Abstract
To address the issue of accuracy in Simultaneous Localization and Mapping (SLAM) for forested areas, a novel point cloud adaptive filtering algorithm is proposed in the paper, based on point cloud data obtained by backpack Light Detection and Ranging (LiDAR). The algorithm employs a K-D tree to construct the spatial position information of the 3D point cloud, deriving a linear model that is the guidance information based on both the original and filtered point cloud data. The parameters of the linear model are determined by minimizing the cost function using an optimization strategy, and a guidance point cloud filter is subsequently constructed based on these parameters. The results demonstrate that, comparing the diameter at breast height (DBH) and tree height before and after filtering with the measured true values, the accuracy of SLAM mapping is significantly improved after filtering. The Mean Absolute Error (MAE) of DBH before and after filtering are 2.20 cm and 1.16 cm; the Root Mean Square Error (RMSE) values are 4.78 cm and 1.40 cm; and the relative RMSE values are 29.30% and 8.59%. For tree height, the MAE before and after filtering are 0.76 m and 0.40 m; the RMSE values are 1.01 m and 0.50 m; the relative RMSE values are 7.33% and 3.65%. The experimental results validate that the proposed adaptive point cloud filtering method based on guided information is an effective point cloud preprocessing method for enhancing the accuracy of SLAM mapping in forested areas.
1. Introduction
Accurate measurement of forest structure parameters is crucial for ecological monitoring and forest resource management [1,2]. However, traditional forestry measurement methods, such as using calipers and clinometers, are labor-intensive, inefficient, and costly, especially in long-term monitoring projects that require extensive and high-precision data. Ground-based Mobile Laser Scanning (MLS) employs high-precision laser scanning and advanced data processing technologies to capture the 3D structure of forests in real time and accurately estimate forest structure parameters [3,4,5]. Compared to traditional forestry measurement methods, it not only improves data collection efficiency but also significantly enhances measurement accuracy and repeatability [6,7]. In forestry surveys, MLS has been deployed in various ways, including head-mounted, handheld, backpack-mounted, and vehicle-mounted configurations [8,9,10]. These different deployment methods enable MLS to adapt to varying terrains and measurement requirements.
Simultaneous Localization and Mapping (SLAM) technology, originally developed for robot navigation, has now been applied to MLS systems for rapid and precise forest surveying. SLAM technology can provide accurate device localization and point cloud map generation in dense forest environments where Global Positioning System (GPS) signals are unavailable, allowing researchers to assess forest structure and dynamics more effectively. Tang et al. [11] explored the application of SLAM-assisted positioning solutions in forest surveys and how to improve the effectiveness of positioning systems. Kuželka et al. [12] used MLS to survey forests, emphasizing the potential application of SLAM technology in practical forest survey operations. Proudman et al. [13] discussed methods for real-time forest surveys using handheld Light Detection and Ranging (LiDAR), providing a significant contribution to large-scale forest mapping. Gollob et al. [8] conducted forest surveys using a novel Personal Laser Scanning (PLS) technique, emphasizing the application of new technology in forest environments. Nevalainen et al. [14] explored navigation and mapping in forest environments using sparse point clouds, focusing on optimizing data efficiency and accuracy in densely wooded areas. Del Perugia et al. [15] examined how varying scan densities from Handheld Mobile Laser Scanning (HMLS) impact the precision of single-tree attribute estimation, highlighting the innovative use of adjustable scanning parameters to optimize forest inventory data collection.
Many researchers have developed algorithms for SLAM in forest environments. Shao et al. [16,17] introduced a SLAM-based Backpack Laser Scanning (BLS) method for efficient and precise forest plot mapping. Fan et al. [18] proposed a smartphone-based SLAM system suitable for large-scale forest surveys, highlighting the advantages of using a VIO system rather than a traditional feature-based SLAM. Su et al. [19] introduced a SLAM-based backpack LiDAR system equipped with dual laser scanners, emphasizing its efficiency in collecting comprehensive canopy point clouds and enhancing forest inventory accuracy. Tremblay et al. [20] explored the application of SLAM technology to automatically measure tree diameters, showcasing how 3D mapping significantly aids in the forest inventory process. Chen et al. [21] presented a Semantic LOAM (SLOAM) algorithm to improve SLAM applications in forestry, focusing on enhancing semantic recognition within forest environments. Pan et al. [22] demonstrated a SLAM-based method for forest plot mapping by integrating an Inertial Measurement Unit (IMU) and self-calibrated dual 3D laser scanners, enhancing the precision and efficiency of forest resource management. Gupta et al. [23] explored robust scan registration techniques for navigation in forest environments using low-resolution LiDAR sensors, improving the accuracy and reliability of autonomous movement. Faitli et al. [24] presented a real-time LiDAR-inertial positioning and mapping system for forestry automation, enhancing navigation and operational efficiency. Yang et al. [25] assessed the performance of handheld laser scanning for creating accurate individual tree maps in urban areas.
The rapid development of LiDAR SLAM technology has laid a solid technical foundation for constructing 3D forest point cloud maps. Researchers are now increasingly focusing on using SLAM technology for forest surveys. However, the point cloud data collected by LiDAR often contain noise, which affects the accuracy of the mapping. Proper pre-processing workflows are critical to ensuring analysis quality and enhancing the efficiency of point cloud data processing. Duanmu et al. [26] introduced a novel pre-processing algorithm called Annular Neighboring Points Distribution Analysis (ANPDA) to improve diameter at breast height (DBH) estimation accuracy using PLS-based methods. This algorithm examines the distribution of neighboring points in stem point clouds to refine the estimation process, underscoring the importance of pre-processing in improving DBH estimation accuracy. Additionally, Lehtola et al. [27] proposed a method for the preregistration classification of mobile LiDAR data, utilizing spatial correlations to enhance data accuracy before processing.
Guided point cloud filtering has become an essential technique in various applications such as building detection, surface texture removal, and object recognition. He et al. [28] first proposed a guided filtering algorithm based on a local linear model while preserving features in 2013. Maltezos et al. [29] focused on automatically detecting building points from LiDAR and dense image-matching point clouds using simple filtering techniques. Hui et al. [30] proposed an improved morphological algorithm based on multi-level kriging interpolation to efficiently filter airborne LiDAR point clouds. Han et al. [31] introduced a guided 3D point cloud filtering method inspired by the guided image filter, which considered point position information for better results. Sun et al. [32] presented a reliable rolling-guided point normal filtering method for surface texture removal. Lu et al. [33] proposed a feature-preserving normal estimation method for point cloud filtering that retains geometric features. Han et al. [34] further enhanced point cloud filtering with the Guided 3D Point Cloud Filter (G3DF) and Iterative Guidance Normal Filter (IGNF) approaches, resulting in high-quality point cloud models. Chen et al. [35] improved the guide filter, typically used in two-dimensional images, for curved path planning based on 3D vision and water immersion ultrasonic nondestructive testing. Song et al. [36] utilized statistical and guided filtering methods for local point cloud denoising in the three-dimensional reconstruction and measurement of cattle bodies. Overall, guided point cloud filtering techniques have achieved significant advancements across various fields, improving the accuracy and efficiency of point cloud processing and analysis. Nevertheless, these methods have not yet effectively addressed the issue of errors arising from the registration process in the odometry module of SLAM algorithms. Currently, most existing research performs preprocessing operations after building the point cloud map, which accumulates the noise of each frame of the point cloud. If the preprocessing operations can be performed on a single-frame point cloud in the odometry, the accuracy of the final point cloud map can be improved.
To mitigate point cloud overlap and reduce noise resulting from registration errors in the odometry module of the SLAM algorithm, a novel point cloud adaptive filtering algorithm for LiDAR SLAM in forest environments based on guidance information is proposed by the research. The algorithm corrects errors arising from LiDAR SLAM mapping using guidance information, thereby enhancing the mapping accuracy of the SLAM algorithm. The main contributions of this paper include the following: (1) supporting the current adaptive filtering algorithm framework by establishing the topological relationships among 3D point clouds; (2) constructing a local linear model between the guided point cloud and the output point cloud based on a local loss function; and (3) proposing a smoothness model to determine the intensity weights for the adaptive filtering algorithm and building adaptive models within different neighborhoods. Additionally, an algorithm for extracting vertical forest structure parameters has been developed to process LiDAR data and extract vertical structure parameters, demonstrating the effectiveness of the adaptive filtering algorithm. The proposed novel point cloud adaptive filtering algorithm lays the foundation for subsequent tasks such as extracting forest vertical structure parameters and is of significant importance for precision forest resource inventory.
2. Materials and Methods
2.1. Study Area
The study area is located in the Wangyedian experimental forest farm in Inner Mongolia (118°09′–118°30′E, 41°35′–41°50′N), with elevations ranging from 800 to 1890 m. The study area is shown in Figure 1 and Figure S1, and the coordinate system of the study area was plotted using WGS84. The terrain features a mid-mountain landscape, is situated in a warm temperate semi-arid zone, and is characterized by a distinct continental monsoon climate. The annual precipitation ranges from 400 to 600 mm, predominantly occurring in July and August, with an average annual temperature of 4.2 °C and a frost-free period of 117 days. The forest is covered with various tree species, including Larix gmelinii (Rupr.) Kuzen., Pinus tabuliformis Carrière, and Betula platyphylla Sukaczev.
Figure 1.
Study area.
Nine square plots with dimensions of 30 m × 30 m were selected as research subjects by the researchers. The structural composition of these plots includes tree layers and herbaceous layers. The experimental environment is characterized by GNSS signal occlusion and minimal shrubbery, representing typical working conditions found in forest surveys. The conditions of these plots are described in Table 1.
Table 1.
Forest conditions of the sample plots.
2.2. Data Acquisition
2.2.1. Point Cloud Data
A BLS system, specifically developed for forestry applications (Figure 2), was utilized by the research to collect point cloud data from nine sample plots. During the data acquisition process, we considered the walkability in the forest and aimed to scan each surface of each tree while triggering the loop detection mechanism in the SLAM algorithm. A row-by-row scanning path was employed, and the routes were intersected at the end of each row to trigger the loop detection mechanism (Figure 3).
Figure 2.
The BLS system.

Figure 3.
Data collection trajectory. (a) Plot 1. (b) Plot 2. (c) Plot 3. (d) Plot 4. (e) Plot 7. (f) Plot 8. (g) Plot 13. (h) Plot 14. (i) Plot 15.
The BLS system consists of two Velodyne VLP-16 laser scanners, a 3DM-GX5-25 IMU, an industrial computer, a display screen, and a battery. The Velodyne VLP-16 laser scanner has an effective range of 100 m, capturing approximately 300,000 points/second. The detailed specifications of the device are presented in Table 2. To fully capture the point cloud of the forest canopy, a horizontal scanner and a vertical scanner are installed separately in the BLS. The industrial computer records the point cloud data continuously and runs the SLAM algorithm to display the surrounding environmental point clouds and movement trajectories in real-time on the display screen.
Table 2.
Parameters of the BLS system.
2.2.2. Reference Data
Table 3 summarizes the DBH, tree height, and density of trees within each plot. The DBH ranges from 6.1 cm to 43.0 cm; the tree height ranges from 5.6 m to 22.1 m; and the density ranges from 500 to 2400 Stems/ha. Each tree was tagged, and its DBH was measured manually using a caliper. The positions of individual trees within each plot were measured using a Postex forest survey device. The specifications of the Postex device are provided in Table 4. These positional data were used to match the manually measured DBHs with the individual tree point clouds for accuracy verification.
Table 3.
Summary of the DBH and tree height of trees within each plot.
Table 4.
Parameters of the Postex device.
2.3. Adaptive Guided Point Cloud Filter
In this section, we first provide an overview of the adaptive guided point cloud filter. Subsequently, we detail the operational principles of the adaptive guided filter. Finally, we describe several methods to evaluate the accuracy of the adaptive guided filter.
2.3.1. Location of Adaptive Guided Filter in SLAM Algorithms
The adaptive guided filtering algorithm is a point cloud preprocessing method. This algorithm can redistribute unevenly distributed points in forest point clouds and correct error points generated by scanning devices while maintaining point cloud density. This algorithm enhances the accuracy of the point cloud by adjusting based on prominent features in the original point cloud. To enhance the mapping accuracy of the SLAM algorithm, we incorporated the adaptive guided filter into the odometry module of the SLAM algorithm to perform adaptive guided filtering on each frame of the point cloud (Figure 4). Given that the 16-line VLP device generates a relatively small number of point cloud data points per frame and that the adaptive guided filter is computationally efficient, integrating this filter into the odometry module does not reduce the computational efficiency of the SLAM algorithm.
Figure 4.
Location of the adaptive guided filter in SLAM algorithms.
2.3.2. Overview
The adaptive guided filtering algorithm requires an adaptive guided filter for the point cloud. Its core idea is based on the assumption that there exists a local linear model between the guided point cloud and the output point cloud. The guided point cloud in the adaptive guided filtering algorithm can be either another guided point cloud or the original input point cloud. When using the input point cloud as the guided point cloud, the algorithm can achieve edge-preserving denoising and smoothing effects. The advantage of this approach is its enhanced ability to preserve edge features.
The flowchart of the adaptive guided filtering algorithm is shown in Figure 5. Firstly, the kd-tree strategy is employed to partition the spatial structure of the 3D point cloud, thereby establishing geometric relationships between points. During this process, the KNN method is used to search for and retain the neighborhood information of each point in the point cloud. Secondly, the algorithm proposed in the research used the input raw point cloud as the guided point cloud. Since the guided point cloud model is identical to the input point cloud model, a linear relationship exists between the filtered output point cloud model and the input point cloud model. This means that the filtered output point cloud can be represented as a linear model corresponding to the input 3D point cloud. Finally, the coefficients of the model are determined through a cost function to perform the filtering operation, resulting in the final filtered 3D point cloud model.
Figure 5.
The flowchart of the adaptive guided point cloud filter.
2.3.3. Essential Preprocessing before Implementing Adaptive Guided Point Cloud Filtering
Before implementing adaptive guided point cloud filtering, it is necessary to preprocess the point cloud data, which includes constructing a spatial index structure and performing neighborhood searches for the point cloud. Given the uneven distribution of point clouds in forest environments and the real-time requirements of SLAM algorithms [37,38], the K-D tree [39] spatial partitioning strategy is employed by the research to establish the topological relationships among the 3D point clouds. The construction of the K-D tree begins by initializing the root node with the median point of the dataset along one of the dimensions. Each subsequent node is created by selecting the median along the next dimension, alternating between dimensions at each level of the tree. This process continues recursively for the subsets of data on either side of each split, ensuring that the tree maintains a balanced structure.
After constructing the 3D point cloud topology using the kd-tree, the KNN [40] strategy is applied by the research to query the three-dimensional Euclidean distances between points to obtain neighborhood information. In the research, we set the threshold to = 5 for the KNN algorithm.
2.3.4. Adaptive Guided Point Cloud Filtering
Given an initial input 3D point cloud , after constructing the topological relationships using a kd-tree, the KNN strategy outlined in Section 2.3.2 can be employed to quickly search for the neighborhood point set of each point in the 3D point cloud, where denotes the -th neighbor of the point . Using these neighborhood point sets and Equation (1), the position of the centroid of the neighborhood can be determined.
The variable represents the number of neighboring points of the given point .
After determining the neighborhood point set of point , we define a local linear relationship between the guided filtered point cloud model and the input point cloud model . For each point in the neighborhood point set , a linear transformation is applied once to produce the corresponding filtered point . The linear model is defined as shown in Equation (2).
The represents the point after adaptive guided filtering, and and are the coefficients of the linear model within the neighborhood point set . The linear model ensures that the significant features in the original point cloud, such as ground point clouds, corner point clouds, and arc point clouds, remain unchanged.
After defining the linear model equation, we use an optimization strategy to obtain the linear model coefficients in Equation (2). These coefficients are derived by minimizing the differences between the input point cloud model and the guided filtered point cloud model. A cost function is defined within the neighborhood point set , as shown in Equation (3).
In the cost Equation (3), to prevent the parameter from becoming excessively large and deteriorating the filtering effect, a regularization parameter is defined. The cost function reflects the discrepancy between the point cloud data output by the filter and the guided 3D point cloud model input to the filter. Equation (4) is a formula for computing the neighborhood smoothness. The rougher the neighborhood , the larger the smoothness value , resulting in a higher weight, which increases the filtering strength and effectively filters. Conversely, the smoother the neighborhood , the smaller the smoothness value , leading to a lower weight, which reduces the filtering strength and better preserves the model features. Finally, by minimizing the loss function (Equation (5)), the coefficients and of the linear model can be obtained.
We use partial derivatives to solve for the linear model coefficients of Equation (3). By taking the partial derivatives with respect to and , respectively, we obtain the following equations:
Setting Equations (6) and (7) to zero and solving for and , we obtain the solutions as shown in Equations (8) and (9).
Substituting the obtained values and into Equation (2) yields the neighborhood point set after adaptive guided filtering. Finally, the adaptive guided filtering operation is completed by traversing each point in the input point cloud model and performing a linear transformation within their respective neighborhoods . The final adaptive guided filtering result is presented in Equation (10).
where represents the original input points, while denotes the output points after adaptive guided filtering. The single-frame point clouds before and after filtering are shown in Figure 6. The stem point cloud before filtering is sparse and dispersed with significant noise, whereas the stem point cloud after filtering is more concentrated and has less noise.
Figure 6.
Before and after filtering a single-frame point cloud. (a) Original point cloud; (b) Filtered point cloud.
During the process of coefficient determination in Equations (8) and (9), two situations may arise. The first situation occurs when, within the neighborhood of a point , if , the final linear model coefficient . Substituting this into Equation (10) yields , indicating that the point cloud after adaptive guided filtering is nearly identical to the input point cloud, resulting in a weak filtering effect. The second situation arises when , leading to a final linear model coefficient . Substituting this into Equation (10) yields , implying that the point cloud after adaptive guided filtering will move towards the center point of each point ’s neighborhood . The typical effect of this situation is a reduction in the scale of the point cloud after adaptive guided filtering. Therefore, the threshold for needs to be set based on the density and distribution of different point clouds.
2.4. Extraction of DBH and Tree Height
To accurately extract DBH and tree height from point clouds generated by SLAM algorithms, we performed the following algorithms and steps: First, the Progressive Morphological Filter (PMF) [41] is used to extract the Digital Elevation Model (DEM) point cloud. Next, the original point cloud is normalized by elevation on a voxel-by-voxel basis using the DEM point cloud. After these preprocessing steps, a normalized, complete point cloud is obtained. The Region Growing Algorithm (RGA) [42] is then applied to the normalized point cloud to extract the stem point cloud. Finally, a stem point cloud slice at heights of 1.25 to 1.35 m is taken, and the Random Sample Consensus (RANSAC) [43] algorithm is used to fit a cylindrical model to this slice to extract its diameter, which represents the DBH. For tree height, a layer-by-layer clustering approach is employed in the research. Using the DBH cylinder fitting center as the seed point, individual trees are segmented through layer-by-layer clustering, and the maximum height of the segmented point cloud for each tree is taken as its height.
2.5. Evaluation of Adaptive Guided Point Cloud Filtering
The performance of the adaptive guided point cloud filtering algorithm in SLAM is evaluated by comparing the improvements in the accuracy of DBH and tree height before and after applying the algorithm. The evaluation uses measured DBH and tree height as truth values and the DBH and tree height extracted from LiDAR point clouds as estimated values. The truth for DBH was obtained by measuring the tree stem at 1.3 m using a measuring tape, and the truth for tree height was obtained by measuring the treetop with an altimeter. The algorithm’s accuracy is validated using Bias, Mean Absolute Error (MAE), and Root Mean Square Error (RMSE). MAE assesses the actual error of the LiDAR estimates, while RMSE measures the deviation between the LiDAR estimates and the ground truth. The formulas are as follows:
where represents the measured true value, represents the estimated value from the LiDAR, and represents the number of trees in the sample plot.
3. Results
3.1. Comparison of Forest Mapping before and after Adaptive Guided Point Cloud Filtering
In the research, we utilized a laptop equipped with an Intel® CoreTM i7-8750H CPU @ 2.20 GHz and 16 GB of memory to perform SLAM mapping on nine different sample plots. The proposed algorithm was implemented in C++ using the Point Cloud Library (PCL) and tested across these nine sample plots to evaluate the performance of adaptive guided point cloud filtering. As shown in Figure 7, the overall filtering effect on the forest point clouds is evident. The adaptive guided point cloud filtering enhances the overall mapping quality of the forest point clouds by filtering each frame of the point cloud sequentially.
Figure 7.
Before and after filtering the forest point cloud. (a) Original point cloud. (b) Filtered point cloud.
From the locally magnified view in Figure 7, it is evident that the filtered stem point cloud exhibits a significant clustering effect. Additionally, the branch point cloud appears much clearer, effectively retaining key forest features while correcting most noise points. Compared to other filtering algorithms [26,44], this method ensures the filtering of the point cloud without reducing the number of points, thereby preserving the accuracy of subsequent parameter extraction. In terms of computational efficiency, the adaptive guided point cloud filtering algorithm filters each frame of the point cloud within the SLAM odometry module before using the SLAM algorithm to construct the point cloud map. This results in a relatively low computational load, making it fully capable of meeting the real-time mapping efficiency requirements.
3.2. The DBH Performance of Adaptive Guided Point Cloud Filtering across Different Test Plots
Figure 8 illustrates the comparison of DBH estimation accuracy before and after applying the adaptive guided point cloud filtering algorithm. It can be observed from Figure 8 that the error metrics MAE and RMSE decreased across all nine plots in the research, particularly in plot 4. By analyzing the data, we found that in plot 4, the data collection personnel performed twice emergency avoidance maneuvers while walking (Figure 3d), resulting in rapid device shaking over a short period. This caused significant local point cloud noise, leading to larger errors in DBH extraction. However, after applying the filtering algorithm proposed in the research, the accuracy of DBH measurements improved significantly. On Bias, the error metric showed a slight increase in plots 2, 7, and 8.
Figure 8.
Comparison of DBH errors at various plots before and after implementing an adaptive guided point cloud filtering algorithm. (a) Bias; (b) MAE; and (c) RMSE.
As shown in Figure 8, prior to using the adaptive guided point cloud filtering algorithm, the Bias distribution ranged from −5.84 to 1.57 cm, indicating unstable and excessively high or low DBH estimates. The MAE distribution ranged from 1.04 to 7.25 cm, while the RMSE distribution ranged from 1.33 to 12.84 cm. These three accuracy metrics suggest that the variance in DBH estimation errors was large and uneven across different sample plots before applying the adaptive guided point cloud filtering algorithm. After applying the algorithm, the Bias distribution narrowed to −0.82 to 1.43 cm, the MAE distribution to 0.86 to 1.64 cm, and the RMSE distribution to 1.04 to 1.85 cm. This indicates that the variance in DBH estimation errors was significantly reduced, resulting in more uniform errors across the sample plots.
Table 5 shows the variations in DBH estimation accuracy for the nine sample plots in the research. We used the number of single trees in each sample plot in Table 1 as the sample size for the precision change analysis. Due to the offsetting of positive and negative values resulting from overestimation and underestimation, the Bias for some individual plots exhibits negative growth, with the average Bias error decreasing by 19.15%. The reduction in MAE error ranges from 0.00% to 84.00%, with an average decrease of 34.18%. The RMSE error reduction rate ranges from 0.64% to 88.71%, with an average decrease of 47.56%. These reductions in error rates indicate that the stem point clouds are more concentrated, the distance of DBH outliers is smaller, and the DBH values estimated from the point cloud are more reliable. As shown in Figure 8 and Table 5, the application of the adaptive guided point cloud filtering algorithm led to a decrease in the DBH estimation error across different tree species, slopes, and canopy densities in the nine sample plots of the research, demonstrating the algorithm’s strong robustness in the horizontal direction.
Table 5.
Reduction rate of DBH error for different plots after applying the adaptive guided point cloud filtering algorithm.
3.3. The Tree Height Performance of Adaptive Guided Point Cloud Filtering across Different Test Plots
Figure 9 presents a comparison of tree height estimation accuracy before and after applying the adaptive guided point cloud filtering algorithm. It can be observed from the figure that both MAE and RMSE accuracy metrics decreased across the nine sample plots in the research. The Bias metric shifted from an overall overestimation to an underestimation of tree height values with a reduced magnitude of error. This indicates that the point cloud, after filtering with the adaptive guided point cloud filtering algorithm, became more tightly clustered.
Figure 9.
Comparison of tree height errors at various plots before and after implementing an adaptive guided point cloud filtering algorithm. (a) Bias; (b) MAE; and (c) RMSE.
As shown in Figure 9, before applying the adaptive guided point cloud filtering algorithm, the Bias distribution ranged from −0.53 to 0.01 m, indicating an overall overestimation of tree height. The MAE distribution ranged from 0.54 to 1.18 m, and the RMSE distribution ranged from 0.76 to 1.49 m. These three accuracy metrics suggest that prior to using the adaptive guided point cloud filtering algorithm, the tree height estimation errors were significant, with the point cloud exhibiting high noise levels and a scattered distribution, leading to an overestimation trend in tree heights. After applying the adaptive guided point cloud filtering algorithm, the Bias distribution narrowed to between −0.31 and 0.28 m, the MAE distribution improved to between 0.25 and 0.54 m, and the RMSE distribution was reduced to between 0.34 and 0.64 m. Post-application of the adaptive guided point cloud filtering algorithm, the tree height estimation errors were significantly reduced, the point cloud distribution became more concentrated, and the errors across various sample plots were more uniform.
Table 6 illustrates the changes in the accuracy of tree height estimation for the nine sample plots in the research. Due to the positive and negative values of Bias offsetting each other in cases of overestimation and underestimation, the errors for plots 7 and 13 are minimized and thus excluded from the accuracy evaluation. The average Bias error is reduced by 14.97%. The reduction rate of MAE ranges from 21.74% to 77.06%, with an average error reduction of 53.62%. The RMSE reduction rate ranges from 20.00% to 77.18%, with an average error reduction of 54.73%. These three evaluation metrics indicate that the tree point clouds become more concentrated after applying the adaptive guided point cloud filtering algorithm, resulting in smaller errors for the outlier points at the tree tops and more reliable tree height estimations from the point clouds. As shown in Figure 9 and Table 6, the application of the adaptive guided point cloud filtering algorithm leads to a decrease in the estimation errors of tree heights across the nine sample plots in the research, demonstrating the algorithm’s strong robustness in the vertical direction.
Table 6.
Reduction rate of tree height error for different plots after applying the adaptive guided point cloud filtering algorithm.
4. Discussion
4.1. Parameter Selection for Forest Point Cloud
In the adaptive guided point cloud filtering algorithm proposed in the research, the following two critical parameters are involved: the value of the KNN algorithm neighborhood and the parameter that controls the filtering effect in the cost function. These parameters significantly influence the filtering performance, particularly the computation time in the SLAM module. The value of is related to the density of each point cloud frame; the higher the point cloud density, the larger the value of . For the same neighborhood size , a larger value of results in better filtering quality, enabling the filtered points to better align with the feature points.
The point clouds processed in the research are from a SLAM algorithm, with each frame containing approximately 30,000 points. Compared to the original point cloud frame in Figure 10, as shown in Figure 11, good filtering results are achieved when . However, overfitting occurs when > 10. From the plot with = 20, it can be observed that local extreme overfitting occurs at the diameter points in each frame, leading to a clustering phenomenon at certain points. When selecting the parameter , optimal filtering results are obtained when . Please note that as the parameter increases, the filtered point cloud frames exhibit an overall shrinkage effect, particularly noticeable when > 0.05. The shrinkage severely impacts the SLAM mapping performance and the accuracy of subsequent parameter extraction.
Figure 10.
Original point cloud frame.
Figure 11.
Effect of different parameters of the adaptive guided point cloud filtering algorithm on the point cloud frame. (a) = 5, = 0.02. (b) = 5, = 0.05. (c) = 5, = 0.10. (d) = 5, = 0.20. (e) = 10, = 0.02. (f) = 10, = 0.05. (g) = 10 = 0.10. (h) = 10, = 0.20. (i) = 20, = 0.02. (j) = 20, = 0.05. (k) = 20, = 0.10. (l) = 20, = 0.20.
Since the filtering algorithm in the research is applied within the SLAM module, it is essential to balance filtering performance and computation time, considering the real-time requirements of SLAM algorithms. The odometry update frequency in mainstream SLAM algorithms ranges from 10 to 20 Hz, corresponding to a processing time of 50 to 100 ms. Considering that the odometry component also needs to execute other tasks, we limit the computation time of the filtering algorithm to under 50 ms. Table 7 presents the computation times for different threshold values. From the table, it can be observed that for single-frame SLAM point clouds, the interval that satisfies the odometry update frequency and filtering performance of SLAM is within and . Specifically, using = 5 and = 0.05, our method achieves the optimal balance between filtering effectiveness and computation time.
Table 7.
Running time of the adaptive guided point cloud filtering algorithm with different parameters.
Computation time and filtering effectiveness are inherently opposing parameters. Selecting smaller parameters can reduce computation time but typically results in suboptimal filtering performance. Conversely, choosing larger parameters can achieve better filtering results, but at the cost of increased computation time. If the parameters are excessively large, it may lead to over-shrinking of the model, thereby reducing the precision of parameter extraction in forests. Accurate parameter settings can significantly enhance the performance of the adaptive guided point cloud filtering algorithm. Moreover, a precise point cloud map lays a solid foundation for subsequent accurate parameter extraction.
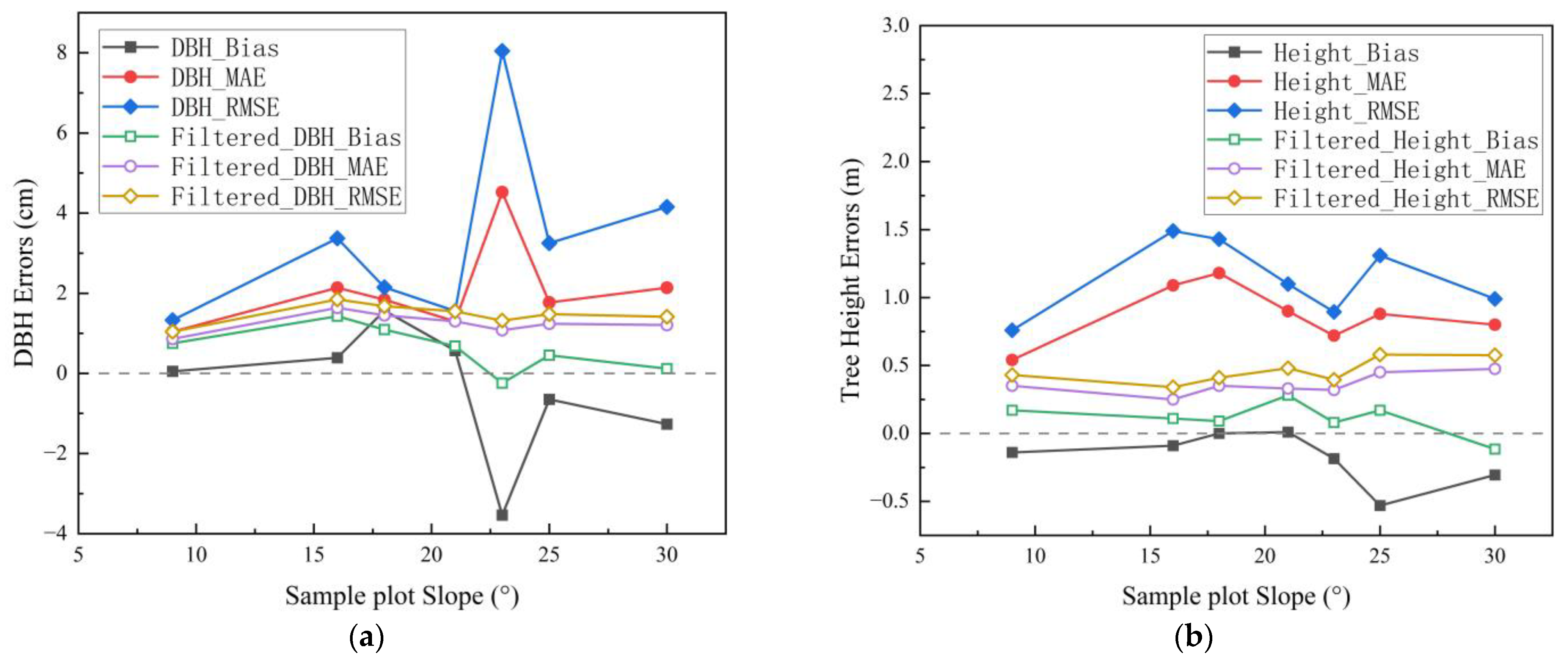
4.2. The Robustness of the Adaptive Guided Point Cloud Filtering across Different Slopes
To better test the robustness of the adaptive guided point cloud filtering algorithm, slope factors were considered when selecting the sample plots. The slope range of the nine sample plots was between 9° and 30°. In previous studies, the RMSE for DBH estimation using backpack LiDAR ranged from 1 to 4 cm [44,45,46], while the RMSE for tree height estimation ranged from 0.5 to 3 m [47,48]. However, good estimation accuracy could only be achieved on relatively flat plots. Without using the adaptive guided point cloud filtering algorithm, it is challenging to maintain high accuracy in DBH and tree height measurements (Figure 12). As the slope increases, the walking path of the operators becomes more unstable, significantly challenging the robustness of the SLAM algorithm. The jitter in the walking path and emergency evasive maneuvers for safety can easily cause odometry loss in the SLAM algorithm, reducing the accuracy of the final point cloud mapping.
Figure 12.
Error analysis of tree parameters under different sample plot slopes. (a) DBH error analysis under different sample plot slopes. (b) Tree height error analysis under different sample plot slopes.
As shown in Figure 12, the estimation errors before and after applying the adaptive guided point cloud filtering algorithm exhibit significant changes. Prior to using the adaptive guided point cloud filtering algorithm, the errors in DBH and tree height displayed considerable fluctuations and tended to increase with the slope gradient. After employing the adaptive guided point cloud filtering algorithm, the error fluctuations in DBH were significantly reduced, and the accuracy was unaffected by changes in slope. Meanwhile, the error fluctuations in tree height remained relatively stable; although there was a slight upward trend in error with increasing slope, it remained within an acceptable range. The application of the adaptive guided point cloud filtering algorithm improved the estimation accuracy of both DBH and tree height, reaching and, in some cases, exceeding the accuracy of previous studies, thereby demonstrating the robustness of the algorithm in different slope environments.
4.3. The Performance of the Adaptive Guided Point Cloud Filtering across Different DBH Intervals
As shown in Figure 13, the accuracy of the DBH significantly improved after filtering, reaching 0.95 with an error in RMSE of only 1.40 cm. To better analyze the performance of the filtering algorithm in the horizontal direction, a detailed classification discussion on the horizontal DBH slices was conducted by the researchers. The DBH was classified by the research into five groups, i.e., small , medium , relatively large , large , and extra-large . Each group was evaluated for its accuracy accordingly.
Figure 13.
Accuracy assessment chart for DBH estimation before and after filtering. (a) Original point cloud. (b) Filtered point cloud.
From Figure 14, it can be observed that the DBH accuracy significantly improves after filtering for the small, medium, and relatively large DBH groups. Specifically, the accuracy for the small DBH group after filtering is 1.32 cm, reflecting an improvement of 80.87%. For the medium DBH group, the post-filtering accuracy is 1.34 cm, an improvement of 61.36%, and for the relatively large DBH group, the accuracy is 1.78 cm, showing an improvement of 43.15%. In the DBH range , the filtering effect in the research is significant, with substantial accuracy enhancements. However, for the large and extra-large DBH groups, the improvement in DBH accuracy before and after filtering is moderate. The accuracy for the large DBH group after filtering is 1.79 cm, an improvement of 13.57%, and for the extra-large DBH group, the accuracy is 1.49 cm, reflecting an improvement of 33.56%.
Figure 14.
Accuracy assessment chart for DBH estimation across multiple intervals before and after filtering. (a) Original point cloud. (b) Filtered point cloud. The blue radial line represents the correlation coefficient (R2), the horizontal and vertical axes represent the standard deviation (SD) of the estimated and true values, the red arcs represent the standard deviation of the true DBH values, the colored symbols represent the models for the five different DBH intervals, and the distance of the colored symbols to the observation point represents the Root Mean Square Error (RMSE).
By grouping the data based on DBH, we found that the filtering algorithm significantly improved the accuracy of DBH extraction, particularly for small, medium, and relatively large DBH groups. Although the performance improvement for the large DBH group was not exceptionally significant, the algorithm still demonstrated good robustness and reliability. The DBH groups of large and extra-large may be more dependent on the threshold settings of the filtering algorithm. Therefore, it is crucial to carefully select threshold parameters tailored to the acquisition device and the specific characteristics of the sample plots when using the filtering algorithm. Future work can focus on more automated filtering algorithm research to further enhance the accuracy of DBH measurements across various groups.
4.4. The Performance of the Adaptive Guided Point Cloud Filtering across Different Tree Height Intervals
As shown in Figure 15, the accuracy of tree height has been significantly improved after filtering, reaching an accuracy of 0.97 with an error in RMSE of 0.50 m. The performance of the filtering algorithm in the vertical direction is also analyzed in the research, along with a discussion on tree height classification. Tree heights were classified into three groups, i.e., low trees , medium trees , and tall trees . The accuracy of each group was evaluated accordingly.
Figure 15.
Accuracy assessment chart for tree height estimation before and after filtering. (a) Original point cloud. (b) Filtered point cloud.
After applying the filtering algorithm, the data points moved toward a lower standard deviation and a higher correlation coefficient. This indicates that the filtering algorithm effectively improved the accuracy of tree height estimation by reducing the standard deviation and enhancing the correlation between the estimated and actual values. In the research, due to the insufficient sample size of short trees in the group , samples in this group were not considered in the classification discussion. As shown in Figure 16, the accuracy of tree height for medium and tall trees improved after filtering. The accuracy for medium trees after filtering was 0.52 m, an improvement of 48.01%, and for tall trees, the accuracy was 0.43 m, an improvement of 56.39%.
Figure 16.
Accuracy assessment chart for tree height estimation across multiple intervals before and after filtering. (a) Original point cloud. (b) Filtered point cloud. The blue radial line represents the correlation coefficient (R2), the horizontal and vertical axes represent the standard deviation (SD) of the estimated and true values, the red arcs represent the standard deviation of the true tree height values, the colored symbols represent the models for the two different tree height intervals, and the distance of the colored symbols to the observation point represents the Root Mean Square Error (RMSE).
Compared to the improvement in DBH accuracy, the enhancement in tree height accuracy was less significant. This is primarily due to the maximum scanning range and maximum scanning angle of the LiDAR, and more importantly, the degree of mutual occlusion among the leaves. If the degree of leaf occlusion is high and the canopy closure is dense, the LiDAR may not be able to scan the tree tops, making it difficult for any filtering algorithm to achieve high accuracy. In plots where the LiDAR can scan the tree tops, the adaptive filtering algorithm proposed in the paper can effectively improve the accuracy of vertical tree height, particularly for tall trees over 15 m.
4.5. Adaptability of Adaptive Guided Point Cloud Filtering
When employing BLS to scan forest plots, SLAM algorithms are typically used to assist in constructing forest point cloud maps, which helps in reducing significant errors during point cloud registration. However, some sources of error are not solely limited to the precision of hardware and algorithms. Factors such as mutual occlusion between trees and shrubs, the shedding of pine bark, and decreased point cloud density due to scanning angles also contribute to inaccuracies. In this context, the adaptive guided point cloud filtering algorithm demonstrates good adaptability to the accuracy losses caused by these factors.
Figure S2 demonstrates the performance of the adaptive guided point cloud filtering algorithm on different types of forest point cloud data concerning DBH. This includes normal DBH slices (full circles), DBH slices with shrub noise, and incomplete DBH slices (semi-circles). Before filtering, the point cloud slices are sparse and scattered, containing significant noise, which greatly affects subsequent parameter extraction. After filtering, the DBH slices retain complete structural information and display a clearer and more coherent point cloud. The noise points are substantially reduced, and the filtered point cloud more accurately reflects the actual DBH surface. Despite the presence of shrub noise, the filtering effect remains unaffected, effectively separating the DBH slices from shrubs and intersecting branches. For the incomplete DBH slices, the filtering algorithm maintains stable performance without any observed degradation, even under unchanged algorithm threshold conditions. These results indicate that the filtering algorithm exhibits good adaptability across different DBH slices.
Figure 17 illustrates the performance of the adaptive guided point cloud filtering algorithm on different types of forest point cloud data concerning tree height. This includes dense single-tree point clouds, single-tree point clouds with ground noise, and sparse single-tree point clouds. After filtering, noise in the stem section of the single-tree point clouds is reduced, and the contours of the stem and branches become clearer (Figure 17a). The point cloud of the tree canopy remains unchanged by the filtering algorithm, preserving the complete tree shape. Despite the presence of ground noise, the filtering effect remains robust, with the stem section well separated from the ground, avoiding any merging of stem and ground point clouds (Figure 17b). Filtering also allows for the visibility of the growth patterns of shrubs. In sparse single-tree point clouds, the algorithm maintains a good tree shape, ensuring effective filtering without causing clumping of the point cloud (Figure 17c).
Figure 17.
Comparison of the tree height point cloud before and after filtering. The red point cloud represents the original point cloud; the black point cloud represents the filtered point cloud. (a) Dense single-tree point clouds; (b) single-tree point clouds with ground noise; and (c) sparse single-tree point clouds.
In summary, the adaptive guided point cloud filtering algorithm demonstrates excellent adaptability to point clouds of different forest types and densities in terms of both DBH and tree height. The filtering algorithm holds promise for providing robust technical support for forest resource management and environmental monitoring.
5. Conclusions
A novel point cloud adaptive filtering algorithm for LiDAR SLAM in forest environments based on guidance information was proposed by the research. The algorithm aimed to reduce the impact of odometry errors on the estimation of forest structural parameters during the forest SLAM mapping process. It constructs a linear model based on the original point cloud and the filtered point cloud, determining the parameters of the linear model by minimizing a cost function, thereby building a point cloud filter. The point cloud filter is integrated into the SLAM system module to perform adaptive guided filtering on each frame of the point cloud. The algorithm is applicable to MLS-based forest SLAM systems, offering a new approach for forest SLAM mapping.
The results indicate that the proposed adaptive guided filtering algorithm exhibits high robustness under various slope conditions in forested areas. For small, medium, and relatively large DBH groups, as well as for medium and tall tree height groups, the adaptive guided filtering algorithm performs better, improving DBH accuracy by 80.87%, 61.36%, and 43.15%, and tree height accuracy by 48.01% and 56.39%. The adaptive guided filtering algorithm is also suitable for processing single-tree data with varying point cloud densities, particularly noisy point clouds containing shrubs and shedding bark fragments. It is important to note that when using the adaptive guided filtering algorithm, the data from different LiDAR sensors should be considered, as the point cloud data density and structure can vary significantly between sensors. Appropriate parameter thresholds need to be selected when applying the adaptive guided filtering algorithm to different sensors.
Supplementary Materials
The following supporting information can be downloaded at: https://www.mdpi.com/article/10.3390/rs16152714/s1, Figure S1: Field photos and the point cloud data; Figure S2: Comparison of DBH point cloud before and after filtering.
Author Contributions
Conceptualization, S.Y. and Y.X.; date curation, S.Y.; formal analysis, S.Y.; funding acquisition, Y.X. and S.Y.; investigation, S.Y., D.W. and H.D.; methodology, S.Y.; project administration, Y.X. and S.Y.; writing—original draft, S.Y.; writing—review and editing, S.Y. and Y.X. All authors have read and agreed to the published version of the manuscript.
Funding
This work is supported by the National Key R&D Program of China (Grant Number: 2023YFD2201701-2), the National Key R&D Program of China (Grant Number: 2021YFE0117700-6), the Fundamental Research Funds for the Central Universities, Northeast Forestry University (Grant Number: 2572021AW50), and the Innovation Foundation for Doctoral Program of Forestry Engineering of Northeast Forestry University (Grant Number: LYGC202113).
Data Availability Statement
We have added links in the article to download the data.
Acknowledgments
We thank the editor and anonymous reviewers for reviewing our paper.
Conflicts of Interest
The authors declare no conflicts of interest.
References
- Huang, L.; Zhou, M.; Lv, J.; Chen, K. Trends in Global Research in Forest Carbon Sequestration: A Bibliometric Analysis. J. Clean. Prod. 2020, 252, 119908. [Google Scholar] [CrossRef]
- Calders, K.; Adams, J.; Armston, J.; Bartholomeus, H.; Bauwens, S.; Bentley, L.P.; Chave, J.; Danson, F.M.; Demol, M.; Disney, M.; et al. Terrestrial Laser Scanning in Forest Ecology: Expanding the Horizon. Remote Sens. Environ. 2020, 251, 112102. [Google Scholar] [CrossRef]
- Lechner, A.M.; Foody, G.M.; Boyd, D.S. Applications in Remote Sensing to Forest Ecology and Management. One Earth 2020, 2, 405–412. [Google Scholar] [CrossRef]
- Hyyppä, E.; Kukko, A.; Kaijaluoto, R.; White, J.C.; Wulder, M.A.; Pyörälä, J.; Liang, X.; Yu, X.; Wang, Y.; Kaartinen, H.; et al. Accurate Derivation of Stem Curve and Volume Using Backpack Mobile Laser Scanning. ISPRS J. Photogramm. Remote Sens. 2020, 161, 246–262. [Google Scholar] [CrossRef]
- de Paula Pires, R.; Olofsson, K.; Persson, H.J.; Lindberg, E.; Holmgren, J. Individual Tree Detection and Estimation of Stem Attributes with Mobile Laser Scanning along Boreal Forest Roads. ISPRS J. Photogramm. Remote Sens. 2022, 187, 211–224. [Google Scholar] [CrossRef]
- Barber, D.; Mills, J.; Smith-Voysey, S. Geometric Validation of a Ground-Based Mobile Laser Scanning System. ISPRS J. Photogramm. Remote Sens. 2008, 63, 128–141. [Google Scholar] [CrossRef]
- Mokroš, M.; Mikita, T.; Singh, A.; Tomaštík, J.; Chudá, J.; Wężyk, P.; Kuželka, K.; Surový, P.; Klimánek, M.; Zięba-Kulawik, K.; et al. Novel Low-Cost Mobile Mapping Systems for Forest Inventories as Terrestrial Laser Scanning Alternatives. Int. J. Appl. Earth Obs. Geoinf. 2021, 104, 102512. [Google Scholar] [CrossRef]
- Gollob, C.; Ritter, T.; Nothdurft, A. Forest Inventory with Long Range and High-Speed Personal Laser Scanning (PLS) and Simultaneous Localization and Mapping (SLAM) Technology. Remote Sens. 2020, 12, 1509. [Google Scholar] [CrossRef]
- Qian, C.; Liu, H.; Tang, J.; Chen, Y.; Kaartinen, H.; Kukko, A.; Zhu, L.; Liang, X.; Chen, L.; Hyyppä, J. An Integrated GNSS/INS/LiDAR-SLAM Positioning Method for Highly Accurate Forest Stem Mapping. Remote Sens. 2017, 9, 3. [Google Scholar] [CrossRef]
- Xie, Y.; Yang, T.; Wang, X.; Chen, X.; Pang, S.; Hu, J.; Wang, A.; Chen, L.; Shen, Z. Applying a Portable Backpack Lidar to Measure and Locate Trees in a Nature Forest Plot: Accuracy and Error Analyses. Remote Sens. 2022, 14, 1806. [Google Scholar] [CrossRef]
- Tang, J.; Chen, Y.; Kukko, A.; Kaartinen, H.; Jaakkola, A.; Khoramshahi, E.; Hakala, T.; Hyyppä, J.; Holopainen, M.; Hyyppä, H. SLAM-Aided Stem Mapping for Forest Inventory with Small-Footprint Mobile LiDAR. Forests 2015, 6, 4588–4606. [Google Scholar] [CrossRef]
- Kuželka, K.; Marušák, R.; Surový, P. Inventory of Close-to-Nature Forest Stands Using Terrestrial Mobile Laser Scanning. Int. J. Appl. Earth Obs. Geoinf. 2022, 115, 103104. [Google Scholar] [CrossRef]
- Proudman, A.; Ramezani, M.; Digumarti, S.T.; Chebrolu, N.; Fallon, M. Towards Real-Time Forest Inventory Using Handheld LiDAR. Robot. Auton. Syst. 2022, 157, 104240. [Google Scholar] [CrossRef]
- Nevalainen, P.; Li, Q.; Melkas, T.; Riekki, K.; Westerlund, T.; Heikkonen, J. Navigation and Mapping in Forest Environment Using Sparse Point Clouds. Remote Sens. 2020, 12, 4088. [Google Scholar] [CrossRef]
- Del Perugia, B.; Giannetti, F.; Chirici, G.; Travaglini, D. Influence of Scan Density on the Estimation of Single-Tree Attributes by Hand-Held Mobile Laser Scanning. Forests 2019, 10, 277. [Google Scholar] [CrossRef]
- Shao, J.; Zhang, W.; Luo, L.; Cai, S.; Jiang, H. Slam-based backpack laser scanning for forest plot mapping. ISPRS Ann. Photogramm. Remote Sens. Spat. Inf. Sci. 2020, 5, 267–271. [Google Scholar]
- Shao, J.; Zhang, W.; Mellado, N.; Jin, S.; Cai, S.; Luo, L.; Yang, L.; Yan, G.; Zhou, G. Single Scanner BLS System for Forest Plot Mapping. IEEE Trans. Geosci. Remote Sens. 2021, 59, 1675–1685. [Google Scholar] [CrossRef]
- Fan, Y.; Feng, Z.; Shen, C.; Khan, T.U.; Mannan, A.; Gao, X.; Chen, P.; Saeed, S. A Trunk-Based SLAM Backend for Smartphones with Online SLAM in Large-Scale Forest Inventories. ISPRS J. Photogramm. Remote Sens. 2020, 162, 41–49. [Google Scholar] [CrossRef]
- Su, Y.; Guo, Q.; Jin, S.; Guan, H.; Sun, X.; Ma, Q.; Hu, T.; Wang, R.; Li, Y. The Development and Evaluation of a Backpack LiDAR System for Accurate and Efficient Forest Inventory. IEEE Geosci. Remote Sens. Lett. 2021, 18, 1660–1664. [Google Scholar] [CrossRef]
- Tremblay, J.-F.; Béland, M.; Gagnon, R.; Pomerleau, F.; Giguère, P. Automatic Three-Dimensional Mapping for Tree Diameter Measurements in Inventory Operations. J. Field Rob. 2020, 37, 1328–1346. [Google Scholar] [CrossRef]
- Chen, S.W.; Nardari, G.V.; Lee, E.S.; Qu, C.; Liu, X.; Romero, R.; Ap, F.; Kumar, V. SLOAM: Semantic Lidar Odometry and Mapping for Forest Inventory. IEEE Robot. Autom. Lett. 2020, 5, 612–619. [Google Scholar] [CrossRef]
- Pan, D.; Shao, J.; Zhang, S.; Zhang, S.; Chang, B.; Xiong, H.; Zhang, W. SLAM-Based Forest Plot Mapping by Integrating IMU and Self-Calibrated Dual 3-D Laser Scanners. IEEE Trans. Geosci. Remote Sens. 2023, 61, 1–13. [Google Scholar] [CrossRef]
- Gupta, H.; Andreasson, H.; Lilienthal, A.J.; Kurtser, P. Robust Scan Registration for Navigation in Forest Environment Using Low-Resolution LiDAR Sensors. Sensors 2023, 23, 4736. [Google Scholar] [CrossRef]
- Faitli, T.; Hakala, T.; Kaartinen, H.; Hyyppä, J.; Kukko, A. Real-time lidar-inertial positioning and mapping for forestry automation. Int. Arch. Photogramm. Remote Sens. Spat. Inf. Sci. 2023, XLVIII-1-W1-2023, 145–150. [Google Scholar] [CrossRef]
- Yang, J.; Yuan, W.; Lu, H.; Liu, Y.; Wang, Y.; Sun, L.; Li, S.; Li, H. Assessing the Performance of Handheld Laser Scanning for Individual Tree Mapping in an Urban Area. Forests 2024, 15, 575. [Google Scholar] [CrossRef]
- Duanmu, J.; Xing, Y. Annular Neighboring Points Distribution Analysis: A Novel PLS Stem Point Cloud Preprocessing Algorithm for DBH Estimation. Remote Sens. 2020, 12, 808. [Google Scholar] [CrossRef]
- Lehtola, V.V.; Lehtomäki, M.; Hyyti, H.; Kaijaluoto, R.; Kukko, A.; Kaartinen, H.; Hyyppä, J. Preregistration Classification of Mobile LIDAR Data Using Spatial Correlations. IEEE Trans. Geosci. Remote Sens. 2019, 57, 6900–6915. [Google Scholar] [CrossRef]
- He, K.; Sun, J.; Tang, X. Guided Image Filtering. IEEE Trans. Pattern Anal. Mach. Intell. 2013, 35, 1397–1409. [Google Scholar] [CrossRef]
- Maltezos, E.; Ioannidis, C. Automatic detection of building points from lidar and dense image matching point clouds. ISPRS Ann. Photogramm. Remote Sens. Spat. Inf. Sci. 2015, II-3-W5, 33–40. [Google Scholar] [CrossRef]
- Hui, Z.; Hu, Y.; Yevenyo, Y.Z.; Yu, X. An Improved Morphological Algorithm for Filtering Airborne LiDAR Point Cloud Based on Multi-Level Kriging Interpolation. Remote Sens. 2016, 8, 35. [Google Scholar] [CrossRef]
- Han, X.-F.; Jin, J.S.; Wang, M.-J.; Jiang, W. Guided 3D Point Cloud Filtering. Multimed. Tools Appl 2018, 77, 17397–17411. [Google Scholar] [CrossRef]
- Sun, Y.; Chen, H.; Qin, J.; Li, H.; Wei, M.; Zong, H. Reliable Rolling-guided Point Normal Filtering for Surface Texture Removal. Comput. Graph. Forum 2019, 38, 721–732. [Google Scholar] [CrossRef]
- Lu, D.; Lu, X.; Sun, Y.; Wang, J. Deep Feature-Preserving Normal Estimation for Point Cloud Filtering. Comput.-Aided Des. 2020, 126, 102850. [Google Scholar] [CrossRef]
- Han, X.-F.; Yan, X.-Y.; Sun, S.-J. Novel Methods for Noisy 3D Point Cloud Based Object Recognition. Multimed. Tools Appl. 2021, 80, 26121–26143. [Google Scholar] [CrossRef]
- Chen, Z.; Wang, J.; Zhang, H. Curved Path Planning Based on 3D Vision Water Immersion Ultrasonic Nondestructive Testing. J. Phys. Conf. Ser. 2021, 2024, 012005. [Google Scholar] [CrossRef]
- Song, Z.; Zhang, J.; Wu, Z.; Du, Y.; Hu, W.; Liu, X. Methods of Three-Dimensional Reconstruction and Body Size Measurement of Cattle Based on Multi-View Binocular Camera. In Proceedings of the Third International Conference on Signal Image Processing and Communication (ICSIPC 2023), Kunming, China, 26–28 May 2023; Volume 12916, pp. 118–129. [Google Scholar]
- Eyvazpour, R.; Shoaran, M.; Karimian, G. Hardware Implementation of SLAM Algorithms: A Survey on Implementation Approaches and Platforms. Artif. Intell. Rev. 2023, 56, 6187–6239. [Google Scholar] [CrossRef]
- Trejos, K.; Rincón, L.; Bolaños, M.; Fallas, J.; Marín, L. 2D SLAM Algorithms Characterization, Calibration, and Comparison Considering Pose Error, Map Accuracy as Well as CPU and Memory Usage. Sensors 2022, 22, 6903. [Google Scholar] [CrossRef]
- Bentley, J.L. Multidimensional Divide-and-Conquer. Commun. ACM 1980, 23, 214–229. [Google Scholar] [CrossRef]
- Guo, G.; Wang, H.; Bell, D.; Bi, Y.; Greer, K. KNN Model-Based Approach in Classification. In On the Move to Meaningful Internet Systems 2003: CoopIS, DOA, and ODBASE; Meersman, R., Tari, Z., Schmidt, D.C., Eds.; Springer: Berlin/Heidelberg, Germany, 2003; pp. 986–996. [Google Scholar]
- Zhang, K.; Chen, S.-C.; Whitman, D.; Shyu, M.-L.; Yan, J.; Zhang, C. A Progressive Morphological Filter for Removing Nonground Measurements from Airborne LIDAR Data. IEEE Trans. Geosci. Remote Sens. 2003, 41, 872–882. [Google Scholar] [CrossRef]
- Vo, A.-V.; Truong-Hong, L.; Laefer, D.F.; Bertolotto, M. Octree-Based Region Growing for Point Cloud Segmentation. ISPRS J. Photogramm. Remote Sens. 2015, 104, 88–100. [Google Scholar] [CrossRef]
- Bergamasco, F.; Pistellato, M.; Albarelli, A.; Torsello, A. Cylinders Extraction in Non-Oriented Point Clouds as a Clustering Problem. Pattern Recognit. 2020, 107, 107443. [Google Scholar] [CrossRef]
- Duanmu, J.; Xing, Y. Estimating Diameter at Breast Height Using Personal Laser Scanning Data Based on Stem Surface Nodes in Polar Coordinates. Remote Sens. Lett. 2020, 11, 1051–1059. [Google Scholar] [CrossRef]
- Zhang, H.; Zhang, H.; Xu, K.; Li, Y.; Wang, L.; Liu, R.; Qiu, H.; Yu, L. A Novel Framework for Stratified-Coupled BLS Tree Trunk Detection and DBH Estimation in Forests (BSTDF) Using Deep Learning and Optimization Adaptive Algorithm. Remote Sens. 2023, 15, 3480. [Google Scholar] [CrossRef]
- Xu, D.; Wang, H.; Xu, W.; Luan, Z.; Xu, X. LiDAR Applications to Estimate Forest Biomass at Individual Tree Scale: Opportunities, Challenges and Future Perspectives. Forests 2021, 12, 550. [Google Scholar] [CrossRef]
- Xu, Z.; Shen, X.; Cao, L. Extraction of Forest Structural Parameters by the Comparison of Structure from Motion (SfM) and Backpack Laser Scanning (BLS) Point Clouds. Remote Sens. 2023, 15, 2144. [Google Scholar] [CrossRef]
- Tai, H.; Xia, Y.; Yan, M.; Li, C.; Kong, X. Construction of Artificial Forest Point Clouds by Laser SLAM Technology and Estimation of Carbon Storage. Appl. Sci. 2022, 12, 10838. [Google Scholar] [CrossRef]
Disclaimer/Publisher’s Note: The statements, opinions and data contained in all publications are solely those of the individual author(s) and contributor(s) and not of MDPI and/or the editor(s). MDPI and/or the editor(s) disclaim responsibility for any injury to people or property resulting from any ideas, methods, instructions or products referred to in the content. |
© 2024 by the authors. Licensee MDPI, Basel, Switzerland. This article is an open access article distributed under the terms and conditions of the Creative Commons Attribution (CC BY) license (https://creativecommons.org/licenses/by/4.0/).

















