Deterministic Sea Wave Reconstruction and Prediction Based on Coherent S-Band Radar Using Condition Number Regularized Least Squares
Abstract
1. Introduction
2. Principle and Method
2.1. Wave Propagation Model
2.2. CN-RLS Method
2.3. Method
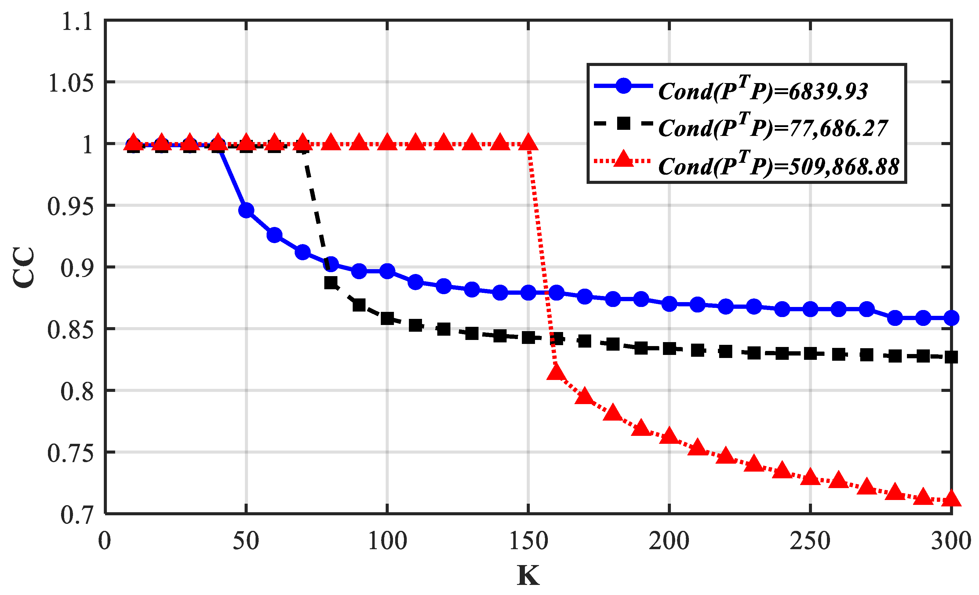
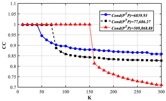
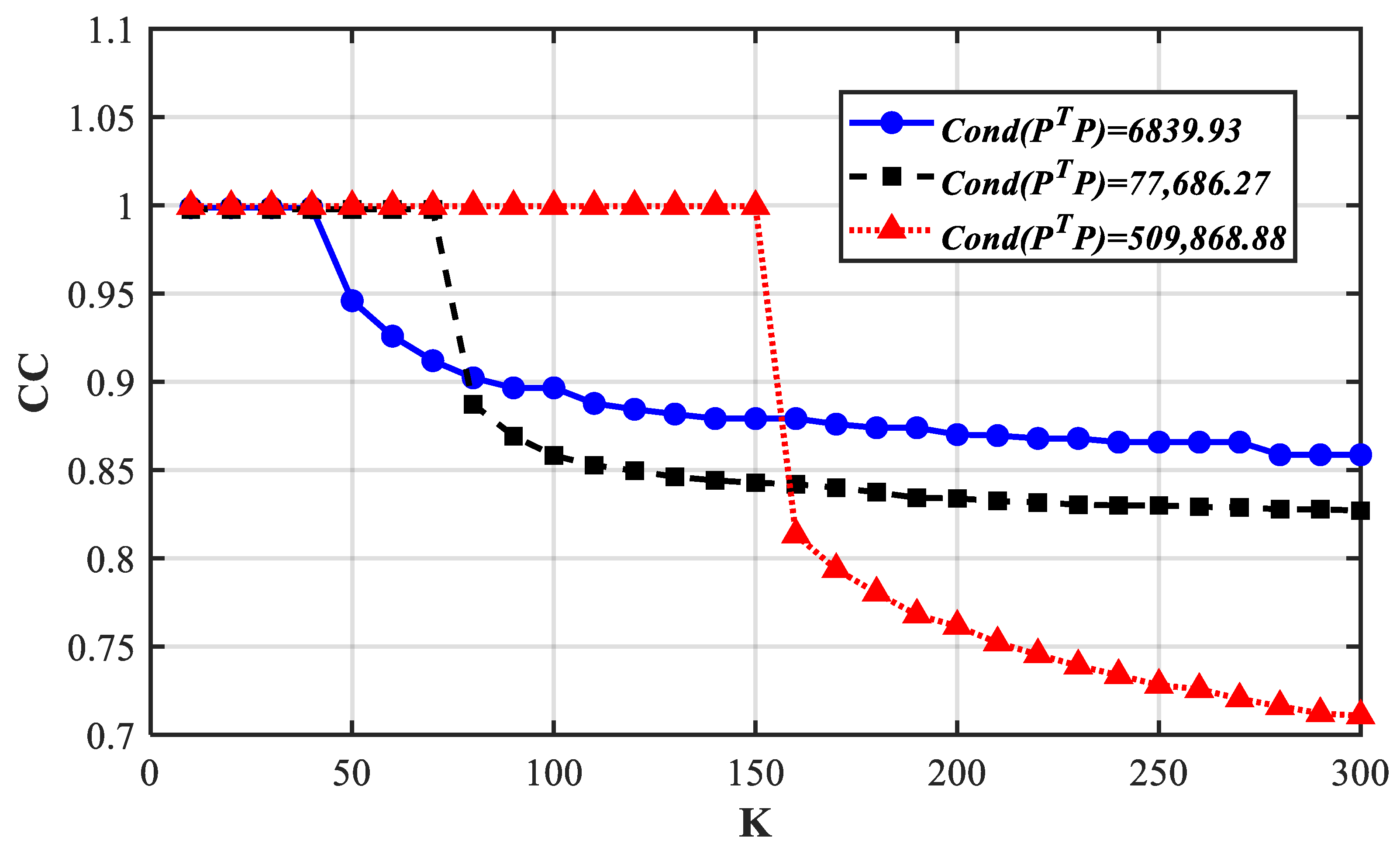
3. Simulation
4. Verification by Experimental Data
4.1. Experiment Description
4.2. Experimental Results
5. Discussion
6. Conclusions
Author Contributions
Funding
Data Availability Statement
Conflicts of Interest
References
- Fisher, A.; Thomson, J.; Schwendeman, M. Rapid deterministic wave prediction using a sparse array of buoys. Ocean Eng. 2021, 228, 108871. [Google Scholar] [CrossRef]
- Clauss, G.F.; Klein, M.; Dudek, M.; Onorato, M. Deterministic non-linear wave forecast and motion prediction for short-term offshore operations. In Proceedings of the ISOPE International Ocean and Polar Engineering Conference, ISOPE, Island, HI, USA, 21–26 June 2015; p. ISOPE-I-15-087. [Google Scholar]
- Hilmer, T.; Thornhill, E. Deterministic wave predictions from the WaMoS II. In Proceedings of the OCEANS 2014-TAIPEI, Taipei, Taiwan, 7–10 April 2014; pp. 1–8. [Google Scholar] [CrossRef]
- Giron-Sierra, J.M.; Esteban, S. The Problem of Quiescent Period Prediction for Ships: A Review. IFAC Proc. Vol. 2010, 43, 307–312. [Google Scholar] [CrossRef]
- Previsic, M.; Karthikeyan, A.; Lyzenga, D. In-Ocean Validation of a Deterministic Sea Wave Prediction (DSWP) System leveraging X-Band Radar to Enable Optimal Control in Wave Energy Conversion Systems. Appl. Ocean Res. 2021, 114, 102784. [Google Scholar] [CrossRef]
- Zhang, J.; Yang, J.; Wen, J.; Prislin, I.; Hong, K. Deterministic wave model for short-crested ocean waves: Part I. Theory and numerical scheme. Appl. Ocean Res. 1999, 21, 167–188. [Google Scholar] [CrossRef]
- Law, Y.; Santo, H.; Lim, K.; Chan, E. Deterministic wave prediction for unidirectional sea-states in real-time using Artificial Neural Network. Ocean Eng. 2020, 195, 106722. [Google Scholar] [CrossRef]
- Chen, X.; Huang, W. Spatial–Temporal Convolutional Gated Recurrent Unit Network for Significant Wave Height Estimation From Shipborne Marine Radar Data. IEEE Trans. Geosci. Remote Sens. 2022, 60, 4201711. [Google Scholar] [CrossRef]
- Dannenberg, J.; Hessner, K.; Naaijen, P.; van den Boom, H.; Reichert, K. The on board wave and motion estimator OWME. In Proceedings of the ISOPE International Ocean and Polar Engineering Conference, ISOPE, Beijing, China, 20–25 June 2010; p. ISOPE-I-10-088. [Google Scholar]
- Clauss, G.F.; Kosleck, S.; Testa, D.; Hessner, K. Forecast of critical situations in short-crested seas. In Proceedings of the International Conference on Offshore Mechanics and Arctic Engineering, Estoril, Portugal, 15–20 June 2008; Volume 48197, pp. 217–226. [Google Scholar]
- Fucile, F. Deterministic Sea Wave and Ship Motion Forecasting: From Remote Wave Sensing to Prediction Error Assessment. Ph.D. Thesis, Università degli Studi Trieste, Trieste, Italy, 2017. [Google Scholar]
- Al-Ani, M.; Belmont, M.; Christmas, J. Sea trial on deterministic sea waves prediction using wave-profiling radar. Ocean Eng. 2020, 207, 107297. [Google Scholar] [CrossRef]
- Al-Ani, M.; Belmont, M.; Paolo, T.d. Spectral Algorithm in Waves Profiling and Prediction From Radar Backscatter. IEEE Trans. Geosci. Remote Sens. 2022, 60, 5104711. [Google Scholar] [CrossRef]
- Carrasco, R.; Horstmann, J.; Seemann, J. Significant Wave Height Measured by Coherent X-Band Radar. IEEE Trans. Geosci. Remote Sens. 2017, 55, 5355–5365. [Google Scholar] [CrossRef]
- Hu, Z.; Chen, Z.; Zhao, C.; Chen, X. Inversion of Wave Parameters With Shore-Based Coherent S-Band Radar Using Quasi-Binary Variational Mode Decomposition. IEEE J. Sel. Top. Appl. Earth Obs. Remote Sens. 2024, 17, 8570–8580. [Google Scholar] [CrossRef]
- Chen, Z.; Liu, H.; Zhao, C.; Zhang, C. Spatial-Temporal Inversion Algorithm for Wave Measurements Using Shore-Based Coherent S-Band Radar. IEEE Trans. Geosci. Remote Sens. 2022, 60, 5102914. [Google Scholar] [CrossRef]
- Hackett, E.E.; Fullerton, A.M.; Merrill, C.F.; Fu, T.C. Comparison of Incoherent and Coherent Wave Field Measurements Using Dual-Polarized Pulse-Doppler X-Band Radar. IEEE Trans. Geosci. Remote Sens. 2015, 53, 5926–5942. [Google Scholar] [CrossRef]
- Plant, W.; Keller, W.; Hayes, K. Measurement of river surface currents with coherent microwave systems. IEEE Trans. Geosci. Remote Sens. 2005, 43, 1242–1257. [Google Scholar] [CrossRef]
- Chien, H.; Cheng, H.Y.; Trizna, D.B. Determination of phase difference of backscatter signals from coherent-on-receive microwave marine radar for wave measurement. In Proceedings of the 2013 OCEANS-San Diego, San Diego, CA, USA, 23–27 September 2013; pp. 1–6. [Google Scholar] [CrossRef]
- Chen, Z.; Zhang, C.; Zhao, C.; Chen, X.; Liu, H. Peak Wave Direction Measurement Using Shipboard Coherent Microwave Radar. IEEE Geosci. Remote Sens. Lett. 2022, 19, 4500805. [Google Scholar] [CrossRef]
- Nwogu, O.G.; Lyzenga, D.R. Surface-Wavefield Estimation From Coherent Marine Radars. IEEE Geosci. Remote Sens. Lett. 2010, 7, 631–635. [Google Scholar] [CrossRef]
- Lyzenga, D.R.; Nwogu, O.G.; Beck, R.F.; O’Brien, A.; Johnson, J.; de Paolo, T.; Terrill, E. Real-time estimation of ocean wave fields from marine radar data. In Proceedings of the 2015 IEEE International Geoscience and Remote Sensing Symposium (IGARSS), Milan, Italy, 13–18 July 2015; pp. 3622–3625. [Google Scholar] [CrossRef]
- Connell, B.S.; Rudzinsky, J.P.; Brundick, C.S.; Milewski, W.M.; Kusters, J.G.; Farquharson, G. Development of an environmental and ship motion forecasting system. In Proceedings of the International Conference on Offshore Mechanics and Arctic Engineering. American Society of Mechanical Engineers, St. John’s, NL, Canada, 31 May–5 June 2015; Volume 56598, p. V011T12A058. [Google Scholar]
- Støle-Hentschel, S.; Seemann, J.; Nieto Borge, J.C.; Trulsen, K. Consistency between sea surface reconstructions from nautical X-band radar Doppler and amplitude measurements. J. Atmos. Ocean. Technol. 2018, 35, 1201–1220. [Google Scholar] [CrossRef]
- Zhang, C.; Chen, Z.; Zhao, C.; Chen, X.; Wei, Y.; He, J. Deterministic Sea Wave Prediction Based on Least Squares With Regularization Algorithm Using Coherent Microwave Radar. IEEE Trans. Geosci. Remote Sens. 2022, 60, 4209809. [Google Scholar] [CrossRef]
- Al-Ani, M.; Christmas, J.; Belmont, M.R.; Duncan, J.M.; Duncan, J.; Ferrier, B. Deterministic Sea Waves Prediction Using Mixed Space–Time Wave Radar Data. J. Atmos. Ocean. Technol. 2019, 36, 833–842. [Google Scholar] [CrossRef]
- Chen, T.; Ljung, L. Implementation of algorithms for tuning parameters in regularized least squares problems in system identification. Automatica 2013, 49, 2213–2220. [Google Scholar] [CrossRef]
- Ababou, R.; Bagtzoglou, A.C.; Wood, E.F. On the condition number of covariance matrices in kriging, estimation, and simulation of random fields. Math. Geol. 1994, 26, 99–133. [Google Scholar] [CrossRef]
- Brun, R.; Reichert, P.; Künsch, H.R. Practical identifiability analysis of large environmental simulation models. Water Resour. Res. 2001, 37, 1015–1030. [Google Scholar] [CrossRef]
- Belsley, D.A. Conditioning Diagnostics: Collinearity and Weak Data in Regression; John Wiley: New York, NY, USA, 1991. [Google Scholar]
- Liu, C.S.; Atluri, S.N. An iterative method using an optimal descent vector, for solving an ill-conditioned system Bx = b, better and faster than the conjugate gradient method. Comput. Model. Eng. Sci. 2011, 80, 275–298. [Google Scholar]
- Chen, Z.; Wang, Z.; Chen, X.; Zhao, C.; Xie, F.; He, C. S-Band Doppler Wave Radar System. Remote Sens. 2017, 9, 1302. [Google Scholar] [CrossRef]
- Hasselmann, D.E.; Dunckel, M.; Ewing, J.A. Directional Wave Spectra Observed during JONSWAP 1973. J. Phys. Oceanogr. 1980, 10, 1264–1280. [Google Scholar] [CrossRef]
- Liu, H.; Chen, Z.; Zhao, C. A New Doppler Model Incorporated With Free and Broken-Short Waves for Coherent S-Band Wave Radar at Near-Grazing Angles. IEEE Trans. Geosci. Remote Sens. 2022, 60, 5108311. [Google Scholar] [CrossRef]
- He, J.; Chen, Z.; Zhao, C.; Chen, X. On the Reconstruction and Prediction Improvements of the Deterministic Sea Wave Predictable Zone Using Spatio-Temporal Coherent Radar Measurements. IEEE Trans. Geosci. Remote Sens. 2023, 61, 2004714. [Google Scholar] [CrossRef]
- Wu, S.; Zhao, C.; Chen, Z.; Xu, Q.; Wang, X. Wave Parameter Inversion From Motion-Affected Echoes Using Shipboard Coherent Microwave Radar. IEEE Trans. Geosci. Remote Sens. 2023, 61, 5106311. [Google Scholar] [CrossRef]















| Parameters | Values |
|---|---|
| CC | 0.93/0.99 |
| MAE | 0.16 m/0.04 m |
| RMSE | 0.19 m/0.05 m |
| Parameters | Values |
|---|---|
| Range resolution | 7.5 m |
| Sampling time | 0.26 s |
| Frequency sweep period | 2032 s |
| Operating frequency | 2.85 GHz |
| Parameters | Values |
|---|---|
| CC | 0.77/0.85 |
| MAE | 0.25 m/0.12 m |
| RMSE | 0.33 m/0.17 m |
| Parameters | Values |
|---|---|
| CC | 0.67/0.76 |
| MAE | 0.26 m/0.18 m |
| RMSE | 0.35 m/0.22 m |
Disclaimer/Publisher’s Note: The statements, opinions and data contained in all publications are solely those of the individual author(s) and contributor(s) and not of MDPI and/or the editor(s). MDPI and/or the editor(s) disclaim responsibility for any injury to people or property resulting from any ideas, methods, instructions or products referred to in the content. |
© 2024 by the authors. Licensee MDPI, Basel, Switzerland. This article is an open access article distributed under the terms and conditions of the Creative Commons Attribution (CC BY) license (https://creativecommons.org/licenses/by/4.0/).
Share and Cite
Hu, Z.; Chen, Z.; Zhao, C.; Chen, X. Deterministic Sea Wave Reconstruction and Prediction Based on Coherent S-Band Radar Using Condition Number Regularized Least Squares. Remote Sens. 2024, 16, 4147. https://doi.org/10.3390/rs16224147
Hu Z, Chen Z, Zhao C, Chen X. Deterministic Sea Wave Reconstruction and Prediction Based on Coherent S-Band Radar Using Condition Number Regularized Least Squares. Remote Sensing. 2024; 16(22):4147. https://doi.org/10.3390/rs16224147
Chicago/Turabian StyleHu, Zhongqian, Zezong Chen, Chen Zhao, and Xi Chen. 2024. "Deterministic Sea Wave Reconstruction and Prediction Based on Coherent S-Band Radar Using Condition Number Regularized Least Squares" Remote Sensing 16, no. 22: 4147. https://doi.org/10.3390/rs16224147
APA StyleHu, Z., Chen, Z., Zhao, C., & Chen, X. (2024). Deterministic Sea Wave Reconstruction and Prediction Based on Coherent S-Band Radar Using Condition Number Regularized Least Squares. Remote Sensing, 16(22), 4147. https://doi.org/10.3390/rs16224147

