; pp. 111–155. ISBN 978-0-306-47578-8. [Google Scholar]
- Dong, T.; Liu, J.; Shang, J.; Qian, B.; Ma, B.; Kovacs, J.M.; Walters, D.; Jiao, X.; Geng, X.; Shi, Y. Assessment of red-edge vegetation indices for crop leaf area index estimation. Remote Sens. Environ. 2019, 222, 133–143. [Google Scholar] [CrossRef]










| Index | Name | Formula | Reference |
|---|---|---|---|
| NDVI | Normalized difference vegetation index | [53] | |
| PRI | Photochemical reflectance index | [54] | |
| 940/960 | Reflectance ratio of 940 and 960 nm | [55] | |
| 940/960/NDVI | Reflectance ratio of 940/960 nm and NDVI | [55] | |
| EVI2 | Enhanced vegetation index 2nd version | [56] | |
| COSBNDI | Combined overtone of stretching bands—normalized difference index | [22] | |
| FOSBNDI | Forth overtone of stretching bands—normalized difference index | [22] | |
| SAPSBNDI | Small absorption peak of stretching bands—normalized difference index | [22] | |
| WASCOSBNDI | Water absorption shoulder due to the combined overtone of stretching bands—normalized difference index | [22] | |
| NDWSI | Normalized different water stress index | [50] | |
| NDWI | Normalized different water index | [44] | |
| WI | Water index | [45] |
| Index | Pine | Oak | Cypress | Carob | Pistacia | All |
|---|---|---|---|---|---|---|
| NDVI | 0.56 | 0.70 | 0.86 | 0.53 | 0.54 | 0.57 |
| PRI | 0.31 | −0.18 | 0.19 | −0.18 | 0.55 | 0.09 |
| 940/960 | 0.20 | 0.24 | 0.31 | 0.29 | 0.48 | 0.29 |
| 940/960/NDVI | −0.51 | −0.65 | −0.84 | −0.38 | −0.34 | −0.48 |
| EVI2 | 0.23 | 0.10 | −0.08 | −0.06 | 0.24 | 0.08 |
| COSBNDI | −0.32 | −0.13 | −0.39 | −0.18 | −0.63 | −0.29 |
| FOSBNDI | 0.41 | 0.38 | 0.63 | 0.21 | 0.50 | 0.43 |
| SAPSBNDI | 0.11 | 0.14 | 0.49 | 0.26 | 0.60 | 0.27 |
| WASCOSBNDI | −0.22 | −0.16 | 0.26 | 0.03 | 0.13 | 0.03 |
| NDWSI | 0.15 | 0.21 | 0.50 | 0.27 | 0.60 | 0.29 |
| NDWI | −0.52 | −0.65 | −0.83 | −0.51 | −0.67 | −0.48 |
| WI | −0.21 | −0.27 | −0.48 | −0.26 | −0.60 | −0.31 |
| NDSI (680/750) | 0.55 | 0.69 | 0.86 | 0.54 | 0.60 | 0.57 |
| NDSI (Band1/Band2) Combinations | R2 | RMSE |
|---|---|---|
| 680/750 | 0.33 * | 0.73 |
| 680/750, 530/623 | 0.35 * | 0.72 |
| 680/750, 530/623, 660/940 | 0.35 * | 0.72 |
| 680/750, 530/623, 660/940, 519/750 | 0.35 * | 0.72 |
| 680/750, 530/623, 660/940, 519/750, 605/709 | 0.40 * | 0.70 |
| Model | Without Species | With Species | ||||||
|---|---|---|---|---|---|---|---|---|
| R2 | MAE | RMSE | RPD | R2 | MAE | RMSE | RPD | |
| RF | 0.40 | 0.59 | 0.74 | 1.30 | 0.42 | 0.59 | 0.74 | 1.32 |
| SVM | 0.35 | 0.58 | 0.77 | 1.25 | 0.53 | 0.50 | 0.67 | 1.47 |
| XGB | 0.40 | 0.58 | 0.74 | 1.30 | 0.47 | 0.57 | 0.71 | 1.38 |
| Averaged model | 0.41 | 0.58 | 0.74 | 1.31 | 0.52 | 0.52 | 0.67 | 1.46 |
| Pine | Oak | Cypress | Carob | Pistacia | All | |
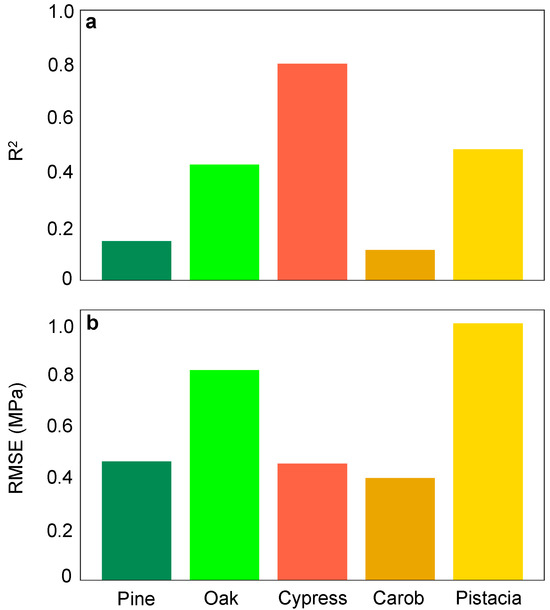
| Best model | NDVI | NDVI NDSI | SVW (w/species) | NDSI | SVW (w/species) | SVW (w/species) |
| R2 | 0.31 | 0.48 | 0.80 | 0.29 | 0.49 | 0.53 |
| 2nd best model | NDSI | MNDVI 940/960/NDVI | NDVI NDSI | NDVI | NDSI | Avg ML (w/o species) |
| R2 | 0.30 | 0.42 | 0.74 | 0.28 | 0.44 | 0.41 |
| Difference | 0.01 | 0.06 | 0.06 | 0.01 | 0.05 | 0.12 |
ML model;
Spectral index.Disclaimer/Publisher’s Note: The statements, opinions and data contained in all publications are solely those of the individual author(s) and contributor(s) and not of MDPI and/or the editor(s). MDPI and/or the editor(s) disclaim responsibility for any injury to people or property resulting from any ideas, methods, instructions or products referred to in the content. |
© 2024 by the authors. Licensee MDPI, Basel, Switzerland. This article is an open access article distributed under the terms and conditions of the Creative Commons Attribution (CC BY) license (https://creativecommons.org/licenses/by/4.0/).
Share and Cite
Fishman, N.; Yungstein, Y.; Yaakobi, A.; Obersteiner, S.; Rez, L.; Mulero, G.; Michael, Y.; Klein, T.; Helman, D. Leaf Water Potential in a Mixed Mediterranean Forest from Machine Learning and Unmanned Aerial Vehicle (UAV)-Based Hyperspectral Imaging. Remote Sens. 2025, 17, 106. https://doi.org/10.3390/rs17010106
Fishman N, Yungstein Y, Yaakobi A, Obersteiner S, Rez L, Mulero G, Michael Y, Klein T, Helman D. Leaf Water Potential in a Mixed Mediterranean Forest from Machine Learning and Unmanned Aerial Vehicle (UAV)-Based Hyperspectral Imaging. Remote Sensing. 2025; 17(1):106. https://doi.org/10.3390/rs17010106
Chicago/Turabian StyleFishman, Netanel, Yehuda Yungstein, Assaf Yaakobi, Sophie Obersteiner, Laura Rez, Gabriel Mulero, Yaron Michael, Tamir Klein, and David Helman. 2025. "Leaf Water Potential in a Mixed Mediterranean Forest from Machine Learning and Unmanned Aerial Vehicle (UAV)-Based Hyperspectral Imaging" Remote Sensing 17, no. 1: 106. https://doi.org/10.3390/rs17010106
APA StyleFishman, N., Yungstein, Y., Yaakobi, A., Obersteiner, S., Rez, L., Mulero, G., Michael, Y., Klein, T., & Helman, D. (2025). Leaf Water Potential in a Mixed Mediterranean Forest from Machine Learning and Unmanned Aerial Vehicle (UAV)-Based Hyperspectral Imaging. Remote Sensing, 17(1), 106. https://doi.org/10.3390/rs17010106

