Abstract
Radar forward-looking imaging is critical in many civil and military fields, such as aircraft landing, autonomous driving, and geological exploration. Although the super-resolution forward-looking imaging algorithm based on spectral estimation has the potential to discriminate multiple targets within the same beam, the estimation of the angle and magnitude of the targets are not accurate due to the influence of sidelobe leakage. This paper proposes a multi-channel super-resolution forward-looking imaging algorithm based on the improved Fast Iterative Interpolated Beamforming (FIIB) algorithm to solve the problem. First, the number of targets and the coarse estimates of angle and magnitude are obtained from the iterative adaptive approach (IAA). Then, the accurate estimates of angle and magnitude are achieved by the strategy of iterative interpolation and leakage subtraction in FIIB. Finally, a high-resolution forward-looking image is obtained through non-coherent accumulation. The simulation results of point targets and scenes show that the proposed algorithm can distinguish multiple targets in the same beam, effectively improve the azimuthal resolution of forward-looking imaging, and attain the accurate reconstruction of point targets and the contour reconstruction of extended targets.
1. Introduction
High-resolution forward-looking imaging can provide the electromagnetic scattering characteristics of the targets directly in front of the platform trajectory, and is essential in many fields such as geological exploration, precision guidance, and autonomous landing [1,2]. In general, the resolution of forward-looking imaging is measured in two dimensions: range and azimuth. High resolution in range dimension can be obtained by transmitting linear frequency-modulated (LFM) signal with a large time-bandwidth product and pulse compression. The azimuthal resolution is limited by the antenna aperture, which is challenging to match with the range resolution and severely restricts the performance of radar imaging. For the side-looking area of a moving platform, the azimuthal resolution can be effectively improved through synthetic aperture radar (SAR) [3,4] and Doppler beam sharpening (DBS) [5,6], which exploit the Doppler shift generated by the relative motion between the airborne radar and the targets. However, in the forward-looking area, the azimuthal resolution declines sharply with the decrease in the Doppler gradient; simultaneously, targets located symmetrically about the trajectory will lead to angular blurring [7]. Therefore, both SAR and DBS techniques are unable to achieve high-resolution imaging in the boresight direction [8]. Classical real aperture imaging works in the scanning mode with low azimuthal resolution, making it challenging to meet the increasing demand for forward-looking target detection and recognition [9].
To improve the azimuthal resolution of forward-looking imaging, in-depth explorations have been conducted by numerous researchers. At present, the more mature forward-looking imaging includes bistatic SAR imaging, real aperture imaging, monopulse imaging, and multi-channel imaging. The azimuthal resolution of bistatic SAR [10,11,12] is enhanced through the exploitation of independent Doppler information due to the separation of transmission and reception, albeit with increased system complexity and synchronization challenges. Thus, bistatic SAR is limited in practical applications. The radar azimuthal echo can be modeled as a convolution of the azimuthal antenna pattern with the scattering targets when the real aperture radar is working in the scanning mode [13,14,15,16]. So, the scattering coefficients can be obtained by deconvolution to reconstruct the target distribution. Real aperture imaging has the advantages of a simple system and good compatibility. However, since the antenna pattern is generally equivalent to a low-pass spatial filter, direct deconvolution is noise-sensitive and poses an ill-posed problem. Regularization [17,18,19] and statistical methods [20,21] are used to solve the problem of noise sensitivity of deconvolution and improve the azimuthal resolution. Monopulse forward-looking imaging [22,23,24,25] has been adopted in many applications due to the advantages of high accuracy, fast data acquisition, and resistance to interception. However, the monopulse technique cannot distinguish multiple targets within the same beam [26]. It can only provide a reasonable estimate of one independent, strong-point target or the centroids of multiple point targets and results in blurred images, which is essentially due to the limited spatial degrees of freedom (DOF). To further enhance the forward-looking imaging performance, a multi-channel system can be employed to replace the original monopulse system, thereby increasing spatial freedom and enabling the estimation of multiple target directions within the beamwidth. DLR developed the sector imaging radar for enhanced vision (SIREV) [27], which achieved high resolution in the azimuth direction by utilizing an array antenna system as the receiving antenna. Dai [28,29] analyzed the forward-looking imaging configuration, azimuth resolution, and ambiguity issues of array radar sensors. Subsequently, some researchers extended the monopulse forward-looking imaging to multi-channel forward-looking imaging, effectively improving the azimuth resolution based on a super-resolution algorithm [30]. However, limited by the platform’s size and the hardware cost, the number of channels may not be enough, so it is necessary to exploit the sparse characteristics. Cho [31] demonstrated that the expanded array radar data obtained by linear prediction can be used to improve the azimuthal resolution. The extrapolation method is generally applied to cases with less noise and clutter interference, or it will suffer from a mismatch between the extrapolation model and the observed data. Therefore, how to perform spectral estimation based on the existing multi-channel echo is worth studying.
The spectral estimation method is one of the most adopted methods in super-resolution imaging. Classical spectral estimation algorithms such as multiple signal classification (MUSIC), estimation of signal parameters via rotational invariance techniques (ESPRIT), and iterative adaptive approach (IAA) have been applied to the forward-looking imaging of the airborne radar sensors [32,33,34]. The feasibility of the array signal processing approach is verified for improving the azimuthal resolution. MUSIC [35] has dramatically progressed in reducing the root mean square estimation error and realized a truly super-resolved parameter estimation [36]. Although the estimation error of ESPRIT [37] is more significant than that of MUSIC, ESPRIT needs no peak search and has higher computational efficiency. However, both MUSIC and ESPRIT rely on a large amount of snapshot data, and the estimation performance is severely degraded when the snapshot data are insufficient. IAA [38] is adapted to a few snapshots and arbitrary array configurations, significantly enhancing the adaptability, and is widely used in signal processing. However, since the azimuthal resolution of forward-looking radar imaging is low, the presence of sidelobes interferes with the estimation of scatterers. The sidelobe of strong scatterers often leads to the masking of the weak ones. Although all the above methods have been designed for the direction of arrival (DOA) estimation of weak targets, the magnitude estimation needs to be more accurate. Thus, more precise model-based methods should be combined to achieve sidelobe suppression and further improve the imaging results. To address the estimation errors caused by sidelobe leakage, a fast spatial spectrum estimation method is proposed, in which the interpolation strategy and leakage subtraction are combined to solve the spectral leakage problem [39]. The technique can achieve an accurate and unbiased estimation of the DOA of non-sparse multi-point targets and has been continuously developed and improved to form a fast iterative interpolated beamformer (FIIB) algorithm [40,41,42]. Recently, our team introduced the FIIB algorithm with model order estimation (MOE) into monopulse forward-looking imaging based on sum-differential Doppler estimation [43]. The method effectively suppresses the background clutter and improves imaging quality. However, since the initialization of FIIB relies on the Fast Fourier Transform (FFT) and targets in the forward-looking area have little Doppler difference, the initial target estimation needs to be more accurate. To improve target number precision, the FIIB with MOE traverses all the possible targets and then resolves for the cost function’s minimum value, drastically increasing the computational load. To address the problem, a multi-channel super-resolution algorithm is proposed based on more precise target estimation. Firstly, the multi-channel signal model is utilized to increase the freedom of angular measurement in the front of view; secondly, an iterative adaptive approach combined with the Bayesian information criterion (BIC) is used to achieve the target number and the coarse estimates, and then the estimates are set as the initial values in FIIB to achieve a fine estimation; and finally, after obtaining the angles and amplitudes of all the targets in the beam, the forward-looking imaging results are achieved by non-coherent accumulation. The point target simulation and scene simulation results show that compared with the traditional algorithm, the proposed method suppresses the sidelobe leakage effect, effectively improves the ability to discriminate multiple targets, and significantly improves the image quality in the front of view.
2. Materials and Methods
2.1. Multi-Channel Radar Echo Signal Modeling
As shown in Figure 1, the antenna is a uniform linear array perpendicular to the direction of flight. At a constant speed of v, the airplane flies at a height of H along the y-axis. The radar antenna beam scans the forward-looking scene uniformly with angular rate and transmits LFM signals. Assume that when the target P enters the scanning beam, the slant distance of P is , the horizontal azimuth angle is , and the pitch angle is . Then, for the target P located in the beam, the echo signal can be expressed as
where is the fast time, is the slow time, is the pulse width, is the carrier frequency, is the chirp rate, denotes the rectangular window function, is the two-way antenna pattern, and is the radar cross section of the target. And under the far-field condition, the time delay of P to each antenna elements can be expressed as
where denotes the m-th channel, while the array antenna is divided into M independent receiving channels spaced by , is the speed of light, and is the instantaneous slant distance of the target to the first array cell. According to the spatial geometric analysis, can be expressed as
Figure 1.
Geometry for forward-looking imaging of a scanning radar.
By performing a Taylor expansion of (3) at and retaining only the lower-order term, we can obtain
In (4), the linear term represents the range walk, and the quadratic term represents the range curve. Since the azimuth angle is relatively tiny for targets within the forward-looking area, we have and . So, the quadratic term has little influence on the envelope and can be ignored in the subsequent forward-looking imaging analysis after phase compensation. Thus, (4) can be simplified as
Combining (1), (2), and (5), the echo of the m-th channel after demodulation, pulse compression, and range migration correction can be expressed as
where denotes the wavelength, and B denotes the signal bandwidth. The 1st exponential term in (6) is the two-way time-delayed phase due to the slant range, and the 2nd one is the Doppler term caused by the uniform platform motion.
As shown in Figure 1, there may be multiple targets within the range-beam bin. If the range gate is divided into grid cells along the azimuth direction, with the corresponding azimuth angles being , then the echo can be considered as the superposition of echoes generated by the targets’ radar cross section (RCS) modulated by the antenna pattern, which is
Because the Doppler gradient decreases sharply in the forward-looking region, it is not easy to distinguish multiple targets within the beam based on the Doppler diversity [44]. Therefore, we assume that the Doppler history of targets in different directions is approximately equal at the exact moment. Let , then it can be inferred that is a constant for targets within the range-beam bin and at the same time. Thus, the echo can be simplified as follows:
From (8), the echo signal at a certain distance cell can be seen as the convolution of the two-way antenna pattern with the scattering of the targets. So, the azimuthal resolution is limited by the beamwidth, making it difficult to obtain high azimuthal resolution. Let , , and assume the noise is additive Gaussian noise with zero mean and variance . The echo can be regarded as the sum of complex exponential components and noise
The multi-channel radar has M sampling points in the spatial dimension and the echo model can be rewritten in a matrix form
where is the single snapshot spatial vector, and is the noise vector, where the noise in each channel is independent and identically distributed. And, is the RCS distribution of K targets within the range gate , and is modulated by the antenna pattern as well. The array manifold matrix is represented by , where the steering vector for the k-th target is given by . Since the distance between two channel is large, the manifold matrix is determined by the non-aliasing angle range when the beam is pointed at , and is defined as
2.2. Classic FIIB Algorithm
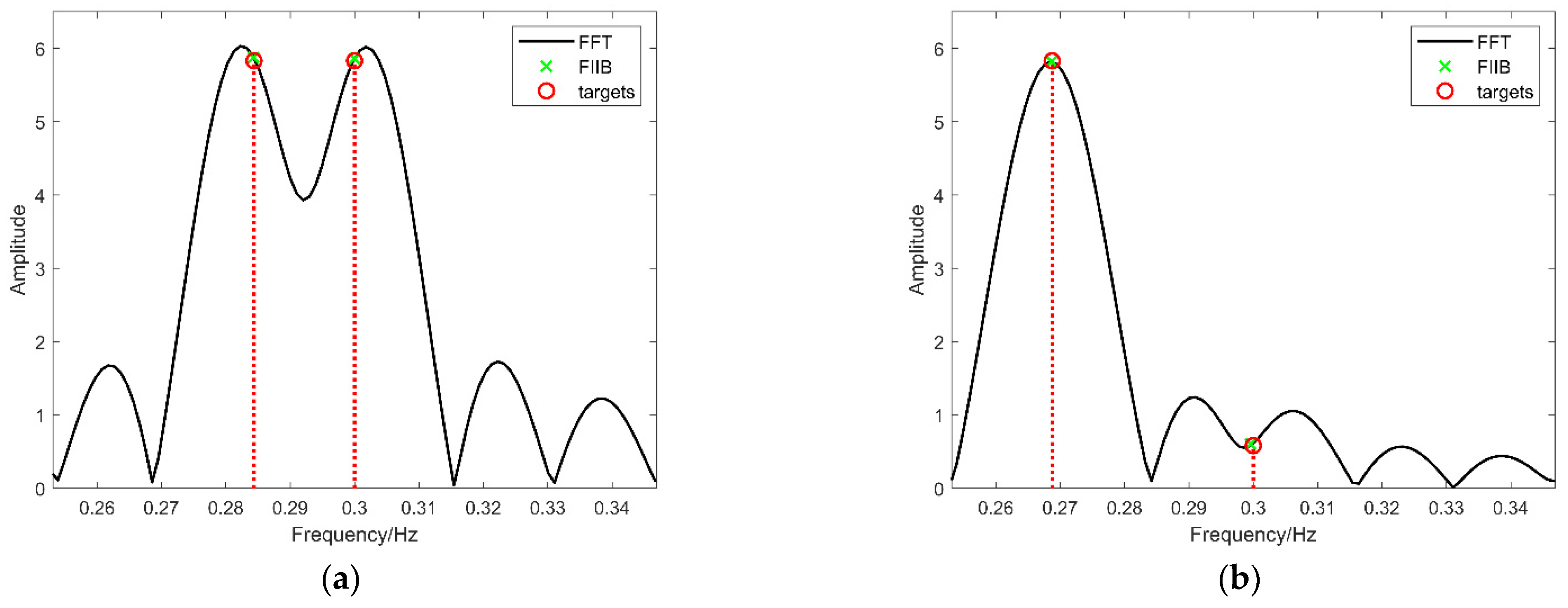
Forward-looking imaging needs to separate multiple point targets within the same range gate and obtain the targets’ azimuth angles and RCS to complete energy projection. For the signal model in (9), spectral estimation methods can be employed to solve for and its equivalent frequency . Therefore, the angle of the target can be obtained as . In the case of the classic FFT algorithm, since the sidelobe leakage issue is not considered, the estimates include energy leaked from other adjacent frequencies. Hence, an error occurs in amplitude estimation. Furthermore, the position of the spectral peak will shift to some extent due to the limited quantization order and finally result in angular error. As depicted in Figure 2a, the FFT result shows inaccurate estimates of the two-point targets without considering the sidelobe leakage issue. Regarding the scenario presented in Figure 2b, the FFT can only estimate the strong scatterer, with the weak one being wholly masked. False targets will be detected if the side lobes are further extracted as targets.
Figure 2.
Sidelobe spillover effect. (a) Two point targets. (b) One strong point target with one weak point target.
To solve the problem, FIIB combines the iterative strategy and the interpolation subtraction to effectively suppress the sidelobe leakage [41]. Firstly, the echo is transformed into the frequency domain, where the spectral peaks are extracted as initial values for the subsequent iterations. Then, all the point targets are sequentially estimated from strong to weak according to the amplitude, and the estimation bias of the point targets is eliminated by subtracting the leakage from the adjacent point targets. Thus, the problem of false targets or target masking caused by the sidelobes of strong point targets is resolved. Next, an interpolation analysis using the leakage-free Discrete Fourier Transform (DFT) coefficients is performed to estimate the spectral offset [45], which helps to correct the estimate of the frequency, and the leakage-free amplitude estimation at that frequency can be updated as well. Finally, the parameter estimation error is reduced by successive iterations, and the estimates can finally converge to a fixed point coinciding with the actual frequency to achieve unbiased estimation [46]. It is worth noting that represents the leakage-free coefficient, which means that the leakage from other frequencies is subtracted during the calculation process, and represents the estimated value. The computation formula for is
where denotes the DFT value of the echo at and denotes the DFT value of the estimated l-th frequency component at , which can be expressed as
Assume that the true value of the k-th frequency is unit away from the estimated value in the spectrum, where ; so, we have . The interpolated DFT coefficient can also be expressed as
where denotes the FFT value of the noise at . Let and , then and can be simplified as
Let ; combined with (14), we can obtain
Aboutanios and Mulgrew [45] proved that when is large enough, can be expanded and reduced to
where represents taking the real part. It can be seen that the real part of is a noisy estimate of ; since the noise is additive Gaussian noise with zero mean, we can set .
After obtaining the offset , we can correct the estimated value of the k-th frequency, and then conduct the leakage subtraction strategy to obtain a more accurate estimation of RCS. The estimation is refined by iterative calculation.
The estimation results of the FIIB in Figure 2a,b demonstrate that it can effectively eliminate sidelobe leakage and extract weak targets from the sidelobes of vital point targets. The interpolation and leakage subtraction strategy provides accurate frequency and amplitude estimation. However, the initial values in FIIB heavily influence the estimation results. Figure 3 shows the estimation results for two strong point targets and one weak point target in the forward-looking region, where the azimuth angles of the three targets are 0°, 1°, and 4°, respectively. The power difference between the strong and weak targets is 20 dB. In the frequency domain, the two strong point targets merge into a single more prominent peak due to their slight angular difference, while the weak point target is submerged. Thus, when deriving the initial values from the frequency domain, only one significant peak is extracted in the spectrum during initialization, leading to incorrect target number and parameter estimation. Although the FIIB algorithm can estimate the number of targets by integrating with the information theory criteria [47] under some conditions, the computational load may not be feasible in practice.
Figure 3.
An example of the failed FIIB algorithm.
2.3. FIIB with Improved Initialization
IAA is a non-parametric estimation algorithm based on a weighted least squares iterative solution with merit noise suppression and frequency component discrimination performance. It is widely applied to solve the inverse problem shown in (10). The cost function of IAA is defined as
where , and is the covariance matrix with being the power diagonal matrix of the signal to be estimated, and the diagonal elements are . When the condition number of matrix is large, the resolve of its inverse matrix may be inaccurate or even singular; therefore, diagonal loading is required to regularize
where is an noise covariance matrix, and its diagonal elements represent the energy of the unknown noise, which can be automatically estimated from the observed data using (20)
where represents the m-th column of the identity matrix . By minimizing the cost function, the estimate of the modulated RCS can be obtained as
The estimation of the RCS is refined by iteratively calculating (15) and (17). For most practical applications, convergence occurs typically after no more than ten iterations [48]. In addition, the obtained results are supposed to be discrete point estimations instead of continuous spatial spectrum estimations. This issue is an MOE problem, and can be addressed using the information theory criteria. We can choose different criteria to perform the estimation according to the characteristics of the model, and the optimal solution is the value that minimizes the cost function comprising the negative log-likelihood and a penalty term. Due to the sparsity of radar forward-looking imaging scenarios [49], BIC is preferred to be combined with IAA [38,50] to estimate the target number. The specific process is as follows: First, the peaks are identified from the IAA spatial spectrum estimation results and their indexes are recorded in the set ; subsequently, select the element with the minimum BIC value from the set and place it into the set , and denote the corresponding BIC value as . Then, choose the second element from the set and update , and the second element should yield the current minimum BIC value when combined with the first one. Continuing in this manner, the process is repeated until the value of no longer decreases. Ultimately, the number of elements in the set represents the number of targets selected by the BIC and is defined as
where , and denotes the cardinality of the set, and represents the index of the peak. According to (22), targets from different angles are extracted from the IAA estimation results.
However, IAA has limited spectral division orders constrained by computational resources, resulting in specific frequency estimation errors. Meanwhile, the amplitude estimation is not accurate due to the sidelobe effect. Despite these limitations, IAA retains an irreplaceable advantage in target resolution. Inspired by this, we utilize the point target estimation results from IAA as initial inputs for the FIIB. The impact of the side-lobe effect on the estimation can be eliminated and the specific algorithm flow is shown in Algorithm 1.
| Algorithm 1: Improved FIIB algorithm |
| Input: |
| , , |
| Repeat |
| Until ( or convergence) |
| : Set of the index of peaks obtained from |
| , , , |
| Repeat |
| if |
| else |
| Until () |
| , |
| , |
| Repeat |
| for |
| End |
| Until ( or convergence) |
| Output: |
As illustrated in Figure 4, in contrast with the result of FFT, the IAA result (the curve in orange) reconstructs three prominent peaks for the targets. However. The curve shows a broader main lobe for all the targets and a large amplitude error. Also, the energy of the IAA result is distributed across the entire range of spectral estimation, as shown in the yellow area. In contrast, the improved FIIB algorithm correctly situates the targets and delivers more precise angle and amplitude estimates.
Figure 4.
Estimated results of different methods for multiple point targets.
3. Simulation Results
The accuracy of the parameter estimation of targets directly affects the forward-looking images’ quality. The simulation indicates that the improved FIIB algorithm can adapt to the case of closely spaced targets in the forward-looking direction and provide accurate angle estimation. Therefore, the improved FIIB algorithm is introduced into multi-channel forward-looking imaging to enhance image quality. The simulation analysis on point targets and scenes is conducted to verify the imaging performance of the proposed algorithm.
3.1. Point Target Simulation
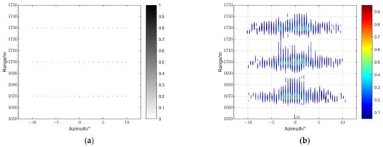
The parameters of the radar system used in the simulation are shown in Table 1. The antenna is divided into eight independent, uniformly spaced channels, where the channel space is . Moreover, the flight rate v = 100 m/s, the carrier frequency is 18 GHz with a bandwidth of 50 MHz, and the pulse width is 1 μs. The Pulse Repetition Frequency (PRF) is 2000 Hz and the scanning range of the antenna beam is from −15° to 15° with an angular scanning rate of 30°/s. As depicted in Figure 5a, a 3 × 21 target point array is set on the ground centered at [0, 1700] m, and the intensity of the point targets is 1; the azimuthal and distance intervals are both 30 m. The signal–noise ratio (SNR) of the echo after pulse compression is 10 dB.
Table 1.
Simulation parameters of a forward-looking scanning radar.

Figure 5.
Comparison of forward-looking imaging performance for point target simulation. (a) Original point targets distribution. (b) Real aperture imaging result. (c) Monopulse imaging result. (d) Monopulse imaging result based on Doppler estimates by using FIIB. (e) Multi-channel imaging result based on FIIB. (f) Multi-channel imaging result based on improved FIIB.
The real aperture image result is shown in Figure 5b, and it can be observed that the image resolution is limited by the beamwidth, resulting in poor imaging quality. Figure 5c,d illustrate the classic monopulse imaging result and the monopulse imaging result based on Doppler estimates using FIIB, where the point targets are effectively separated in the range direction. However, due to the target multiplicity problem in monopulse measurement, there is aliasing in the azimuth direction in Figure 5c. While FIIB in Figure 5d accurately estimates the number of targets in highly squinted regions, the point targets are effectively separated in the azimuthal direction. However, the imaging result exhibits an aliasing region in ±5°, and this is caused by the rapid decrease in the Doppler gradient, which prevents the distinction of multiple targets within the same beam. Figure 5e,f display the multi-channel imaging results based on the FIIB algorithm and the improved FIIB algorithm. It can be observed that there is a significant enhancement in the imaging performance in the forward-looking direction, demonstrating that the multi-channel system possesses greater DOF in the spatial domain, thus offering superior angular resolution capabilities. Meanwhile, since the distance between the targets in the forward-looking imaging area is close, the initialization of FIIB is prone to errors, leading to incorrect estimates of the number of targets and their angles. As a result, there are some angular measurement errors causing incorrect energy projections in Figure 5e. However, the improved FIIB algorithm obtains a correct estimate of the number of targets by optimizing the initial values, thus accurately projecting the target energy to the image plane. Therefore, the distribution of point targets in Figure 5f is more concentrated and better reflects the targets’ true distribution. Therefore, the improved FIIB algorithm imaging is significantly superior to the FIIB algorithm in the forward-looking direction.
To further compare the target resolution in the azimuth, the estimated values in the projection matrix are taken out along the position indicated by the red dotted line in Figure 5e,f, and the normalized profiles of the 21 point targets at 1670 m are illustrated in Figure 6. In the graph, the red circles and the dotted lines indicate the true position and the amplitude of the point targets, the blue dotted line is the azimuthal profile of the FIIB-based multi-channel imaging result, and the green solid line represents the azimuthal profile of the results of the improved FIIB. Figure 6 demonstrates that the target locations indicated by the peak values of the blue dashed lines are essentially in alignment with their true positions, and the beam sharpening of the target is better and more uniform in amplitude. Moreover, the improved FIIB algorithm exhibits higher peak values for most targets compared to the standard FIIB method. The sidelobes are fewer and lower in intensity, which indicates that the improved FIIB method has a superior concentration of the projected energy of targets, exhibits significant suppression of sidelobes, and can be accurately used to discern the number of targets.
Figure 6.
The normalized profiles for point targets at the range cell 1670 m.
3.2. Scene Reconstruction
The feasibility of the improved FIIB algorithm on scene reconstruction is verified using simulation. The original scene, as shown in Figure 7a, is a Ku-band SAR image undergoing decimation sampling. The ground targets are centered at [0 m, 1700 m] with a maximum azimuth angle of 16°, the scanning range of the antenna beam consequently expands to ±20°, while all the other parameters remain consistent with those listed in Table 1. Using Figure 7a as the original scene for echo simulation, the echo is processed using five imaging methods, and the results are presented in Figure 7b–f.

Figure 7.
Comparison of forward-looking imaging performance for scene simulation. (a) Original Ku-band SAR map. (b) Real aperture imaging result. (c) Monopulse imaging result. (d) Monopulse imaging result based on Doppler estimates using FIIB. (e) Multi-channel imaging result based on FIIB. (f) Multi-channel imaging result based on the proposed FIIB.
Figure 7b shows the real aperture imaging result, and the image resolution is low due to the beamwidth. Figure 7c represents the classic monopulse imaging result, where it can be observed that when multiple point targets exist in the same beam, the monopulse angle measurement technique cannot effectively resolve targets in azimuth, leading to blurring in the image. However, the general outline of the target is still discernible. While Figure 7d depicts monopulse imaging results based on Doppler estimates using FIIB, it can be observed that the exploiting of Doppler difference alleviates the severe geometric blurring caused by multiple targets within the same beam. However, there is still a particular gap between the imaging results and the original image in the forward-looking region (±5°). Figure 7e,f present the multi-channel imaging results based on the FIIB and the improved FIIB, respectively, and the results indicate that the multi-channel data model offers greater spatial freedom than monopulse imaging, which significantly enhances the imaging effect on targets in the forward-looking direction. The improved FIIB algorithm provides a more accurate estimation of target parameters, leading to a substantial improvement in the azimuth resolution. Thus, the imaging results of the extended targets are clearer, and the contour lines are more distinct than those obtained by the original FIIB algorithm.
To quantitatively assess the imaging performance, entropy (ENT) [51], mean squared error (MSE) [52], and structural similarity (SSIM) [53] are employed for result analysis. Image entropy is a metric for assessing the focusing effect of an image and can be defined as
where denote the range and azimuthal sizes of the image and is the probability of the pixel values in the image. MSE reflects the error between the reconstructed image and the reference image at corresponding pixels, and the lower value indicates less distortion, while SSIM considers three dimensions: brightness, contrast, and structure to better match the visual assessment of image quality. And, the similarity is higher as the value approaches 1. MSE and SSIM are, respectively, defined as
where and represent the pixel values at the location in the reconstructed image and the reference image, respectively; represent the mean and standard deviation of the image; is the correlation coefficient between the reconstructed image and the reference image; and are constants preventing the local mean or standard deviation of the image from approaching 0.
In addition, the running time is added to evaluate the performance of these methods as shown in Table 2. It is worth noting that the FIIB-based monopulse imaging has the smallest ENT, even lower than that in Figure 7a with an ENT of 3.5846. The reason is that FIIB-based monopulse imaging has a blind region within ±5° where a substantial amount of information is lost, resulting in excellent ENT performance. However, it is unreasonable without basic scene reconstruction. Apart from this outlier, Table 2 shows that the improved FIIB-based multi-channel imaging has the lowest ENT and MSE, and the highest SSIM. This indicates that the proposed method displays better focusing capability, effectively reconstructs the scene, and reveals more structural features, which is attributed to the effective elimination of sidelobe effects and the accurate estimation of the number of targets. Additionally, although the improved FIIB algorithm requires longer computation time due to a great increase in multi-channel data, it still speeds up the process by nearly 80% compared with the FIIB algorithm.
Table 2.
Quantitative evaluation of different methods of scenario simulation.
4. Discussion
The proposed method effectively addresses the problem of blind regions in forward-looking imaging. As shown in Figure 6 and Figure 7, the major advantage of FIIB is its ability to effectively suppress sidelobe leakage through iterative interpolation and leakage subtraction strategies. This helps restore more distribution of the targets in forward-looking areas. In addition, by combining IAA with BIC to give more accurate initialization values, particularly in the area near 0°, the proposed method has significant advantages over FIIB, which derives initialization values from FFT.
However, the improved FIIB algorithm still has limitations when the number of channels is limited while the quantity of the scatterers is comparatively greater. To solve this issue, the correlation between the scatterers should be considered to reduce the DOF required for recovering more details and contour features. Although BIC can help estimate the number of targets, it tends to choose lower-order models to avoid overfitting, resulting in some weak targets being ignored during estimation. This problem can be addressed by adjusting the cost function based on prior information. Therefore, modifying the existing processing framework to accommodate data with diverse scattering characteristics and varying distributions is a focus for future research.
In summary, although the current method significantly improves the reconstruction of targets in the forward-looking region, solving the limitations of target number estimation based on prior information remains a challenge for future work.
5. Conclusions
This paper proposes a multi-channel forward-looking imaging algorithm based on the improved FIIB for enhancing the estimation precision of multi-target parameters. Firstly, a multi-channel model is developed to increase the DOF. Secondly, the impacts of initialization and sidelobe leakage on estimation are considered to achieve an accurate estimation of the targets. Finally, the simulation results and the numerical analysis show the superiority of the proposed algorithm over monopulse imaging and multi-channel FIIB imaging. In the future, the correlation of the scattering targets and the cost function of MOE will be combined to achieve higher resolution and clearer structural profiles.
Author Contributions
Conceptualization, K.L., Z.X. and Y.L.; formal analysis, K.L.; funding acquisition, Y.L.; investigation, K.L., Y.L. and Z.Z.; methodology, K.L. and Y.L.; resources, Y.L. and T.J.; supervision, Y.L. and T.J.; validation, K.L., Z.X. and Z.Z.; writing—review and editing, K.L., Z.X. and Y.L. All authors have read and agreed to the published version of the manuscript.
Funding
This work was supported by the National Natural Science Foundation of China under Grant 62301577.
Data Availability Statement
The original contributions presented in this study are included in the article. Further inquiries can be directed to the corresponding author.
Conflicts of Interest
The authors declare no conflicts of interest.
References
- Mao, D.Q.; Zhang, Y.C.; Pei, J.F.; Huo, W.B.; Zhang, Y.; Huang, Y.L.; Yang, J.Y. Forward-looking geometric configuration optimization design for spaceborne-airborne multistatic synthetic aperture radar. IEEE J. Sel. Top. Appl. Earth Obs. Remote Sens. 2021, 14, 8033–8047. [Google Scholar] [CrossRef]
- Zhang, Y.C.; Mao, D.Q.; Zhang, Q.; Zhang, Y.; Huang, Y.L.; Yang, J.Y. Airborne forward-looking radar super-resolution imaging using iterative adaptive approach. IEEE J. Sel. Top. Appl. Earth Obs. Remote Sens. 2019, 12, 2044–2054. [Google Scholar] [CrossRef]
- Moreira, A.; Prats-Iraola, P.; Younis, M.; Krieger, G.; Hajnsek, I.; Papathanassiou, K.P. A Tutorial on synthetic aperture radar. IEEE Geosci. Remote Sens. Mag. 2013, 1, 6–43. [Google Scholar] [CrossRef]
- Song, S.Q.; Dai, Y.P.; Jin, T.; Wang, X.R.; Hua, Y.S.; Zhou, X.L. An effective image reconstruction enhancement method with convolutional reweighting for near-field SAR. IEEE Antennas Wirel. Propag. Lett. 2024, 23, 2486–2490. [Google Scholar] [CrossRef]
- Lu, Z.; Ding, Z.; Liu, L.; Long, T. A DBS Doppler centroid estimation algorithm based on entropy minimization. IEEE Trans. Geosci. Remote Sens. 2011, 49, 3703–3712. [Google Scholar] [CrossRef]
- Chen, H.M.; Li, M.; Wang, Z.Y.; Lu, Y.L.; Cao, R.Q.; Zhang, P.; Zuo, L.; Wu, Y. Cross-range resolution enhancement for DBS imaging in a scan mode using aperture-extrapolated sparse representation. IEEE Geosci. Remote Sens. Lett. 2017, 14, 1459–1463. [Google Scholar] [CrossRef]
- Curlander, J.C.; McDonough, R.N. Synthetic Aperture Radar Systems and Signal Processing; John Wiley & Sons: New York, NY, USA, 1991; p. 19. [Google Scholar]
- Li, W.C.; Wang, Z.W.; Chen, R.; Li, Z.Y.; Wu, J.J.; Yang, J.Y. Traditional synthetic aperture processing assisted GAN-Like network for multichannel radar forward-looking superresolution imaging. IEEE Trans. Geosci. Remote Sens. 2024, 62, 5201813. [Google Scholar] [CrossRef]
- Tang, J.K.; Liu, Z.; Ran, L.; Xie, R.; Qin, J.K. Radar Forward-looking Super-resolution imaging method based on sparse and low-rank priors. J. Radars 2023, 12, 332–342. [Google Scholar] [CrossRef]
- Wang, R.; Loffeld, O.; Nies, H.; Peters, V. Image formation algorithm for bistatic forward-looking SAR. In Proceedings of the IEEE International Geoscience and Remote Sensing Symposium (IGARSS), Honolulu, HI, USA, 25–30 July 2010. [Google Scholar]
- Walterscheid, I.; Espeter, T.; Klare, J.; Brenner, A.R.; Ender, J.H.G. Potential and limitations of forward-looking bistatic SAR. In Proceedings of the IEEE International Geoscience and Remote Sensing Symposium (IGARSS), Honolulu, HI, USA, 25–30 July 2010. [Google Scholar]
- Li, Y.C.; Zhang, T.H.; Mei, H.W.; Quan, Y.H.; Xing, M.D. Focusing translational-variant bistatic forward-looking SAR data using the modified Omega-K algorithm. IEEE Trans. Geosci. Remote Sens. 2022, 60, 5203916. [Google Scholar] [CrossRef]
- Bao, M.; Jia, Z.H.; Yin, X.N.; Xing, M.D. Radar forward-looking super-resolution imaging algorithm of ITR-DTV based on Renyi entropy. IEEE J. Sel. Top. Appl. Earth Obs. Remote Sens. 2024, 17, 6148–6157. [Google Scholar] [CrossRef]
- Mao, D.Q.; Yang, J.Y.; Zhang, Y.C.; Huo, W.B.; Xu, F.Y.; Pei, J.F.; Zhang, Y.; Huang, Y.L. Angular superresolution of real aperture radar with high-dimensional data: Normalized projection array model and adaptive reconstruction. IEEE Trans. Geosci. Remote Sens. 2022, 60, 5117216. [Google Scholar] [CrossRef]
- Tuo, X.Y.; Mao, D.Q.; Zhang, Y.; Feng, M.X.; Zhang, Y.C.; Huang, Y.L.; Yang, J.Y. Two-step dimension reduction strategy for real-aperture radar fast super-resolution imaging. IEEE Trans. Geosci. Remote Sens. Lett. 2022, 19, 4025505. [Google Scholar] [CrossRef]
- Zhang, Q.P.; Zhang, Y.; Huang, Y.L.; Zhang, Y.C.; Pei, J.F.; Yi, Q.Y.; Li, W.C.; Yang, J.Y. TV-sparse super-resolution method for radar forward-looking imaging. IEEE Trans. Geosci. Remote Sens. 2020, 58, 6534–6549. [Google Scholar] [CrossRef]
- Gambardella, A.; Miglioaccio, M. On the superresolution of microwave scanning radiometer measurements. IEEE Geosci. Remote Sens. Lett. 2008, 5, 796–800. [Google Scholar] [CrossRef]
- Tuo, X.Y.; Zhang, Y.; Huang, Y.L.; Yang, J.Y. Fast sparse-TSVD super-resolution method of real aperture radar forward-looking imaging. IEEE Trans. Geosci. Remote Sens. 2021, 59, 6609–6620. [Google Scholar] [CrossRef]
- Huo, W.B.; Tuo, X.Y.; Zhang, Y.; Zhang, Y.C.; Huang, Y.L. Balanced Tikhonov and total variation deconvolution approach for radar forward-looking super-resolution imaging. IEEE Geosci. Remote Sens. Lett. 2022, 19, 3505805. [Google Scholar] [CrossRef]
- Chen, H.M.; Li, Y.C.; Gao, W.Q.; Zhang, W.J.; Sun, H.W.; Guo, L.; Yu, J.Z. Bayesian forward-looking superresolution imaging using Doppler deconvolution in expanded beam space for high-speed platform. IEEE Trans. Geosci. Remote Sens. 2022, 60, 5105113. [Google Scholar] [CrossRef]
- Zhang, Y.; Shen, J.H.; Tuo, X.Y.; Yang, H.G.; Zhang, Y.C.; Huang, Y.L.; Yang, J.Y. Scanning radar forward-looking superresolution imaging based on the Weibull distribution for a sea-surface target. IEEE Trans. Geosci. Remote Sens. 2022, 60, 5116111. [Google Scholar] [CrossRef]
- Wu, D.; Yang, C.J.; Zhu, D.Y.; Shen, M.W. Autofocusing algorithm for monopulse imaging. Acta Electron. Sin. 2016, 44, 1962–1968. [Google Scholar] [CrossRef]
- Wu, D.; Zhu, D.Y.; Tian, B.; Zhu, Z.D. Performance evaluation for monopulse imaging algorithm. Acta Aeronaut. Astronaut. Sin. 2012, 33, 1905–1914. [Google Scholar]
- Li, Y.L.; Liu, J.G.; Jiang, X.Q.; Huang, X.T. Angular superresolution for signal model in coherent scanning radars. IEEE Trans. Aerosp. Electron. Syst. 2019, 55, 3103–3116. [Google Scholar] [CrossRef]
- Chen, H.M.; Lu, Y.B.; Mu, H.Q.; Yi, X.L.; Liu, J.; Wang, Z.Y.; Li, M. Knowledge-aided mono-pulse forward-looking imaging for airborne radar by exploiting the antenna pattern information. Electron. Lett. 2017, 53, 566–568. [Google Scholar] [CrossRef]
- Sheng, W.X.; Fang, D.G. Angular superresolution for phased antenna array by phase weighting. IEEE Trans. Aerosp. Electron. Syst. 2001, 37, 1450–1458. [Google Scholar] [CrossRef]
- Sutor, T.; Buckreuss, S.; Krieger, G.; Wendler, M.; Witte, F. Sector Imaging Radar for Enhanced Vision (SIREV): Theory and Applications. In Proceedings of the Enhanced and Synthetic Vision, Orlando, FL, USA, 24–25 April 2000. [Google Scholar]
- Dai, S.L.; Wiesbeck, W. The imaging mode of forward looking SAR with two receiving antennas. In Proceedings of the IEEE International Geoscience and Remote Sensing Symposium, Hamburg, Germany, 28 June–2 July 1999. [Google Scholar]
- Dai, S.L.; Wiesbeck, W. High resolution imaging for forward looking SAR with multiple receiving antennas. In Proceedings of the IEEE International Geoscience and Remote Sensing Symposium, Honolulu, HI, USA, 24–28 July 2000. [Google Scholar]
- Yang, C.J.; Shen, J.; Jiang, Z.T.; She, C.Y.; Zou, X.D. A Multi-Channel Radar Forward-Looking Imaging Algorithm Based on Super-Resolution Technique. In Proceedings of the China International SAR Symposium (CISS), Shanghai, China, 10–12 October 2018. [Google Scholar]
- Cho, B.L.; Sun, S.G. Cross-Range Resolution Improvement in Forward-Looking Imaging Radar Using Autoregressive Model-Based Data extrapolation. IET Radar Sonar Navig. 2015, 9, 933–941. [Google Scholar] [CrossRef]
- Zhang, J.; Wu, D.; Zhu, D.Y. An airborne/missile-borne array radar forward-looking imaging algorithm based on super-resolution method. In Proceedings of the 10th International Congress on Image and Signal Processing, BioMedical Engineering and Informatics (CISP-BMEI), Shanghai, China, 14–16 October 2017. [Google Scholar]
- Xi, R.Y.; Zheng, C.D.; Huang, T.Y.; Wang, L.; Liu, Y.M. Joint range and angle estimation for wideband forward-looking imaging radar. IEEE Sens. J. 2022, 22, 446–460. [Google Scholar] [CrossRef]
- Zhang, Y.C.; Zhang, Y.; Li, W.C.; Huang, Y.L.; Yang, J.Y. Super-resolution surface mapping for scanning radar: Inverse filtering based on the fast iterative adaptive approach. IEEE Trans. Geosci. Remote Sens. 2018, 56, 127–144. [Google Scholar] [CrossRef]
- Stoica, P.; Nehorai, A. MUSIC, maximum likelihood, and Cramér-Rao bound. IEEE Trans. Acoust. Speech Signal Process. 1989, 37, 720–741. [Google Scholar] [CrossRef]
- Shah, S.M.; Samar, R.; Khan, N.M.; Raja, M.A.Z. Fractional-order adaptive signal processing strategies for active noise control systems. Nonlinear Dyn. 2016, 85, 1363–1376. [Google Scholar] [CrossRef]
- Roy, R. ESPRIT estimation of signal parameters via rotational invariance techniques. IEEE Trans. Acoust. Speech Signal Process. 1989, 37, 984–995. [Google Scholar] [CrossRef]
- Yardibi, T.; Li, J.; Stoica, P.; Xue, M.; Baggeroer, A.B. Source localization and sensing: A nonparametric iterative adaptive approach based on weighted least squares. IEEE Trans. Aerosp. Electron. Syst. 2010, 46, 425–443. [Google Scholar] [CrossRef]
- Ye, S.L.; Aboutanios, E. An algorithm for the parameter estimation of multiple superimposed exponentials in noise. In Proceedings of the IEEE International Conference on Acoustics, Speech and Signal Processing, South Brisbane, QLD, Australia, 19–23 April 2015. [Google Scholar]
- Aboutanios, E. On the convergence of the fast iterative interpolated beamformer. In Proceedings of the 53rd Asilomar Conference on Signals, Systems, and Computers, Pacific Grove, CA, USA, 3–6 November 2019. [Google Scholar]
- Hassanien, A.; Aboutanios, E. Single-snapshot beamforming using fast iterative adaptive techniques. In Proceedings of the IEEE 11th Sensor Array and Multichannel Signal Processing Workshop, Hangzhou, China, 8–11 June 2020. [Google Scholar]
- Mills, K.R.; Ahmad, F.; Aboutanios, E. Coarray-domain iterative direction-of-arrival estimation with coprime arrays. Digit. Signal Process. 2022, 122, 103332. [Google Scholar] [CrossRef]
- Liu, K.; Li, Y.L.; Dai, Y.P.; Jin, T. Monopulse forward-looking imaging based on Doppler estimation using fast iterative interpolated beamforming algorithm. J. Radars 2023, 12, 1138–1154. [Google Scholar] [CrossRef]
- Li, Y.L.; Ma, M.E.; Zhao, C.H.; Zhou, Z.M. Forward-looking Imaging via Doppler estimates of sum-difference measurements in scanning monopulse radar. J. Radars 2021, 10, 131–142. [Google Scholar] [CrossRef]
- Aboutanios, E.; Mulgrew, B. Iterative frequency estimation by interpolation on Fourier coefficients. IEEE Trans. Signal Process. 2005, 53, 1237–1242. [Google Scholar] [CrossRef]
- Aboutanios, E.; Hassanien, A.; Amin, M.G.; Zoubir, A.M. Fast iterative interpolated beamforming for accurate single-snapshot DOA estimation. IEEE Geosci. Remote Sens. Lett. 2017, 14, 574–578. [Google Scholar] [CrossRef]
- Aboutanios, E.; Hassanien, A. Low-cost beamforming-based DOA estimation with model order determination. In Proceedings of the IEEE 11th Sensor Array and Multichannel Signal Processing Workshop (SAM), Hangzhou, China, 8–11 June 2020. [Google Scholar]
- Roberts, W.; Stoica, P.; Li, J.; Yardibi, T.; Sadjadi, F.A. Iterative adaptive approaches to MIMO radar imaging. IEEE J. Sel. Top. Signal Process. 2010, 4, 5–20. [Google Scholar] [CrossRef]
- Song, S.Q.; Dai, Y.P.; Sun, S.L.; Jin, T. Efficient Image reconstruction methods based on structured sparsity for short-range radar. IEEE Trans. Geosci. Remote Sens. 2024, 62, 5212615. [Google Scholar] [CrossRef]
- Stoica, P.; Selen, Y. Model-order selection: A re.view of information criterion rules. IEEE Signal Process. Mag. 2004, 21, 36–47. [Google Scholar] [CrossRef]
- Zhang, S.H.; Liu, Y.X.; Li, X. Fast entropy minimization based autofocusing technique for ISAR imaging. IEEE Trans. Signal Process. 2015, 63, 3425–3434. [Google Scholar] [CrossRef]
- Bai, L.; Yao, S.L.; Gao, K.; Huang, Y.J.; Tang, R.J.; Yan, H.; Meng, M.Q.-H.; Ren, H.L. Joint sparse representations and coupled dictionary learning in multi-source heterogeneous image pseudo-color fusion. IEEE Sens. J. 2023, 23, 30620–30632. [Google Scholar] [CrossRef]
- Wang, Z.; Bovik, A.C.; Sheikh, H.R.; Simoncelli, E.P. Image quality assessment: From error visibility to structural similarity. IEEE Trans. Image Process. 2004, 13, 600–612. [Google Scholar] [CrossRef]
Disclaimer/Publisher’s Note: The statements, opinions and data contained in all publications are solely those of the individual author(s) and contributor(s) and not of MDPI and/or the editor(s). MDPI and/or the editor(s) disclaim responsibility for any injury to people or property resulting from any ideas, methods, instructions or products referred to in the content. |
© 2024 by the authors. Licensee MDPI, Basel, Switzerland. This article is an open access article distributed under the terms and conditions of the Creative Commons Attribution (CC BY) license (https://creativecommons.org/licenses/by/4.0/).








