Assessment of OMA Gap-Filling Performances for Multiple and Single Coastal HF Radar Systems: Validation with Drifter Data in the Ligurian Sea
Abstract
1. Introduction
2. Materials and Methods
2.1. Area of Interest
2.2. HFR System
2.3. OMA Gap Filling
2.4. Drifter Data
2.5. Considerations on Drifters and HFR Data Comparison
2.6. Metrics and Strategy of Comparison
2.6.1. Eulerian Comparison
2.6.2. Lagrangian Comparison
3. Results for Eulerian Comparisons
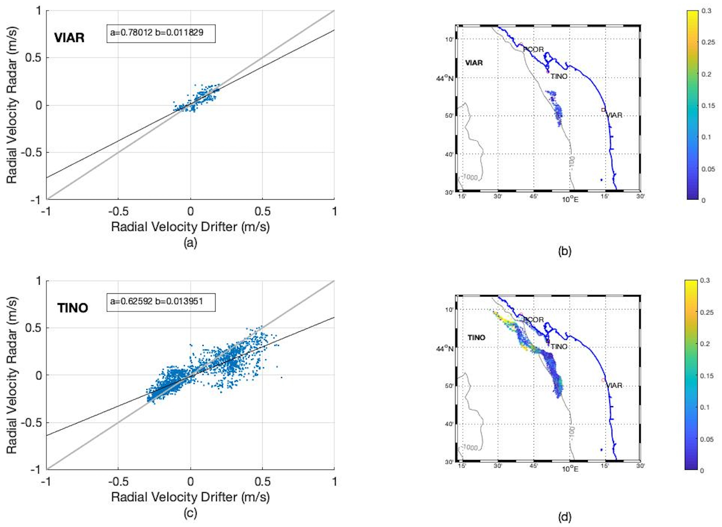
3.1. Radial Velocities
3.2. Total Vector Velocities
3.2.1. Velocities in the O Sub-Domain
3.2.2. Velocities in the O Sub-Domain
3.2.3. Velocities in the F–O Sub-Domain
3.2.4. Velocities in Full F Domain
3.3. Graphical Summaries for the Eulerian Comparisons
4. Results for Lagrangian Comparisons
5. Summary, Concluding Remarks, and Perspectives
Author Contributions
Funding
Data Availability Statement
Acknowledgments
Conflicts of Interest
Abbreviations
| HFR | High Frequency Radar |
| OMA | Open-Boundary Modal Analysis |
| NW Med | Northwestern Mediterranean |
| NC | Northern Current |
| LS | Ligurian Sea |
| TC | Tyrrhenian Current |
| WCC | Western Corsica Current |
| MUSIC | MUltiple SIgnal Classification |
| DOA | Direction Of Arrival |
| CSQ | Raw Cross Spectra Files |
| CSS | Cross Spectra Short Time Files |
| APM | Antenna Pattern Measurement |
| QC | Quality Control |
| CARTHE | Consortium for Advanced Research on Transport of Hydrocarbon in the Environment |
| RMS | Root Mean Square |
| NCLS | Normalized Cumulative Lagrangian Separation |
| SS | Skill Score |
| VD | Virtual Drifter |
| RD | Real (observed) Drifter |
References
- Reyes, E.; Aguiar, E.; Bendoni, M.; Berta, M.; Brandini, C.; Cáceres-Euse, A.; Capodici, F.; Cardin, V.; Cianelli, D.; Ciraolo, G.; et al. Coastal high-frequency radars in the Mediterranean—Part 2: Applications in support of science priorities and societal needs. Ocean Sci. 2022, 18, 797–837. [Google Scholar] [CrossRef]
- Lorente, P.; Aguiar, E.; Bendoni, M.; Berta, M.; Brandini, C.; Cáceres-Euse, A.; Capodici, F.; Cianelli, D.; Ciraolo, G.; Corgnati, L.; et al. Coastal high-frequency radars in the Mediterranean—Part 1: Status of operations and a framework for future development. Ocean. Sci. 2022, 18, 761–795. [Google Scholar] [CrossRef]
- Gurgel, K.W.; Antonischki, G.; Essen, H.H.; Schlick, T. Wellen Radar (WERA): A new ground-wave HF radar for ocean remote sensing. Coast. Eng. 1999, 37, 219–234. [Google Scholar] [CrossRef]
- Rubio, A.; Reyes, E.; Mantovani, C.; Corgnati, L.; Lorente, P.; Solabarrieta, L.; Mader, J.; Fernandez, V.; Pouliquen, S.; Novellino, A.; et al. European High Frequency Radar Network Governance; Project Report; Geomar: Kiel, Germany, 2021. [Google Scholar]
- Mantovani, C.; Corgnati, L.; Horstmann, J.; Rubio, A.; Reyes, E.; Quentin, C.; Cosoli, S.; Asensio, J.L.; Mader, J.; Griffa, A. Best Practices on High Frequency Radar Deployment and Operation for Ocean Current Measurement. Front. Mar. Sci. 2020, 7, 210. [Google Scholar] [CrossRef]
- Roarty, H.; Cook, T.; Hazard, L.; George, D.; Harlan, J.; Cosoli, S.; Wyatt, L.; Alvarez Fanjul, E.; Terrill, E.; Otero, M.; et al. The Global High Frequency Radar Network. Front. Mar. Sci. 2019, 6, 164. [Google Scholar] [CrossRef]
- Rubio, A.; Mader, J.; Corgnati, L.; Mantovani, C.; Griffa, A.; Novellino, A.; Quentin, C.; Wyatt, L.; Schulz-Stellenfleth, J.; Horstmann, J.; et al. HF Radar Activity in European Coastal Seas: Next Steps toward a Pan-European HF Radar Network. Front. Mar. Sci. 2017, 4, 8. [Google Scholar] [CrossRef]
- Wyatt, L.R. A comparison of scatterometer and HF radar wind direction measurements. J. Oper. Oceanogr. 2018, 11, 54–63. [Google Scholar] [CrossRef]
- Wyatt, L.R.; Green, J.J.; Middleditch, A.; Moorhead, M.D.; Howarth, J.; Holt, M.; Keogh, S. Operational Wave, Current, and Wind Measurements with the Pisces HF Radar. IEEE J. Ocean. Eng. 2006, 31, 819–834. [Google Scholar] [CrossRef]
- Wyatt, L.R.; Green, J.J. Developments in Scope and Availability of HF Radar Wave Measurements and Robust Evaluation of Their Accuracy. Remote Sens. 2023, 15, 5536. [Google Scholar] [CrossRef]
- Sciascia, R.; Berta, M.; Carlson, D.F.; Griffa, A.; Panfili, M.; La Mesa, M.; Corgnati, L.; Mantovani, C.; Domenella, E.; Fredj, E.; et al. Linking sardine recruitment in coastal areas to ocean currents using surface drifters and HF radar: A case study in the Gulf of Manfredonia, Adriatic Sea. Ocean. Sci. 2018, 14, 1461–1482. [Google Scholar] [CrossRef]
- Abascal, A.J.; Sanchez, J.; Chiri, H.; Ferrer, M.I.; Cárdenas, M.; Gallego, A.; Castanedo, S.; Medina, R.; Alonso-Martirena, A.; Berx, B.; et al. Operational oil spill trajectory modelling using HF radar currents: A northwest European continental shelf case study. Mar. Pollut. Bull. 2017, 119, 336–350. [Google Scholar] [CrossRef] [PubMed]
- Kokkini, Z.; Zervakis, V.; Mamoutos, I.; Potiris, E.; Frangoulis, C.; Kioroglou, S.; Maderich, V.; Psarra, S. Quantification of the surface mixed-layer lateral transports via the use of a HF radar: Application in the North-East Aegean Sea. Cont. Shelf Res. 2017, 149, 17–31. [Google Scholar] [CrossRef]
- Bellomo, L.; Griffa, A.; Cosoli, S.; Falco, P.; Gerin, R.; Iermano, I.; Kalampokis, A.; Kokkini, Z.; Lana, A.; Magaldi, M.; et al. Toward an integrated HF radar network in the Mediterranean Sea to improve search and rescue and oil spill response: The TOSCA project experience. J. Oper. Oceanogr. 2015, 8, 95–107. [Google Scholar] [CrossRef]
- Kokkini, Z.; Potiris, M.; Kalampokis, A.; Zervakis, V. HF Radar observations of the Dardanelles outflow current in North Eastern Aegean using validated WERA HF radar data. Mediterr. Mar. Sci. 2014, 15, 753–768. [Google Scholar] [CrossRef]
- Lipa; Parikh, H.; Barrick, D.; Roarty, H.; Glenn, S. High-frequency radar observations of the June 2013 US East Coast meteotsunami. Nat. Hazards 2013, 74, 109–122. [Google Scholar] [CrossRef]
- Kohut, J.T.; Glenn, S.M. Improving HF Radar Surface Current Measurements with Measured Antenna Beam Patterns. J. Atmos. Ocean. Technol. 2003, 20, 1303–1316. [Google Scholar] [CrossRef]
- Paduan, J.D.; Kim, K.C.; Cook, M.S.; Chavez, F.P. Calibration and Validation of Direction-Finding High-Frequency Radar Ocean Surface Current Observations. IEEE J. Ocean. Eng. 2006, 31, 862–875. [Google Scholar] [CrossRef]
- Gurgel, K.W.; Barbin, Y.; Schlick, T. Radio Frequency Interference Suppression Techniques in FMCW Modulated HF Radars. In Proceedings of the OCEANS 2007—Europe, Aberdeen, Scotland, 18–21 June 2007; pp. 1–4. [Google Scholar] [CrossRef]
- Kim, S.Y.; Terrill, E.J.; Cornuelle, B.D. Mapping surface currents from HF radar radial velocity measurements using optimal interpolation. J. Geophys. Res. Ocean. 2008, 113, C10. [Google Scholar] [CrossRef]
- Saha, A.K.; Choudhury, S.; Majumder, M. Performance efficiency analysis of water treatment plants by using MCDM and neural network model. MATTER Int. J. Sci. Technol. 2017, 3, 27–35. [Google Scholar] [CrossRef]
- Gauci, A.; Drago, A.; Abela, J. Gap Filling of the CALYPSO HF Radar Sea Surface Current Data through Past Measurements and Satellite Wind Observations. Int. J. Navig. Obs. 2016, 2016, 2–10. [Google Scholar] [CrossRef]
- Mihanović, H.; Cosoli, S.; Vilibić, I.; Ivanković, D.; Dadić, V.; Gačić, M. Surface current patterns in the northern Adriatic extracted from high-frequency radar data using self-organizing map analysis. J. Geophys. Res. Ocean. 2011, 116, C08033. [Google Scholar] [CrossRef]
- Hernández-Carrasco, I.; Solabarrieta, L.; Rubio, A.; Esnaola, G.; Reyes, E.; Orfila, A. Impact of HF radar current gap-filling methodologies on the Lagrangian assessment of coastal dynamics. Ocean. Sci. 2018, 14, 827–847. [Google Scholar] [CrossRef]
- Yaremchuk, M.; Sentchev, A. Mapping radar-derived sea surface currents with a variational method. Cont. Shelf Res. 2009, 29, 1711–1722. [Google Scholar] [CrossRef]
- Yaremchuk, M.; Sentchev, A. A combined EOF/variational approach for mapping radar-derived sea surface currents. Cont. Shelf Res. 2011, 31, 758–768. [Google Scholar] [CrossRef]
- Alvera-Azcárate, A.; Barth, A.; Rixen, M.; Beckers, J. Reconstruction of incomplete oceanographic data sets using empirical orthogonal functions: Application to the Adriatic Sea surface temperature. Ocean. Model. 2005, 9, 325–346. [Google Scholar] [CrossRef]
- Barrick, D.; Fernandez, V.; Ferrer, M.I.; Whelan, C.; Breivik, O. A short-term predictive system for surface currents from a rapidly deployed coastal HF radar network. Ocean. Dyn. 2012, 62, 725–740. [Google Scholar] [CrossRef]
- Kaplan, D.M.; Lekien, F. Spatial interpolation and filtering of surface current data based on open-boundary modal analysis. J. Geophys. Res.-Ocean. 2007, 112, C12007. [Google Scholar] [CrossRef]
- Ohlmann, C.; White, P.; Washburn, L.; Emery, B.; Terrill, E.; Otero, M. Interpretation of Coastal HF Radar–Derived Surface Currents with High-Resolution Drifter Data. J. Atmos. Ocean. Technol. 2007, 24, 666–680. [Google Scholar] [CrossRef]
- Molcard, A.; Poulain, P.M.; Forget, P.; Griffa, A.; Barbin, Y.; Gaggelli, J.; Maistre, J.C.D.; Rixen, M. Comparison between VHF radar observations and data from drifter clusters in the Gulf of La Spezia (Mediterranean Sea). J. Mar. Syst. 2009, 78, S79–S89. [Google Scholar] [CrossRef]
- Corgnati, L.P.; Mantovani, C.; Griffa, A.; Berta, M.; Penna, P.; Celentano, P.; Bellomo, L.; Carlson, D.F.; D’Adamo, R. Implementation and Validation of the ISMAR High-Frequency Coastal Radar Network in the Gulf of Manfredonia (Mediterranean Sea). IEEE J. Ocean. Eng. 2019, 44, 424–445. [Google Scholar] [CrossRef]
- Capodici, F.; Cosoli, S.; Ciraolo, G.; Nasello, C.; Maltese, A.; Poulain, P.M.; Drago, A.; Azzopardi, J.; Gauci, A. Validation of HF radar sea surface currents in the Malta-Sicily Channel. Remote Sens. Environ. 2019, 225, 65–76. [Google Scholar] [CrossRef]
- Millot, C. Circulation in the Western Mediterranean Sea. J. Mar. Syst. 1999, 20, 423–442. [Google Scholar] [CrossRef]
- Astraldi, M.; Bianchi, C.N.; Gasparini, G.P.; Morri, C. Climatic fluctuations, current variability and marine species distribution—A case-study in the Ligurian sea (north-west Mediterranean). Oceanol. Acta 1995, 18, 139–149. [Google Scholar]
- Barth, A.; Alvera-Azcárate, A.; Rixen, M.; Beckers, J.M. Two-way nested model of mesoscale circulation features in the Ligurian Sea. Prog. Oceanogr. 2005, 66, 171–189. [Google Scholar] [CrossRef]
- Sammari, C.; Millot, C.; Prieur, L. Aspects of the seasonal and mesoscale variabilities of the Northern Current in the western Mediterranean Sea inferred from the PROLIG-2 and PROS-6 experiments. Deep. Sea Res. Part I Oceanogr. Res. Pap. 1995, 42, 893–917. [Google Scholar] [CrossRef]
- Sciascia, R.; Magaldi, M.G.; Vetrano, A. Current reversal and associated variability within the Corsica Channel: The 2004 case study. Deep. Sea Res. Part I Oceanogr. Res. Pap. 2019, 144, 39–51. [Google Scholar] [CrossRef]
- Astraldi, M.; Gasparini, G.P.; Manzella, G.M.R.; Hopkins, T.S. Temporal variability of currents in the eastern Ligurian Sea. J. Geophys. Res. Ocean. 1990, 95, 1515–1522. [Google Scholar] [CrossRef]
- Astraldi, M.; Gasparini, G.P. The seasonal characteristics of the circulation in the North Mediterranean Basin and their relationship with the atmospheric-climatic conditions. J. Geophys. Res. 1992, 97, 9531–9540. [Google Scholar] [CrossRef]
- Haza, A.C.; Özgökmen, T.M.; Griffa, A.; Molcard, A.; Poulain, P.M.; Peggion, G. Transport properties in small-scale coastal flows: Relative dispersion from VHF radar measurements in the Gulf of La Spezia. Ocean. Dyn. 2010, 60, 861–882. [Google Scholar] [CrossRef]
- Schroeder, K.; Chiggiato, J.; Haza, A.C.; Griffa, A.; Özgökmen, T.M.; Zanasca, P.; Molcard, A.; Borghini, M.; Poulain, P.M.; Gerin, R.; et al. Targeted Lagrangian sampling of submesoscale dispersion at a coastal frontal zone. Geophys. Res. Lett. 2012, 39, 1–6. [Google Scholar] [CrossRef]
- Ludwig, W.; Dumont, E.; Meybeck, M.; Heussner, S. River discharges of water and nutrients to the Mediterranean and Black Sea: Major drivers for ecosystem changes during past and future decades? Prog. Oceanogr. 2009, 80, 199–217. [Google Scholar] [CrossRef]
- Schmidt, R. Multiple emitter location and signal parameter estimation. IEEE Trans. Antennas Propag. 1986, 34, 276–280. [Google Scholar] [CrossRef]
- Lipa, B.; Nyden, B.; Ullman, D.S.; Terrill, E. SeaSonde Radial Velocities: Derivation and Internal Consistency. IEEE J. Ocean. Eng. 2006, 31, 850–861. [Google Scholar] [CrossRef]
- Abramovich, Y.I.; Johnson, B.A.; Mestre, X. DOA estimation in the small-sample threshold region. In Classical and Modern Direction-of-Arrival Estimation; Elsevier: Amsterdam, The Netherlands, 2009; pp. 219–287. [Google Scholar]
- Cosoli, S.; Mazzoldi, A.; Gačić, M. Validation of Surface Current Measurements in the Northern Adriatic Sea from High-Frequency Radars. J. Atmos. Ocean. Technol. 2010, 25, 908–919. [Google Scholar] [CrossRef]
- Cosoli, S.; Gačić, M.; Mazzoldi, A. Surface current variability and wind influence in the northeastern Adriatic Sea as observed from high-frequency (HF) radar measurements. Cont. Shelf Res. 2012, 33, 1–13. [Google Scholar] [CrossRef]
- Laws, K.; Paduan, J.; Vesecky, J. Estimation and Assessment of Errors Related to Antenna Pattern Distortion in CODAR SeaSonde High-Frequency Radar Ocean Current Measurements. J. Atmos. Ocean. Technol. 2010, 27, 1029–1043. [Google Scholar] [CrossRef]
- Corgnati, L.; Mantovani, C.; Novellino, A.; Rubio, A.; Mader, J. Recommendation Report 2 on Improved Common Procedures for HFR QC Analysis; IFREMER: Brest, France, 2018. [Google Scholar] [CrossRef]
- Kaplan, D.M.; Largier, J.; Botsford, L.W. HF radar observations of surface circulation off Bodega Bay (northern California, USA). J. Geophys. Res. Ocean. 2005, 110, C10020. [Google Scholar] [CrossRef]
- Lipa, B.; Barrick, D. Least-squares methods for the extraction of surface currents from CODAR crossed-loop data: Application at ARSLOE. IEEE J. Ocean. Eng. 1983, 8, 226–253. [Google Scholar] [CrossRef]
- Gurgel, K.W. Shipborne measurement of surface current fields by HF radar. In Proceedings of the OCEANS’94, Brest, France, 13–16 September 1994; Volume 3, pp. 3–23. [Google Scholar]
- Graber, H.C.; Haus, B.K.; Chapman, R.D.; Shay, L.K. HF radar comparisons with moored estimates of current speed and direction: Expected differences and implications. J. Geophys. Res. Ocean. 1997, 102, 18749–18766. [Google Scholar] [CrossRef]
- Lekien, F.; Coulliette, C.; Bank, R.; Marsden, J. Open-boundary modal analysis: Interpolation, extrapolation, and filtering. J. Geophys. Res. Ocean. 2004, 109, C12004. [Google Scholar] [CrossRef]
- Lipphardt, B., Jr.; Kirwan, A., Jr.; Grosch, C.; Lewis, J.; Paduan, J. Blending HF radar and model velocities in Monterey Bay through normal mode analysis. J. Geophys. Res. Ocean. 2000, 105, 3425–3450. [Google Scholar] [CrossRef]
- Chu, P.C.; Ivanov, L.M.; Korzhova, T.P.; Margolina, T.M.; Melnichenko, O.V. Analysis of sparse and noisy ocean current data using flow decomposition. Part I: Theory. J. Atmos. Ocean. Technol. 2003, 20, 478–491. [Google Scholar] [CrossRef]
- Novelli, G.; Guigand, C.M.; Cousin, C.; Ryan, E.H.; Laxague, N.J.M.; Dai, H.; Haus, B.K.; Özgökmen, T.M. A Biodegradable Surface Drifter for Ocean Sampling on a Massive Scale. J. Atmos. Ocean. Technol. 2017, 34, 2509–2532. [Google Scholar] [CrossRef]
- Lumpkin, R.; Özgökmen, T.; Centurioni, L. Advances in the Application of Surface Drifters. Annu. Rev. Mar. Sci. 2017, 9, 59–81. [Google Scholar] [CrossRef] [PubMed]
- Stewart, R.H.; Joy, J.W. HF radio measurements of surface currents. Deep. Sea Res. Oceanogr. Abstr. 1974, 21, 1039–1049. [Google Scholar] [CrossRef]
- Shrira, V.I.; Ivonin, D.V.; Broche, P.; de Maistre, J.C. On remote sensing of vertical shear of ocean surface currents by means of a Single-frequency VHF radar. Geophys. Res. Lett. 2001, 28, 3955–3958. [Google Scholar] [CrossRef]
- Ivonin, D.V.; Broche, P.; Devenon, J.L.; Shrira, V.I. Validation of HF radar probing of the vertical shear of surface currents by acoustic Doppler current profiler measurements. J. Geophys. Res. Ocean. 2004, 109, C04003. [Google Scholar] [CrossRef]
- Guérin, C.A.; Dumas, D.; Molcard, A.; Quentin, C.; Zakardjian, B.; Gramoullé, A.; Berta, M. High-Frequency Radar Measurements with CODAR in the Region of Nice: Improved Calibration and Performance. J. Atmos. Ocean. Technol. 2021, 38, 2003–2016. [Google Scholar] [CrossRef]
- Berta, M.; Bellomo, L.; Magaldi, M.G.; Griffa, A.; Molcard, A.; Marmain, J.; Borghini, M.; Taillandier, V. Estimating Lagrangian transport blending drifters with HF radar data and models: Results from the TOSCA experiment in the Ligurian Current (North Western Mediterranean Sea). Prog. Oceanogr. 2014, 128, 15–29. [Google Scholar] [CrossRef]
- Lorente, P.; Soto-Navarro, J.; Fanjul, E.A.; Piedracoba, S. Accuracy assessment of high frequency radar current measurements in the Strait of Gibraltar. J. Oper. Oceanogr. 2014, 7, 59–73. [Google Scholar] [CrossRef]
- Lorente, P.; Piedracoba, S.; Fanjul, E.A. Validation of high-frequency radar ocean surface current observations in the NW of the Iberian Peninsula. Cont. Shelf Res. 2015, 92, 1–15. [Google Scholar] [CrossRef]
- Lana, A.; Marmain, J.; Fernández, V.; Tintoré, J.; Orfila, A. Wind influence on surface current variability in the Ibiza Channel from HF Radar. Ocean. Dyn. 2016, 66, 483–497. [Google Scholar] [CrossRef]
- Kalampokis, A.; Uttieri, M.; Poulain, P.M.; Zambianchi, E. Validation of HF Radar-Derived Currents in the Gulf of Naples with Lagrangian Data. IEEE Geosci. Remote Sens. Lett. 2016, 13, 1452–1456. [Google Scholar] [CrossRef]
- Vissenaekens, E.; Guizien, K.; Durrieu de Madron, X.; Pairaud, I.; Leredde, Y.; Puig, P.; Bourrin, F. Accuracy of high resolution coastal flow speed simulations during and outside of wind, wave and stratification events (Gulf of Lion, NW Mediterranean). J. Mar. Syst. 2023, 239, 103845. [Google Scholar] [CrossRef]
- Rypina, I.I.; Kirincich, A.R.; Limeburner, R.; Udovydchenko, I.A. Eulerian and Lagrangian Correspondence of High-Frequency Radar and Surface Drifter Data: Effects of Radar Resolution and Flow Components. J. Atmos. Ocean. Technol. 2014, 31, 945–966. [Google Scholar] [CrossRef][Green Version]
- Roarty, H.; Allen, A.A.; Glenn, S.; Kohut, J.T.; Nazzaro, L.; Fredj, E. Evaluation of Environmental Data for Search and Rescue II. In Proceedings of the 2018 OCEANS—MTS/IEEE Kobe Techno-Oceans (OTO), Kobe, Japan, 28–31 May 2018; pp. 1–3. [Google Scholar]
- von Schuckmann, K.; Le Traon, P.-Y.; Smith, N.; Pascual, A.; Djavidnia, S.; Gattuso, J.P.; Grégoire, M.; Nolan, G.; Aaboe, S.; Fanjul, E.Á.; et al. Copernicus Marine Service Ocean State Report, Issue 4. J. Oper. Oceanogr. 2020, 13, S1–S172. [Google Scholar] [CrossRef]
- Liu, Y.; Weisberg, R.H. Evaluation of trajectory modeling in different dynamic regions using normalized cumulative Lagrangian separation. J. Geophys. Res. Ocean. 2011, 116, C9. [Google Scholar] [CrossRef]
- Shen, Y.T.; Lai, J.W.; Leu, L.G.; Lu, Y.C.; Chen, J.M.; Shao, H.J.; Chen, H.W.; Chang, K.T.; Terng, C.T.; Chang, Y.C.; et al. Applications of ocean currents data from high-frequency radars and current profilers to search and rescue missions around Taiwan. J. Oper. Oceanogr. 2019, 12, S126–S136. [Google Scholar] [CrossRef]
- Révelard, A.; Reyes, E.; Mourre, B.; Hernández-Carrasco, I.; Rubio, A.; Lorente, P.; Fernández, C.D.L.; Mader, J.; Álvarez-Fanjul, E.; Tintoré, J. Sensitivity of Skill Score Metric to Validate Lagrangian Simulations in Coastal Areas: Recommendations for Search and Rescue Applications. Front. Mar. Sci. 2021, 8, 630388. [Google Scholar] [CrossRef]
- Chen, A.; Barham, W.; Grooms, I. Comparing Eddy-Permitting Ocean Model Parameterizations via Lagrangian Particle Statistics in a Quasigeostrophic Setting. J. Geophys. Res. Ocean. 2018, 123, 5637–5651. [Google Scholar] [CrossRef]
- Pereiro, D.; Souto, C.; Gago, J. Calibration of a marine floating litter transport model. J. Oper. Oceanogr. 2018, 11, 125–133. [Google Scholar] [CrossRef]
- Tamtare, T.; Dumont, D.; Chavanne, C. Extrapolating Eulerian ocean currents for improving surface drift forecasts. J. Oper. Oceanogr. 2021, 14, 71–85. [Google Scholar] [CrossRef]
- Lipa, B.; Whelan, C.; Rector, B.; Nyden, B. HF Radar Bistatic Measurement of Surface Current Velocities: Drifter Comparisons and Radar Consistency Checks. Remote Sens. 2009, 1, 1190–1211. [Google Scholar] [CrossRef]
- Morey, S.L.; Wienders, N.; Dukhovskoy, D.S.; Bourassa, M.A. Measurement Characteristics of Near-Surface Currents from Ultra-Thin Drifters, Drogued Drifters, and HF Radar. Remote Sens. 2018, 10, 1633. [Google Scholar] [CrossRef]
- Marmain, J.; Molcard, A.; Forget, P.; Barth, A.; Ourmières, Y. Assimilation of HF radar surface currents to optimize forcing in the northwestern Mediterranean Sea. Nonlinear Processes Geophys. 2014, 21, 659–675. [Google Scholar] [CrossRef]
- Fredj, E.; Kohut, J.; Roarty, H.; Lu, J.W. Evaluation of the HF-Radar Network System around Taiwan using Normalized Cumulative Lagrangian Separation. Int. J. Oceanogr. Aquac. 2017, 1, 1–8. [Google Scholar] [CrossRef]
- Roarty, H.; Allen, A.; Glenn, S.; Kohut, J.; Nazzaro, L.; Fredj, E. Evaluation of environmental data for search and rescue. In Proceedings of the OCEANS 2016, Shanghai, China, 10–13 April 2016; pp. 1–3. [Google Scholar] [CrossRef]
- Sotillo, M.G.; Amo-Baladrón, A.; Padorno, E.; García-Ladona, E.; Orfila, A.; Rodríguez-Rubio, P.; Conti, D.; Madrid, J.J.; De los Santos, F.J.; Fanjul, E.A. How is the surface Atlantic water inflow through the Gibraltar Strait forecasted? A lagrangian validation of operational oceanographic services in the Alboran Sea and the Western Mediterranean. Deep. Sea Res. Part II Top. Stud. Oceanogr. 2016, 133, 100–117. [Google Scholar] [CrossRef]
- French-McCay, D.P.; Tajalli-Bakhsh, T.; Jayko, K.; Spaulding, M.L.; Li, Z. Validation of oil spill transport and fate modeling in Arctic ice. Arct. Sci. 2018, 4, 71–97. [Google Scholar] [CrossRef]
- Bendoni, M.; Moore, A.M.; Molcard, A.; Magaldi, M.G.; Fattorini, M.; Brandini, C. 4D-Var data assimilation and observation impact on surface transport of HF-Radar derived surface currents in the North-Western Mediterranean Sea. Ocean. Model. 2023, 184, 102236. [Google Scholar] [CrossRef]










| Site Code | VIAR | TINO | PCOR |
|---|---|---|---|
| Coordinates | LAT: 43°51′29″N LON: 10°14′14″E | LAT: 44°1′35″N LON: 9°50′57″E | LAT: 44°8′36″N LON: 9°39′34″E |
| Central Freq. | 26.275 MHz | 26.275 MHz | 26.275 MHz |
| Bandwidth | 150 kHz | 150 kHz | 150 kHz |
| Radial Resolution | 1 km | 1 km | 1 km |
| Angular Resolution | 5° | 5° | 5° |
| Sweep Rate | 2 Hz | 2 Hz | 2 Hz |
| PPS Align | 2600 microsec | 1300 microsec | 100 microsec |
| TINO | VIAR | |
|---|---|---|
| N | 2122 (2189) | 224 (380) |
| [m/s] | 0.23 (0.21) | 0.10 (0.09) |
| [m/s] | −0.03 (−0.02) | 0.00 (0.00) |
| [m/s] | 0.12 (0.15) | 0.05 (0.06) |
| 0.52 (0.63) | 0.50 (0.67) | |
| 0.86 (0.77) | 0.81 (0.74) |
| O Sub-Domain, | |||
|---|---|---|---|
| N | 601 (721) | 601 (721) | 601 (721) |
| [m/s] | 0.19 (0.19) | 0.09 (0.08) | 0.17 (0.17) |
| [m/s] | −0.04 (−0.06) | −0.01 (−0.01) | −0.05 (−0.08) |
| [m/s] | 0.06 (0.07) | 0.05 (0.06) | 0.06 (0.09) |
| 0.32 (0.37) | 0.56 (0.75) | 0.35 (0.53) | |
| 0.75 (0.79) | 0.69 (0.58) | 0.73 (0.67) | |
| O Sub-Domain, | |||
|---|---|---|---|
| N | 834 (834) | 834 (834) | 834 (834) |
| [m/s] | 0.19 (0.19) | 0.08 (0.08) | 0.17 (0.17) |
| [m/s] | −0.04 (−0.06) | 0.01 (0.01) | −0.04 (−0.08) |
| [m/s] | 0.05 (0.07) | 0.05 (0.07) | 0.06 (0.09) |
| 0.26 (0.37) | 0.63 (0.87) | 0.35 (0.53) | |
| 0.78 (0.71) | 0.58 (0.42) | 0.78 (0.60) | |
| F–O Sub-Domain, | |||
|---|---|---|---|
| N | 846 (846) | 846 (846) | 846 (846) |
| [m/s] | 0.36 (0.36) | 0.29 (0.29) | 0.22 (0.22) |
| [m/s] | −0.15 (−0.15) | 0.12 (0.12) | −0.12 (−0.12) |
| [m/s] | 0.19 (0.20) | 0.18 (0.18) | 0.18 (0.18) |
| 0.53 (0.56) | 0.62 (0.62) | 0.82 (0.82) | |
| 0.48 (0.40) | 0.26 (0.37) | 0.29 (0.36) | |
| F Domain, | |||
|---|---|---|---|
| N | 1680 (1680) | 1680 (1680) | 1680 (1680) |
| [m/s] | 0.29 (0.29) | 0.21 (0.21) | 0.20 (0.20) |
| [m/s] | −0.10 (−0.11) | 0.06 (0.06) | −0.08 (−0.10) |
| [m/s] | 0.14 (0.15) | 0.14 (0.14) | 0.13 (0.14) |
| 0.48 (0.52) | 0.67 (0.67) | 0.65 (0.70) | |
| 0.59 (0.57) | 0.55 (0.54) | 0.34 (0.38) | |
Disclaimer/Publisher’s Note: The statements, opinions and data contained in all publications are solely those of the individual author(s) and contributor(s) and not of MDPI and/or the editor(s). MDPI and/or the editor(s) disclaim responsibility for any injury to people or property resulting from any ideas, methods, instructions or products referred to in the content. |
© 2024 by the authors. Licensee MDPI, Basel, Switzerland. This article is an open access article distributed under the terms and conditions of the Creative Commons Attribution (CC BY) license (https://creativecommons.org/licenses/by/4.0/).
Share and Cite
Corgnati, L.; Berta, M.; Kokkini, Z.; Mantovani, C.; Magaldi, M.G.; Molcard, A.; Griffa, A. Assessment of OMA Gap-Filling Performances for Multiple and Single Coastal HF Radar Systems: Validation with Drifter Data in the Ligurian Sea. Remote Sens. 2024, 16, 2458. https://doi.org/10.3390/rs16132458
Corgnati L, Berta M, Kokkini Z, Mantovani C, Magaldi MG, Molcard A, Griffa A. Assessment of OMA Gap-Filling Performances for Multiple and Single Coastal HF Radar Systems: Validation with Drifter Data in the Ligurian Sea. Remote Sensing. 2024; 16(13):2458. https://doi.org/10.3390/rs16132458
Chicago/Turabian StyleCorgnati, Lorenzo, Maristella Berta, Zoi Kokkini, Carlo Mantovani, Marcello G. Magaldi, Anne Molcard, and Annalisa Griffa. 2024. "Assessment of OMA Gap-Filling Performances for Multiple and Single Coastal HF Radar Systems: Validation with Drifter Data in the Ligurian Sea" Remote Sensing 16, no. 13: 2458. https://doi.org/10.3390/rs16132458
APA StyleCorgnati, L., Berta, M., Kokkini, Z., Mantovani, C., Magaldi, M. G., Molcard, A., & Griffa, A. (2024). Assessment of OMA Gap-Filling Performances for Multiple and Single Coastal HF Radar Systems: Validation with Drifter Data in the Ligurian Sea. Remote Sensing, 16(13), 2458. https://doi.org/10.3390/rs16132458

