Next Article in Journal
Identification of a Potential Rare Earth Element Deposit at Ivanpah Dry Lake, California Through the Bastnäsite Indices
Previous Article in Journal
Classifying Serrated Tussock Cover from Aerial Imagery Using RGB Bands, RGB Indices, and Texture Features
 
 
Font Type:
Arial Georgia Verdana
Font Size:
Aa Aa Aa
Line Spacing:
Column Width:
Background:
Article

Integrating Hyperspectral, Thermal, and Ground Data with Machine Learning Algorithms Enhances the Prediction of Grapevine Yield and Berry Composition

by
Shaikh Yassir Yousouf Jewan
1,2,3,
Deepak Gautam
4,
Debbie Sparkes
1,
Ajit Singh
2,
Lawal Billa
5,
Alessia Cogato
6,
Erik Murchie
1 and
Vinay Pagay
3,*
1
Division of Plant and Crop Sciences, School of Biosciences, University of Nottingham, Sutton Bonington, Loughborough LE12 5RD, UK
2
School of Biosciences, University of Nottingham Malaysia Campus, Semenyih 43500, Selangor, Malaysia
3
School of Agriculture, Food and Wine, University of Adelaide, PMB 1, Adelaide, SA 5064, Australia
4
Geospatial Science, School of Science, Science, Technology, Engineering and Mathematics College, Royal Melbourne Institute of Technology, GPO Box 2476, Melbourne, VIC 3001, Australia
5
School of Environmental and Geographical Sciences, University of Nottingham Malaysia Campus, Semenyih 43500, Selangor, Malaysia
6
Department of Land, Environment, Agriculture and Forestry, University of Padova Viale dell’Università, 16-35020 Legnaro, PD, Italy
*
Author to whom correspondence should be addressed.
Remote Sens. 2024, 16(23), 4539; https://doi.org/10.3390/rs16234539
Submission received: 28 September 2024 / Revised: 19 November 2024 / Accepted: 29 November 2024 / Published: 4 December 2024
(This article belongs to the Section Remote Sensing in Agriculture and Vegetation)

Abstract

Accurately predicting grapevine yield and quality is critical for optimising vineyard management and ensuring economic viability. Numerous studies have reported the complexity in modelling grapevine yield and quality due to variability in the canopy structure, challenges in incorporating soil and microclimatic factors, and management practices throughout the growing season. The use of multimodal data and machine learning (ML) algorithms could overcome these challenges. Our study aimed to assess the potential of multimodal data (hyperspectral vegetation indices (VIs), thermal indices, and canopy state variables) and ML algorithms to predict grapevine yield components and berry composition parameters. The study was conducted during the 2019/20 and 2020/21 grapevine growing seasons in two South Australian vineyards. Hyperspectral and thermal data of the canopy were collected at several growth stages. Simultaneously, grapevine canopy state variables, including the fractional intercepted photosynthetically active radiation (fiPAR), stem water potential (Ψstem), leaf chlorophyll content (LCC), and leaf gas exchange, were collected. Yield components were recorded at harvest. Berry composition parameters, such as total soluble solids (TSSs), titratable acidity (TA), pH, and the maturation index (IMAD), were measured at harvest. A total of 24 hyperspectral VIs and 3 thermal indices were derived from the proximal hyperspectral and thermal data. These data, together with the canopy state variable data, were then used as inputs for the modelling. Both linear and non-linear regression models, such as ridge (RR), Bayesian ridge (BRR), random forest (RF), gradient boosting (GB), K-Nearest Neighbour (KNN), and decision trees (DTs), were employed to model grape yield components and berry composition parameters. The results indicated that the GB model consistently outperformed the other models. The GB model had the best performance for the total number of clusters per vine (R2 = 0.77; RMSE = 0.56), average cluster weight (R2 = 0.93; RMSE = 0.00), average berry weight (R2 = 0.95; RMSE = 0.00), cluster weight (R2 = 0.95; RMSE = 0.13), and average berries per bunch (R2 = 0.93; RMSE = 0.83). For the yield, the RF model performed the best (R2 = 0.97; RMSE = 0.55). The GB model performed the best for the TSSs (R2 = 0.83; RMSE = 0.34), pH (R2 = 0.93; RMSE = 0.02), and IMAD (R2 = 0.88; RMSE = 0.19). However, the RF model performed best for the TA (R2 = 0.83; RMSE = 0.33). Our results also revealed the top 10 predictor variables for grapevine yield components and quality parameters, namely, the canopy temperature depression, LCC, fiPAR, normalised difference infrared index, Ψstem, stomatal conductance (gs), net photosynthesis (Pn), modified triangular vegetation index, modified red-edge simple ratio, and ANTgitelson index. These predictors significantly influence the grapevine growth, berry quality, and yield. The identification of these predictors of the grapevine yield and fruit composition can assist growers in improving vineyard management decisions and ultimately increase profitability.

Graphical Abstract

1. Introduction

Grapes are among the most cultivated perennial fruit crops in the world, grown extensively in the Mediterranean and semi-arid regions, which are often affected by water stress and extreme temperatures [1]. Grapevine yield components (i.e., the number of clusters per vine, berries per cluster, and berry weight) and berry composition parameters depend on climatic conditions, vineyard management practices, and field conditions [2]. The environmental effects on grape yield components and berry composition parameters are difficult to foresee due to complex interactions between factors such as climate, soil conditions, vineyard management practices, and grapevine physiology. However, it is well established that seasonal or inter-seasonal abiotic factors, such as the air temperature, water status, and radiation intensity, are determining factors on the fruitfulness, berry composition, bunch number, berry weight, and overall yield components [3,4]. Water availability and vine water status are two important factors that affect the grape yield components and berry composition parameters. Water stress reduces the leaf area and lowers the stomatal conductance, which, in turn, impacts photosynthesis, thus affecting the synthesis and accumulation of sugars and acids in the berries [5]. Other factors that impact the grape yield and berry composition include the phenology, photosynthesis, transpiration, and both cultural practices (e.g., fertiliser input, disease control, irrigation, and pruning) and canopy management practices (e.g., leaf removal, shoot thinning, and canopy trimming). Grape yield prediction allows growers to decide on vineyard management practices, labour requirements, storage, pricing, transport, and marketing [6]. Grape yield in units of mass at the plot scale are determined by the association of the yield components in an empirical formula as detailed in [7]. Yield components develop from reproductive organs during the grapevine life cycle and include the number of clusters per vine, cluster weight, number of berries per cluster, and berry weight. Grape yield components can be used to assess the stages of grapevine reproductive and yield development. For instance, high annual variability in the final grape yield is determined by the number of clusters per vine, which explained 39% to 99% of the temporal yield variance [8]. The number of berries per cluster, berry weight, and the interaction of the number of clusters per vine and the number of berries per cluster explained 11%, 4%, and 20% of the yield variability, respectively [8]. On the other hand, grape cluster compactness and berry weight are components related to the grape yield and berry composition. Viticulturists and winemakers aim to optimise grape berry composition parameters, including the total soluble solids (TSSs), titratable acidity (TA), pH, and the maturation index (IMAD = TSSs/TA), for better wine flavour and consumer acceptance [9]. Berry composition parameters are often described by the TSSs and TA at harvest, which determines the shelf-life, storability, and pricing. Thus, sugar and acid contents are often considered by winegrowers to guide harvest, and in assessing the canopy’s health and photosynthetic efficiency [9]. Determining which blocks need to be harvested, and when, is based on the frequent daily preharvest organoleptic evaluation [10]. Hence, there is a need to effectively and sufficiently assess grapevine yield components and berry composition parameters at the field level to better organise both pre- and postharvest operations.
Methods, perspectives, and challenges for grapevine yield prediction were reviewed by Laurent et al. [7], Barriguinha, Neto, and Gil [11], and He et al. [6]. As highlighted in their reviews, traditional methods of determining the grapevine yield and berry composition are destructive, time-consuming, laborious, and error-prone, especially for large-scale operations comprising many vineyards at several locations. Traditional grapevine yield estimation involves several practices throughout the year. In winter, growers count the buds during pruning to estimate the potential yield. In spring, they analyse inflorescence primordia to predict cluster numbers. During the growing season, they sample clusters to measure the cluster weight and berry size. These methods, while common, have error rates ranging from 10 to 30% due to vineyard variability. Moreover, due to vineyard heterogeneity, resulting from differences between vines and variations in biophysical parameters, errors in such approaches are high [6]. Currently, analysing the berry composition requires advanced laboratory equipment and trained personnel for the laboratory tests on the samples. The tests involve analysing representative samples of berries using standard wet chemical techniques on berry extracts. Even though this method is accurate, it is often time-consuming and costly [12]. Thus, it is desirable to implement low-cost, rapid, non-destructive, and accurate technologies.
Applications of both proximal (PS) and remote sensing (RS) techniques to estimate the yield and composition have been rapidly expanding over the past decades [13,14,15,16]. As opposed to RS, PS sensors are typically handheld, mounted close to the canopies, or installed on ground-based vehicles as ‘on-the-go’ sensors. The advantages of proximal sensors include the following: (i) high spectral, spatial, and temporal resolution data, (ii) minimal influence of external conditions (weather conditions, cloud cover, and aerosols), (iii) ease of use, and (iv) being suitable for a small area; however, PS sensors can also be tractor-mounted to cover larger areas [17]. Studies investigating the potential use of PS hyperspectral technology for predicting grapevine yield components and berry composition parameters are limited. Most studies focus on hyperspectral vegetation indices (VIs) to estimate the leaf biochemical constituents, canopy health, water and heat stress, canopy state variables, physiological processes, pesticide residue, and diseases [18,19,20,21,22,23,24]. There are only a few studies assessing the effectiveness of proximal hyperspectral VIs for the estimation of the grape yield and composition. Anastasiou et al. [17] reported that proximally sensed hyperspectral VIs, such as the green normalised difference vegetation index around the veraison, presented good correlations with the berry diameter (r = −0.682) and deformation (r = −0.565). Serrano, González-Flor, and Gorchs [4] assessed 15 proximally sensed hyperspectral VIs related to the canopy structure, water status, and pigment content, and correlated them to the yield and berry composition. They reported that the NDVI consistently predicted the yield (r = 0.57; p < 0.05) across the years, while the Water Index (WI) reliably estimated both yield (r = 0.61; p < 0.01) and quality attributes like the TA (r = 0.70; p < 0.01) and IMAD (r = −0.71; p < 0.01).
Traditionally, modelling involves statistical analyses, including correlation, to establish the relationship between VIs and grapevine productivity. The retrieval of primary grapevine canopy state variables (the height, canopy reflectance, and green area index) and secondary grapevine canopy state variables (yield and evapotranspiration) from hyperspectral data can be achieved by both parametric (linear, logistic, Gaussian Naïve Bayes, and linear discriminant analysis) and non-parametric regression (K-Nearest Neighbours (kNNs), decision trees (DTs), random forests (RFs), and support vector machines (SVMs)) [25]. Recently, Maimaitiyiming et al. [9] highlighted the effectiveness of machine learning (ML) models in retrieving grape yield and berry composition attributes from 20 PS hyperspectral VIs. They employed ML models such as RF, the Weighted Extreme Learning Machine (WRELM), and their newly proposed algorithm, the TanhRe-based Weighted Regularised Extreme Learning Machine (WRELM-TanhRe). The results showed that the WRELM-TanhRe produced the highest estimation accuracy for the grape yield, TSSs, and IMAD, with R2 values ranging from 0.52 to 0.68 and RMSE values from 2 to 15%, except for the TA, which was best estimated with the WRELM (with an R2 of 0.55 and an RMSE of 6%).
Most of the previous studies focused on the prediction of the grape yield at harvest rather than individual yield components [5,9,17,26,27,28]. However, yield prediction can also be effectively conducted during the previous dormant season by assessing the bud viability and potential [29,30]. This early assessment method provides a crucial indicator of the forthcoming season’s yield, allowing for more accurate and comprehensive yield forecasts when combined with in-season monitoring techniques [31,32]. Predicting yield components is important for enhancing the grape berry composition, resource management, economic planning, climate adaptation, and precision viticulture. To date, no studies have employed a multimodal approach that integrates proximally sensed hyperspectral VIs, thermal indices, canopy state variables, and ML algorithms to estimate grapevine yield components and berry composition parameters. Moreover, this is the first study to report the predictors and their relative importance on grape yield components and berry composition parameters. Thus, in this study, we explored a comprehensive range of hyperspectral VIs, categorised into water, structure, physiology, and pigment indices, alongside thermal indices and canopy state variables, together with ML algorithms to predict grape yield components and berry composition parameters. The objectives of this study were to (i) formulate empirical models to predict grape yield components and berry composition parameters using ML regression with a combination of hyperspectral VIs, thermal indices, and crop state variables; (ii) compare the various prediction models’ performance using evaluation metrics; (iii) identify and evaluate the contribution of the input variables to the prediction models.

2. Materials and Methods

2.1. Experimental Study Site, Climatic Conditions, and Experimental Design

2.1.1. Vineyard Site 1: Adelaide—Calibration

The research was carried out at Coombe Vineyard, located on the Waite Campus of the University of Adelaide (34°58′3.47S; 138°38′0.43E), at 50 m above mean sea level (Figure 1). The study was conducted across the following two growing seasons: 2019/2020 (Season 1) and 2020/2021 (Season 2). The vineyard was 1.16 ha in area and was planted in 1990, with several vine varieties on own roots or grafted on various rootstocks. The climate of the Adelaide Plains region has been described as a Mediterranean climate characterised by wet winters and hot dry summers, with an average annual temperature of 19.0 °C and average annual rainfall of 525 mm (Adelaide West Terrace/Ngayirdapira weather station, ID: 023000; http://www.bom.gov.au accessed on 23 December 2023). The Growing Degree Days (GDDs; base 10 °C) of September–March 2019/20 and 2020/21 were 1935 and 1927, respectively. The vineyard soil type was fine sandy loam with a clay base and a slightly acidic pH varying from 6 to 7 [33]. The vineyard’s mesoclimate across the growing seasons from September to March can be found in [34]. The vineyard layout included three blocks, namely, blocks A, B, and C, with different varieties. Block A consisted of 8 varieties (each row with 1 variety), including Cabernet Franc C7V15, Cabernet Sauvignon 125, Shiraz BVRC17 (own-rooted), Merlot D3V14, Sauvignon Blanc F4V6, Semillon SA32, Riesling 17, and Chardonnay I10V1. Block B consisted of Shiraz with 8 rootstocks, including own roots, Ruggeri 140, K51-40, Teleki 5C, SO4, Ramsey, Schwarzmann, and 420A. Block C consisted exclusively of Semillon SA32 on their own roots. All of the vines were trained to a bilateral spur-pruned cordon (two buds per spur) with vertical shoot positioning. Block A and block C vines were planted at a 3.0 × 1.8 m spacing (row x vine; averaging 17 spurs/vine) with a row length of 86.4 m (3 vines/panel), resulting in a vine density of 1852 vines/ha. Block B vines were planted at a 3.0 × 2.7 m spacing (averaging 22 spurs/vine) with row length of 86.4 m (2 vines/panel), resulting in a vine density of 1234 vines/ha. Weed infestation was low and consisted mainly of broadleaf grass. Weeding was performed by ploughing. The blocks were drip-irrigated with an average of 0.5 ML/ha per month during the summer months (December–February).

2.1.2. Vineyard Site 2: Coonawarra—Validation

The independent validation data were collected from two blocks of a commercial vineyard of 17.5 ha over one growing season, 2021/2022, in Coonawarra, South Australia (37°28′52″S, 140°83′00″E), 57–63 m above sea level (Figure 2). The first experimental block (approx. 1 ha) was planted in 1988 to Cabernet Sauvignon, having a Schwarzmann rootstock, and the second block (approx. 1 ha) was planted in 2013 to Shiraz, having a Teleki 5C rootstock. The soil type was porous Terra Rossa (TR) and Rendzina (RN) red–brown clay soils overlying limestone with varying depths, which generated mild water stress. All of the vines were spur-pruned to 2-node spurs (5–6 spurs/cordon), trained according to the sprawl-type canopy, and planted in 700 m long rows in an east–west orientation. The row and vine spacing was 2.75 × 2.2 m, resulting in a vine density of 1650 vines/ha. Surface drip-irrigation was applied with a dripper flow rate of 1.6 L h−1, resulting in an average of 0.418 ML/ha per month. Vineyard management, including fertilisation, spraying, and integrated pest management, is reported in Pagay [35]. Coonawarra has a similar Mediterranean climate to Adelaide, with an average annual rainfall of 569 mm and average annual temperature of 20.3 °C (Coonawarra weather station, ID: 026091; http://www.bom.gov.au, accessed on 23 December 2023). GDDs from October to April, calculated with a base temperature of 10 °C, was 1511. Supplemental irrigation was applied from December to March. Climate and weather data for the growing season in 2021/2022 can be retrieved at Climate statistics for Australian locations [36].
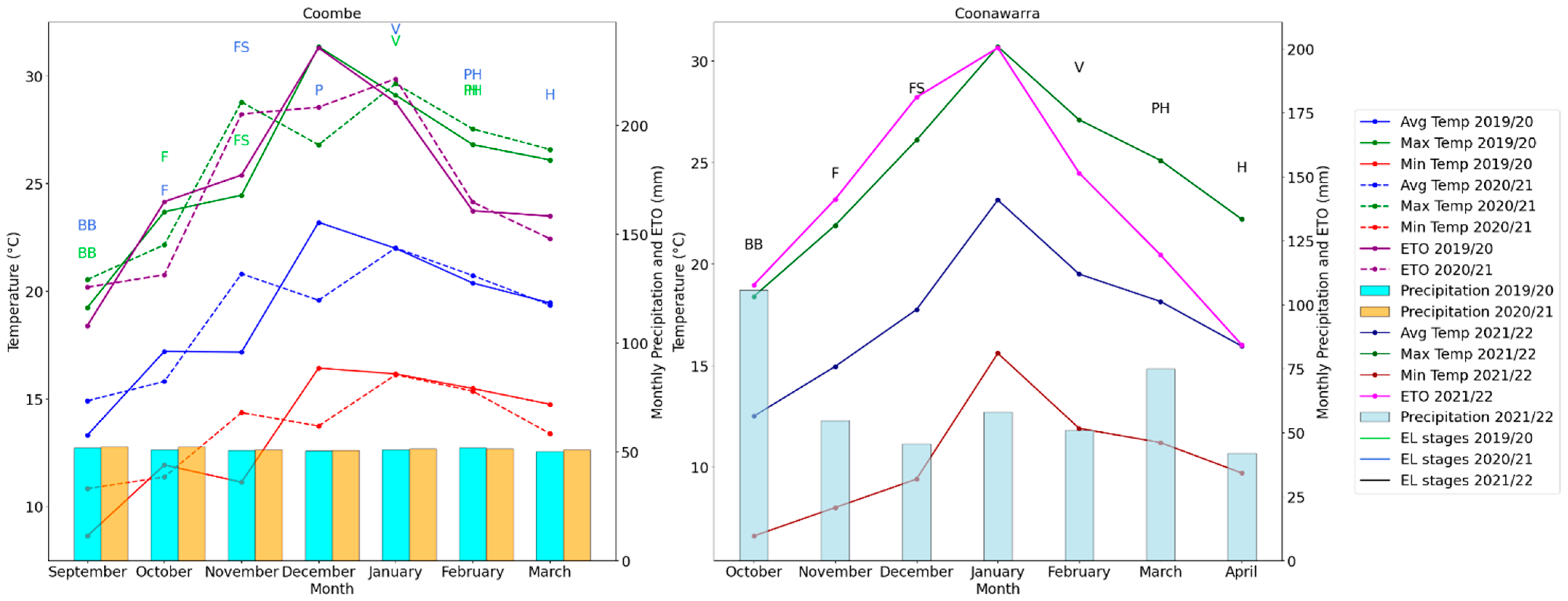
For both of the study sites, the daily potential evapotranspiration (ET0) was determined by the Penman–Monteith equation from the data of their respective weather stations. The weather–water balance (P − ET0) throughout the growing season was determined by subtracting the ET0 from the precipitation (P). Several phenological growth stages, as defined by the Eichhorn–Lorenz (EL) system, were selected for both sites. The EL system categorises grapevine growth into distinct stages, each identified by specific developmental milestones. The selected EL stages for both sites were as follows: EL 4 budburst (BB), EL 19 flowering (F), EL 27 fruit set (FS), EL 31 pea size (PS), EL 35 veraison (V), EL 37 preharvest (PH), and EL 38 harvest (H) for the vines. A detailed description of the EL stages can be found in Coombe [37]. The weather conditions at the Coombe and Coonawarra vineyards during the 2019/20, 2020/21, and 2021/22 growing seasons is shown in Figure 3. Data collection was carried out during these phenological stages.

2.2. Measurement of Canopy State Variables and Hyperspectral Reflectance Data

For the two Coombe Vineyard growing seasons of 2019/20 (S1) and 2020/21 (S2), measurements were taken from tagged middle (3 vines/panel) sentinel vines from each panel (16 panels/row—there are a total of 26 rows) for each variety and/or rootstocks (8 varieties/8 rootstocks) of each experimental block (A, B, and C) at F, FS, PS, V, and PH for S1 and V for S2. For the Coonawarra vineyards (Alex-88 East, Alex-88 West and Homestead vineyards) growing season of 2021/22, measurements were taken from three sentinel vines per each cultivar/block at F, FS, V, and PH. All of the canopy state variables and other physiological measurements were taken simultaneously with the hyperspectral data collection at these phenological stages. This ensured that the hyperspectral data were representative of the agronomic conditions at each stage. By aligning the data collection with the critical phenological stages, the measurements capture the dynamic changes in canopy physiology, which ultimately influence the yield formation and berry composition.

2.2.1. Vine Water Status

Stem (Ψstem) and leaf water potentials (Ψleaf) were assessed on selected and tagged mature leaves of the outer part of the canopy of the same shoot around solar noon (1200–1300 h) using a pressure chamber (Scholander Soil Moisture Equipment Corp., Santa Barbara, CA, USA). For Ψstem, selected leaves were enclosed in an opaque aluminium bag for at least one hour prior to the measurements. Measurements of Ψstem and Ψleaf were conducted on a single leaf per vine from the sentinel vines.

2.2.2. Leaf Gas Exchange

Net photosynthesis (Pn), stomatal conductance (gs), and transpiration (E) were measured from one fully expanded mature leaf/vine from each of the sentinel vines around solar noon (1100–1400 h) on sunny clear days using an open system infrared gas analyser (IRGA; LI-6400XT, LI-COR Biosciences Inc., Lincoln, NE, USA). The IRGA settings were as follows: photosynthetically active radiation (PAR) set at 1500 µmol m−2 s−1, a gas flow rate of 500 µmol m−2 s−1, and a reference CO2 of 400 ppm. The cuvette temperature and humidity were maintained at ambient conditions during the measurements.

2.2.3. Vine Vigour

Vine vigour, defined as the canopy light interception and quantified by fractional intercepted photosynthetically active radiation (fIPAR), was assessed around noon (1100–1300 h) on clear sunny days. The fIPAR was determined using an AccuPAR LP-80 ceptometer (Meter Group, Pullman, WA, USA). The ceptometer was placed at the base of the canopy on both trunk sides, with its sensor probe set horizontally beside each cordon. Incident sun radiation was recorded above the vines. Measurements included 3 parallel readings to the vine rows for each of the sentinel vines.

2.2.4. Chlorophyll Content

The leaf chlorophyll content (LCC) was measured using a handheld SPAD 502 chlorophyll meter (Konica Minolta Sensing, Inc., Tokyo, Japan). The SPAD reading was recorded from fully expanded leaves five–six nodes down from the shoot top (apical bud) from one leaf from each sentinel vine. Each reading was repeated three times and the averaged SPAD reading was noted.

2.2.5. Canopy Temperature Measurements (Tc)

The canopy temperature depression, calculated as the canopy or leaf temperature minus the ambient air temperature (ΔTmidday = Tc − Ta), was determined at solar noon using a handheld infrared thermometer (Fluke 62 mini, Fluke Europe, Eindhoven, The Netherlands) positioned at 20 cm from the canopy at an angle of 60°, achieving a field of view of 0.25 m2, to ensure the maximal capture of the canopy temperature. Normalised thermal indices, including the crop water stress index (CWSI), conductance index (Ig), and stomatal conductance index (I3), were determined [38]. These were calculated using same equations and methodology as described in [39,40], and are presented in Table 1. The thermal indices rely on the lower and upper limits, Tdry and Twet, which are the temperatures of the non-transpiring and well-watered leaves, respectively. The Twet was determined by spraying water on the grapevine leaves and measuring the temperature after approximately 30 s, which emulates the maximum transpiration. Tdry was determined by applying petroleum jelly to both sides of the fully exposed leaves, so to block the stomata and impede leaf transpiration, and measuring the temperature after 30 min. These temperature references were measured using the same handheld infrared thermometer used to measure the Tc.

2.2.6. Canopy Radiance Measurements

Top-of-canopy radiance measurements were acquired around noon (1100–1300 h) on clear sunny days using a 350–2500 nm high-resolution (3–6 nm; 2151 channels) ASD FieldSpec3 spectroradiometer (Malvern Analytical Ltd., Malvern, UK). Measurements were carried out using the spectroradiometer equipped with an ASD leaf clip and contact probe, with a spot size of 12 mm, thereby ensuring constant illumination and similar observational conditions. Reflectance was determined by taking the ratio of the recorded canopy radiance and incident irradiance measured over a white reference. The white reference used was a highly reflective (>99% with near-Lambertian behaviour) calibration panel made of fluoropolymer (SpectralonTM, Labsphere, Inc., North Sutton, NH, USA). Dark current correction was performed. Calibration was performed every 20 min to account for changes in environmental conditions. The spectroradiometer configuration was set to automatically acquire and average 40 readings per sampling. Three raw spectra were acquired from healthy mature fully exposed leaves for each sentinel vine. The raw spectral data were loaded, viewed, preprocessed to remove the outliers (visual analysis was used to eliminate the differences in reflectance > 0.15 in any range of the spectrum), scatter (SNV transformation), and noise, converted to reflectance, averaged, and then exported as an ASCII file using the ASD ViewSpec Pro™ software (Version number: 6.20).

2.2.7. Spectral Vegetation Indices and Thermal Indices Calculation

A total of 24 VIs and 3 thermal indices were calculated from the canopy reflectance spectra and thermal data, respectively. These indices, together with the measured canopy state variables, were used as inputs for the ML models to predict grape yield components and berry composition parameters (Table 1).

2.3. Determination of Yield Components and Composition Parameters

Grapevine yield components for each variety/rootstock were measured at the EL 38 growth stage (harvest) in the Coonawarra vineyard during January 2021/22. In Coombe Vineyard, additional assessments were conducted at the berry pea size stage (EL 31) in mid-December 2019/20 and 2020/21, with yield measurements at EL 38 carried out during the regular harvest period in March 2020 and March 2021, respectively. The number of berries/bunch, berry weight/bunch, the total cluster weight, the total number of clusters per vine, the weight of 50 berries, and the berry unit weight were determined from sentinel vines. Final grape yield production was recorded at harvest in early March 2019/20 and 2020/21 for Coombe Vineyard and early April 2021/22 for the Coonawarra vineyard. Each individual sentinel vine was manually harvested and weighed, and the total yield per vine was determined. Two bunches/sentinel vines (approx. 100 berries) were retained and the berries were transported in coolers to the lab for composition parameter determination. The berries were crushed and centrifuged, and the extracted juice was used to determine the TSSs, TA, pH, and IMAD. TSSs (°Brix) were measured using an Atago digital refractometer (Atago Co., Tokyo, Japan). TA (g L−1 tartaric acid) was determined by titration with 0.1 N NaOH to a pH of 8.2. The pH of the juices was measured using the pH meter Orion (Thermo Electron Corp., Beverly, MA, USA). The IMAD was calculated by dividing the TSSs by the TA.

2.3.1. Prediction Model

The workflow for predicting grapevine yield components and berry composition parameters using ML is illustrated in Figure 4. In brief, the steps are as follows: (i) measuring the dependent variables (yield components and berry composition parameters) alongside the independent variables (hyperspectral VIs, thermal indices, and canopy state variables); (ii) assessing the relationships between dependent and independent variables using Pearson’s correlation analysis; (iii) splitting the dataset into calibration (Coombe Vineyard data) and independent validation (Coonawarra vineyard data); (iv) data preprocessing (handling missing values, imputing, encoding, scaling, feature selection, and dimensionality reduction); (v) training the ML models using the calibration set and subsequently testing for the initial performance; (vi) hyperparameter tuning using 10-fold cross-validation to optimise the performance; (vii) evaluating the models using evaluation metrics on the independent validation set; (vii) conducting predictor importance analysis to understand the feature contributions using the best models identified. Predictor importance was assessed using the best ML regression models in the validation as ranked by the coefficient of determination (R2) from the highest to the lowest.

2.3.2. Variable Selection

The initial step involved the careful selection of input variables using Pearson’s correlation analysis and recursive feature elimination (RFE). Pearson’s correlation was used to identify and remove highly correlated variables (r > 0.7) to mitigate multicollinearity, while RFE further refined the selection to retain the most relevant features to prevent overfitting, manage the high-dimensional dataset, and improve the ML algorithms’ performance.

2.3.3. Model Selection

Statistical and ML regression algorithms addressing multicollinearity, high dimensionality, and overfitting were selected. Ridge regression (RR) uses L2 regularisation to shrink the coefficients and reduce overfitting [63]. Decision trees (DTs) handle multicollinearity through optimal splits and pruning [64]. Random forest (RF) mitigates multicollinearity through random feature selection and minimises overfitting through its ensemble nature [65]. Gradient boosting (GB) focuses on errors sequentially and uses feature importance and learning rates to handle dimensionality and overfitting [66]. K-Nearest Neighbour (kNN) resists multicollinearity but needs feature scaling and dimensionality reduction, with the choice of ‘k’ controlling overfitting [67]. Bayesian ridge regression (BRR) combines regularisation and probabilistic modelling to address all three challenges [68].

2.3.4. Modelling Strategy

Data preprocessing included handling missing values, transforming outliers, and applying the Yeo–Johnson transformation for the normalisation. Dimensionality reduction was performed using the RFE with LASSO, PCA for feature extraction, and the elimination of variables with VIF > 10. Categorical variables were encoded using OneHotEncoder from sklearn (Scikit-learn, Python 3.9, Python Software Foundation, Wilmington, DE, USA). The RR, BRR, DT, RF, GB, and kNN models were implemented in Python 3.9 (Python Software Foundation, Wilmington, DE, USA) to predict the grapevine yield and berry composition parameters from the hyperspectral VIs, thermal indices, and canopy state variables. Coombe Vineyard data were used for the calibration and Coonawarra data were used for the validation. Data were scaled using the MinMaxScaler, and the model parameters were optimised via grid search and repeated 10-fold cross-validation. The best models were tested on the validation dataset, with the performance evaluated using the R2, RMSE, MAE, and MAPE. Predictor importance analysis identified the top 10 contributors, which were plotted together with the predicted vs. observed values.

3. Results

3.1. Descriptive Statistics of Grapevine Yield Components and Berry Composition Parameters

In this study, the Coombe Vineyard 2019/20 and 2020/21 seasons served as the calibration data, while the Coonawarra 2021/22 season functioned as the validation data. Grapevine yield components, like the total number of clusters/vine, the average cluster weight, and the weight of 50 berries, along with the composition parameters, such as TSSs and TA, were consistent across all seasons (Table 2). This uniformity indicated data stability, even with a lower sample size for the validation. Meteorological factors also played a role; for instance, more consistent weather conditions in the calibration years contributed to the stability of the measured parameters. The CV% remained consistent across the seasons and within the two study sites. These findings are consistent with the data ranges observed in previous studies in different regions, particularly for the grapevine yield and composition attributes [4,9].

3.2. Correlation Between Grape Yield Components and Berry Composition Parameters and Independent Variables

Figure 5 shows that the total number of clusters per vine increased with favourable water and crop health conditions, as indicated by the positive correlation with the water VIs (WI, NDII, FWBI1, and FWBI2) and structure VIs (NDVI), but decreased under stress conditions, particularly water stress, as shown by the negative correlation with the CWSI. A positive correlation between water VIs and the total number of clusters per vine suggest that vines with a greater number of clusters might require more water input. Similarly, the average cluster weight improved under favourable conditions but declined under stress, with a weak positive influence from metabolic variables like photosynthesis. The average berry weight followed a similar trend, being positively influenced by the water availability and crop health, and negatively influenced by the stress conditions. All of the yield components had a positive correlation with the water VIs (WI and NDII), suggesting that the water status played a major role in the grape cluster weight and berry weight. The total cluster yield also showed a positive correlation with favourable growing conditions and a negative correlation with stress conditions, with a weak positive correlation with photosynthesis. The average number of berries per bunch was mildly influenced by favourable growing conditions and showed a slight decline under stress. The yield per hectare improved with better water availability and crop health but declined under stress, with a weak positive influence from the metabolic activity. The positive correlation of these yield components with the water VIs (WI, NDII, FWBI1, and FWBI2) indicated that vineyard water input, both in terms of irrigation and precipitation, affected the number of berries per bunch and the total grape production. However, the correlations may also be influenced by factors like the nutrition status, phenological timing (for, e.g., the flowering time), and other environmental conditions.
In contrast, the TSSs increased when the vine water status was less favourable and under stress conditions, while decreasing slightly with better physiological activity. The negative correlation of TSSs with the water VIs suggests that, as the water increased, the concentration of soluble sugars and other solutes decreased, probably due to the dilution effect. The TA and pH levels showed the opposite trends. TA was lower and pH was higher under good water conditions, but reversed under stress. Both the TA and pH were weakly influenced by physiological variables like photosynthesis and transpiration. Mixed correlations were observed, suggesting that the TA might be influenced by several factors, including the water status, temperature, canopy size, shading, and transpiration. The negative correlation between the pH and water VIs can be explained by the increase in the water potential leading to a decrease in the pH. Conversely, the positive correlation with thermal indices might suggest that an increase in temperature might have increased the grape berry pH. Lastly, IMAD decreased under favourable growing conditions but increased under stress, particularly water stress, and showed a weak negative correlation with physiological variables. IMAD had predominantly negative relationships with the water VIs, suggesting that water availability might influence grapevine maturity.

3.3. Model Performance

Table 3 shows the best-performing ML models for various target variables for calibration and validation. For the ‘total number of clusters/vine’, the GB and RF algorithms performed well in the calibration, with GB outperforming in the validation. When evaluating the ‘average cluster weight (kg)’, both the GB and RF models exhibited good performance in the calibration, though the GB model surpassed the RF model in the validation. For the ‘weight of 50 berries (kg)’ and ‘average berry weight (kg)’, the GB and RF models were the best predictors, with the GB model performing slightly better than the RF model in the validation. Regarding the ‘total cluster yield (kg)’, GB was the best model, with RF as the second best; both the GB and RF models produced robust results. For the ‘average berries/bunch’, both the GB and RF models were once again predominant, with the GB model retaining superiority in the validation. In terms of the ‘yield (tons/ha)’, the GB model was the most accurate predictor, closely followed by the RF model, and both models had good performance in the calibration and validation. Lastly, for the composition parameters TSSs, TA, pH, and IMAD, the GB and RF models consistently outperformed the other models. In general, the GB model exhibited the best performance during the validation for the majority of grapevine yield components and composition parameters. Figure 6 shows the observed versus predicted results for all of the predicted variables.

3.4. Predictor Importance

Figure 7 shows the predictor importance plots. The frequency of the top 10 predictor variables among the target variables are as follows: (Tc − Ta) —10, LCC—10, fiPAR—8, NDII—7, Ψstem—6, gs—5, Pn—5, MTVI—5, mRESR—5, and ANTgitelson—5. The ten most influential predictors consisted of variables that significantly influence the growth of grapevines, the berry composition, and the overall yield. Canopy temperature depression has a direct impact on yield components such as the berry size, berry weight, cluster weight, maturity, and acidity. The LCC consistently emerged as an important indicator, reflecting the nutrient status and overall health of the vine, and had a major effect on the berry composition, acidity levels, and cluster yield. The fiPAR was a significant variable, indicating that the fraction of light interception, and hence photosynthesis, affects the berry weight, cluster yield, and vine vigour. While the CWSI usually gives information on the water and heat stress, NDII, which is a proxy for the water content, is a good predictor of the size of berries, the weight of clusters, IMAD, and TSSs. Ψstem, gs, and Pn had a significant impact on the TA, berry weight, cluster weight, IMAD, and yield. Furthermore, the FWBI1, ANTgitelson, mRESR, and MTVI were indicators of the vegetation moisture content and canopy vigour, impact growth, yield, and berry composition.

4. Discussion

4.1. Modelling Grapevine Yield Components and Berry Composition Parameters

Previous studies have shown that numerous factors can affect the linearity which exists between hyperspectral VIs and the grapevine yield and composition parameters [4,9]. Among the ML models employed (Table 3 and Figure 6), the GB model performance in predicting a range of grapevine yield components and berry composition parameters corroborates with previous research, which highlighted the efficiency of GB in estimating grapevine canopy state variables [69]. Kasimati et al. [12] reported that ensemble models, like GB, often show better prediction accuracy, as they can model complex, non-linear relationships between dependent and independent variables. Armstrong et al. [70] reported that extreme gradient boosting (XGBoost), another ensemble learning model, yielded high R2 values of 0.92–0.96 in estimating winegrape berry composition attributes, including malic acid, the pH, and TSSs. The superior performance of the GB model during validation suggests its ability to generalise well on unseen data, which is particularly important in modelling. Our results (Table 3) showed that the RF model was the second-best model after GB, outperforming all of the other models in predicting the yield and TA. Maimaitiyiming et al. [9] reported that the RF performance was superior to the MLR and PLSR in estimating the grapevine yield in the calibration. However, they observed poor performance in the validation with a significant decline in the R2, which they attributed to potential overfitting. This suggest the need for careful model tuning and validation, even for models like the RF, which are considered robust against overfitting. They also suggest that relying solely on the RF may not be sufficient for all scenarios, emphasising the importance of a multi-model approach. However, in our study, the RF model demonstrated similar R2 values for both the calibration and validation sets, indicating consistent performance and no significant drop in the accuracy when applied to unseen data. Despite carrying out the careful selection of variables by Pearson’s correlation analysis, RFE, regularisation algorithms (L2), cross-validation, and hyperparameter tuning to minimise overfitting, our results showed that, in a few cases, overfitting did happen (Table 3). For example, predicting the total number of clusters/vine using the DT and kNN algorithms had a significantly lower performance (a lower R2 and higher RMSE) in the validation compared to the calibration. This might be due to the relatively small dataset used for the training, noise in the data, a poor choice in the tuning parameters, or high model complexity. There are no specific accuracy thresholds for determining overfitting, so balancing the prediction accuracy and model interpretability is important. Predictive models aim to balance bias and estimation variance [71]. The RR and BRR models exhibited relatively lower R2 values in comparison to the other models in the validation. The linear nature of the RR and BRR models might be responsible for this. In the grape yield prediction, as with other crops, it is important to highlight that complex biophysical interactions are at play, wherein various biotic and abiotic factors interact non-linearly. Hence, linear models might not fully capture the underlying complexities of these interactions.

4.2. Predictors of Grapevine Yield Components and Berry Composition Parameters

Our study is the first to report the top 10 predictors of grapevine yield components and berry composition parameters (Figure 7). The LCC is one of the top predictors of both grape yield components and berry composition. The LCC, the main pigment in photosynthesis, allows plants to transduce light energy into chemical metabolic energy, which is crucial for the formation of yield components, including the clusters per vine, berries per cluster, and berry weight. Tuccio et al. [72] stressed the importance of monitoring the LCC to improve vineyard management and production. The optimal chlorophyll levels affect the photosynthesis efficiency, which is directly related to the grape sugar content. Sugar content is crucial for wine composition. In addition to the production of sucrose, grapevine foliage photosynthetic performance can modulate the production of phenolic compounds, which determine the wine taste, colour, and mouthfeel [73]. Our results also suggest the pigment index Antgitelson to be an important variable. This might be due to its correlation with anthocyanin content.
The fiPAR is another key predictor, as it impacts on photosynthesis, and hence the grape yield and composition. Serrano, González-Flor, and Gorchs, [74] reported that grape yield production increased with an increasing fiPAR, whereas the opposite was observed under conditions of water stress. Although the fiPAR provided information on the yield, they observed better correlations between the NDVI and yield. It can be argued that the NDVI is linked to the leaf area and chlorophyll, and thus to the amount of PAR that the canopy is capable of intercepting, whereas the fiPAR responds to both photosynthetic and non-photosynthetic components [74]. The fiPAR can have an indirect impact on the grape composition by influencing the processes of photosynthesis and the water availability. A canopy modification experiment conducted on the grapevine cultivar Tas-A-Ganesh revealed that a change in the canopy fiPAR influenced the TSSs, TA, and polyphenol compounds [75]. Our study reported the structure index, MTVI, as an important predictor, which aligns with the findings of Maimaitiyiming et al. [9]. Structure VIs like MTVI, NDVI, and SR are sensitive to variations in canopy state variables such as the aboveground biomass and canopy cover.
The assessment of the grapevine water status, as measured by indices and metrics such as the NDII, FWBI1, WI, and, specifically, Ψstem, is of utmost importance. A study conducted in Switzerland investigated the effects of water stress on Pinot Noir [76]. The research findings indicated that water stress during the ripening phase not only promoted sugar accumulation in the berries but also resulted in a decrease in the overall acidic and malic contents in the must. As a result, the wines derived from vines experiencing water stress displayed a more pronounced flavour and contained higher concentrations of anthocyanin and phenolic compounds. This observation is consistent with the results obtained in Bordeaux, which emphasised the relationship between the vine phenology, grape ripening, and water status [77]. The study revealed that a mild water deficit had a positive impact on the grape composition, particularly in the context of red wine production [77]. Vines grown on terraces in Slovenia, experiencing greater water stress, yielded wines with an enhanced phenolic concentration and sensory composition [78].
The PRI, NDVI, and the WI were accurate estimators of the grapevine yield and composition under mild, moderate, and severe water deficits, respectively [5]. The mRESR had a good correlation (r = 0.31 − 0.73) with the predawn water status of grapevines in the Douro region, Portugal. Water deficits in grapevines lead to a decreased yield, and this reduction is correlated with the difference between the canopy and air temperature (Tc − Ta) [4]. As observed in our study, Serrano, González-Flor, and Gorchs [4] also noted a significant correlation between berry attributes and (Tc − Ta). They observed that, as the water status improved, the TSSs in the grapes decreased. However, in the subsequent drier years, this relationship was less evident due to varying water deficits at different grapevine growth stages and varying temperatures, while the TA increased with better water availability, with this relationship being stronger with higher rainfall.

4.3. Limitations and Future Perspectives

In this study, the models were developed from two consecutive growing seasons. While the models performed well within the stable environmental conditions of these two seasons, the applicability might be affected in different scenarios. Climate change causes an increase in the unpredictability of climatic conditions, which can impact grapevine growth, yield, and berry composition, thus potentially affecting the model performance in different regions or under fluctuating environmental conditions. Future studies should expand the dataset to include multiple vineyard sites across diverse climates, additional growing seasons, and varied treatments. The application of hyperspectral VIs in viticulture has demonstrated potential in the estimation of grape yield components and berry composition parameters. Additionally, water indices (WI, FWBI1, FWBI2, and NDII) are useful in predicting the production and composition of berries, particularly in vineyards experiencing water scarcity. Most studies have focused on specific commercial grape cultivars, resulting in a significant knowledge gap regarding the hyperspectral data generalisability for the prediction models of other varieties. Moreover, we identified the important predictors of grapevine yield components and berry composition parameters, information which is absent in the literature. There is also a lack of alternative modelling approaches in the literature. For instance, the multimodal approach used in our study to predict wine grape yield components and berry composition parameters is unique. Our study aimed to fill these gaps. Furthermore, although hyperspectral proximal sensing offers a vast amount of data, its potential integration with other technologies, such as the Internet of Things, explainable artificial intelligence, advanced sensors, or meteorological data, has not yet been thoroughly investigated. Further investigation is required to explore the relationships between hyperspectral VIs with grapevine canopy state variables at different growth stages. The integration of ML and artificial intelligence with hyperspectral imaging holds the potential to improve grape yield and berry composition prediction. Future work should focus on developing novel hyperspectral indices for use in precision viticulture, for example, indices sensitive for specific phenological stages (e.g., bloom, berry maturity, veraison, and preharvest), environmental conditions (e.g., water, heat, disease, and nutrient stress), berry compositions (e.g., sugar, acidity, phenolics, anthocyanins, and tannins), yields (e.g., clusters, berry and cluster weight, and total yield), and vine health (e.g., chlorophyll, leaf area, and canopy structure). With technology advancement, there will be portable and cost-effective hyperspectral devices with user-friendly interface, thereby facilitating precision viticulture. We propose integrating hyperspectral sensors on UAVs with LiDAR, multispectral, thermal, and RGB sensors to enable large-scale, high-throughput phenotyping. Satellite- or aircraft-based RS of vineyards is difficult due to the vine canopy structure, low spatial resolution, mid-row soil interference, and shadows. Moreover, infrequent revisits, weather limitations, and cost are significant disadvantages. Proximal hyperspectral sensing at the canopy level provides high-spectral-resolution data with a good signal-to-background noise ratio, the easy removal of non-relevant pixels, no atmospheric correction, and accurate spectral data. By using this technology, growers can obtain more accurate yield estimates, monitor plant health in real-time, and make informed decisions on irrigation, fertilisation, and pest management, ultimately improving the grape quality and optimising vineyard management practices.

5. Conclusions

Accurately predicting grapevine yield components and berry composition is challenging due to the complexity of interactions among the canopy structure, soil properties, microclimatic variability, and management practices. In this study, we demonstrated the efficacy of using multimodal data which included hyperspectral VIs, thermal indices, and canopy state variables together with statistical and ML algorithms to predict the grapevine yield components and berry composition parameters. The results revealed that ensemble models, namely, GB and RF, outperformed the other models for predicting yield components such as the total number of clusters per vine, the average cluster weight, the average berry weight, the cluster weight, and the average berries per bunch. For the total yield, the RF model had the best performance. For the berry composition, the GB model excelled in predicting the TSSs, pH, and IMAD, while the RF model performed better for TA. Furthermore, we identified the top predictors of the grapevine yield and berry composition, which were the (Tc − Ta), LCC, fiPAR, NDII, Ψstem, gs, Pn, MTVI, mRESR, and ANTgitelson. These variables influence photosynthesis, berry development, and the grape berry composition, indicating their significance in vineyard management. By integrating physiological, spectral, and thermal data into predictive models, this study advances the understanding of the relationships between canopy state variables, environmental factors, and grapevine productivity. These findings will enable data-driven decision making in viticulture, enabling precise interventions to optimise the yield, enhance the fruit quality, and increase the overall profitability.

Author Contributions

Conceptualisation, S.Y.Y.J., V.P., A.S., L.B., E.M., D.S. and D.G.; Methodology, S.Y.Y.J.; Data collection, S.Y.Y.J. and A.C.; Formal analysis, S.Y.Y.J.; Writing—original draft preparation, S.Y.Y.J.; Writing—review and editing, S.Y.Y.J., V.P., A.S., L.B., E.M., D.S., A.C. and D.G.; Critical review, V.P., A.S., L.B., E.M., D.S., A.C. and D.G.; Visualisation, S.Y.Y.J.; Supervision, V.P., A.S., L.B., E.M., D.S. and D.G.; Funding acquisition, D.S., E.M., V.P. and A.S.; Software and tools, S.Y.Y.J. All authors have read and agreed to the published version of the manuscript.

Funding

This research received support from the School of Biosciences at the University of Nottingham and the University of Adelaide Dual/Joint PhD Research Accelerator Award (SoB UoN-UoA RAA), Grant [P0021.54.04].

Data Availability Statement

The raw data supporting the conclusions of this article will be made available by the authors on request.

Conflicts of Interest

The authors declare no conflicts of interest.

References

  1. Rapaport, T.; Hochberg, U.; Shoshany, M.; Karnieli, A.; Rachmilevitch, S. Combining leaf physiology, hyperspectral imaging and partial least squares-regression (PLS-R) for grapevine water status assessment. ISPRS J. Photogramm. Remote Sens. 2015, 109, 88–97. [Google Scholar] [CrossRef]
  2. Arias, L.A.; Berli, F.; Fontana, A.; Bottini, R.; Piccoli, P. Climate Change Effects on Grapevine Physiology and Biochemistry: Benefits and Challenges of High Altitude as an Adaptation Strategy. Front. Plant Sci. 2022, 13, 835425. [Google Scholar] [CrossRef] [PubMed]
  3. Buttrose, M.S. Fruitfulness in Grapevines: Effects of Light Intensity and Temperature. Bot. Gaz. 1969, 130, 166–173. [Google Scholar] [CrossRef]
  4. Serrano, L.; González-Flor, C.; Gorchs, G. Assessment of grape yield and composition using the reflectance based Water Index in Mediterranean rainfed vineyards. Remote Sens. Environ. 2012, 118, 249–258. [Google Scholar] [CrossRef]
  5. Rodríguez-Pérez, R.; Agugliaro, F.M.; Serrano, L.; Gorchs, G. Water Availability Affects the Capability of Reflectance Indices to Estimate Berry Yield and Quality Attributes in Rain-Fed Vineyards. Agronomy 2022, 12, 2091. [Google Scholar] [CrossRef]
  6. He, L.; Fang, W.; Zhao, G.; Wu, Z.; Fu, L.; Li, R.; Majeed, Y.; Dhupia, J. Fruit yield prediction and estimation in orchards: A state-of-the-art comprehensive review for both direct and indirect methods. Comput. Electron. Agric. 2022, 195, 106812. [Google Scholar] [CrossRef]
  7. Laurent, C.; Oger, B.; Taylor, J.A.; Scholasch, T.; Metay, A.; Tisseyre, B. A review of the issues, methods and perspectives for yield estimation, prediction and forecasting in viticulture. Eur. J. Agron. 2021, 130, 126339. [Google Scholar] [CrossRef]
  8. Palacios, F.; Diago, M.P.; Melo-Pinto, P.; Tardaguila, J. Early yield prediction in different grapevine varieties using computer vision and machine learning. Precis. Agric. 2022, 24, 407–435. [Google Scholar] [CrossRef]
  9. Maimaitiyiming, M.; Sagan, V.; Sidike, P.; Kwasniewski, M.T. Dual activation function-based Extreme Learning Machine (ELM) for estimating grapevine berry yield and quality. Remote Sens. 2019, 11, 740. [Google Scholar] [CrossRef]
  10. Fredes, S.N.; Ruiz, L.; Recio, J.A. Modeling Brix and pH in Wine Grapes from Satellite Images in Colchagua Valley, Chile. Agriculture 2021, 11, 697. [Google Scholar] [CrossRef]
  11. Barriguinha, A.; Neto, M.d.C.; Gil, A. Vineyard Yield Estimation, Prediction, and Forecasting: A Systematic Literature Review. Agronomy 2021, 11, 1789. [Google Scholar] [CrossRef]
  12. Kasimati, A.; Espejo-García, B.; Darra, N.; Fountas, S. Predicting Grape Sugar Content under Quality Attributes Using Normalized Difference Vegetation Index Data and Automated Machine Learning. Sensors 2022, 22, 3249. [Google Scholar] [CrossRef] [PubMed]
  13. Costa, C.; Graça, A.; Fontes, N.; Teixeira, M.; Gerós, H.; Santos, J.A. The Interplay Between Atmospheric Conditions and Grape Berry Quality Parameters in Portugal. Appl. Sci. 2020, 10, 4943. [Google Scholar] [CrossRef]
  14. Poudyal, C.; Costa, L.F.; Sandhu, H.; Ampatzidis, Y.; Odero, D.C.; Arbelo, O.C.; Cherry, R.H. Sugarcane yield prediction and genotype selection using unmanned aerial vehicle-based hyperspectral imaging and machine learning. Agron. J. 2022, 14, 2320–2333. [Google Scholar] [CrossRef]
  15. Fan, J.; Zhou, J.; Wang, B.; de Leon, N.; Kaeppler, S.M.; Lima, D.C.; Zhang, Z. Estimation of Maize Yield and Flowering Time Using Multi-Temporal UAV-Based Hyperspectral Data. Remote Sens. 2022, 14, 3052. [Google Scholar] [CrossRef]
  16. Liu, Y.; Feng, H.; Yue, J.; Li, Z.; Yang, G.; Song, X.; Yang, X.; Zhao, Y. Remote-sensing estimation of potato above-ground biomass based on spectral and spatial features extracted from high-definition digital camera images. Comput. Electron. Agric. 2022, 198, 107089. [Google Scholar] [CrossRef]
  17. Anastasiou, E.; Balafoutis, A.; Darra, N.; Psiroukis, V.; Biniari, A.; Xanthopoulos, G.; Fountas, S. Satellite and Proximal Sensing to Estimate the Yield and Quality of Table Grapes. Agriculture 2018, 8, 94. [Google Scholar] [CrossRef]
  18. Gao, Z.; Khot, L.R.; Naidu, R.A.; Zhang, Q. Early detection of grapevine leafroll disease in a red-berried wine grape cultivar using hyperspectral imaging. Comput. Electron. Agric. 2020, 179, 105807. [Google Scholar] [CrossRef]
  19. Mohite, J.; Karale, Y.; Pappula, S.; Ahammed Shabeer, T.P.; Sawant, S.D.; Hingmire, S. Detection of pesticide (Cyantraniliprole) residue on grapes using hyperspectral sensing. In Sensing for Agriculture and Food Quality and Safety IX; SPIE: St Bellingham, WA, USA, 2017; Volume 10217, pp. 192–199. [Google Scholar]
  20. Omidi, R.; Moghimi, A.; Pourreza, A.; El-Hadedy, M.; Eddin, A.S. Ensemble Hyperspectral Band Selection for Detecting Nitrogen Status in Grape Leaves. In Proceedings of the 2020 19th IEEE International Conference on Machine Learning and Applications (ICMLA), Miami, FL, USA, 14–17 December 2020; pp. 286–293. [Google Scholar]
  21. Loggenberg, K.; Strever, A.; Greyling, B.; Poona, N. Modelling Water Stress in a Shiraz Vineyard Using Hyperspectral Imaging and Machine Learning. Remote Sens. 2018, 10, 202. [Google Scholar] [CrossRef]
  22. Anderson, G.; van Aardt, J.; Bajorski, P.; Heuvel, J. Vanden Detection of wine grape nutrient levels using visible and near infrared 1 nm spectral resolution remote sensing. In Autonomous Air and Ground Sensing Systems for Agricultural Optimization and Phenotyping; SPIE: St Bellingham, WA, USA, 2016; Volume 9866, pp. 70–83. [Google Scholar]
  23. Cogato, A.; Jewan, S.Y.Y.; Wu, L.; Marinello, F.; Meggio, F.; Sivilotti, P.; Sozzi, M.; Pagay, V. Water Stress Impacts on Grapevines (Vitis vinifera L.) in Hot Environments: Physiological and Spectral Responses. Agronomy 2022, 12, 1819. [Google Scholar] [CrossRef]
  24. Cogato, A.; Wu, L.; Jewan, S.Y.Y.; Meggio, F.; Marinello, F.; Sozzi, M.; Pagay, V. Evaluating the spectral and physiological responses of grapevines (Vitis vinifera L.) to heat and water stresses under different vineyard cooling and irrigation strategies. Agronomy 2021, 11, 1940. [Google Scholar] [CrossRef]
  25. Matese, A.; Di Gennaro, S.F.; Orlandi, G.; Gatti, M.; Poni, S. Assessing Grapevine Biophysical Parameters from Unmanned Aerial Vehicles Hyperspectral Imagery. Front. Plant Sci. 2022, 13, 898722. [Google Scholar] [CrossRef] [PubMed]
  26. Font, D.; Tresanchez, M.; Martínez, D.; Moreno, J.; Clotet, E.; Palacín, J. Vineyard yield estimation based on the analysis of high resolution images obtained with artificial illumination at night. Sensors 2015, 15, 8284–8301. [Google Scholar] [CrossRef] [PubMed]
  27. Ferro, M.V.; Catania, P.; Miccichè, D.; Pisciotta, A.; Vallone, M.; Orlando, S. Assessment of vineyard vigour and yield spatio-temporal variability based on UAV high resolution multispectral images. Biosyst. Eng. 2023, 231, 36–56. [Google Scholar] [CrossRef]
  28. Arab, S.T.; Noguchi, R.; Matsushita, S.; Ahamed, T. Prediction of grape yields from time-series vegetation indices using satellite remote sensing and a machine-learning approach. Remote Sens. Appl. Soc. Environ. 2021, 22, 100485. [Google Scholar] [CrossRef]
  29. Moran, M.A.; Sadras, V.O.; Petrie, P.R. Late pruning and carry-over effects on phenology, yield components and berry traits in Shiraz. Aust. J. Grape Wine Res. 2017, 23, 390–398. [Google Scholar] [CrossRef]
  30. Molitor, D.; Beyer, M. Epidemiology, identification and disease management of grape black rot and potentially useful metabolites of black rot pathogens for industrial applications—A review. Ann. Appl. Biol. 2014, 165, 305–317. [Google Scholar] [CrossRef]
  31. Monteiro, A.I.; Malheiro, A.C.; Bacelar, E.A. Morphology, Physiology and Analysis Techniques of Grapevine Bud Fruitfulness: A Review. Agriculture 2021, 11, 127. [Google Scholar] [CrossRef]
  32. Shellie, K.; Kovaleski, A.P.; Londo, J.P. Water deficit severity during berry development alters timing of dormancy transitions in wine grape cultivar Malbec. Sci. Hortic. 2018, 232, 226–230. [Google Scholar] [CrossRef]
  33. Pike, B.; Muhlack, R.; Cavagnaro, T.; Collins, C. Pruned vine biomass exclusion in a clay loam vineyard soil-Examining the impact on soil chemical properties. In Proceedings of the IVES Conference Series, Terclim 2022, Bordeaux, France, 3–8 July 2022. [Google Scholar]
  34. De Bei, R.; Wang, X.; Papagiannis, L.; Fuentes, S.; Gilliham, M.; Tyerman, S.; Collins, C. Shoot thinning of Semillon in a hot climate did not improve yield and berry and wine quality. OENO One 2020, 54, 469–484. [Google Scholar] [CrossRef]
  35. Pagay, V. Evaluating a novel microtensiometer for continuous trunk water potential measurements in field-grown irrigated grapevines. Irrig. Sci. 2022, 40, 45–54. [Google Scholar] [CrossRef]
  36. Climate statistics for Australian Locations. Available online: https://reg.bom.gov.au/climate/averages/tables/cw_026091.shtml (accessed on 19 September 2024).
  37. Coombe, B.G. Growth Stages of the Grapevine: Adoption of a system for identifying grapevine growth stages. Aust. J. Grape Wine Res. 1995, 1, 104–110. [Google Scholar] [CrossRef]
  38. Jones, H.G. Use of thermography for quantitative studies of spatial and temporal variation of stomatal conductance over leaf surfaces. Plant. Cell Environ. 1999, 22, 1043–1055. [Google Scholar] [CrossRef]
  39. Pagay, V.; Kidman, C.M. Evaluating Remotely-Sensed Grapevine (Vitis vinifera L.) Water Stress Responses Across a Viticultural Region. Agronomy 2019, 9, 682. [Google Scholar] [CrossRef]
  40. Jones, H.G. Use of infrared thermometry for estimation of stomatal conductance as a possible aid to irrigation scheduling. Agric. For. Meteorol. 1999, 95, 139–149. [Google Scholar] [CrossRef]
  41. Penuelas, J.; Pinol, J.; Ogaya, R.; Filella, I. Estimation of plant water concentration by the reflectance Water Index WI (R900/R970). Int. J. Remote. Sens. 1997, 18, 2869–2875. [Google Scholar] [CrossRef]
  42. Hardisky, M.A.; Klemas, V.; Smart, R.M. The Influence of Soil Salinity, Growth Form, and Leaf Moisture on-the Spectral Radiance of partin a alterniflora Canopies. Photogramm. Eng. Remote Sens. 1983, 49, 77–83. [Google Scholar]
  43. Strachan, I.B.; Pattey, E.; Boisvert, J.B. Impact of nitrogen and environmental conditions on corn as detected by hyperspectral reflectance. Remote Sens. Environ. 2002, 80, 213–224. [Google Scholar] [CrossRef]
  44. Jiang, W.; Ni, Y.; Pang, Z.; He, G.; Fu, J.; Lu, J.; Yang, K.; Long, T.; Lei, T. A new index for identifying water body from sentinel-2 satellite remote sensing imagery. ISPRS Ann. Photogramm. Remote Sens. Spat. Inf. Sci. 2020, 3, 33–38. [Google Scholar] [CrossRef]
  45. Penuelas, J.; Filella, I.; Biel, C.; Serrano, L.; Save, R. The reflectance at the 950–970 nm region as an indicator of plant water status. Int. J. Remote. Sens. 1993, 14, 1887–1905. [Google Scholar] [CrossRef]
  46. Rouse, J.W.J.; Haas, R.H.; Schell, J.A.; Deering, D.W. Monitoring vegetation systems in the Great Plains with ERTS. In Third Earth Resources Technology Satellite-1 Symposium, Volume 1, Section A; NASA Goddard Space Flight Center: Greenbelt, MD, USA, 1974. [Google Scholar]
  47. Zarco-Tejada, P.J.; Berjón, A.; López-Lozano, R.; Miller, J.R.; Martín, P.; Cachorro, V.; González, M.R.; De Frutos, A. Assessing vineyard condition with hyperspectral indices: Leaf and canopy reflectance simulation in a row-structured discontinuous canopy. Remote Sens. Environ. 2005, 99, 271–287. [Google Scholar] [CrossRef]
  48. Jordan, C.F. Derivation of Leaf-Area Index from Quality of Light on the Forest Floor. Ecology 1969, 50, 663–666. [Google Scholar] [CrossRef]
  49. Haboudane, D.; Miller, J.R.; Pattey, E.; Zarco-Tejada, P.J.; Strachan, I.B. Hyperspectral vegetation indices and novel algorithms for predicting green LAI of crop canopies: Modeling and validation in the context of precision agriculture. Remote Sens. Environ. 2004, 90, 337–352. [Google Scholar] [CrossRef]
  50. Zarco-Tejada, P.J.; Miller, J.R.; Mohammed, G.H.; Noland, T.L.; Sampson, P.H. Chlorophyll Fluorescence Effects on Vegetation Apparent Reflectance: II. Laboratory and Airborne Canopy-Level Measurements with Hyperspectral Data. Remote Sens. Environ. 2000, 74, 596–608. [Google Scholar] [CrossRef]
  51. Zarco-Tejada, P.J.; Miller, J.R.; Mohammed, G.H.; Noland, T.L. Chlorophyll Fluorescence Effects on Vegetation Apparent Reflectance: I. Leaf-Level Measurements and Model Simulation. Remote Sens. Environ. 2000, 74, 582–595. [Google Scholar] [CrossRef]
  52. Dobrowski, S.Z.; Pushnik, J.C.; Zarco-Tejada, P.J.; Ustin, S.L. Simple reflectance indices track heat and water stress-induced changes in steady-state chlorophyll fluorescence at the canopy scale. Remote Sens. Environ. 2005, 97, 403–414. [Google Scholar] [CrossRef]
  53. Sims, D.A.; Gamon, J.A. Relationships between leaf pigment content and spectral reflectance across a wide range of species, leaf structures and developmental stages. Remote Sens. Environ. 2002, 81, 337–354. [Google Scholar] [CrossRef]
  54. Gitelson, A.; Merzlyak, M.N. Quantitative estimation of chlorophyll-a using reflectance spectra: Experiments with autumn chestnut and maple leaves. J. Photochem. Photobiol. B Biol. 1994, 22, 247–252. [Google Scholar] [CrossRef]
  55. Rondeaux, G.; Steven, M.; Baret, F. Optimization of soil-adjusted vegetation indices. Remote Sens. Environ. 1996, 55, 95–107. [Google Scholar] [CrossRef]
  56. Penuelas, J.; Baret, F.; Filella, I. Semi-empirical indices to assess carotenoids/chlorophyll a ratio from leaf spectral reflectance. Photosynthetica 1995, 31, 221–230. [Google Scholar]
  57. Chappelle, E.W.; Kim, M.S.; McMurtrey, J.E. Ratio analysis of reflectance spectra (RARS): An algorithm for the remote estimation of the concentrations of chlorophyll A, chlorophyll B, and carotenoids in soybean leaves. Remote Sens. Environ. 1992, 39, 239–247. [Google Scholar] [CrossRef]
  58. Blackburn, G.A. Spectral indices for estimating photosynthetic pigment concentrations: A test using senescent tree leaves. Int. J. Remote Sens. 1998, 19, 657–675. [Google Scholar] [CrossRef]
  59. Gamon, J.A.; Surfus, J.S. Assessing leaf pigment content and activity with a reflectometer. New Phytol. 1999, 143, 105–117. [Google Scholar] [CrossRef]
  60. Gitelson, A.A.; Gritz, Y.; Merzlyak, M.N. Relationships between leaf chlorophyll content and spectral reflectance and algorithms for non-destructive chlorophyll assessment in higher plant leaves. J. Plant Physiol. 2003, 160, 271–282. [Google Scholar] [CrossRef] [PubMed]
  61. Baret, F.; Guyot, G. Potentials and limits of vegetation indices for LAI and APAR assessment. Remote Sens. Environ. 1991, 35, 161–173. [Google Scholar] [CrossRef]
  62. Jones, H.G. Irrigation scheduling: Advantages and pitfalls of plant-based methods. J. Exp. Bot. 2004, 55, 2427–2436. [Google Scholar] [CrossRef]
  63. Schreiber-Gregory, D.N. Ridge Regression and multicollinearity: An in-depth review. Model Assist. Stat. Appl. 2018, 13, 359–365. [Google Scholar] [CrossRef]
  64. Box, G.E.P. Some Problems of Statistics and Everyday Life. J. Am. Stat. Assoc. 1979, 74, 1. [Google Scholar] [CrossRef]
  65. Breiman, L. Random forests. Mach. Learn. 2001, 45, 5–32. [Google Scholar] [CrossRef]
  66. Friedman, J.H. Greedy function approximation: A gradient boosting machine. Ann. Statist. 2001, 29, 1189–1232. [Google Scholar] [CrossRef]
  67. Cover, T.M.; Hart, P.E. Nearest Neighbor Pattern Classification. IEEE Trans. Inf. Theory 1967, 13, 21–27. [Google Scholar] [CrossRef]
  68. Efendi, A. Effrihan A simulation study on Bayesian Ridge regression models for several collinearity levels. AIP Conf. Proc. 2017, 1913, 20031. [Google Scholar]
  69. Brunetto, G.; Stefanello, L.O.; Kulmann, M.S.d.S.; Tassinari, A.; de Souza, R.O.S.; Rozane, D.E.; Tiecher, T.L.; Ceretta, C.A.; Ferreira, P.A.A.; de Siqueira, G.N.; et al. Prediction of Nitrogen Dosage in ‘Alicante Bouschet’ Vineyards with Machine Learning Models. Plants 2022, 11, 2419. [Google Scholar] [CrossRef] [PubMed]
  70. Armstrong, C.E.J.; Gilmore, A.M.; Boss, P.K.; Pagay, V.; Jeffery, D.W. Machine learning for classifying and predicting grape maturity indices using absorbance and fluorescence spectra. Food Chem. 2023, 403, 134321. [Google Scholar] [CrossRef]
  71. Montesinos López, O.A.; Montesinos López, A.; Crossa, J. Overfitting, Model Tuning, and Evaluation of Prediction Performance. In Multivariate Statistical Machine Learning Methods for Genomic Prediction; Springer International Publishing: Cham, Switzerland, 2022; pp. 109–139. [Google Scholar]
  72. Tuccio, L.; Remorini, D.; Pinelli, P.; Fierini, E.; Tonutti, P.; Scalabrelli, G.; Agati, G. Rapid and non-destructive method to assess in the vineyard grape berry anthocyanins under different seasonal and water conditions. Aust. J. Grape Wine Res. 2011, 17, 181–189. [Google Scholar] [CrossRef]
  73. Bogicevic, M.; Maras, V.; Mugoša, M.; Kodžulović, V.; Raičević, J.; Šućur, S.; Failla, O. The effects of early leaf removal and cluster thinning treatments on berry growth and grape composition in cultivars Vranac and Cabernet Sauvignon. Chem. Biol. Technol. Agric. 2015, 2, 13. [Google Scholar] [CrossRef]
  74. Serrano, L.; González-Flor, C.; Gorchs, G. Assessing vineyard water status using the reflectance based Water Index. Agric. Ecosyst. Environ. 2010, 139, 490–499. [Google Scholar] [CrossRef]
  75. Somkuwar, R.G.; Ramteke, S.D.; Sawant, S.D.; Takawale, P. Canopy Modification Influences Growth, Yield, Quality, and Powdery Mildew Incidence in Tas-A-Ganesh Grapevine. Int. J. Fruit Sci. 2019, 19, 437–451. [Google Scholar] [CrossRef]
  76. Zufferey, V.; Spring, J.L.; Verdenal, T.; Dienes, A.; Belcher, S.; Lorenzini, F.; Koestel, C.; Rösti, J.; Gindro, K.; Spangenberg, J.; et al. The influence of water stress on plant hydraulics, gas exchange, berry composition and quality of Pinot Noir wines in Switzerland. OENO One 2017, 51, 37–57. [Google Scholar] [CrossRef]
  77. Van Leeuwen, C.; Tregoat, O.; Choné, X.; Bois, B.; Pernet, D.; Gaudillére, J.P. Vine water status is a key factor in grape ripening and vintage quality for red Bordeaux wine. How can it be assessed for vineyard management purposes? OENO One 2009, 43, 121–134. [Google Scholar] [CrossRef]
  78. Mihelčič, A.; Vanzo, A.; Sivilotti, P.; Vrščaj, B.; Lisjak, K. An investigation of vine water status as a major factor in the quality of Merlot wine produced in terraced and non-terraced vineyards in the Vipava Valley, Slovenia. OENO One 2023, 57, 231–246. [Google Scholar] [CrossRef]
Figure 1. Coombe Vineyard, Adelaide, South Australia. Abbreviations: CFC (Cabernet Franc C7V15), CS1 (Cabernet Sauvignon 125), SB1 (Shiraz BVRC17), MD1 (Merlot D3V14), SBF (Sauvignon Blanc F4V6), SS3 (Semillon SA32), R17 (Riesling 17), CI1 (Chardonnay I10V1), SR1 (Shiraz Ruggeri 140), SK4 (Shiraz K51-40), ST5 (Shiraz Teleki 5C), SB2 (Shiraz BVRC12), SS4 (Shiraz SO4), SRm (Shiraz Ramsey), SSc (Shiraz Schwarzmann), and S42 (Shiraz 420A). Block A extends from row 1 to 9 and is demarcated by the red outline; block B extends from row 10 to 20 and is demarcated by the green outline; block C extends from row 21 to 30 and is demarcated by the blue outline. Each variety/rootstock is represented by a colour.
Figure 1. Coombe Vineyard, Adelaide, South Australia. Abbreviations: CFC (Cabernet Franc C7V15), CS1 (Cabernet Sauvignon 125), SB1 (Shiraz BVRC17), MD1 (Merlot D3V14), SBF (Sauvignon Blanc F4V6), SS3 (Semillon SA32), R17 (Riesling 17), CI1 (Chardonnay I10V1), SR1 (Shiraz Ruggeri 140), SK4 (Shiraz K51-40), ST5 (Shiraz Teleki 5C), SB2 (Shiraz BVRC12), SS4 (Shiraz SO4), SRm (Shiraz Ramsey), SSc (Shiraz Schwarzmann), and S42 (Shiraz 420A). Block A extends from row 1 to 9 and is demarcated by the red outline; block B extends from row 10 to 20 and is demarcated by the green outline; block C extends from row 21 to 30 and is demarcated by the blue outline. Each variety/rootstock is represented by a colour.
Remotesensing 16 04539 g001
Figure 2. Validation site at Coonawarra. Alex vineyards at the Wynns Coonawarra Estate and Homestead vineyards at the Katnook Coonawarra Estate in South Australia, Australia.
Figure 2. Validation site at Coonawarra. Alex vineyards at the Wynns Coonawarra Estate and Homestead vineyards at the Katnook Coonawarra Estate in South Australia, Australia.
Remotesensing 16 04539 g002
Figure 3. Weather conditions at the Coombe and Coonawarra vineyards during the 2019/20, 2020/21, and 2021/22 growing seasons. EL 4 budburst (BB), EL 19 flowering (F), EL 27 fruit set (FS), EL 31 pea size (PS), EL 35 veraison (V), EL 37 preharvest (PH), and EL 38 harvest (H).
Figure 3. Weather conditions at the Coombe and Coonawarra vineyards during the 2019/20, 2020/21, and 2021/22 growing seasons. EL 4 budburst (BB), EL 19 flowering (F), EL 27 fruit set (FS), EL 31 pea size (PS), EL 35 veraison (V), EL 37 preharvest (PH), and EL 38 harvest (H).
Remotesensing 16 04539 g003
Figure 4. Methods workflow. Abbreviations: vegetation indices (VIs), thermal indices (TIs), canopy state variables (CSVs), season 2019/20 and season 2020/21 (2019/20/21), season 2021/22 (2021/22), ridge regression (RR), decision trees (DTs), random forest regression (RF), Bayesian ridge regression (BRR), K-Nearest Neighbour (kNN), and gradient boosting (GB).
Figure 4. Methods workflow. Abbreviations: vegetation indices (VIs), thermal indices (TIs), canopy state variables (CSVs), season 2019/20 and season 2020/21 (2019/20/21), season 2021/22 (2021/22), ridge regression (RR), decision trees (DTs), random forest regression (RF), Bayesian ridge regression (BRR), K-Nearest Neighbour (kNN), and gradient boosting (GB).
Remotesensing 16 04539 g004
Figure 5. Correlogram of Pearson’s correlation coefficient between grapevine yield components, berry composition parameters, and independent variables; p < 0.05 for all cases.
Figure 5. Correlogram of Pearson’s correlation coefficient between grapevine yield components, berry composition parameters, and independent variables; p < 0.05 for all cases.
Remotesensing 16 04539 g005
Figure 6. Observed versus predicted grapevine yield components and berry composition parameters using the best models identified in the validation. (a) Total number of clusters/vine, (b) Average cluster weight (kg), (c) Weight of 50 berries (kg), (d) Average berry weight (kg), (e) Total cluster yield (kg), (f) Average berries/bunch, (g) Yield (t/ha), (h) Total soluble solids (°Brix), (i) Titratable acidity (g/L), (j) pH (unitless), and (k) Maturity Index IMAD (unitless).
Figure 6. Observed versus predicted grapevine yield components and berry composition parameters using the best models identified in the validation. (a) Total number of clusters/vine, (b) Average cluster weight (kg), (c) Weight of 50 berries (kg), (d) Average berry weight (kg), (e) Total cluster yield (kg), (f) Average berries/bunch, (g) Yield (t/ha), (h) Total soluble solids (°Brix), (i) Titratable acidity (g/L), (j) pH (unitless), and (k) Maturity Index IMAD (unitless).
Remotesensing 16 04539 g006
Figure 7. Predictor importance based on the best models for each of the predicted variables, showing the ranked bar charts for the normalised importance of the different categories of independent variables in the prediction of grapevine yield components and composition parameters. The independent variables were categorised as follows: ‘water’, in blue [‘WI’, ‘NDII’, ‘FWBI1’, ‘FWBI2’, and ‘WBI’]; ‘structure’, in orange [‘NDVI’, ‘GI’, ‘SR’, and ‘MTVI’]; ‘physiology’, in yellow [‘FRI1’, ‘FRI2’, ‘FRI3’, ‘FRI4’, and ‘mRESR’]; ‘pigment’, in green [‘CI’, ‘OSAVI’, ‘RGI’, ‘SIPI’, ‘CARchap’, ‘CARblack’, ‘ANTgamon’, ‘ANTgitelson’, ‘NDRE’, and ‘REIP’], ‘canopy state variables’, in purple [‘Ψstem (negative MPa)’, ‘gs (mmol m−2 s−1) ‘, ‘fiPAR’, ‘LCC (SPAD units)’, ‘Photosynthesis (μmol CO2 m−2 s−1)’, and ‘Transpiration (mmol H2O m−2 s−1)’]; ‘thermal’, in firebrick red [‘(Tc − Ta) in °C’, ‘CWSI’, ‘Ig’, and ‘I3’]. Chlorophyll Content (SPAD units) is the same as LCC (SPAD units). Some units were omitted from the figure due to space limitations but were included in the caption.
Figure 7. Predictor importance based on the best models for each of the predicted variables, showing the ranked bar charts for the normalised importance of the different categories of independent variables in the prediction of grapevine yield components and composition parameters. The independent variables were categorised as follows: ‘water’, in blue [‘WI’, ‘NDII’, ‘FWBI1’, ‘FWBI2’, and ‘WBI’]; ‘structure’, in orange [‘NDVI’, ‘GI’, ‘SR’, and ‘MTVI’]; ‘physiology’, in yellow [‘FRI1’, ‘FRI2’, ‘FRI3’, ‘FRI4’, and ‘mRESR’]; ‘pigment’, in green [‘CI’, ‘OSAVI’, ‘RGI’, ‘SIPI’, ‘CARchap’, ‘CARblack’, ‘ANTgamon’, ‘ANTgitelson’, ‘NDRE’, and ‘REIP’], ‘canopy state variables’, in purple [‘Ψstem (negative MPa)’, ‘gs (mmol m−2 s−1) ‘, ‘fiPAR’, ‘LCC (SPAD units)’, ‘Photosynthesis (μmol CO2 m−2 s−1)’, and ‘Transpiration (mmol H2O m−2 s−1)’]; ‘thermal’, in firebrick red [‘(Tc − Ta) in °C’, ‘CWSI’, ‘Ig’, and ‘I3’]. Chlorophyll Content (SPAD units) is the same as LCC (SPAD units). Some units were omitted from the figure due to space limitations but were included in the caption.
Remotesensing 16 04539 g007
Table 1. Hyperspectral vegetation indices and thermal indices used in this study. Tc is the canopy temperature (°C), while Tdry and Twet are the lower and upper limit reference temperatures. Rx represents the reflectance value at x nm wavelength (e.g., R900 = reflectance at 900 nm).
Table 1. Hyperspectral vegetation indices and thermal indices used in this study. Tc is the canopy temperature (°C), while Tdry and Twet are the lower and upper limit reference temperatures. Rx represents the reflectance value at x nm wavelength (e.g., R900 = reflectance at 900 nm).
AbbreviationIndex NameEquationReference
Water content
WIWater IndexR900/R970[41]
NDIINormalised Difference Infrared Index(R819 − R1600)/(R819 + R1600)[42]
FWBI1Floating Water Band Index 1R900/min (R930 − 980)[43]
FWBI2Floating Water Band Index 2R920/min (R960 − 1000)[44]
WBIWater Band IndexR950/R900[45]
Structure
NDVINormalised Difference Vegetation Index(R800 − R670)/(R800 + R670)[46]
GIGreen IndexR554/R677[47]
SRSimple RatioR900/R680[48]
MTVIModified Normalised Difference Vegetation Index1.2 × (1.2 × (R800 − R550) − 2.5 × (R670 − R550))[49]
Physiology
FRI1Fluorescence Ratio Index 1R690/R630[50]
FRI2Fluorescence Ratio Index 2R750/R800[51]
FRI3Fluorescence Ratio Index 3R690/R600[52]
FRI4Fluorescence Ratio Index 4R740/R800[52]
mRESRModified Red-Edge Simple Ratio Index(R750 − R445)/(R705 + R445)[53]
Pigment
CIChlorophyll Index(R750 − R705)/(R750 + R705)[54]
OSAVIOptimised Soil-Adjusted Vegetation Index(1 + 0.16) × (R800 − R670)/(R800 + R670 + 0.16)[55]
RGIRed–Green IndexR690/R550[47]
SIPIStructure Intensive Pigment Index(R800 − R450)/(R800 + R650)[56]
CARchapCarotenoid Index (Chappelle)R760/R500[57]
CARblackCarotenoid Index (Blackburn)R800/R470[58]
ANTgamonAnthocyanin Index (Gamon)R650/R550[59]
ANTgitelsonAnthocyanin Index (Gitelson)(1/R550 −1/R700)R780[60]
NDRENormalised Difference Red-Edge Index(R790 − R720)/(R790 + R720)[53]
REIPRed-Edge Inflection Point700 + 40 × ([R670 + R780]/2 − R700)/(R740 − R700)[61]
Thermal
CWSICrop water stress index(Tc − Twet)/(Tdry − Twet)[38]
IgConductance index (Ig)(Tdry − Tc)/(Tc − Twet)[62]
I3Conductance index (I3)(Tc − Twet)/(Tdry − TC)[62]
Table 2. Descriptive statistics of grapevine yield components and berry composition parameters. TNCV (total number of clusters/vine), ACW (average cluster weight in kg), W50B (weight of 50 berries in kg), ABW (average berry weight in kg), TCY (total cluster yield in kg), ABB (average berries/bunch), Yld (yield in t/ha), TSSs (total soluble solids in °Brix), TA (titratable acidity in g/L), pH (unitless) and IMAD (maturity index is unitless).
Table 2. Descriptive statistics of grapevine yield components and berry composition parameters. TNCV (total number of clusters/vine), ACW (average cluster weight in kg), W50B (weight of 50 berries in kg), ABW (average berry weight in kg), TCY (total cluster yield in kg), ABB (average berries/bunch), Yld (yield in t/ha), TSSs (total soluble solids in °Brix), TA (titratable acidity in g/L), pH (unitless) and IMAD (maturity index is unitless).
TNCVACWW50BABWTCYABBYldTSSsTApHIMAD
SeasonSamples 137
2019/20Mean460.140.05720.00125.9111311.721.95.943.773.58
Max480.170.06410.00137.6112319.423.57.643.974.94
Min430.110.05070.00104.581065.0819.74.283.532.54
SD10.010.00320.00010.6543.50.830.770.080.55
CV%2.59.35.65.611.03.429.93.813.02.015.3
2020/21Samples 137
Mean450.130.05940.00136.0211613.322.86.423.673.48
Max470.150.06530.00147.3612419.324.77.893.875.07
Min420.110.05170.00114.511085.28214.433.472.61
SD10.010.00320.00010.6143.950.790.830.070.58
CV%2.28.35.45.410.23.729.63.512.81.916.6
2021/22Samples 56
Mean430.140.06160.00136.0911612.723.56.193.893.67
Max450.170.06840.00147.661251925.37.514.045.2
Min400.120.05410.00115.161117.7321.24.43.672.73
SD10.010.00350.00010.6632.710.920.720.080.53
CV%3.09.35.75.810.92.621.33.911.72.014.3
Table 3. Evaluation metrics for predicting the grapevine yield components and berry composition parameters. Abbreviations: cal (calibration) and val (validation); TNCV (total number of clusters/vine), ACW (average cluster weight in kg), W50B (weight of 50 berries in kg), ABW (average berry weight in kg), TCY (total cluster yield in kg), ABB (average berries/bunch), Yld (yield in t/ha), TSSs (total soluble solids in °Brix), TA (titratable acidity in g/L), pH (potential of hydrogen ions is unitless), and IMAD (Maturity Index is unitless). Best validation models are highlighted in bold red.
Table 3. Evaluation metrics for predicting the grapevine yield components and berry composition parameters. Abbreviations: cal (calibration) and val (validation); TNCV (total number of clusters/vine), ACW (average cluster weight in kg), W50B (weight of 50 berries in kg), ABW (average berry weight in kg), TCY (total cluster yield in kg), ABB (average berries/bunch), Yld (yield in t/ha), TSSs (total soluble solids in °Brix), TA (titratable acidity in g/L), pH (potential of hydrogen ions is unitless), and IMAD (Maturity Index is unitless). Best validation models are highlighted in bold red.
RRDTRFGBkNNBRR
Target Variable calvalcalvalcalvalcalvalcalvalcalval
TNCVR20.650.340.740.320.970.700.980.770.750.450.620.28
RMSE0.650.940.560.950.200.630.140.560.550.860.680.99
MAE0.500.690.370.590.120.350.110.280.420.600.530.70
MAPE%1.11.60.81.30.30.80.30.70.91.41.21.6
ACWR20.720.580.820.720.980.910.990.930.770.650.690.56
RMSE0.010.010.010.010.000.000.000.000.010.010.010.01
MAE0.010.010.000.000.000.000.000.000.000.000.010.01
MAPE%3.84.63.03.50.91.90.81.43.33.44.04.7
W50BR20.620.490.830.730.980.900.980.930.740.550.600.48
RMSE0.000.000.000.000.000.000.000.000.000.000.000.00
MAE0.000.000.000.000.000.000.000.000.000.000.000.00
MAPE%2.72.91.72.00.61.30.61.12.22.72.72.9
ABWR20.620.510.830.730.970.900.980.950.740.550.630.52
RMSE0.000.000.000.000.000.000.000.000.000.000.000.00
MAE0.000.000.000.000.000.000.000.000.000.000.000.00
MAPE%2.72.91.72.00.61.30.60.92.22.62.72.9
TCYR20.750.600.880.800.980.900.990.950.800.600.720.57
RMSE0.330.360.230.260.090.180.070.130.290.360.350.38
MAE0.260.290.170.180.060.130.060.100.220.260.270.29
MAPE%4.34.92.83.11.12.31.01.63.84.64.55.1
ABBR20.730.560.920.660.990.930.990.930.780.580.710.58
RMSE2.162.091.161.830.480.860.470.841.952.042.222.03
MAE1.641.590.761.330.350.680.380.651.451.481.721.56
MAPE%1.41.40.71.20.30.60.30.61.31.31.51.4
YldR20.880.830.960.900.990.970.990.960.900.840.880.83
RMSE1.261.370.731.020.290.580.230.621.161.331.291.36
MAE1.011.110.550.790.190.430.180.400.891.041.041.10
MAPE%8.79.94.56.51.64.01.53.47.99.49.09.8
TSSsR20.580.460.660.530.970.770.980.840.680.510.520.45
RMSE0.540.620.490.580.140.400.120.340.470.590.580.62
MAE0.400.480.350.420.100.280.090.220.340.440.430.49
MAPE%1.82.11.51.90.41.20.41.01.52.01.92.2
TAR20.610.430.670.580.980.840.980.820.760.490.570.47
RMSE0.510.600.470.520.130.310.110.340.400.570.540.58
MAE0.390.500.320.380.090.230.090.230.300.460.410.47
MAPE%6.37.85.25.91.43.61.43.64.97.36.77.4
pHR20.580.480.670.460.970.880.980.930.660.580.550.50
RMSE0.050.050.040.050.010.020.010.020.040.050.050.05
MAE0.040.040.030.040.010.020.010.010.030.040.040.04
MAPE%1.01.10.81.00.20.50.20.40.81.01.01.0
IMADR20.640.490.730.630.980.850.990.880.790.560.610.51
RMSE0.340.390.300.330.080.210.070.190.260.360.360.38
MAE0.260.340.210.250.050.160.050.140.200.290.270.32
MAPE%7.19.75.76.91.54.61.43.95.58.47.49.1
Disclaimer/Publisher’s Note: The statements, opinions and data contained in all publications are solely those of the individual author(s) and contributor(s) and not of MDPI and/or the editor(s). MDPI and/or the editor(s) disclaim responsibility for any injury to people or property resulting from any ideas, methods, instructions or products referred to in the content.

Share and Cite

MDPI and ACS Style

Jewan, S.Y.Y.; Gautam, D.; Sparkes, D.; Singh, A.; Billa, L.; Cogato, A.; Murchie, E.; Pagay, V. Integrating Hyperspectral, Thermal, and Ground Data with Machine Learning Algorithms Enhances the Prediction of Grapevine Yield and Berry Composition. Remote Sens. 2024, 16, 4539. https://doi.org/10.3390/rs16234539

AMA Style

Jewan SYY, Gautam D, Sparkes D, Singh A, Billa L, Cogato A, Murchie E, Pagay V. Integrating Hyperspectral, Thermal, and Ground Data with Machine Learning Algorithms Enhances the Prediction of Grapevine Yield and Berry Composition. Remote Sensing. 2024; 16(23):4539. https://doi.org/10.3390/rs16234539

Chicago/Turabian Style

Jewan, Shaikh Yassir Yousouf, Deepak Gautam, Debbie Sparkes, Ajit Singh, Lawal Billa, Alessia Cogato, Erik Murchie, and Vinay Pagay. 2024. "Integrating Hyperspectral, Thermal, and Ground Data with Machine Learning Algorithms Enhances the Prediction of Grapevine Yield and Berry Composition" Remote Sensing 16, no. 23: 4539. https://doi.org/10.3390/rs16234539

APA Style

Jewan, S. Y. Y., Gautam, D., Sparkes, D., Singh, A., Billa, L., Cogato, A., Murchie, E., & Pagay, V. (2024). Integrating Hyperspectral, Thermal, and Ground Data with Machine Learning Algorithms Enhances the Prediction of Grapevine Yield and Berry Composition. Remote Sensing, 16(23), 4539. https://doi.org/10.3390/rs16234539

Note that from the first issue of 2016, this journal uses article numbers instead of page numbers. See further details here.

Article Metrics

Back to TopTop