Abstract
Introducing artificial intelligence techniques in agriculture offers new opportunities for improving crop management, such as in coffee plantations, which constitute a complex agroforestry environment. This paper presents a comparative study of three deep learning frameworks: Deep Forest, RT-DETR, and Yolov9, customized for coffee plant detection and trained from images with a high spatial resolution (cm/pix). Each frame had dimensions of 640 × 640 pixels acquired from passive RGB sensors onboard a UAS (Unmanned Aerial Systems) system. The image set was structured and consolidated from UAS-RGB imagery acquisition in six locations along the Central Valley, Costa Rica, through automated photogrammetric missions. It was evidenced that the RT-DETR and Yolov9 frameworks allowed adequate generalization and detection with mAP50 values higher than 90% and mAP5095 higher than 54%, in scenarios of application with data augmentation techniques. Deep Forest also achieved good metrics, but noticeably lower when compared to the other frameworks. RT-DETR and Yolov9 were able to generalize and detect coffee plants in unseen scenarios that include complex forest structures within tropical agroforestry Systems (AFS).
Keywords:
coffee crops; deep forest; precision agriculture; RT-DETR; Yolov9; unmanned aerial systems 1. Introduction
In the context of climate change, agriculture faces new challenges due to extreme and instable environmental conditions. These challenges require flexible, scalable, and cost-effective solutions to improve crop management and productivity [1,2]. Nevertheless, the use of technology is not evenly widespread, as in the case of Costa Rica, where agricultural/forestry traditional practices, including counting and productivity estimations, are carried out manually or with inaccurate procedures [3,4].
Precision agriculture (PA) has become crucial since data acquisition through remote/electronic sensors can be systematically controlled, allowing for increased yields through intelligent data management [5,6,7].
For crop analysis, remote sensing (RS) techniques and systems have been integrated to manage crop information in controlled environments [8,9], for the analysis and classification of diseases and crops from satellite images and UAS Systems [10,11], or for crop monitoring [12]. Recently, artificial intelligence (AI) models have been integrated to carry out automatic crop detection tasks [13], cover classification [14], crop identification, and counting tasks [15,16]. Artificial intelligence integration in remote sensing has improved the classical manual identification and detection methods, which are error-prone and time-consuming procedures [17]. Ground observation technologies using satellite imagery and UAS represent another field of application where the integration of various machine learning (ML) and deep learning (DL) approaches have complemented through open-source software tools detection [18].
Several advanced solutions have integrated network architectures, such as Recursive Convolutional Neural Networks (RCNN) that have been used in remote sensing for tree canopy detection, such as the Deep Forest framework, which is an open-source framework integrated with Python version 3.10 and R version 4.0 from PyTorch version 1.5.8 software support [19]. Also, YOLO-based architecture allows accelerated object detection, and recently, this framework has been adapted for remote sensing [20,21]; alternatively, transformer-based detection methods (DETR) have been employed for visible and non-visible band detection, applied to high-resolution imagery [22,23].
In Costa Rica, coffee production is one of the most important agricultural activities. Accurate detection and monitoring of coffee plantations are fundamental for proper agricultural management [3]. Traditional monitoring methodologies rely on manual inspections. Satellite images are inefficient in complex agroforestry scenarios for accurate coverage and production estimations. Therefore, the implementation of AI models with high-resolution images represents a novel solution to improve the automated monitorization of the crops [13,24].
The main contribution of this study is the comparative analysis of modern AI frameworks for the detection of coffee crops in agroforestry systems, from high-resolution UAS-RGB orthophotos, located in tropical environments where there is affectation due to the complex context with an irregular topography and several shade trees or palms. This work makes two significant contributions to the field of AI-based agricultural applications. Firstly, it establishes a benchmarking methodology that allows for the precise detection of coffee plants in complex AFS. Secondly, it proposes a data augmentation methodology that enables the training of a model using a reduced dataset, in order to achieve satisfactory accuracy in the detection of coffee plants.
2. Materials and Methods
On the baseline of ML techniques applied to one of the main agricultural activities in Costa Rica, this paper addresses a comparative study of three open-source deep learning frameworks applied to coffee plant detection using high-spatial-resolution RGB orthophotos (see Figure 1). This geospatial dataset includes six image acquisition points at various coffee farms along the Central Valley in Costa Rica, covering a variety of climatic and topographic conditions for highland coffee crops. Geospatial imagery was acquired using passive remote sensing (RGB) onboard a UAS with autonomous navigation capabilities. Geospatial processing was conducted using commercial photogrammetric software tools, whereas the data augmentation and annotations processes were processed through an online tool called Roboflow version 1.1.45 [25].
Figure 1.
High-level description of the automatic detection system for coffee plants based on deep learning (DL). The annotation block allows adapting the label formats according to the network architecture. The deep learning block allows the Deep Forest, Yolov9, or RT-DETR framework to perform training, validation, and test stages.
The comparative study was conducted using a set of images collected by passive RGB sensors aboard UAS Systems DJI Matrice 310, DJI Matrice 600, and DJI Mavic 2 Pro manufactured by DJI, Shenzhen, China in six locations with Coffea arabica L. coffee plantations near the Central Valley in Costa Rica, using automated flight planning.
2.1. Experimental Sites
Six active coffee producing farms were used for this research with the objective of obtaining geospatial information of the plantations in different phenological stages, considering the diverse climatic conditions of the areas under study. The study areas are located in the Central Valley of Costa Rica, with elevations between 1000 and 1800 m. The region has two distinct seasons: a dry season (Dec–Apr) and a rainy season (May–Nov), with total precipitation reaching up to 3000 mm annually. Humidity levels range around 84%, and the average temperature is 20 °C [26]. Microclimates also significantly influence the local climate in tropical regions. Nevertheless, microclimates constitute an important variable in tropical regions. Figure 2 shows the locations used for imagery acquisition and geospatial data.
Figure 2.
Location map of image acquisition sites in productive coffee farms on the Central Valley area, Costa Rica. The sections highlighted in yellow were the areas used for this study.
2.2. Proposed Methodology for Coffee Plants Detection Based on Deep Learning
This subsection details the methodological process used to integrate a coffee plants detection system, as depicted in Figure 1. The performance of the deep learning frameworks: Deep Forest, Yolov9, and RT-DETR will be assessed based on the results obtained during their respective training processes. A comparative study of the performance of each framework was conducted using the recall, precision, F1 Score, mAP metrics, and loss functions. The results obtained in the detection will be also contrasted with previous results reported in [13].
2.2.1. UAS-RGB Imagery Acquisition and Photogrammetric Processing
RGB imagery acquisition was performed with commercial UAS systems: a DJI Matrice 300 RTK, DJI Matrice 600 RTK, and DJI Mavic 2 Pro. The image sensors used were Zenmuse X5 (Matrice 600 RTK), Zenmuse L1 (Matrice 300 RTK), and Hasselblad L1D-20c (Mavic 2 Pro) manufactured by DJI, Shenzhen, China, all with CMOS technology for the image sensor with dimensions from 6.35 × 4.94 mm to 17.3 × 13.0 mm with 8-bit depth. The image resolution allowed by the image sensors ranges from 4608 × 3456 pixels @ 16 MP (Zenmuse X5) to 5472 × 3078 pixels @ 20 MP (L1 and Hasselblad). The differences in resolution, depth, and sensor technology were compensated by the mission configuration, camera parameters, and flight height, to obtain similar image captures.
Image acquisition was conducted by means of automated photogrammetric surveys with the DJI Pilot 2 application. It allows initializing the parameters of height, frontal/lateral overlap, flight speed, image sensor activation interval, and positioning assistance in GPS or RTK (L1/L2 Band) [27] (see Figure 3a). The average flight height was about 80 m from the takeoff point due to the topographic conditions and tree heights in the surroundings of the survey sites. Based on the flight height boundary conditions and image sensor parameters, the ground sample distance (GSD) in cm/pix is described by the following:
where S represents the image sensor width (mm), h is the flight height (m), denotes the focal length of the image sensor (mm), and is the image sensor resolution (pix). For the analysis at six sampling points (Coffee Farms), a GSD value of 2 cm/pixel was estimated according to [28,29] and validated through the photogrammetric workflow with GSD values ranging from 1 to 3 cm/pix [13]. This GSD value varies depending on the platform used and the terrain topology.
Figure 3.
UAS-digital photogrammetry processing approach: (a) description of the UAS-photogrammetrical flight. San Pedro, Poás coffee plantation section illustrates the flight trajectory, height, frontal-side overlap, and land/take-off point; (b) digital photogrammetric processing description with Agisoft Metashape.
Photogrammetric processing was conducted by the commercial software Agisoft Metashape, version 2.1, using the dataset obtained from the sampling points. Metashape integrates the Structure from Motion (SfM) and Scale-Invariant Feature Transform (SIFT) computer vision algorithms and, recently, an artificial intelligence (AI) engine to complement the photogrammetric processing (see Figure 3b) [30,31,32].
For the generation of scatter point clouds, a configuration of 40,000 key points and 4000 tie points was used in the aero triangulation process. Through a gradual reduction process, it was possible to reduce the noise and geospatial error associated with the configuration of an alignment error parameter of 0.4 and reconstruction uncertainty of 15, respectively [33].
For the conformation of the dense point cloud, the Multi-View Stereo (MVS) algorithm was used, configuring the image set in full-resolution mode and using a Triangulated Irregular Network Interpolation (TIN) method to generate a 2D-RGB orthorectified projection [34,35].
2.2.2. Annotation and Data Augmentation Setup
This work initially utilized an imagery set generated by [13], comprising ten RGB orthophotos with GSD values ranging from 1 to 3 cm/pix with 10,000 × 10,000 pixels.
For this work, the dataset previously described in [13] was reconditioned to adjust the GSD values and achieve a homogeneous resolution in the orthophotos, using a bilinear interpolation algorithm [36,37,38,39]. Images with few annotations were removed, and new ones from other locations (Barva, Tres Ríos, Naranjo, Acosta, and Grecia) were added, for a total of 1368 images (Raw Dataset). The orthomaps were tiled with annotations of 640 × 640 pixels using the Roboflow tool [36], resulting in 28,415 annotations (see Figure 4).
Figure 4.
Example of image annotations using the online tool called Roboflow.
To diversify and increase the variability of the annotations, an Instance-Based data augmentation methodology was used (see Figure 5) to adjust the geospatial dataset through geometric and chromatic transformations [40,41,42].
Figure 5.
Data augmentation process from 1356 raw images with 28,415 annotations for the class called “coffee” using the Raw Dataset.
The geometric transformations used were Flip, Rotate, Crop, and Shear, which refer to spatial translations of the image, forming a new feature space. The k-th translated image (x,y) is described by [43] as follows:
where horizontal and vertical translations are represented by ∆x and ∆y. The rotation process is structured by a rotation angle according to [43]:
Cropped and zoomed image generation, denoted as (x,y), is defined by zoom factors and in the horizontal and vertical directions, respectively [43]. The Shear technique creates images with horizontal or vertical tilt along a coordinate axis, structured by a tilt factor h with respect to the x-axis, described in [44] as follows:
Chromatic transformations were applied to the set of images, resulting in a new set of images created using a random brightness enhancement method with a variation range of α = ±15% This method also incorporated the insertion of noise and blur G(x,y), where σ represents the standard deviation, μ denotes the mean of the distribution, and n is a random variable following a normal distribution, described by [43,44] as follows:
Using Roboflow, these transformations were applied to the dataset and annotations, resulting in a new dataset with a total of 60,667 images of size 640 × 640 pixels and 413,985 annotations (Data Augmentation Set). The Data Augmentation Set was structured as 80% (48,533 images) for training, 10% (6066 images) for validation, and 10% (6068 images) for testing, with annotations adaptable to generic formats for deep learning frameworks like YOLO and KERAS [45,46,47].
2.2.3. Deep Learning Framework Setup
For this work, Deep Forest [48], RT-DETR [49], and Yolov9 [50] frameworks were used to detect coffee plantations using pre-trained models, based on NEON for Deep Forest and COCO for RT-DETR and Yolov9. The environment was configured on a workstation with a Core-i9 14th Generation, 64 GB DDR5 RAM, NVIDIA RTX 4070@12 GB PCIe 4.0 GPU with CUDA 12.2 (driver version 535.183.01) and Linux Ubuntu 22.04 LTS OS with Python 3.10.13. The training process was tracked using the Weight&Biases tool [51,52]. The following subsections briefly describe the frameworks used in terms of their architecture, hyperparameters, and performance metrics.
- Deep Forest Framework
Based on RetinaNet architecture, it comprises three components. The backbone used is ResNet-50 as Residual Networks for feature extraction, whereas the remaining two subnetworks are used for classification and regression [53]. From the ResNet-50 backbone, the FPN (Feature Pyramidal Network) hierarchy was used as a multiscale representation and feature analysis, and ReLU as the activation function [54]. For this comparative study, a pre-built model trained with a geospatial database consisting of 10 million tree crowns acquired by a LiDAR sensor with an average sampling density of 4–6 points/ was used. For fine-tuning, the NEON dataset was used, with a total of 32.1 million parameters adjusted during the process and 150 GFLOPS with 3.8 GFLOPs according to Pytorch Community [55].
- RT-DETR Framework
Its backbone used a hybrid encoder and a transformer decoder with prediction auxiliary heads [56]. The backbone used was developed by Baidu Paddle and structured from an HGStem module that integrates at a modular level the HG block, aimed for organizing data processing hierarchically due to the high density of blocks. Convolution processes are applied for the extraction of information in numerous layers and through the CSP (Cross-Stage Partial) block, which allows an extraction of various features [57]. The hybrid encoder is structured by the AIFI (Anchor-Free Instance Feature Interaction) and CCFF (Cross-Scale Cross-Feature Fusion) blocks, where the first one allows a reduction in the computational cost by the transformer encoder. The second one allows the generation of a new feature from the fusion of adjacent features [56,57,58,59]. The rtdert-l pre-trained weights were generated from ImageNet with fine-tuning from adaptation performed by Ultralytics using COCO, where a total of 32 million parameters were adjusted during fine-tuning with GFLOPs of 107,992 [56].
- Yolov9
Ninth version of the “You only look once” architecture, integrated by two new modules, where the first one is called Programmable Gradient Information (PGI) and the second one the Gradient Efficient Layer Aggregation Network (GELAN). The functionality of the PGI block was to address the limitation determined due to the bottleneck that deep neural networks possess, allowing reliability and propagation of information, achieving better performance and accuracy during training, learning, and prediction tasks [60]. The optimization in the gradient trajectory was conducted by means of GELAN, taking the CSPNet and ELAN (Efficient Layer Aggregation Network) architectures as references. In GELAN, the inference speed and accuracy were optimized in a balanced way [61,62,63]. The pre-trained weights yolov9-e by Ultralytics version 8.3.32 were used where a total of 58 million parameters adjusted during fine-tuning with GFLOPs of 192,676.
According to [48,49,50,51,52,53,54,55], Table 1 provides a comparative overview of the Deep Forest, RT-DETR, and YOLOv9 frameworks used for detecting coffee plantations. It highlights key characteristics such as the architecture, number of parameters, GFLOPs, hyperparameters, and datasets used for fine-tuning, offering valuable insights into the relative merits of each framework.
Table 1.
Architectural and computational complexity comparison of deep learning models.
- General Performance Metrics
According to the loss functions, in particular, each framework has different ways of modeling the loss during the training and validation phase. In general terms, we will define the loss trend through cross entropy for Deep Forest and then describe the loss associated with Yolov9 with , and for RT-DETR. Finally, we will refer to the losses associated with and involving the three frameworks.
The loss function allowed us to quantify the efficiency of the detector to correctly predict the class [65,66], and is described by the following:
where n describes the number of samples, is the ground truth class, and is the predicted probability for each sample i [67]. The is based on the Focal Loss (FL), described by [68] as the following:
where y represents the ground truth class and p describes the estimated probability for class y = 1, and γ is adjusted according to the focus parameters. Rewriting Equation (9) from the mathematical structure of the GFocal loss function, and assuming that , , , and , is described as the following:
where y represents values close to the annotation, and describe the probabilities close to y, and and describe a minimum solution that guarantees closeness to the respective annotation [68].
The loss allowed us to quantify the mean absolute error (MAE) between the ground truth x and the predicted , described by [69] as follows:
The is integrated to compute the cross-entropy that allowed us to systematically penalize the errors generated during the process of the prediction of the labels contained in the detected objects, from the total number of classes C contained. The allowed us to optimize and improve the accuracy of the localization of an object from the squared error calculated from the mathematical difference between the actual value and estimated bounding box, where and denote the center of the bounding box, while w and h represent the width and height, described by [70,71] as follows:
For the performance evaluation of the frameworks, based on the binary detection of coffee plantations from the annotations and prediction, we used the definition of the confusion matrix with TP as true-positive (model correctly detects the presence of coffee), TN as true-negative (model correctly detects the absence of coffee), FP as false-positive (model detects coffee when there is none), and FN as false-negative (model fails to detect coffee when it is present). From the confusion matrix, the parameters: recall, precision, F1 Score, IoU and mAP were derived [72]. The recall allowed us to measure the ability of the model to identify all the real positive targets according to [73] as follows:
where a high value of recall indicates that the model can successfully identify the majority of the positive present instances. The precision metric numerically evaluates the accuracy of the positive predictions made by the model, described by [73] as follows:
A value of the precision metric approaching one means that, in most cases, the prediction is indeed correct. The F1 Score is defined as the harmonic mean between recall and precision, according to [73] as follows:
Considering that there are intersections between the ground truth (B) and predicted (A) bounding boxes, the metric called Intersection over Union (IoU) allowed us to numerically quantify the coupling between the predicted bounding box and the true bounding box according to the following mathematical expression [74]:
where a high value of IoU denotes a coupling between the bounding boxes, meaning that there is a match between them. To evaluate the performance of a model for object detection we used a metric called the mean average precision (mAP) structure from the area under the average precision (AP) curve across various classes k and IoU [74] as follows:
3. Results
This section provides an evaluation of the three methods. The discussion is divided into four subsections. The first subsection analyzes the detection of coffee plantations using an initial inference process using a pre-trained weights model based on COCO, and from a Raw Dataset, the model is fine-tuned and optimized for the detection of coffee plantations. The second subsection establishes a comparative case that allowed for optimizing the detection of coffee plantations by using a Data Augmentation Set. By defining three evaluation scenarios, the detection results are compared through performance metrics and loss functions in the third subsection, by training the frameworks with an augmented dataset and using different configurations in the three scenarios as well. Finally, the fourth subsection evaluates the two frameworks with better performance using test images (unseen images) to assess their ability to generalize in previously unseen contexts.
3.1. Initial Inference and First Optimization Approach for Coffee Plant Detection (CPD)
The analysis was performed from a dataset, with ortho-rectified UAS images in RGB format and dimensions of 640 × 640 pixels of coffee plantation annotations and without data augmentation (Raw Dataset). As an example, an image with the 46 annotations class: “coffee” was selected where the AFS contains shade trees, banana plantations, and a visible portion of coffee plantation, allowing variability in terms of texture and visual structure (Figure 6). The initial inference process was conducted by pre-trained models: NEON for Deep Forest, rtdert-l for RT-DETR, and yolov9-e for Yolov9, to assess the model performance without any specific training for coffee plants.
Figure 6.
Case study of an AFS with coffee plantations: (a) inference with pre-trained model with (a) Deep Forest, (b) RT-DETR, and (c) Yolov9. Model trained with Raw Dataset for (d) Deep Forest, (e) RT-DETR, and (f) Yolov9. For Deep Forest, annotations are in orange and detections in white, for RT-DETR and Yolov9 detections are represented with in red.
With this setup, the Deep Forest framework was able to identify two correct detections (see Figure 6a Deep Forest). This represents a 4% efficiency against the total number of 46 annotations. The level of detection achieved is low due to the complexity of the environment and variety of forest structures. It is important to note that the pre-trained model used was fine-tuned specifically for tree canopy detection. As a result, the detection of coffee plants is less accurate, since the NEON dataset primarily focuses on high-density forest cover.
The conditions described above were applied for RT-DETR and Yolov9, too. For the first framework, despite integrating an architecture based on transformers that allows real-time detection, facilitating detection in complex environments, the model recognized six plants that were classified as “broccoli” instead of coffee (Figure 6b RT-DETR). With Yolov9 the model could not generalize any associated class and did not detect any coffee plants, as illustrated in Figure 6c.
On top of the initial inference process, the models were fine-tuned with the Raw Dataset (Section 2.2.2). The training stage was configured with an early-stop of 75 epochs using hyperparameters, trainable parameters, and GFLOPs described in Section 2.2.3 (Table 1). The detection results obtained after training demonstrated enhanced optimizations for all frameworks. For Deep Forest, 34 correct detections, 12 missed, and 8 wrong detections were achieved for a 70% optimization score (see Figure 6d). For RT-DETR, a total of 40 correct detections based on ground truth were achieved, showing an improvement of more than 85%, with a total of 6 annotations not detected and without false detections (see Figure 6e). For Yolov9, a total of 18 annotations were detected correctly reaching an optimization of 25%, whereas a total of 28 annotations could not be detected and there were no false detections either (see Figure 6f).
3.2. Training Using Data Augmentation for Coffee Plant Detection (CPD)
A total of 75 epochs were configured for the training stage using a fine-tuning approach and Data Augmentation Set with 80% (48,533 images) training, 10% (6066 images) validation, and 10% (6068 images) test.
According to Figure 7, it is evident that the data augmentation technique enhanced all performance metrics by 9%, specifically for RT-DETR and Yolov9; however, for Deep Forest, the performance decreased by 8%, which means that data augmentation does not allow the model to conduct an adequate detection.
Figure 7.
Training and validation performance metrics obtained using a Raw Dataset and Data Augmentation Set: (a) precision, (b), recall, (c) F1 Score, and (d) mAP50.
In terms of precision, Figure 7a shows that when the training process was performed from the Raw Dataset, the three frameworks’ metrics start from 70% to 80% ranges, converging after epoch 20. The RT-DETR and Yolov9 frameworks reached a value higher than 90%. Deep Forest did not exceed 85%. When using a Data Augmentation Set, the precision metric increases at 8% on average for all frameworks against the Raw Dataset. This means that the model can correctly generalize the detection of coffee plants ensuring that the detection belongs to the class called “coffee”, which depicts a robust detection system.
According to the recall as shown in Figure 7b, the initial range for training with the Raw Dataset (Deep Forest, RT-DETR, and Yolo) is located between 50% to 80%, where the best initial value was reached by the RT-DETR framework; after epoch 30, Deep Forest stabilizes at approximately 80%. In an increasing trend, the RT-DETR and Yolov9 frameworks in epoch 30 converge to a value close to 90%, establishing a difference of approximately 10% with respect to Deep Forest using the Raw Dataset. For RT-DETR and Yolo, data augmentation improves the performance of the recall metric by 7% with respect to the model trained with the Raw Dataset.
As shown in Figure 7c, the F1 Score metric demonstrates stability and convergence from epoch 40 for all the models evaluated. In the case of Deep Forest, an F1 Score of 85% was achieved. Both the RT-DETR and Yolov9 models demonstrated an improvement of over 15% relative to the findings derived from the Raw Dataset. These findings indicate that both models demonstrate efficacy in enhancing generalization when learning novel patterns, thus rendering them more robust with a favorable balance between recall and precision. The average performance (mAP) for Deep Forest in Figure 7d is below 20% compared to Yolov9 using the Data Augmentation Set.
Figure 8 shows that the validation losses tend to be higher than the training losses when using the Raw Dataset. For Deep Forest (Figure 8a), it was shown that the validation and training curves decrease with an increasing number of epochs, but it was observed that the loss functions (Loss, CLS Loss, and Bbox Loss) show signs of stagnation after epoch 70. In general, the largest validation loss in Deep Forest is attributed to the L1 regularization (Table 1), which helps to mitigate overfitting and improve generalization, as reported in [64].

Figure 8.
Results obtained for the loss functions during the training and validation of the models: (a) Deep Forest, (b) RT-DETR, and (c) Yolov9.
For RT-DETR and Yolov9, there are fluctuations in the validation curve with the Raw Dataset (128 images), mainly affecting RT-DETR, where it is evident that the validation curve starts to stagnate (L1_Loss, CLS Loss) from epoch 30, and at the end of the training phase in GIOU Loss, the validation curve describes a slightly increasing behavior, as shown in (Figure 8b). As shown in (Figure 8c), for Yolov9 during the training process, a stagnation of the validation curve has been detected from epoch 30 in the loss function DFL_Loss, while for CLS Loss and Bbox Loss there is an adequate balance (training/validation curves), but like RT-DETR, there are fluctuations in the validation curve. The described behavior of the fluctuations in the validation curves is attributed to the small size of the validation set (Raw Dataset), as described in the work of Barinov et al. [75].
When Data Augmentation Set (903 images) was used for training, the fluctuations in the validation curves disappeared. Still, the validation curve is lower than the training curve (inverted), which means that when applying the transformations in Figure 5, unrealistic scenes have been generated, inducing a bias in the dataset, making the validation dataset unrepresentative of the training scheme performed. The demonstrated problem refers to the misuse of excessive transformations that do not fit the reality of the data according to Lin et al., while the non-representativeness of the validation data and the trend of the validation and training curves is expected by the bias in the dataset according to Barinov et al. [75,76].
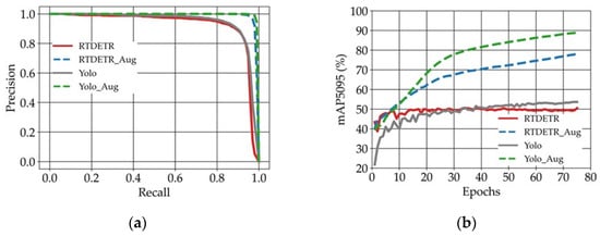
The AUC-PR curve (see Figure 9a) and the mAP5095 metric (see Figure 9b) show that RT-DETR and Yolov9 achieve high levels of performance. In the mAP5095 metric, RT-DETR obtained 50%, 3% below Yolov9. In a data augmentation scenario, the precision and recall metrics exceed 95% in the AUC-PR curve, approaching the ideal value of 1, while in the mAP5095 metric, both RT-DETR and Yolov9 experience an increase in the range of 25% to 30%, reaching up to 90% in the best case with Yolov9.
Figure 9.
Results obtained for the RT-DETR and Yolov9 frameworks: (a) curve AUC-PR and (b) mAP5095.
According to the first visual evaluation of the models, three scenarios were selected which are representative of visual and structural complexity. Figure 10a–c show the detection problems in environments of differing complexity using Deep Forest. In the case of RT-DETR, a high generalization capacity was demonstrated, reaching mAP values higher than 95%; for coffee plant locations in complex environments, RT-DETR increases the score value by 10% compared to Yolov9. In the first case study, it was evidenced that the Deep Forest framework achieves adequate fine-tuning and correctly generalizes coffee plantations; however, non-detected (ND) annotations are found in simple detection scenarios (see Figure 10a), and in scenarios with medium to high complexities, there are correct detections and errors in the detection (ED) when there is a diverse context, for instance, with banana palms (see Figure 10c). When there is overlap between the canopy of coffee plants, the model could not identify single coffee plants (see Figure 10b).

Figure 10.
Analysis case evaluated with a model trained with a Data Augmentation Set. Deep Forest evaluated in a scenario with (a) low complexity, (b) medium complexity, and (c) high complexity. RT-DETR evaluated in a scenario with (d) low complexity, (e) medium complexity, and (f) high complexity. Yolov9 evaluated in a scenario with (g) low complexity, (h) medium complexity, and (i), high complexity.
Regarding het RT-DETR framework, in low complexity scenarios, the detections of coffee plants are accurate (see Figure 10d); for medium and high complexity environments, this model can achieve an accurate detection (BD) in various AFS (see Figure 10f) and when there are small coffee plants (see Figure 10e). For the Yolov9 scenario, the results are comparable to RT-DETR; however, for young coffee plants with low coverage, the framework could not achieve a good detection (see Figure 10i). For mixed scenarios, canopy overlap between coffee plants is correctly detected with a lower confidence score (GD), as obtained by RT-DETR in cases with high accuracy (BD) (see Figure 10g). In summary, the results suggest that the initial data augmentation approach is not helping to generalize the learning, degrading the validation and test metrics. This is attributed to the fact that unrealistic transformations can introduce bias in the learning process. Section 3.3 and Section 3.4 show that a better data augmentation approach helps to improve training and validation metrics, as well as testing from unseen cases.
3.3. Model Optimization with Data Augmentation
Based on the results obtained in Figure 8 for RT-DERT and Yolov9, this section presents an optimization methodology for data augmentation according to the transformations described in Figure 5. The New Data Augmentation Set focuses only on geometric transformations (Flip Vertical, Flip Horizontal, Clockwise, Counterclockwise, Crop 20%, Rotation −15°, and Rotation 15°) and chromatic transformations (Blur). Transformations such as Noise, Shear, and Brightness were excluded because they do not represent realistic conditions in the studied environment according to [75,76].
The New Raw Dataset consisted of 1450 images (32,783 annotations), comprising the original Raw Dataset (1356 images) and 94 additional images from the studied regions (Figure 2). With the New Data Augmentation Set, a total of 9912 images (68,648 annotations) were generated, distributed as 7299/80% for training, 903/10% for validation, and 910/10% for testing. The datasets described were used to train, validate, and test RT-DETR and Yolov9 frameworks, aiming to analyze how variations in the data augmentation methodology and hyperparameters impact the model performance for coffee plantation detection.
For the training phase, configurations described in Table 1 were used; however, due to the findings identified in the dataset proposed in Section 3.1, as an optimization strategy the RT-DETR and Yolov9 backbone was frozen in order to stabilize the training and optimize the detection results as proposed by Zhang et al. [77].
RT-DETR and Yolov9 were trained for 200 epochs, and it was observed that for some loss functions, the validation curve remained below the training curve, with a small gap between the two. Furthermore, there were no fluctuations in the validation curve, as shown in Figure 11. According to these results and the proposed data augmentation approach, the training and validation trends do not indicate overfitting.
Figure 11.
Results obtained for the loss functions during the training and validation of the models using a new data augmentation scenario: (a) RT-DETR and (b) Yolov9.
However, in the case of RT-DETR@200 epochs, the ensemble used in the validation process is still less complex than the training ensemble, while Yolov9@200 epochs showed an efficient adaptation of the model to the newly generated scenes, according to the trend of the loss functions, considering that no L1 regularization was used.
Figure 11a suggests that the performance of the RT-DETR model is superior to the previous results (see Figure 9a), due to the fact that the training and validation curves with 200 epochs showed in the worst case a difference of 0.05, which denotes a robust detection (CLS Loss = 0.5@200 epochs) and localization of the instances (GIOU Loss = 0.5@200 epochs) with a low error (L1 Loss = 0.25@200 epochs) against the ground truth.
For the case of Yolov9, there was no evidence of overfitting over 200 training epochs. However, during the evaluation process, it was evident that the performance was inferior with respect to RT-DETR, from the results recorded for the DFL Loss, CLS Loss, and Box Loss. The Yolov9 model (see Figure 11b) recorded a classification performance during the validation phase (CLS Loss = 0.65@200 epochs), where the positioning bias was Box Loss = 1.42@200 epochs and the bounding box location per detected instance was DFL Loss = 1.61@200 epochs. The worst case is a difference between the training and validation curves of 0.2 in the DFL loss function. For the case of RT-DETR, the model generalizes and stabilizes at 36 epochs, allowing an optimization of the results in the loss functions, registering a difference between the training and validation curve of 0.05 in the L1 loss function.
The metrics (Figure 12) show a performance higher than 85% for both models. Figure 12a shows that the model (RT-DETR@36 epochs) can reach a precision of 93% for detection of the class “coffee”, while (Yolov9@36 epochs) guarantees a precision of 90%. In terms of recall (see Figure 12b), the model (RT-DETR@36 epochs) was able to identify 89% of the true positives, while the performance of (Yolov@36 epochs) drops by 7% compared to RT-DETR. In Figure 12c,d, for the F1 Score and mAP50, both models have an adequate level of detection. RT-DETR provides a detection error of up to 11% with an F1 Score of 89%@mAP50 = 93%, while Yolov9 predicts a detection error of 16% compared to RT-DETR.
Figure 12.
Training and validation performance metrics obtained using a new data augmentation approach: (a) precision, (b) recall, (c) F1 Score, and (d) mAP50.
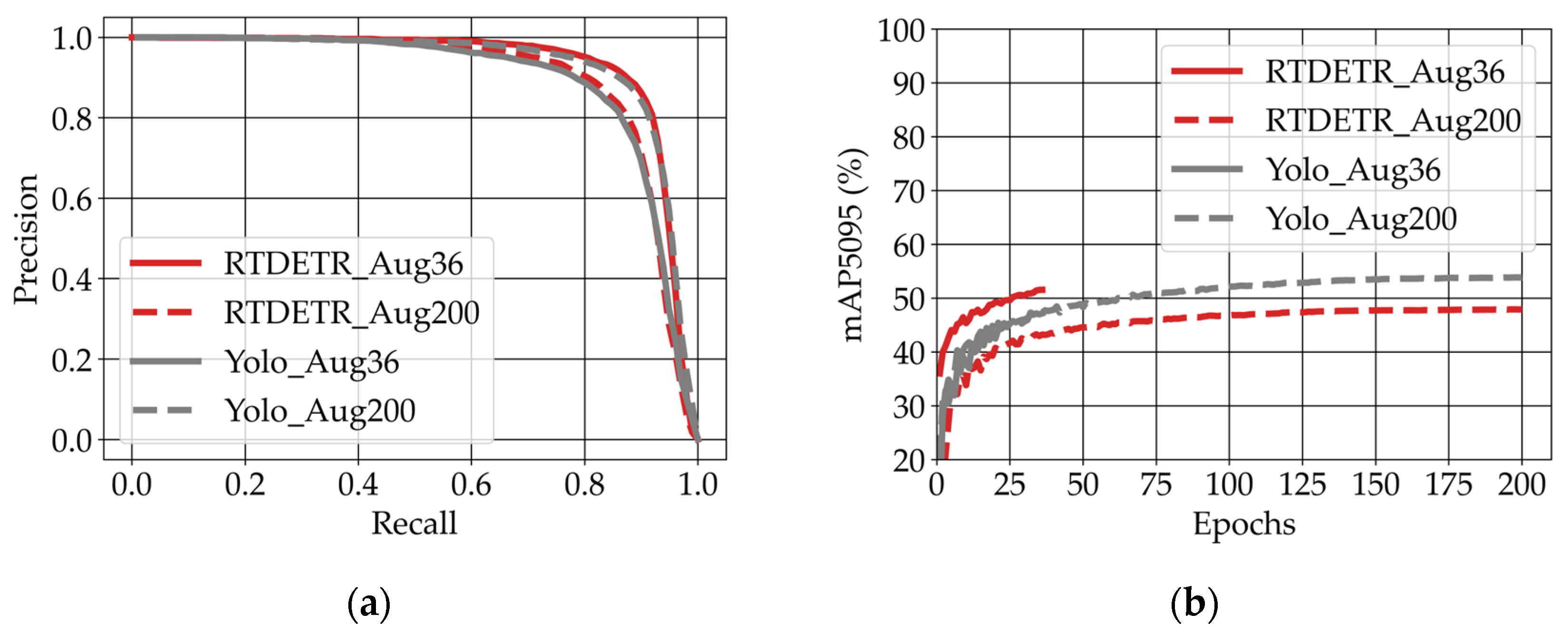
Figure 13 shows the results obtained from the precision/recall ratio and mAP5095. The results show that for the RT-DETR model, an increase of epochs during training does not allow a significant improvement between recall/precision (Figure 13a) and mAP5095 (Figure 13b). For Yolov9, it was shown that the model optimizes the performance for long training epochs (Yolo_Aug200), decreasing by a total of 3% in mAP5095 compared to RT_Aug200 or RT_Aug36.
Figure 13.
Results obtained for the RT-DETR and Yolov9 using new data augmentation approach: (a) curve AUC-PR and (b) mAP5095.
3.4. Model Validation with Unseen Images
Model inference was performed using the weights and hyperparameters with the best performance during the training phase with the New Data Augmentation Set. The inference was performed on a set of 910 images of regions not seen during the training and validation stages. According to the results obtained in Table 2, it was shown that the best performance was achieved by the model RT-DETR@36 epochs, where the performance metrics Recall, precision, F1 Score, mAP50, and mAP50-95 are comparable or slightly better compared to the metrics achieved during the validation process in the training stage. Similarly, this behavior was observed with the same model but subjected to training with 200 epochs, where the metrics obtained are slightly lower. For Yolov9, it was demonstrated that the model needed 200 epochs of training to exceed 85% in all metrics.
Table 2.
Comparative performance of RT-DETR and Yolov9 using a New Data Augmentation Set approach using a confidence score = 0.4.
In particular, the RT-DETR model stands out for its significantly faster convergence, requiring 80% fewer epochs to reach the optimal performance. This shows that the model can achieve the desired results in much less time, thus increasing the overall training efficiency. Compared to previous studies [13], our proposed models show a 3% improvement in performance, which was validated by a more rigorous evaluation using unseen datasets. This improvement underscores the model’s ability to generalize effectively, further emphasizing its practical applicability in real-world scenarios.
Figure 14 shows the detection results from a visual point of view, where specific cases are indicated by labels numbered from 1 to 6. For the case of the RT-DETR model, Figure 14a shows that a young coffee plant was not detected (marker 1), whereas the model RT-DETR@36 epochs (see Figure 14b) correctly achieved the detection even though the coffee plant is located under the projection of a tree branch. In the same detection context (marker 4), the models Yolov9@36 epochs–Yolov9@200 epochs fail to detect an adult coffee plant as well as the young coffee plant that was not detected by Yolov9@200. In a varied context of adult and young plants, marker 2 indicates that the RT-DETR@200 model makes a false detection over a tree canopy, whereas marker 5 indicates that the Yolov9@36 epochs model also fails to detect a coffee plant with a tree canopy. This case demonstrates the capability and performance of the RT-DETR@36 epochs and Yolov9@200 epochs models in complex detection environments.

Figure 14.
Coffee plant detection trough inference process from Test Images Set: (a) RT-DETR@200 epochs, (b) RT-DETR@36 epochs, (c) Yolov9@200 epochs, and (d) Yolov9@36 epochs. For instance, these images were in the Poás location.
Finally, there are some detection issues for RT-DETR@200 epochs and Yolov9@36 epochs as denoted by markers 3 and 6, where the detection is mistaken with the canopy of a tree and an unrecognized coffee plant. In general, the RT-DETR and Yolov9 models show an adequate performance in the detection of coffee plants; however, in complex environments, the (RT-DETR@36 epochs) model was superior to the (Yolo@36 epochs) model when faced with a drastic variation in the environment.
For agriculture, and especially for large coffee plantations in tropical regions with complex agroforestry environments, the implementation of AI frameworks represents an alternative solution in automatic detection tasks, optimizing field work performed manually. In [13] machine learning systems have been integrated; however, this study achieved overall metrics mAP50 higher than 90% and mAP50-95 higher than 54%, promising an adequate detection range based on the results by [13].
4. Discussion
This section analyzes the results obtained, contextualizing them within the existing literature and assessing their impact on object detection models in agricultural environments. The main trends observed, the limitations of the evaluated models, and the reasons behind the performance differences are discussed.
4.1. Initial Inference and First Optimization Approach for Coffee Plant Detection (CPD)
The results obtained indicate that, although pretrained models are effective in general detection tasks, they require fine-tuning and domain-specific training to adapt to new environments. The discrepancies between the visual features of the dataset used to train the models and the specific conditions of coffee plantations largely reflect the low performance observed during the initial inference.
Deep Forest demonstrated significant improvement after fine-tuning with coffee cultivation-specific data, achieving an accuracy of 70%, which highlights the importance of adapting models to the characteristics of agricultural environments. RT-DETR showed a markedly improved performance, with a detection rate exceeding 85%, suggesting that the flexibility of transformer-based models may be better suited for addressing the visual variability in complex AFS. In contrast, Yolov9 exhibited only limited improvement, reaching just 25% efficiency in detection, which reflects a limitation to infer from a limited-size raw dataset.
Overall, the divergence in loss trends is mainly attributed to unrealistic variations introduced by the data augmentation, which compromised the representativeness of the validation set and, consequently, the generalization of the model. However, according to the results obtained in Figure 8, it is suggested to limit the amount of transformation to the raw dataset to avoid inducing biases in the dataset, which are problems widely discussed by [75,76].
Several studies shown in Table 3 applied deep learning architectures for coffee plant detection and counting. The study by Wang et al. used a Yolov9 architecture for the segmentation and counting of coffee plants from RGB and multispectral images acquired in Yunnan, China, through a UAS system DJI Mavic 3M. This approach achieved a precision of 89.3% and mAP50 of 94.6% [78]. Santos et al. used Yolov3 architecture to count coffee plants in Brazil using RGB images obtained using a UAS system called UAS system Phantom 4 Advanced. In this case, the performance for precision and recall was higher than 90% in 6-month-old coffee plants, while overlapping coffee plants were not detected by the implemented system [15].
Table 3.
Comparison with other studies using deep learning approaches for coffee plant detection.
In other studies, the AI algorithms application for counting and detection was demonstrated. The study by Aeberli et al. was based on the detection and counting of banana plants in Queensland, Australia from a CNN model trained from multispectral images acquired by a Parrot Sequoia multispectral sensor onboard a UAS-3DR system, achieving a precision of 89% and a recall of 97% [79]. The study by Lin et al. applied the detection and counting of tobacco plantations in Yunnan, China, using a Yolov8 architecture trained from a set of RGB images acquired with a UAS system, where a recall of 97% was obtained [80].
4.2. Training Using Data Augmentation for Coffee Plant Detection (CPD)
According to Kamilaris et al., data augmentation might improve the performance of deep learning models [81]. In the current case study, applying fine-tuning to the image set (Data Augmentation Set) resulted in a 9% increase in the performance metrics (precision, recall, and F1 Score) for the RT-DETR and Yolov9 frameworks. In contrast, for Deep Forest, the performance decreased by 8% after fine-tuning with the same image set.
According to the results presented in Figure 7, the RT-DETR and Yolov9 frameworks achieved performance metrics above 85%, while Deep Forest remained below 80%, in both cases using the augmented dataset. However, the results of the loss functions in Figure 8 show that the data augmentation based on the methodology described in Figure 5 generated a bias for the Data Augmentation Set because the generated validation dataset is not representative, meaning that the generated scenes have a lower complexity compared to those used during training.
Based on the above, the analysis of the trend of the validation/training curves from an excess of geometric and chromatic transformations, such as Shear, Brightness, and Noise, generate unrealistic scenes that alter the context of the training data and negatively affect the quality of learning. According to Lin et al., traditional geometric transformations slightly change the distribution of training data, while modern transformations can significantly change the dataset [79]. Furthermore, Zhou et al. point out that not all models benefit equally from data augmentation, which is evident in all three frameworks analyzed, with the effect being most pronounced in Deep Forest [82].
For our case, according to the descriptions shown in Table 1, the validation/training trends obtained using augmented data are not directly attributed to an overfitting trend in the model, but to an imbalance in the dataset used, which hinders the model fitting process during the training stage, as observed in Figure 8b,c, where the validation loss curve is lower than the training loss curve, along with the stagnation of the validation curve for RT-DETR and Yolov9 using the Data Augmentation Set, as described by Barinov et al. [75].
4.3. Model Optimization with Data Augmentation
The new data augmentation strategy yielded performance metrics above 89% for both RT-DETR and Yolov9, with RT-DETR outperforming Yolov9. Excluding unrealistic augmentations (Noise, Shear, and Brightness) proved effective, allowing the models to focus on realistic transformations that reflect the true environmental variability to which coffee plantations are exposed.
Similar studies in object detection, such as that by Pu et al., reported performance metrics exceeding 93% using the Tassel-Yolo framework, with 40,000 images generated through geometric and chromatic transformations [83]. In multi-crop detection, Ajayi et al. achieved precision rates over 98% with Yolov8, using a dataset of 393 images [84]. Zhao et al. applied RT-DETR for automated tomato detection, achieving an 80% performance with 340 images and 200 epochs over fine-tuning [85].
In comparison, our approach for detecting coffee plantations in tropical environments achieved performance metrics above 90% with RT-DETR after just 36 epochs of training, whereas Yolov9 required 200 epochs to reach similar precision thresholds.
4.4. Model Validation with Unseen Images
RT-DETR outperforms Yolov9 in detecting coffee plantations, especially in visually complex scenarios. While Yolov9 requires 200 training epochs to achieve optimal performance, RT-DETR achieves similar or better results in only 36 epochs, representing an 80% reduction in training time. In addition, RT-DETR shows up to a 7% improvement in precision and recall compared to Yolov9, demonstrating its greater ability to handle complex visual variations such as the presence of tree canopies or mixed vegetation. This makes it a more efficient option for automated coffee detection in tropical agricultural and forestry environments.
Regarding previous studies, the analysis by Santos et al. used Yolov3, where it achieved a counting accuracy of 86.5% at three months and 96.8% at six months in coffee plantations, but it was not possible to detect plants at 12 months due to the uniformity of crowns [15]. In comparison, our work with RT-DETR maintains a performance of over 90% and has been able to detect plants of different ages. Furthermore, compared to the study of [13], which reported a mAP of 93% with YOLOv4ext-ghost, our approach exceeds this performance by 3%, using a confidence score of 0.4 and an IoU of 0.4.
4.5. Model Complexity
The Deep Forest model is notable for its resource efficiency due to its smaller number of parameters, making it suitable for systems with hardware limitations and for fast inference. However, its simplicity limits its accuracy in complex scenarios (Figure 10c). In contrast, the RT-DETR and Yolov9 models, with more parameters, require more computational resources but achieve a higher accuracy (Figure 10f,i), especially with augmented data. Deep Forest did not benefit from data augmentation, showing a decrease in performance (Figure 7d), suggesting that its architecture is not the best alternative for this type of detection.
When using data augmentation, RT-DETR and Yolov9 significantly improved the precision, recall, and mAP. RT-DETR was particularly fast in convergence during training (Figure 12), achieved better results with fewer epochs, and maintained its performance even on unseen images (Figure 14).
Compared to previous studies during the testing stage, Santos et al. [15], using Yolov3, achieved over 90% of metrics with 512 × 512-pixel mosaics, although with limitations in counting young plants. Lopez [36], using Yolov4, achieved over 91% in detecting coffee plants, while Wang et al. [77] exceeded 85% with 640 × 640-pixel mosaics and long training. The above puts into context that our study achieved superior metrics during the evaluation stage using the RT-DETR model according to the model complexity used in terms of the GFLOPs and number of parameters (see Table 1) and fine-tuning using 36 epochs during the training phase.
4.6. Limitations of the Work
Although the models used in this study demonstrated promising results for coffee plantation detection, several important limitations must be acknowledged, which could affect the robustness and scalability of the DL models.
One key limitation is the margin of error and variability inherent in the models. The performance of the models varies depending on factors such as the visual complexity, canopy overlap, and environmental conditions. For instance, dense vegetation, varying light conditions, or mixed vegetation types can complicate plant detection and lead to higher error rates. While the observed margin of error was within an acceptable 10–15% range, reducing these errors is critical for applications requiring higher precision.
Another limitation stems from the size and diversity of the dataset. The dataset used in this study, although appropriate for training the models, lacks diversity in terms of environmental variability, plant types, and growth stages. A more extensive and diverse dataset, incorporating various weather conditions, plant health states, and different growth stages of coffee plants, would likely improve the generalization capability of the models. However, creating such large and varied datasets can be time-consuming and costly, particularly when high-quality annotated data are required.
Despite the application of data augmentation, the models showed trends in the loss curves indicating that the validation set was not representative when non-realistic transformations (e.g., shear, noise, and gloss) were applied. These transformations sometimes altered the context of the training data, reducing the ability to generalize to real-world conditions. Future work should focus on refining data enhancement techniques to compensate for variability in the training data without compromising the natural characteristics of the detected objects.
Practical adaptation and deployment in real agricultural environments pose additional challenges. While the models showed good results in controlled settings, integrating them into operational systems for farmers requires optimizing the models for limited computational resources and ensuring that they are easy to use. Furthermore, multispectral imagery could offer advantages in detecting plants under complex conditions by highlighting features not visible in traditional RGB images. Future work should explore this potential to improve model performance.
Finally, while this study focused on coffee plantations, the ability to scale the models to other crops, with different visual characteristics or environmental conditions, remains an open question. The models’ adaptability to other agricultural systems, such as multi-crop detection, could expand their utility across different farming contexts.
5. Conclusions and Outlook
From the integration of the three deep learning frameworks—Deep Forest, RT-DERT, and Yolov9—it was possible to establish a workflow that allowed us to obtain good detection results with a relatively small dataset and create this comparative study of the three frameworks for the detection of coffee crops in a tropical environment. Based on a data augmentation methodology, we were able to optimize yield metrics and loss functions, allowing a flexible adaptation of the frameworks in complex agroforestry systems acquired by close-range photogrammetry, improving the detection process of coffee plantations with respect to traditional field methodologies.
A multivariate environment was used at the structural and coverage level within the AFS for highland crops. It was evidenced that during the training processes for the raw and augmented datasets, the Deep Forest framework achieved better management of computational resources compared to RT-DETR and Yolov9. The last framework is the one that requires the highest computational effort and maximum duration. In terms of performance and loss function, it can be concluded that the Deep Forest framework exhibited a relatively lower performance due to the limitations of the ResNet50 architecture, which has been outperformed by more recent approaches in both functionality and architecture. This indicates that the model did not achieve an adequate precision level and was unable to generalize effectively across the range of scenarios and conditions evaluated. Using data augmented optimization methodology, the RT-DETR and Yolov9 frameworks were superior by at least 10% in all performance metrics, according to the results obtained during the training and validation stage, with a similar relative performance. It was identified, from never unseen scenarios (test images), that the RT-DETR and Yolov9 models correctly and accurately achieved the detection (+90%) of coffee plantations. Nevertheless, augmentation must be carefully handled, since it can cause poor generalization, as shown with the initial experiments performed.
RT-DETR provided the best results due to the easy generalization of instances in complex environments, but the model failed (RT-DETR@200 epochs) in detecting young coffee trees, where trainings with less epochs performed better. This indicates that the number of epochs must be adjusted according to the parameter convergence.
Finally, this study demonstrated the potential of deep learning models, in particular RT-DETR and Yolov9, to address real-world challenges in agriculture from a realistic case. At the methodological level, it provided valuable information on the practical aspects of implementing these models in agroforestry systems, offering a framework for further refinement and optimization.
For future work, the study can be extended using newer versions of the frameworks by integrating regularization techniques to stabilize the training as described by Nusrat et al. Diversifying the dataset using multispectral sensor imagery with a range of non-visible wavelengths will allow for better differentiation of target classes, which could improve the performance and accuracy of AI models used to detect coffee plantations in tropical regions with complex agroforestry systems.
Author Contributions
Conceptualization, S.A.-V., K.V.-M. and R.R.-D.; methodology, S.A.-V. and R.R.-D.; software, S.A.-V. and R.R.-D.; validation, S.A.-V. and R.R.-D.; writing—original draft preparation, S.A.-V. and R.R.-D.; writing—review and editing, R.R.-D., K.V.-M., A.C.-R., R.G.-R. and E.S.-C.; project administration, K.V.-M. and R.R.-D.; funding acquisition, K.V.-M. and R.R.-D. All authors have read and agreed to the published version of the manuscript.
Funding
This research was funded by the Research and Outreach Division (VIE), the Doctoral Engineering Program, and the Graduate Studies Office of the Instituto Tecnológico de Costa Rica (ITCR); the Costa Rica Ministry of Science, Innovation, Technology, and Telecommunications (MICITT); and the Consejo Nacional de Rectores (CONARE). This work was supported by ITCR projects VIE 1431030 and VIE 1713024, MICITT project FI-054B-19, and CONARE DIC2AFE Project by ITCR, Universidad de Costa Rica (UCR), and Universidad Nacional (UNA).
Data Availability Statement
The datasets presented in this article are not readily available because the data are part of an ongoing study. Requests to access the datasets should be directed to rrimolo@tec.ac.cr or sarriola@tec.ac.cr.
Acknowledgments
Thanks to the Engineering Doctoral Program at ITCR, for the academic support linked to this initiative. Special thanks to Ana María Durán-Quesada (Geophysical Research Center), Cristina Chinchilla-Soto (Environmental Pollution Research Center), and Marco V. Gutiérrez (Department of Agronomy) at UCR through the DIC2AFE Project, for their advice and part of the datasets used in this work.
Conflicts of Interest
The authors declare no conflicts of interest.
References
- Arriola-Valverde, S.; Villalobos-Avellan, L.C.; Villagra-Mendoza, K.; Rimolo-Donadio, R. Erosion Quantification in Runoff Agriculture Plots by Multitemporal High-Resolution UAS Digital Photogrammetry. IEEE J. Sel. Top. Appl. Earth Obs. Remote Sens. 2020, 13, 6326–6336. [Google Scholar] [CrossRef]
- Niedbała, G.; Piekutowska, M.; Hara, P. New Trends and Challenges in Precision and Digital Agriculture. Agronomy 2023, 13, 2136. [Google Scholar] [CrossRef]
- Cruz-Naranjo, J. Detección de Regiones de Café en Imágenes Aéreas de Plantaciones Costarricenses. Master’s Thesis, Maestría en Electrónica. Instituto Tecnológico de Costa Rica, Cartago, Costa Rica, 2022. Available online: https://repositoriotec.tec.ac.cr/handle/2238/14082 (accessed on 24 July 2024).
- Hatfield, J.L.; Antle, J.; Garrett, K.A.; Izaurralde, R.C.; Mader, T.; Marshall, E.; Nearing, M.; Robertson, G.P.; Ziska, L. Indicators of climate change in agricultural systems. Clim. Chang. 2018, 163, 1719–1732. [Google Scholar] [CrossRef]
- Sott, M.K.; Furstenau, L.B.; Kipper, L.M.; Giraldo, F.D.; Lopez-Robles, J.R.; Cobo, M.J.; Zahid, A.; Abbasi, Q.H.; Imran, M.A. Precision Techniques and Agriculture 4.0 Technologies to Promote Sustainability in the Coffee Sector: State of the Art, Challenges and Future Trends. IEEE Access 2020, 8, 149854–149867. [Google Scholar] [CrossRef]
- Soussi, A.; Zero, E.; Sacile, R.; Trinchero, D.; Fossa, M. Smart Sensors and Smart Data for Precision Agriculture: A Review. Sensors 2024, 24, 2647. [Google Scholar] [CrossRef] [PubMed]
- Shukla, B.K.; Maurya, N.; Sharma, M. Advancements in Sensor-Based Technologies for Precision Agriculture: An Exploration of Interoperability, Analytics and Deployment Strategies. Eng. Proc. 2023, 58, 22. [Google Scholar] [CrossRef]
- Sishodia, R.P.; Ray, R.L.; Singh, S.K. Applications of Remote Sensing in Precision Agriculture: A Review. Remote Sens. 2020, 12, 3136. [Google Scholar] [CrossRef]
- Contreras-Castillo, J.; Guerrero-Ibañez, J.A.; Santana-Mancilla, P.C.; Anido-Rifón, L. SAgric-IoT: An IoT-Based Platform and Deep Learning for Greenhouse Monitoring. Appl. Sci. 2023, 13, 1961. [Google Scholar] [CrossRef]
- Qin, Z.; Zhang, M.; Christensen, T.; Li, W.; Tang, H. Remote Sensing Analysis of Rice Disease Stresses for Farm Pest Management Using Wide-Band Airborne Data. In Proceedings of the IGARSS 2003. 2003 IEEE International Geoscience and Remote Sensing Symposium. Proceedings (IEEE Cat. No.03CH37477), Toulouse, France, 21–25 July 2003; Volume 4, pp. 2215–2217. [Google Scholar] [CrossRef]
- Psiroukis, V.; Espejo-Garcia, B.; Chitos, A.; Dedousis, A.; Karantzalos, K.; Fountas, S. Assessment of Different Object Detectors for the Maturity Level Classification of Broccoli Crops Using UAV Imagery. Remote Sens. 2022, 14, 731. [Google Scholar] [CrossRef]
- Arriola-Valverde, S.; Villagra-Mendoza, K.; Méndez-Morales, M.; Solórzano-Quintana, M.; Gómez-Calderón, N.; Rimolo-Donadio, R. Analysis of Crop Dynamics through Close-Range UAS Photogrammetry. In Proceedings of the 2020 IEEE International Symposium on Circuits and Systems (ISCAS), Seville, Spain, 12–14 October 2020; pp. 1–5. [Google Scholar] [CrossRef]
- Arriola-Valverde, S.; López-Rojas, S.; Ramírez-Valerio, D.; Somarriba-Chavez, E.; Rimolo-Donadio, R. Coffee Crop Detection from UAS Orthomaps with Convolutional Neural Networks. In Proceedings of the 2023 IEEE Conference on AgriFood Electronics (CAFE), Torino, Italy, 25–27 September 2023; pp. 5–9. [Google Scholar] [CrossRef]
- Abebaw, A.; Kumar, S. Deep Learning Methods for Land Cover and Land Use Classification in Remote Sensing: A Review. In Proceedings of the 2020 8th International Conference on Reliability, Infocom Technologies and Optimization (Trends and Future Directions) (ICRITO), Noida, India, 4–5 June 2020; Volume 6, pp. 903–908. [Google Scholar] [CrossRef]
- Santana, L.S.; Ferraz, G.A.S.; dos Santos, G.H.R.; Bento, N.L.; Faria, R.d.O. Identification and Counting of Coffee Trees Based on Convolutional Neural Network Applied to RGB Images Obtained by RPA. Sustainability 2023, 15, 820. [Google Scholar] [CrossRef]
- Han, P.; Ma, C.; Chen, J.; Chen, L.; Bu, S.; Xu, S.; Zhao, Y.; Zhang, C.; Hagino, T. Fast Tree Detection and Counting on UAVs for Sequential Aerial Images with Generating Orthophoto Mosaicing. Remote Sens. 2022, 14, 4113. [Google Scholar] [CrossRef]
- Adegun, A.A.; Viriri, S.; Tapamo, J.R. Review of deep learning methods for remote sensing satellite images classification: Experimental survey and comparative analysis. J. Big Data 2023, 10, 93. [Google Scholar] [CrossRef]
- Weinstein, B.G.; Marconi, S.; Bohlman, S.; Zare, A.; White, E. Individual Tree-Crown Detection in RGB Imagery Using Semi-Supervised Deep Learning Neural Networks. Remote Sens. 2019, 11, 1309. [Google Scholar] [CrossRef]
- Xie, T.; Han, W.; Xu, S. YOLO-RS: A More Accurate and Faster Object Detection Method for Remote Sensing Images. Remote Sens. 2023, 15, 3863. [Google Scholar] [CrossRef]
- Min, L.; Fan, Z.; Lv, Q.; Reda, M.; Shen, L.; Wang, B. YOLO-DCTI: Small Object Detection in Remote Sensing Base on Contextual Transformer Enhancement. Remote Sens. 2023, 15, 3970. [Google Scholar] [CrossRef]
- Zhu, J.; Chen, X.; Zhang, H.; Tan, Z.; Wang, S.; Ma, H. Transformer Based Remote Sensing Object Detection With Enhanced Multispectral Feature Extraction. IEEE Geosci. Remote Sens. Lett. 2023, 20, 5001405. [Google Scholar] [CrossRef]
- Aleissaee, A.A.; Kumar, A.; Anwer, R.M.; Khan, S.; Cholakkal, H.; Xia, G.-S.; Khan, F.S. Transformers in Remote Sensing: A Survey. Remote Sens. 2023, 15, 1860. [Google Scholar] [CrossRef]
- Cheng, G.; Han, J.; Guo, L.; Qian, X.; Zhou, P.; Yao, X.; Hu, X. Object detection in remote sensing imagery using a discriminatively trained mixture model. ISPRS J. Photogramm. Remote Sens. 2013, 85, 32–43. [Google Scholar] [CrossRef]
- Lin, Y.-C.; Zhou, T.; Wang, T.; Crawford, M.; Habib, A. New Orthophoto Generation Strategies from UAV and Ground Remote Sensing Platforms for High-Throughput Phenotyping. Remote Sens. 2021, 13, 860. [Google Scholar] [CrossRef]
- Dwyer, B.; Nelson, J.; Hansen, T. Roboflow (Version 1.0) [Software]. 2024. Available online: https://roboflow.com (accessed on 27 July 2024).
- ICAFE. Valle Central. Available online: www.icafe.cr/nuestro-cafe/regiones-cafetaleras/valle-central/ (accessed on 29 July 2024).
- Povlsen, P.; Linder, A.C.; Larsen, H.L.; Durdevic, P.; Arroyo, D.O.; Bruhn, D.; Pertoldi, C.; Pagh, S. Using Drones with Thermal Imaging to Estimate Population Counts of European Hare (Lepus europaeus) in Denmark. Drones 2022, 7, 5. [Google Scholar] [CrossRef]
- Zeybek, M.; Taşkaya, S.; Elkhrachy, I.; Tarolli, P. Improving the Spatial Accuracy of UAV Platforms Using Direct Georeferencing Methods: An Application for Steep Slopes. Remote Sens. 2023, 15, 2700. [Google Scholar] [CrossRef]
- Pampanoni, V.; Fascetti, F.; Cenci, L.; Laneve, G.; Santella, C.; Boccia, V. Analysing the Relationship between Spatial Resolution, Sharpness and Signal-to-Noise Ratio of Very High Resolution Satellite Imagery Using an Automatic Edge Method. Remote Sens. 2024, 16, 1041. [Google Scholar] [CrossRef]
- Elkhrachy, I. 3D Structure from 2D Dimensional Images Using Structure from Motion Algorithms. Sustainability 2022, 14, 5399. [Google Scholar] [CrossRef]
- Pell, T.; Li, J.Y.Q.; Joyce, K.E. Demystifying the Differences between Structure-from-Motion Software Packages for Pre-Processing Drone Data. Drones 2022, 6, 24. [Google Scholar] [CrossRef]
- Tinkham, W.T.; Swayze, N.C. Influence of Agisoft Metashape Parameters on UAS Structure from Motion Individual Tree Detection from Canopy Height Models. Forests 2021, 12, 250. [Google Scholar] [CrossRef]
- Röder, M.; Hill, S.; Latifi, H. Best Practice Tutorial: Technical Handling of the UAV “DJI Phantom 3 Professional” and Processing of the Acquired Data; Technical Report; University of Würzburg: Würzburg, Germany, 2017. [Google Scholar] [CrossRef]
- De Cock, A.; Vandeputte, R.; Bruneel, S.; De Cock, L.; Liu, X.; Bermúdez, R.; Vanhaeren, N.; De Wit, B.; Ochoa, D.; De Maeyer, P.; et al. Construction of an Orthophoto-Draped 3D Model and Classification of Intertidal Habitats Using UAV Imagery in the Galapagos Archipelago. Drones 2023, 7, 416. [Google Scholar] [CrossRef]
- Htun, N.M.; Owari, T.; Tsuyuki, S.; Hiroshima, T. Integration of Unmanned Aerial Vehicle Imagery and Machine Learning Technology to Map the Distribution of Conifer and Broadleaf Canopy Cover in Uneven-Aged Mixed Forests. Drones 2023, 7, 705. [Google Scholar] [CrossRef]
- Lopez-Rojas, S. Seguimiento de Plantaciones de Café a Través de Fotogrametría UAS y Técnicas de Aprendizaje Profundo. Master’s Thesis, Maestría en Electrónica. Escuela de Ingeniería Electrónica, Cartago, Costa Rica, 2022. Available online: https://repositoriotec.tec.ac.cr/handle/2238/14266 (accessed on 5 September 2024).
- Marzialetti, F.; Frate, L.; De Simone, W.; Frattaroli, A.R.; Acosta, A.T.R.; Carranza, M.L. Unmanned Aerial Vehicle (UAV)-Based Mapping of Acacia saligna Invasion in the Mediterranean Coast. Remote Sens. 2021, 13, 3361. [Google Scholar] [CrossRef]
- Inzerillo, L.; Acuto, F.; Di Mino, G.; Uddin, M.Z. Super-Resolution Images Methodology Applied to UAV Datasets to Road Pavement Monitoring. Drones 2022, 6, 171. [Google Scholar] [CrossRef]
- Arriola-Valverde, S.; Ruiz-Barquero, A.; Rimolo-Donadio, R. Comparison of LiDAR and RGB Sensor Technologies Applied to Close-Range Remote Sensing. In Proceedings of the 2023 IEEE MTT-S Latin America Microwave Conference (LAMC), San José, Costa Rica, 6–8 December 2023; pp. 42–45. [Google Scholar] [CrossRef]
- Shorten, C.; Khoshgoftaar, T.M. A survey on Image Data Augmentation for Deep Learning. J. Big Data 2019, 6, 60. [Google Scholar] [CrossRef]
- Ghaffar, M.A.; McKinstry, A.; Maul, T.; Vu, T.T. Data Augmentation Approaches for Satellite Image Super-Resolution. ISPRS Ann. Photogramm. Remote Sens. Spat. Inf. Sci. 2019, 4, 47–54. [Google Scholar] [CrossRef]
- Ziemann, A.; Pitts, T. Exploring feature augmentation as a method for improving panchromatic remote sensing change detection. In Proceedings of the 2020 IEEE Southwest Symposium on Image Analysis and Interpretation (SSIAI), Albuquerque, NM, USA, 29–31 March 2020; pp. 82–85. [Google Scholar] [CrossRef]
- Pei, Z.; Xu, H.; Zhang, Y.; Guo, M.; Yang, Y.-H. Face Recognition via Deep Learning Using Data Augmentation Based on Orthogonal Experiments. Electronics 2019, 8, 1088. [Google Scholar] [CrossRef]
- Bonnici, E.; Arm, P. The Impact of Data Augmentation on Classification Accuracy and Training Time in Handwritten Character Recognition. Bachelor’s Thesis, KTH Royal Institute of Technology, Stockholm, Sweden, 2021. Available online: https://www.diva-portal.org/smash/get/diva2:1597542/FULLTEXT01.pdf (accessed on 5 September 2024).
- Pawluszek-Filipiak, K.; Borkowski, A. On the Importance of Train—Test Split Ratio of Datasets in Automatic Landslide Detection by Supervised Classification. Remote Sens. 2020, 12, 3054. [Google Scholar] [CrossRef]
- Oliveira, M.F.D.; Ortiz, B.V.; Morata, G.T.; Jiménez, A.-F.; Rolim, G.D.S.; Silva, R.P.D. Training Machine Learning Algorithms Using Remote Sensing and Topographic Indices for Corn Yield Prediction. Remote Sens. 2022, 14, 6171. [Google Scholar] [CrossRef]
- Li, Z.; Wang, Y.; Zhang, N.; Zhang, Y.; Zhao, Z.; Xu, D.; Ben, G.; Gao, Y. Deep Learning-Based Object Detection Techniques for Remote Sensing Images: A Survey. Remote Sens. 2022, 14, 2385. [Google Scholar] [CrossRef]
- Weinstein, B.G.; Marconi, S.; Aubry-Kientz, M.; Vincent, G.; Senyondo, H.; White, E.P. DeepForest: A Python package for RGB deep learning tree crown delineation. Methods Ecol. Evol. 2020, 11, 1743–1751. [Google Scholar] [CrossRef]
- Zhao, Y.; Lv, W.; Xu, S.; Wei, J.; Wang, G.; Dang, Q.; Liu, Y.; Chen, J. DETRs 740 Beat YOLOs on Real-Time Object Detection. arXiv 2023, arXiv:2304.08069. [Google Scholar]
- Wang, C.Y.; Yeh, I.H.; Mark Liao, H.Y. YOLOv9: Learning What You Want to Learn Using Programmable Gradient Information. In Computer Vision—ECCV 2024; Springer: Cham, Switzerland, 2024. [Google Scholar]
- Laitala, J.; Ruotsalainen, L. Computer Vision Based Planogram Compliance Evaluation. Appl. Sci. 2023, 13, 10145. [Google Scholar] [CrossRef]
- Kotsilieris, T.; Anagnostopoulos, I.; Livieris, I.E. Special Issue: Regularization Techniques for Machine Learning and Their Applications. Electronics 2022, 11, 521. [Google Scholar] [CrossRef]
- Zhao, Y.; Lv, W.; Xu, S.; Wei, J.; Wang, G.; Dang, Q.; Liu, Y.; Chen, J. DETRs Beat YOLOs on Real-time Object Detection. In Proceedings of the IEEE/CVF Conference on Computer Vision and Pattern Recognition (CVPR), Vancouver, BC, Canada, 17–24 June 2023. [Google Scholar]
- Zhang, X.; Wu, K.; Ma, Q.; Chen, Z. Research on Object Detection Model Based on Feature Network Optimization. Processes 2021, 9, 1654. [Google Scholar] [CrossRef]
- Weinstein, B.G.; Marconi, S.; Bohlman, S.A.; Zare, A.; White, E.P. Cross-site learning in deep learning RGB tree crown detection. Ecol. Inform. 2020, 56, 101061. [Google Scholar] [CrossRef]
- He, K.; Zhang, X.; Ren, S.; Sun, J. Deep Residual Learning for Image Recognition. In Proceedings of the 2016 IEEE Conference on Computer Vision and Pattern Recognition (CVPR), Las Vegas, NV, USA, 27–30 June 2016; pp. 770–778. [Google Scholar] [CrossRef]
- Yue, M.; Zhang, L.; Huang, J.; Zhang, H. Lightweight and Efficient Tiny-Object Detection Based on Improved YOLOv8n for UAV Aerial Images. Drones 2024, 8, 276. [Google Scholar] [CrossRef]
- Liu, M.; Wang, H.; Du, L.; Ji, F.; Zhang, M. Bearing-DETR: A Lightweight Deep Learning Model for Bearing Defect Detection Based on RT-DETR. Sensors 2024, 24, 4262. [Google Scholar] [CrossRef]
- Wang, S.; Jiang, H.; Yang, J.; Ma, X.; Chen, J.; Li, Z.; Tang, X. Lightweight Tomato Ripeness Detection Algorithm Based on the Improved RT-DETR. Front. Plant Sci. 2024, 15, 1415297. [Google Scholar] [CrossRef]
- Chandra, N.; Vaidya, H.; Sawant, S.; Meena, S.R. A Novel Attention-Based Generalized Efficient Layer Aggregation Network for Landslide Detection from Satellite Data in the Higher Himalayas, Nepal. Remote Sens. 2024, 16, 2598. [Google Scholar] [CrossRef]
- Wang, C.Y.; Liao, H.Y.M.; Wu, Y.H.; Chen, P.Y.; Hsieh, J.W.; Yeh, I.H. CSPNet: A new backbone that can enhance learning capability of CNN. In Proceedings of the IEEE/CVF Conference on Computer Vision and Pattern Recognition Workshops, Seattle, WA, USA, 14–19 June 2020; pp. 390–391. [Google Scholar]
- Wang, C.Y.; Liao, H.Y.M.; Yeh, I.H. Designing network design strategies through gradient path analysis. arXiv 2022, arXiv:2211.04800. [Google Scholar]
- Yang, S.; Cao, Z.; Liu, N.; Sun, Y.; Wang, Z. Maritime Electro-Optical Image Object Matching Based on Improved YOLOv9. Electronics 2024, 13, 2774. [Google Scholar] [CrossRef]
- Nusrat, I.; Jang, S.-B. A Comparison of Regularization Techniques in Deep Neural Networks. Symmetry 2018, 10, 648. [Google Scholar] [CrossRef]
- Wang, X.; Ren, H.; Wang, A. Smish: A Novel Activation Function for Deep Learning Methods. Electronics 2022, 11, 540. [Google Scholar] [CrossRef]
- Shan, B.; Fang, Y. A Cross Entropy Based Deep Neural Network Model for Road Extraction from Satellite Images. Entropy 2020, 22, 535. [Google Scholar] [CrossRef]
- Zhang, R.; Zhu, Y.; Ge, Z.; Mu, H.; Qi, D.; Ni, H. Transfer Learning for Leaf Small Dataset Using Improved ResNet50 Network with Mixed Activation Functions. Forests 2022, 13, 2072. [Google Scholar] [CrossRef]
- Li, X.; Lv, C.; Wang, W.; Li, G.; Yang, L.; Yang, J. Generalized Focal Loss: Towards Efficient Representation Learning for Dense Object Detection. IEEE Trans. Pattern Anal. Mach. Intell. 2023, 45, 3139–3153. [Google Scholar] [CrossRef] [PubMed]
- Aigner, S.; Körner, M. The Importance of Loss Functions for Increasing the Generalization Abilities of a Deep Learning-Based Next Frame Prediction Model for Traffic Scenes. Mach. Learn. Knowl. Extr. 2020, 2, 78–98. [Google Scholar] [CrossRef]
- Ghazouali, E.; Safouane; Mhirit, Y.; Oukhrid, A.; Michelucci, U.; Nouira, H. FusionVision: A Comprehensive Approach of 3D Object Reconstruction and Segmentation from RGB-D Cameras Using YOLO and Fast Segment Anything. Sensors 2024, 24, 2889. [Google Scholar] [CrossRef]
- Zhang, K.; Zhang, Z.; Li, Z.; Qiao, Y. Joint Face Detection and Alignment Using Multitask Cascaded Convolutional Networks. IEEE Signal Process. Lett. 2016, 23, 1499–1503. [Google Scholar] [CrossRef]
- Sun, C.; Chen, Y.; Qiu, X.; Li, R.; You, L. MRD-YOLO: A Multispectral Object Detection Algorithm for Complex Road Scenes. Sensors 2024, 24, 3222. [Google Scholar] [CrossRef]
- Zeng, Q.; Zhou, G.; Wan, L.; Wang, L.; Xuan, G.; Shao, Y. Detection of Coal and Gangue Based on Improved YOLOv8. Sensors 2024, 24, 1246. [Google Scholar] [CrossRef]
- Maxwell, A.E.; Warner, T.A.; Guillén, L.A. Accuracy Assessment in Convolutional Neural Network-Based Deep Learning Remote Sensing Studies—Part 2: Recommendations and Best Practices. Remote Sens. 2021, 13, 2591. [Google Scholar] [CrossRef]
- Barinov, R.; Gai, V.; Kuznetsov, G.; Golubenko, V. Automatic Evaluation of Neural Network Training Results. Computers 2023, 12, 26. [Google Scholar] [CrossRef]
- Lin, C.H.; Kaushik, C.; Dyer, E.L.; Muthukumar, V. The good, the bad and the ugly sides of data augmentation: An implicit spectral regularization perspective. J. Mach. Learn. Res. 2022, 25, 1–85. [Google Scholar]
- Zhang, J.; Hong, Z.; Chen, X.; Li, Y. Few-Shot Object Detection for Remote Sensing Imagery Using Segmentation Assistance and Triplet Head. Remote Sens. 2024, 16, 3630. [Google Scholar] [CrossRef]
- Wang, X.; Zhang, C.; Qiang, Z.; Liu, C.; Wei, X.; Cheng, F. A Coffee Plant Counting Method Based on Dual-Channel NMS and YOLOv9 Leveraging UAV Multispectral Imaging. Remote Sens. 2024, 16, 3810. [Google Scholar] [CrossRef]
- Aeberli, A.; Johansen, K.; Robson, A.; Lamb, D.W.; Phinn, S. Detection of Banana Plants Using Multi-Temporal Multispectral UAV Imagery. Remote Sens. 2021, 13, 2123. [Google Scholar] [CrossRef]
- Lin, H.; Chen, Z.; Qiang, Z.; Tang, S.-K.; Liu, L.; Pau, G. Automated Counting of Tobacco Plants Using Multispectral UAV Data. Agronomy 2023, 13, 2861. [Google Scholar] [CrossRef]
- Kamilaris, A.; Prenafeta-Boldú, F.X. Deep Learning in Agriculture: A Survey. Comput. Electron. Agric. 2018, 147, 70–90. [Google Scholar] [CrossRef]
- Zhou, Z.-H.; Feng, J. Deep Forest. Natl. Sci. Rev. 2018, 6, 74–86. [Google Scholar] [CrossRef]
- Pu, H.; Chen, X.; Yang, Y.; Tang, R.; Luo, J.; Wang, Y.; Mu, J. Tassel-YOLO: A New High-Precision and Real-Time Method for Maize Tassel Detection and Counting Based on UAV Aerial Images. Drones 2023, 7, 492. [Google Scholar] [CrossRef]
- Ajayi, O.G.; Ibrahim, P.O.; Adegboyega, O.S. Effect of Hyperparameter Tuning on the Performance of YOLOv8 for Multi Crop Classification on UAV Images. Appl. Sci. 2024, 14, 5708. [Google Scholar] [CrossRef]
- Zhao, Z.; Chen, S.; Ge, Y.; Yang, P.; Wang, Y.; Song, Y. RT-DETR-Tomato: Tomato Target Detection Algorithm Based on Improved RT-DETR for Agricultural Safety Production. Appl. Sci. 2024, 14, 6287. [Google Scholar] [CrossRef]
Disclaimer/Publisher’s Note: The statements, opinions and data contained in all publications are solely those of the individual author(s) and contributor(s) and not of MDPI and/or the editor(s). MDPI and/or the editor(s) disclaim responsibility for any injury to people or property resulting from any ideas, methods, instructions or products referred to in the content. |
© 2024 by the authors. Licensee MDPI, Basel, Switzerland. This article is an open access article distributed under the terms and conditions of the Creative Commons Attribution (CC BY) license (https://creativecommons.org/licenses/by/4.0/).