Exploring Topological Information Beyond Persistent Homology to Detect Geospatial Objects
Abstract
1. Introduction
- Landslides are among the most destructive natural hazards, representing potentially devastating geological events that not only claim lives but also lead to significant economic losses and adverse environmental impacts. According to the United Nations Office for Disaster Risk Reduction (UNDRR), landslides result in billions of dollars in damages globally each year [17]. These substantial impacts underscore the critical need for effective landslide detection and monitoring methods to mitigate risks and implement timely interventions. Landslide susceptibility maps, which include boundaries of existing landslides, serve as valuable tools to mitigate the loss of life and property associated with landslides.
- Delineation of existing landslide boundaries, typically achieved manually via remote sensing datasets like satellite imagery or Light Detection and Ranging (LiDAR) data, is a laborious and time-consuming process. This underscores the urgency for an automated or semi-automated landslide detection method [18,19].
- Landslides imprint unmistakable signs on the landscape, including alterations to slope shape, position, and surface appearance [20]. These alterations result in complex morphological characteristics—irregular shapes, varying sizes, and intricate boundary patterns—that pose significant challenges for traditional detection methods relying primarily on pixel intensity or spectral information. The aggregate view of linear topographic features, which can originate at the top, bottom, left, or right side of a landslide and form its boundaries, often exhibits a circular structure. PH offers a novel approach by focusing on the shape and connectivity of data. By analyzing the topological features of a dataset across multiple scales, PH captures essential geometric and topological information such as connected components, holes, and voids that persist over different spatial resolutions. Integrating PH into landslide detection allows for the effective identification and characterization of the complex shapes of landslides, leading to enhanced detection accuracy and a more robust identification process.
- Calculation of terrain derivatives such as slope, curvature, and roughness from the LiDAR DTM.
- Application of geometric criteria based on expert knowledge to identify potential landslide features. This includes thresholds on slope angles, curvature values, and other shape descriptors.
- Incorporation of contextual information, such as the proximity to known geological structures or land use data, to refine the detection results.
- Use of rule-based classification to categorize the identified features into landslide and non-landslide classes.
- Computation of PH on the LiDAR-derived terrain data to capture topological signatures such as connected components and holes in the terrain.
- Identification of persistent topological features that may correspond to landslide regions without considering geometric or contextual attributes.
- Generation of landslide detection results based solely on topological properties derived from PH.
- The development and evaluation of a topological knowledge-based (Topological KB) method for geospatial object detection that integrates topological, geometrical, and contextual information.
- The creation of a set of geometrical and contextual rules specifically tailored for landslide detection using the Topological KB method.
- An extensive analysis to pinpoint the most effective rule for landslide detection through rigorous experimentation with the established rule set.
2. Background
2.1. Knowledge-Based Object Detection
2.2. Topological Data Analysis
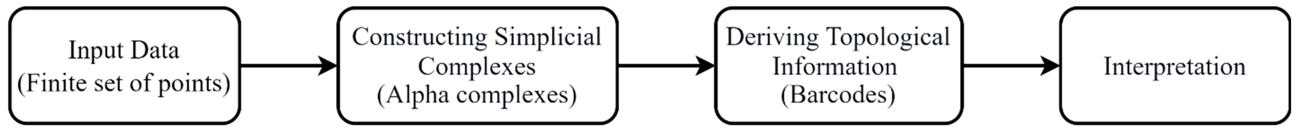
- Regarding the PH tool, input a finite set of points with corresponding distance information [39]. The distance metric depends on the application, and the choice of the correct metric is essential. For example, protein data metrics can be measured in nanometers, and metrics for satellite image analysis can be measured in meters.
- Construct a nested sequence of simplicial complexes from the set of points using different values of r.
- Derive topological information from the nested sequence of simplicial complexes. This step consists of two functions:
- Homology group returns topological information given the simplicial complex that was constructed using the r.
- PH utilizes the homology group with a different value of r, and records each change. In other words, if the parameter r is changed, the topological information associated with the newly created simplicial complexes will change as well, and this second function records these changes.
- Use the extracted topological information as a feature or descriptor for the dataset to assist in better understanding the dataset. This topological information can be visualized or can be a feature used in ML models.
3. Methodology
3.1. Overview of the Topological Knowledge-Based (Topological KB) Method
| Algorithm 1: Topological KB Method for Landslide Detection |
| Input: LiDAR-derived DTM Detection rules (geometrical and contextual parameters) Output: Detected landslide polygons Steps: Preprocessing: Derive DTM from LiDAR point clouds with varying pixel sizes (e.g., 1 m, 5 m, 10 m). Apply smoothing iterations to reduce noise (e.g., 0, 2, 5, 10, 15, 20 iterations). 1. Extraction of Linear Terrain Features (LTFs): 1.1 Select an LTF extraction algorithm (e.g., Shade-relief, Curvature, Geomorphon). 1.2 Apply the algorithm to the smoothed DTM to extract LTFs. 2. Creating Candidate Polygons using PH: 2.1. Convert extracted LTFs into a set of points. 2.2. Compute PH on the point set to obtain topological features. 2.2.1. Use a filtration parameter to build simplicial complexes. 2.2.2. Track birth and death times of topological features. 2.3. Generate candidate polygons based on persistent topological features. 3. Feature Extraction: 3.1. Compute geometrical features for each candidate polygon: 3.1.1. Area 3.1.2. Length–width ratio 3.2. Compute contextual features for each candidate polygon: 3.2.1. Slope 3.2.2. Terrain Roughness Index (TRI) 3.2.3. Normalized Difference Vegetation Index (NDVI) 3.4. Apply topological filters: 3.4.1. Filter based on birth time and lifetime of topological features. 3.5. Apply geometrical filters: 3.5.1. Filter based on area thresholds. 3.5.2. Filter based on length–width ratio thresholds. 3.6. Apply contextual filters: 3.6.1. Filter based on slope range. 3.6.2. Filter based on TRI range. 3.6.3. Filter based on NDVI range. 3.7. Retain candidate polygons that satisfy all detection rules. |
3.2. Extracting Linear Terrain Features from DTM
3.3. Creating Candidate Polygons Through PH
3.4. Using Topological, Geometrical, and Contextual Information for Detection Rules
- The birth time of the circle, denoting the instance when topological information starts to emerge.
- The death time of the circle, denoting the moment when topological information ceases to exist.
- The lifetime of the circle, denoting the interval between the birth time and the death time.
- Size, overall magnitude, or dimensions of a geospatial object. Landslides typically occupy a specific range of areas, depending on the terrain and geological conditions. We analyzed landslide inventories from our study areas and specified the area range for each study area.
- Ratio between length and width of a geospatial object—a measure of the object’s proportion or aspect ratio. Landslides often exhibit elongated shapes due to the downhill movement of material. We set the length-to-width ratio threshold between 0.27 and 3, based on observations from previous studies [15] and an analysis of landslide shapes in our data. Polygons with ratios outside this range were considered less likely to represent landslides and were filtered out.
- Slope of a region—the angle or steepness of the terrain. Slope is a critical factor in landslide susceptibility. Studies have shown that landslides commonly occur on slopes ranging from 12° to 72°. Slopes below 12° generally lack the gravitational force necessary to initiate landslides, while slopes above 72° are less stable and may result in rockfalls rather than soil-based landslides. We applied this slope range to focus on areas most prone to landslide activity.
- Roughness of a terrain—a measure of the terrain’s irregularity or complexity. TRI measures the variability in elevation and is indicative of terrain complexity. Higher TRI values suggest rougher terrain, which can be associated with landslide scarps and deposits. We selected a TRI range of 0.12 to 2 based on the analysis of TRI values in known landslide areas within our study regions.
- NDVI score of a region—an indicator of live green vegetation density and health. NDVI values range from −1 to 1, with lower values indicating sparse vegetation and higher values indicating dense vegetation. Landslides can expose bare soil, resulting in lower NDVI values. We set an NDVI threshold between 0.12 and 0.75 to capture areas with reduced vegetation cover, which may correspond to recent landslide activity or zones susceptible to landslides.
4. Datasets
5. Experiments
- Experiment 1: Using no filters—only raw, unfiltered candidate polygons.
- Experiment 2: Using only geometrical and contextual information as filters on candidate polygons.
- Experiment 3: Using topological information alongside geometrical and contextual information.
6. Results
- Findings for Study Area 1
- Experiment 1: The best F1 score (0.34) was obtained with pixel sizes of five using Shade-relief (Figure 10b). Compared with [36], the unfiltered results were superior at pixel size 1 (Figure 10a) but deteriorated at pixel size 5 (Figure 10). Results with pixel size 10 lacked consistency across smoothing iterations (Figure 10c).
- Findings for Study Area 2
- Experiment 1: The F1 score peaked at 0.39 with a pixel size of 10 using Curvature (Figure 11c). When compared with [35], F1 scores for the Topological KB geospatial object detection method was consistently lower across all pixel sizes (Figure 11a–c). Against [36], we observed reduced F1 scores at pixel sizes 1 and 5, while the results closely matched at pixel size 10 (Figure 11a–c).
- Experiment 2: The highest F1 score reached 0.48 at pixel size 1 with Geomorphon (Figure 11d). When compared with [35], results across all pixel sizes were closely matched, with a slight edge in the Topological KB geospatial object detection method in some instances (Figure 11d–f). Regarding [36], we matched their F1 scores at pixel sizes 1 and 5 but surpassed them at pixel size 10 (Figure 11d–f).
- Findings for Study Area 3
- Findings for Study Area 4
- Experiment 1: The optimal F1 score was 0.63 at pixel size 5 using Geomorphon (Figure 13b). Compared with [35], this experiment consistently yielded a higher F1 score across all cases. When compared with [36], the F1 score was lower for pixel sizes 1 and 10, but closely matched their results at pixel size 5 (Figure 13a–c).
- Experiment 2: The highest F1 score of 0.64 was observed at pixel size 5 using Curvature (Figure 13e). When compared with [35], the F1 score was higher across all pixel sizes. Compared with [36], the results indicated a lower F1 score at pixel sizes 1 and 10, while the score at pixel size 5 was almost identical to their findings (Figure 13d–f).
- Experiment 3: An F1 score of 0.63 was achieved at pixel size 1 using Geomorphon (Figure 13g). Compared with [35], the scores were higher for pixel sizes 1 and 5 but lower for pixel size 10. When compared with [36], the scores at pixel size 5 were similar, while the results for pixel sizes 1 and 10 were lower (Figure 13g–i).
- Findings for Study Area 5
7. Discussion
8. Conclusions
Author Contributions
Funding
Data Availability Statement
Conflicts of Interest
References
- Cheng, G.; Han, J. A survey on object detection in optical remote sensing images. ISPRS J. Photogramm. Remote Sens. 2016, 117, 11–28. [Google Scholar] [CrossRef]
- Pham, M.-T.; Courtrai, L.; Friguet, C.; Lefèvre, S.; Baussard, A. YOLO-Fine: One-Stage Detector of Small Objects Under Various Backgrounds in Remote Sensing Images. Remote Sens. 2020, 12, 2501. [Google Scholar] [CrossRef]
- Pun, C.S.; Xia, K.; Lee, S.X. Persistent-Homology-Based Machine Learning and Its Applications—A Survey. SSRN Electron. J. 2018. [Google Scholar] [CrossRef]
- Zhou, L.; Pan, S.; Wang, J.; Vasilakos, A.V. Machine learning on big data: Opportunities and challenges. Neurocomputing 2017, 237, 350–361. [Google Scholar] [CrossRef]
- Long, Y.; Gong, Y.; Xiao, Z.; Liu, Q. Accurate Object Localization in Remote Sensing Images Based on Convolutional Neural Networks. IEEE Trans. Geosci. Remote Sens. 2017, 55, 2486–2498. [Google Scholar] [CrossRef]
- Chazal, F.; Michel, B. An Introduction to Topological Data Analysis: Fundamental and Practical Aspects for Data Scientists. Front. Artif. Intell. 2021, 4, 667963. [Google Scholar] [CrossRef]
- Hensel, F.; Moor, M.; Rieck, B. A Survey of Topological Machine Learning Methods. Front. Artif. Intell. 2021, 4, 52. [Google Scholar] [CrossRef]
- Otter, N.; Porter, M.A.; Tillmann, U.; Grindrod, P.; Harrington, H.A. A roadmap for the computation of persistent homology. EPJ Data Sci. 2017, 6, 1–38. [Google Scholar] [CrossRef]
- Inatsu, M.; Kato, H.; Katsuyama, Y.; Hiraoka, Y.; Ohbayashi, I. A Cyclone Identification Algorithm with Persistent Homology and Merge-Tree. SOLA 2017, 13, 214–218. [Google Scholar] [CrossRef]
- Feng, Z.; Li, H.; Zeng, W.; Yang, S.-H.; Qu, H. Topology Density Map for Urban Data Visualization and Analysis. IEEE Trans. Vis. Comput. Graph. 2020, 27, 828–838. [Google Scholar] [CrossRef]
- Corcoran, P.; Jones, C.B. Topological data analysis for geographical information science using persistent homology. Int. J. Geogr. Inf. Sci. 2023, 37, 712–745. [Google Scholar] [CrossRef]
- Bouchaffra, D.; Ykhlef, F. Persistent Homology for Land Cover Change Detection. In Oxford Research Encyclopedia of Natural Hazard Science; Oxford University Press: Oxford, UK, 2021. [Google Scholar]
- Luo, W.; Liu, C.-C. Innovative landslide susceptibility mapping supported by geomorphon and geographical detector methods. Landslides 2017, 15, 465–474. [Google Scholar] [CrossRef]
- Li, K.; Wan, G.; Cheng, G.; Meng, L.; Han, J. Object detection in optical remote sensing images: A survey and a new benchmark. ISPRS J. Photogramm. Remote Sens. 2020, 159, 296–307. [Google Scholar] [CrossRef]
- Guzzetti, F.; Mondini, A.C.; Cardinali, M.; Fiorucci, F.; Santangelo, M.; Chang, K.-T. Landslide inventory maps: New tools for an old problem. Earth-Sci. Rev. 2012, 112, 42–66. [Google Scholar] [CrossRef]
- Zhu, X.X.; Tuia, D.; Mou, L.; Xia, G.-S.; Zhang, L.; Xu, F.; Fraundorfer, F. Deep Learning in Remote Sensing: A Comprehensive Review and List of Resources. IEEE Geosci. Remote Sens. Mag. 2017, 5, 8–36. [Google Scholar] [CrossRef]
- Rudari, R. Words into action guidelines: National Disaster Risk Assessment Hazard Specific Risk Assessment 4. Flood Hazard Risk Ass 2017. Available online: https://www.unisdr.org/files/globalplatform/591f213cf2fbe52828_wordsintoactionguideline.nationaldi.pdf (accessed on 3 August 2024).
- Casagli, N.; Intrieri, E.; Tofani, V.; Gigli, G.; Raspini, F. Landslide detection, monitoring and prediction with remote-sensing techniques. Nat. Rev. Earth Environ. 2023, 4, 51–64. [Google Scholar] [CrossRef]
- Hölbling, D.; Eisank, C.; Albrecht, F.; Vecchiotti, F.; Friedl, B.; Weinke, E.; Kociu, A. Comparing Manual and Semi-Automated Landslide Mapping Based on Optical Satellite Images from Different Sensors. Geosciences 2017, 7, 37. [Google Scholar] [CrossRef]
- Highland, L.M.; Bobrowsky, P.T. The Landslide Handbook—A Guide to Understanding Landslides; US Geological Survey Circular: Reston, VA, USA, 2008. [Google Scholar] [CrossRef]
- Tehrani, F.S.; Calvello, M.; Liu, Z.; Zhang, L.; Lacasse, S. Machine learning and landslide studies: Recent advances and ap-plications. Nat. Hazards 2022, 114, 1197–1245. [Google Scholar] [CrossRef]
- Gong, J.; Wang, D.; Li, Y.; Zhang, L.; Yue, Y.; Zhou, J.; Song, Y. Earthquake-induced geological hazards detection under hierarchical stripping classification framework in the Beichuan area. Landslides 2010, 7, 181–189. [Google Scholar] [CrossRef]
- Martha, T.R.; Kerle, N.; van Westen, C.J.; Jetten, V.; Kumar, K.V. Segment Optimization and Data-Driven Thresholding for Knowledge-Based Landslide Detection by Object-Based Image Analysis. IEEE Trans. Geosci. Remote Sens. 2011, 49, 4928–4943. [Google Scholar] [CrossRef]
- Stumpf, A.; Kerle, N. Object-oriented mapping of landslides using Random Forests. Remote Sens. Environ. 2011, 115, 2564–2577. [Google Scholar] [CrossRef]
- Eeckhaut, M.V.D.; Poesen, J.; Verstraeten, G.; Vanacker, V.; Moeyersons, J.; Nyssen, J.; van Beek, L. The effectiveness of hillshade maps and expert knowledge in mapping old deep-seated landslides. Geomorphology 2004, 67, 351–363. [Google Scholar] [CrossRef]
- Eeckhaut, M.V.D.; Kerle, N.; Poesen, J.; Hervás, J. Object-oriented identification of forested landslides with derivatives of single pulse LiDAR data. Geomorphology 2012, 173, 30–42. [Google Scholar] [CrossRef]
- Can, R.; Kocaman, S.; Gokceoglu, C. A convolutional neural network architecture for auto-detection of landslide photo-graphs to assess citizen science and volunteered geographic information data quality. ISPRS Int. J. Geoinf. 2019, 8, 300. [Google Scholar] [CrossRef]
- Ding, A.; Zhang, Q.; Zhou, X.; Dai, B. Automatic recognition of landslide based on CNN and texture change detection. In Proceedings of the 2016 31st Youth Academic Annual Conference of Chinese Association of Automation (YAC), Wuhan, China, 11-13 November 2016; IEEE: New York, NY, USA, 2016; pp. 444–448. [Google Scholar]
- Ghorbanzadeh, O.; Blaschke, T. Optimizing Sample Patches Selection of CNN to Improve the mIOU on Landslide Detec-tion. In Proceedings of the 5th International Conference on Geographical Information Systems Theory, Applications and Management (GISTAM 2019), Heraklion, Crete Greece, 3–5 May 2019; pp. 33–40. [Google Scholar]
- Ghorbanzadeh, O.; Blaschke, T.; Gholamnia, K.; Meena, S.R.; Tiede, D.; Aryal, J. Evaluation of Different Machine Learning Methods and Deep-Learning Convolutional Neural Networks for Landslide Detection. Remote Sens. 2019, 11, 196. [Google Scholar] [CrossRef]
- Pham, B.T.; Tien Bui, D.; Prakash, I.; Dholakia, M.B. Hybrid integration of Multilayer Perceptron Neural Networks and machine learning ensembles for landslide susceptibility assessment at Himalayan area (India) using GIS. Catena 2017, 149, 52–63. [Google Scholar] [CrossRef]
- Prakash, N.; Manconi, A.; Loew, S. Mapping landslides on EO data: Performance of deep learning models vs. traditional machine learning models. Remote Sens. 2020, 12, 346. [Google Scholar] [CrossRef]
- Oak, O.; Nazre, R.; Naigaonkar, S.; Sawant, S.; Vaidya, H. A Comparative Analysis of CNN-based Deep Learning Models for Landslide Detection. arXiv 2024, arXiv:2408.01692. [Google Scholar]
- Leshchinsky, B.A.; Olsen, M.J.; Tanyu, B.F. Contour Connection Method for automated identification and classification of landslide deposits. Comput. Geosci. 2015, 74, 27–38. [Google Scholar] [CrossRef]
- Bunn, M.D.; Leshchinsky, B.A.; Olsen, M.J.; Booth, A. A Simplified, Object-Based Framework for Efficient Landslide Inventorying Using LIDAR Digital Elevation Model Derivatives. Remote Sens. 2019, 11, 303. [Google Scholar] [CrossRef]
- Syzdykbayev, M.; Karimi, B.; Karimi, H.A. Persistent homology on LiDAR data to detect landslides. Remote Sens. Environ. 2020, 246, 111816. [Google Scholar] [CrossRef]
- Matejka, J.; Fitzmaurice, G. Same stats, different graphs: Generating datasets with varied appearance and identical statistics through simulated annealing. In Proceedings of the 2017 CHI Conference on Human Factors in Computing Systems, Denver, CO, USA, 6–11 May 2017; pp. 1290–1294. [Google Scholar]
- Salnikov, V.; Cassese, D.; Lambiotte, R. Simplicial complexes and complex systems. Eur. J. Phys. 2018, 40, 014001. [Google Scholar] [CrossRef]
- Carlsson, G. Topology and data. Bull. Am. Math. Soc. 2009, 46, 255–308. [Google Scholar] [CrossRef]
- Szeliski, R. Computer Vision: Algorithms and Applications; Springer Science & Business Media: New York, NY, USA, 2010. [Google Scholar]
- Rana, S. Use of plan curvature variations for the identification of ridges and channels on DEM. In Progress in Spatial Data Handling—12th International Symposium on Spatial Data Handling; SDH 2006; Springer: Berlin/Heidelberg, Germany, 2006. [Google Scholar] [CrossRef]
- Pirotti, F.; Tarolli, P. Suitability of LiDAR point density and derived landform curvature maps for channel network extraction. Hydrol. Process. 2010, 24, 1187–1197. [Google Scholar] [CrossRef]
- Jasiewicz, J.; Stepinski, T.F. Geomorphons—A pattern recognition approach to classification and mapping of landforms. Geomorphology 2013, 182, 147–156. [Google Scholar] [CrossRef]
- Syzdykbayev, M.; Karimi, B.; Karimi, H.A. A Method for Extracting Some Key Terrain Features from Shaded Relief of Digital Terrain Models. Remote Sens. 2020, 12, 2809. [Google Scholar] [CrossRef]
- Martha, T.R.; Kerle, N.; Jetten, V.; van Westen, C.J.; Kumar, K.V. Characterising spectral, spatial and morphometric prop-erties of landslides for semi-automatic detection using object-oriented methods. Geomorphology 2020, 116, 24–36. [Google Scholar] [CrossRef]
- Hölbling, D.; Füreder, P.; Antolini, F.; Cigna, F.; Casagli, N.; Lang, S. A Semi-Automated Object-Based Approach for Landslide Detection Validated by Persistent Scatterer Interferometry Measures and Landslide Inventories. Remote Sens. 2012, 4, 1310–1336. [Google Scholar] [CrossRef]
- Liu, J.-K.; Hsiao, K.-H.; Shih, P.T.-Y. A geomorphological model for landslide detection using airborne LIDAR data. J. Mar. Sci. Technol. 2012, 20, 4. [Google Scholar]
- Rau, J.-Y.; Jhan, J.-P.; Rau, R.-J. Semiautomatic object-oriented landslide recognition scheme from multisensor optical im-agery and DEM. IEEE Trans. Geosci. Remote Sens. 2013, 52, 1336–1349. [Google Scholar] [CrossRef]
- Blaschke, T.; Feizizadeh, B.; Holbling, D. Object-Based Image Analysis and Digital Terrain Analysis for Locating Landslides in the Urmia Lake Basin, Iran. IEEE J. Sel. Top. Appl. Earth Obs. Remote Sens. 2014, 7, 4806–4817. [Google Scholar] [CrossRef]
- Althuwaynee, O.F.; Pradhan, B.; Park, H.-J.; Lee, J.H. A novel ensemble bivariate statistical evidential belief function with knowledge-based analytical hierarchy process and multivariate statistical logistic regression for landslide susceptibility map-ping. Catena 2014, 114, 21–36. [Google Scholar] [CrossRef]
- Hong, H.; Pradhan, B.; Xu, C.; Bui, D.T. Spatial prediction of landslide hazard at the Yihuang area (China) using two-class kernel logistic regression, alternating decision tree and support vector machines. Catena 2015, 133, 266–281. [Google Scholar] [CrossRef]
- Mezaal, M.R.; Pradhan, B.; Sameen, M.I.; Shafri, H.Z.M.; Yusoff, Z.M. Optimized Neural Architecture for Automatic Landslide Detection from High-Resolution Airborne Laser Scanning Data. Appl. Sci. 2017, 7, 730. [Google Scholar] [CrossRef]
- Fanos, A.; Pradhan, B.; Mansor, S.; Yusoff, Z.M.; bin Abdullah, A.F. A hybrid model using machine learning methods and GIS for potential rockfall source identification from airborne laser scanning data. Landslides 2018, 15, 1833–1850. [Google Scholar] [CrossRef]
- Bacha, A.S.; Van Der Werff, H.; Shafique, M.; Khan, H. Transferability of object-based image analysis approaches for landslide detection in the Himalaya Mountains of northern Pakistan. Int. J. Remote Sens. 2020, 41, 3390–3410. [Google Scholar] [CrossRef]
- Karimi, B.; Karimi, H.A. An automated method for the detection of topographic patterns at tectonic boundaries. In Proceedings of the The Ninth International Conferences on Pervasive Patterns and Applications, Athens, Greece, 19–23 February 2017; pp. 72–77. [Google Scholar]
- Burns, W.J.; Maidin, I.P.; Ma, L. Statewide Landslide Information Database for Oregon (SLIDO), Release 1. In Proceedings of the 2008 Joint Meeting of The Geological Society of America, Soil Science Society of America, American Society of Agronomy, Crop Science Society of America, Gulf Coast Association of Geological Societies with the Gulf Coast Section of SEPM, Houston, TX, USA, 5–9 October 2008. [Google Scholar]
- Chang, S.; Deng, Y.; Zhang, Y.; Zhao, Q.; Wang, R.; Zhang, K. An Advanced Scheme for Range Ambiguity Suppression of Spaceborne SAR Based on Blind Source Separation. IEEE Trans. Geosci. Remote Sens. 2022, 60, 5230112. [Google Scholar] [CrossRef]
- Amato, G.; Palombi, L.; Raimondi, V. Data–driven classification of landslide types at a national scale by using Artificial Neural Networks. Int. J. Appl. Earth Obs. Geoinf. 2021, 104, 102549. [Google Scholar] [CrossRef]
- Rana, K.; Ozturk, U.; Malik, N. Landslide Geometry Reveals its Trigger. Geophys. Res. Lett. 2021, 48, e2020GL090848. [Google Scholar] [CrossRef]
- Taylor, F.E.; Malamud, B.D.; Witt, A.; Guzzetti, F. Landslide shape, ellipticity and length-to-width ratios. Earth Surf. Process. Landf. 2018, 43, 3164–3189. [Google Scholar] [CrossRef]
- Malott, N.O.; Sens, A.M.; Wilsey, P.A. Topology Preserving Data Reduction for Computing Persistent Homology. In Proceedings of the 2020 IEEE International Conference on Big Data (Big Data), Atlanta, GA, USA, 10–13 December 2020; IEEE: New York, NY, USA, 2020; pp. 2681–2690. [Google Scholar]














| Parameter | [45] | [23] | [46] | [47] | [48] | [49] | [50] | [51] | [52] | [53] | [35] | [54] |
|---|---|---|---|---|---|---|---|---|---|---|---|---|
| Slope (Degrees (°): min 0 and max 90) | >12 | >10 | 10–60 | >10 | >15 | >7 | <72 | >20.3 | 4–75 | >30 | >20 | |
| Hill shade (Pixel value: min 0 and max 255) | <92 | <57.9 | ||||||||||
| Brightness (Pixel value: min 0 and max 255) | 65 < 90 | <40.1 | μ − 2.5σ | >104 | >255 | |||||||
| Elevation (Meters) | >30 | >30 | 1600 | |||||||||
| Curvature (Pixel value: min -1 and max 1) | −1&1 | −1&1 | ||||||||||
| Surface roughness (Index value: min 0 and higher) | <2.4 | >0.27 | High | |||||||||
| Length (Meters) | 6–61 | <500 | ||||||||||
| Width (Meters) | 6–20 | |||||||||||
| Length/width (Ratio) | >3 | >3 | >5 | |||||||||
| Stream order (8-bit pixel value: 0–255) | >5 | |||||||||||
| Distance from water body (Meters) | 100 | 50 | ||||||||||
| Red band (8-bit pixel value: 0–255) | 60–90 | >64 | ||||||||||
| NIR band (8-bit pixel value: 0–255) | >255 | |||||||||||
| NDVI (Pixel value: min −1 and max 1) | >0.12 | >0.18 | >0.18 | >0.176 | <1 |
| Information | Parameter | Rules | Derived Form | Justification |
|---|---|---|---|---|
| Context | Slope (Degrees (°): min 0 and max 90) | 12–72 | LiDAR | Landslides commonly occur within this slope range. |
| NDVI (Pixel value: min −1 and max 1) | 0.12–0.75 | Satellite image | Indicates areas with sparse vegetation cover. | |
| Surface roughness (Index value: min 0 and higher) | 0.12–2 | LiDAR | Higher values suggest terrain irregularities. | |
| Geometrical | Length/width (Ratio) | 0.27–3 | Candidate polygons | Reflects typical landslide shapes. |
| Area (Square meters) | Specific for each study area | Candidate polygons | Based on known landslide sizes in study areas. |
| Study Area 1 | Study Area 2 | Study Area 3 | Study Area 4 | Study Area 5 | |
|---|---|---|---|---|---|
| Location (latitude, longitude) | 41°12′39″N 76°03′44″W | 45°34′0″N 123°11′0″W | 39°10′44.6″N 107°50′58″W | 45°42′0″N 122°53′0″W | 47°36′28″N 122°20′6″W |
| State | Pennsylvania | Oregon | Colorado | Oregon | Washington |
| Area (Square meters) | 25,572,981 | 135,587,076 | 167,225,478 | 134,963,016 | 216,603,450 |
| Landslide Area (Square meters) | 2,140,041 | 26,283,520 | 42,828,063 | 61,104,222 | 21,470,606 |
| Percentage of Landslide Area | 8.37% | 19.38% | 25.61% | 45.27% | 9.91% |
| Number of Landslides | 7 | 738 | 206 | 1664 | 783 |
| Elevation range (Meters) | From 151 to 471 | From 48 to 548 | From 1985 to 3174 | From 7 to 521 | From 0 to 159 |
| Slope range (Degrees (°)) | From 0 to 71.8 | From 0 to 84.22 | From 0 to 74.7 | From 0 to 89.41 | From 0 to 88.6 |
| Study Area 1 | Study Area 2 | Study Area 3 | Study Area 4 | Study Area 5 | |
|---|---|---|---|---|---|
| LIDAR (or LIDAR-derived DTM) | |||||
| Acquisition time | 2006–2008 | 2007 | 2015–2016 | 2007 | 2000–2005 |
| Source | Pennsylvania Spatial Data Access | State of Oregon Department of Geology and Mineral Industries | Colorado Geological Survey | State of Oregon Department of Geology and Mineral Industries | Puget Sound LiDAR Consortium |
| Horizontal ground resolution | 1 m | 1 m | 1 m | 1 m | 1.8 m |
| Existing landslides (ground truth) | |||||
| Acquisition time | 2019 | 2019 | 2015 | 2019 | 2017 |
| Source | [55] | Gales Creek quadrangle Oregon’s State-wide Landslide Information Database | Colorado Geological Survey | Dixie Mountain quadrangle Oregon’s State-wide Landslide Information Database | Washington State Department of Natural Resources web portal |
| Acquisition method | Detecting visually LiDAR-derived DTM. Mimics protocol by [56]. | Compiling landslide inventory data created by using LiDAR and protocol by [56]. | Compiling landslide information digitized from 1:24 000-scale maps published in geologic hazard maps of Colorado. | Compiling landslide inventory data created by using LiDAR and protocol by [56]. | Compiling landslide inventory data through different methods and scales. |
| Parameter Name | Parameters | Justification |
|---|---|---|
| DTM pixel size (Meters) | 1, 5, 10 | To assess the impact of spatial resolution on detection accuracy. |
| Smoothing iteration (Count) | 0, 2, 5, 10, 15, 20 | To determine the optimal level of noise reduction in DTM. |
| LTFs extraction algorithm | Shade-relief [44], Curvature [42], Geomorphon [43] | To compare the effectiveness of different feature extraction methods. |
| Topological information | Birth of the circle; lifetime of the circle. | Used birth time and lifetime as indicators of significant topological features. |
| Geometrical information | Min length–width ratio of the candidate polygon, max length–width ratio of the candidate polygon, min area, and max area. | Based on the literature and domain knowledge to identify typical characteristics of landslides. |
| Contextual information | Min slope, max slope, min TRI, max TRI, min NDVI, and max NDVI. | Based on the literature and domain knowledge to identify typical characteristics of landslides. |
| Study Area 1 | Study Area 2 | Study Area 3 | Study Area 4 | Study Area 5 | |
|---|---|---|---|---|---|
| LTFs extraction algorithm | Geomorphon | Geomorphon | Shade-relief | Curvature | Curvature |
| Pixel size (Meters) | 1 | 1 | 1 | 5 | 5 |
| Number of smoothing iterations (Count) | 1 | 10 | 20 | 5 | 1 |
| Accuracy | 0.95 | 0.66 | 0.47 | 0.59 | 0.97 |
| Precision | 0.38 | 0.33 | 0.28 | 0.51 | 0.36 |
| Recall | 0.80 | 0.86 | 0.85 | 0.82 | 0.58 |
| Cohen’s kappa coefficient | 0.50 | 0.31 | 0.12 | 0.24 | 0.43 |
| F1 Score | 0.52 | 0.48 | 0.43 | 0.64 | 0.45 |
| Information Type | Parameter | Rules | Rules Used |
|---|---|---|---|
| Context | Slope (Degrees (°): min 0 and max 90) | 12–72 | 12–72 |
| NDVI (Pixel value: min −1 and max 1) | 0.12–0.75 | 0.12–0.75 | |
| Surface roughness (Index value: min 0 and higher) | 0.12–2 | 0–2 | |
| Geometrical | Length/width (Ratio) | 0.27–3 | 0–3 |
| Area (Square meters) | 261–9,746,736 | 0–9,746,736 |
| Information | Parameter | Rules | Rules Used |
|---|---|---|---|
| Context | Slope (Degrees (°): min 0 and max 90) | 12–72 | 12–72 |
| NDVI (Pixel value: min −1 and max 1) | 0.12–0.75 | 0–0.75 | |
| Surface roughness (Index value: min 0 and higher) | 0.12–2 | 0–2 | |
| Geometrical | Length/width (Ratio) | 0.27–3 | 0–∞ |
| Area (Square meters) | 261–12,443,892 | 261–∞ |
| Information | Parameter | Rules | Rules Used |
|---|---|---|---|
| Context | Slope (Degrees (°): min 0 and max 90) | 12–72 | 0–72 |
| NDVI (Pixel value: min −1 and max 1) | 0.12–0.75 | 0.12–0.75 | |
| Surface roughness (Index value: min 0 and higher) | 0.12–2 | 0.12–2 | |
| Geometrical | Length/width (Ratio) | 0.27–3 | 0–3 |
| Area (Square meters) | 1377–6,231,540 | 1377–6,231,540 |
| Information | Parameter | Rules | Rules Used |
|---|---|---|---|
| Context | Slope (Degrees (°): min 0 and max 90) | 12–72 | 0–72 |
| NDVI (Pixel value: min −1 and max 1) | 0.12–0.75 | 0–0.75 | |
| Surface roughness (Index value: min 0 and higher) | 0.12–2 | 0.12–∞ | |
| Geometrical | Length/width (Ratio) | 0.27–3 | 0–3 |
| Area (Square meters) | 18–314,297,870 | 0–314,297,870 |
| Information | Parameter | Rules | Rules Used |
|---|---|---|---|
| Context | Slope (Degrees (°): min 0 and max 90) | 12–72 | 12–72 |
| NDVI (Pixel value: min −1 and max 1) | 0.12–0.75 | 0–0.75 | |
| Surface roughness (Index value: min 0 and higher) | 0.12–2 | 0–∞ | |
| Geometrical | Length/width (Ratio) | 0.27–3 | 0–∞ |
| Area (Square meters) | 137–5,689,077 | 0–5,689,077 |
| Study Area 1 | Study Area 2 | Study Area 3 | Study Area 4 | Study Area 5 | |
|---|---|---|---|---|---|
| Title | Geospatial Object Detection: Topological KB Method | ||||
| F1 score | 0.52 | 0.48 | 0.43 | 0.64 | 0.45 |
| Title | Study [36]: Persistent homology on LiDAR data to detect landslides | ||||
| F1 score | 0.334 | 0.466 | 0.382 | 0.65 | 0.337 |
| Title | Study [35]: A simplified, object-based framework for efficient landslide inventorying using LIDAR digital elevation model derivatives | ||||
| F1 score | 0.47 | 0.53 | |||
Disclaimer/Publisher’s Note: The statements, opinions and data contained in all publications are solely those of the individual author(s) and contributor(s) and not of MDPI and/or the editor(s). MDPI and/or the editor(s) disclaim responsibility for any injury to people or property resulting from any ideas, methods, instructions or products referred to in the content. |
© 2024 by the authors. Licensee MDPI, Basel, Switzerland. This article is an open access article distributed under the terms and conditions of the Creative Commons Attribution (CC BY) license (https://creativecommons.org/licenses/by/4.0/).
Share and Cite
Syzdykbayev, M.; Karimi, H.A. Exploring Topological Information Beyond Persistent Homology to Detect Geospatial Objects. Remote Sens. 2024, 16, 3989. https://doi.org/10.3390/rs16213989
Syzdykbayev M, Karimi HA. Exploring Topological Information Beyond Persistent Homology to Detect Geospatial Objects. Remote Sensing. 2024; 16(21):3989. https://doi.org/10.3390/rs16213989
Chicago/Turabian StyleSyzdykbayev, Meirman, and Hassan A. Karimi. 2024. "Exploring Topological Information Beyond Persistent Homology to Detect Geospatial Objects" Remote Sensing 16, no. 21: 3989. https://doi.org/10.3390/rs16213989
APA StyleSyzdykbayev, M., & Karimi, H. A. (2024). Exploring Topological Information Beyond Persistent Homology to Detect Geospatial Objects. Remote Sensing, 16(21), 3989. https://doi.org/10.3390/rs16213989
