Evaluation of Two Satellite Surface Solar Radiation Products in the Urban Region in Beijing, China
Abstract
1. Introduction
2. Data and Methods
2.1. Site Observations
2.1.1. Site Description and Measure Instruments
2.1.2. Data Quality Control Procedure
- Missing test
- 2.
- Physically possible limits test
- 3.
- Solar tracker malfunction test
- 4.
- Comparison test
2.2. Satellite Products
2.2.1. Himawari-8(H8) Satellite Products
2.2.2. MODIS Products
2.3. Evaluation Methods
3. Establishment of Ground Measurements
3.1. Data Quality of BNU Site Measurement
3.2. Establishment of Ground Measurements at Different Time Scales
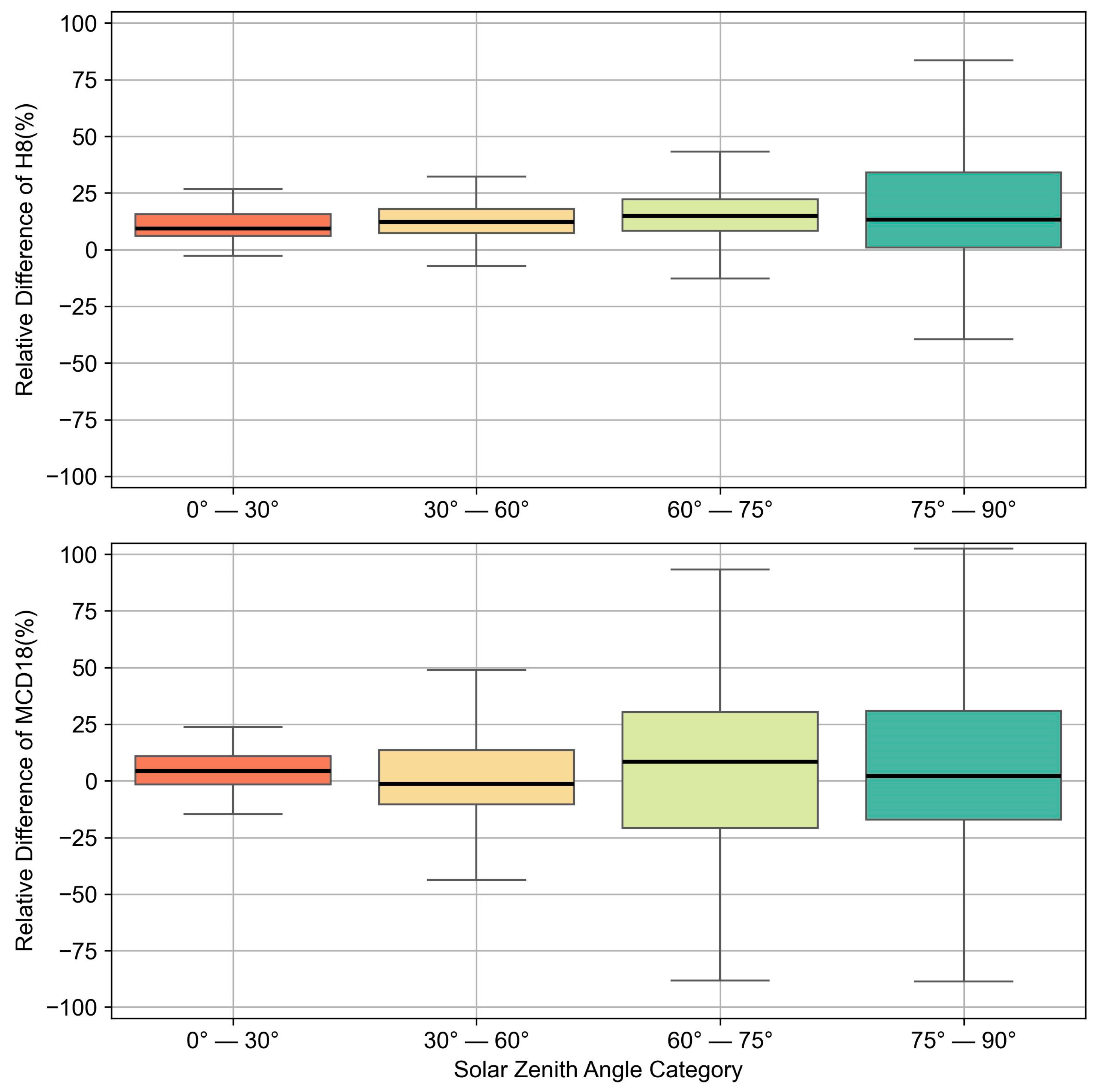
4. Evaluation of Satellite Retrieval Product Using Ground Measurements
5. Discussion and Conclusions
Author Contributions
Funding
Data Availability Statement
Conflicts of Interest
References
- Tan, Y.; Wang, Q.; Zhang, Z. Near-real-time estimation of global horizontal irradiance from Himawari-8 satellite data. Renew. Energy 2023, 215, 118994. [Google Scholar] [CrossRef]
- Wild, M.; Gilgen, H.; Roesch, A.; Ohmura, A.; Long, C.N.; Dutton, E.G.; Forgan, B.; Kallis, A.; Russak, V.; Tsvetkov, A. From dimming to brightening: Decadal changes in solar radiation at Earth’s surface. Science 2005, 308, 847–850. [Google Scholar] [CrossRef] [PubMed]
- Wild, M.; Roesch, A.; Ammann, C. Global dimming and brightening—Evidence and agricultural implications. CABI Rev. Perspect. Agric. Vet. Sci. Nutr. Nat. Resour. 2012, 7, 1–7. [Google Scholar] [CrossRef]
- Reindl, D.T.; Beckman, W.A.; Duffie, J.A. Diffuse fraction correlations. Sol. Energy 1990, 45, 1–7. [Google Scholar] [CrossRef]
- Pandey, C.K.; Katiyar, A.K. Solar Radiation: Models and Measurement Techniques. J. Energy 2013, 2013, 305207. [Google Scholar] [CrossRef]
- Badescu, V.J.S. Modeling Solar Radiation at the Earth’s Surface; Springer: Berlin/Heidelberg, Germany, 2008. [Google Scholar]
- Paulescu, M.; Paulescu, E.; Gravila, P.; Badescu, V. Solar Radiation Measurements. In Weather Modeling and Forecasting of PV Systems Operation; Springer: London, UK, 2013; pp. 17–42. [Google Scholar]
- Feng, F.; Wang, K. Determining Factors of Monthly to Decadal Variability in Surface Solar Radiation in China: Evidences from Current Reanalyses. Amer Geophys. Union 2019, 124, 9161–9182. [Google Scholar] [CrossRef]
- Jiang, H.; Yang, Y.; Wang, H.; Bai, Y.; Bai, Y. Surface Diffuse Solar Radiation Determined by Reanalysis and Satellite over East Asia: Evaluation and Comparison. Remote Sens. 2020, 12, 1387. [Google Scholar] [CrossRef]
- Sianturi, Y.; Marjuki; Sartika, K. Evaluation of ERA5 and MERRA2 reanalyses to estimate solar irradiance using ground observations over Indonesia region. AIP Conf. Proc. 2020, 2223, 020002. [Google Scholar] [CrossRef]
- Yang, D.; Bright, J.M. Worldwide validation of 8 satellite-derived and reanalysis solar radiation products: A preliminary evaluation and overall metrics for hourly data over 27 years. Sol. Energy 2020, 210, 3–19. [Google Scholar] [CrossRef]
- Huang, L.; Kang, J.; Wan, M.; Fang, L.; Zhang, C.; Zeng, Z. Solar Radiation Prediction Using Different Machine Learning Algorithms and Implications for Extreme Climate Events. Front. Earth Sci. 2021, 9, 596860. [Google Scholar] [CrossRef]
- Demir, V.; Citakoglu, H. Forecasting of solar radiation using different machine learning approaches. Neural Comput. Appl. 2023, 35, 887–906. [Google Scholar] [CrossRef]
- Yang, D.; Gueymard, C.A. Producing high-quality solar resource maps by integrating high- and low-accuracy measurements using Gaussian processes. Renew. Sustain. Energy Rev. 2019, 113, 109260. [Google Scholar] [CrossRef]
- Huang, G.; Li, Z.; Li, X.; Liang, S.; Yang, K.; Wang, D.; Zhang, Y. Estimating surface solar irradiance from satellites: Past, present, and future perspectives. Remote Sens. Environ. 2019, 233, 111371. [Google Scholar] [CrossRef]
- Letu, H.; Nakajima, T.Y.; Wang, T.; Shang, H.; Ma, R.; Yang, K.; Baran, A.J.; Riedi, J.; Ishimoto, H.; Yoshida, M.; et al. A New Benchmark for Surface Radiation Products over the East Asia–Pacific Region Retrieved from the Himawari-8/AHI Next-Generation Geostationary Satellite. Bull. Am. Meteorol. Soc. 2022, 103, E873–E888. [Google Scholar] [CrossRef]
- Babar, B.; Graversen, R.; Boström, T. Solar radiation estimation at high latitudes: Assessment of the CMSAF databases, ASR and ERA5. Sol. Energy 2019, 182, 397–411. [Google Scholar] [CrossRef]
- Urraca, R.; Huld, T.; Gracia-Amillo, A.; Martinez-de-Pison, F.J.; Kaspar, F.; Sanz-Garcia, A. Evaluation of global horizontal irradiance estimates from ERA5 and COSMO-REA6 reanalyses using ground and satellite-based data. Sol. Energy 2018, 164, 339–354. [Google Scholar] [CrossRef]
- Ouhechou, A.; Philippon, N.; Morel, B.; Trentmann, J.; Graillet, A.; Mariscal, A.; Nouvellon, Y. Inter-comparison and validation against in-situ measurements of satellite estimates of incoming solar radiation for Central Africa: From the annual means to the diurnal cycles. Atmos. Res. 2023, 287, 106711. [Google Scholar] [CrossRef]
- Li, Z.; Yang, X.; Tang, H. Evaluation of the hourly ERA5 radiation product and its relationship with aerosols over China. Atmos. Res. 2023, 294, 106941. [Google Scholar] [CrossRef]
- Wild, M. Decadal changes in radiative fluxes at land and ocean surfaces and their relevance for global warming. Wiley Interdiplinary Rev. Clim. Change 2016, 7, 91–107. [Google Scholar] [CrossRef]
- Tang, W.; He, J.; Qi, J.; Yang, K. A dense station-based, long-term and high-accuracy dataset of daily surface solar radiation in China. Earth Syst. Sci. Data 2023, 15, 4537–4551. [Google Scholar] [CrossRef]
- Driemel, A.; Augustine, J.; Behrens, K.; Colle, S.; Cox, C.; Cuevas-Agulló, E.; Denn, F.M.; Duprat, T.; Fukuda, M.; Grobe, H.; et al. Baseline Surface Radiation Network (BSRN): Structure and data description (1992–2017). Earth Syst. Sci. Data 2018, 10, 1491–1501. [Google Scholar] [CrossRef]
- Augustine, J.A.; DeLuisi, J.J.; Long, C.N. SURFRAD–A National Surface Radiation Budget Network for Atmospheric Research. Bull. Am. Meteorol. Soc. 2000, 81, 2341–2358. [Google Scholar] [CrossRef]
- Augustine, J.A.; Hodges, G.B.; Cornwall, C.R.; Michalsky, J.J.; Medina, C.I. An Update on SURFRAD—The GCOS Surface Radiation Budget Network for the Continental United States. J. Atmos. Ocean. Technol. 2005, 22, 1460–1472. [Google Scholar] [CrossRef]
- Bawazir, R.O.; Çetin, N.S. Investigation of Horizontal Solar Radiation Data Source in the World. In Proceedings of the 2020 2nd International Conference on Photovoltaic Science and Technologies (PVCon), Ankara, Turkey, 30 November–2 December 2020; pp. 1–5. [Google Scholar]
- Tsvetkov, A.; Wilcox, S.; Renne, D.; Pulscak, M. International Solar Resource Data at the World Radiation Data Center; American Solar Energy Society: Boulder, CO, USA, 1995. [Google Scholar]
- Gilgen, H.; Ohmura, A. The global energy balance archive. Bull. Amer. Meteor. Soc. 1999, 80, 831–850. [Google Scholar] [CrossRef]
- Wild, M.; Ohmura, A.; Schär, C.; Müller, G.; Folini, D.; Schwarz, M.; Hakuba, M.Z.; Sanchez-Lorenzo, A. The Global Energy Balance Archive (GEBA) version 2017: A database for worldwide measured surface energy fluxes. AIP Conf. Proc. 2017, 9, 601–613. [Google Scholar] [CrossRef]
- He, Y.; Wang, K. Variability in Direct and Diffuse Solar Radiation Across China From 1958 to 2017. Geophys. Res. Lett. 2020, 47, e2019GL084570. [Google Scholar] [CrossRef]
- Tang, W.; Yang, K.; Qin, J.; Li, X.; Niu, X. A 16-year dataset (2000–2015) of high-resolution (3 h, 10 km) global surface solar radiation. Earth Syst. Sci. Data 2019, 11, 1905–1915. [Google Scholar] [CrossRef]
- Wang, Y.; Zhang, J.; Trentmann, J.; Fiedler, S.; Yang, S.; Sanchez-Lorenzo, A.; Tanaka, K.; Yuan, W.; Wild, M. Observations and Implications of Diurnal Climatology and Trends in Direct and Diffuse Solar Radiation Over China. Amer Geophys. Union 2022, 127, e2022JD036769. [Google Scholar] [CrossRef]
- Wang, K.; Ma, Q.; Wang, X.; Wild, M. Urban impacts on mean and trend of surface incident solar radiation. Geophys. Res. Lett. 2014, 41, 4664–4668. [Google Scholar] [CrossRef]
- Wang, L.; Wang, K. Impacts of DEM uncertainty on estimated surface solar radiation and extracted river network. Bull. Am. Meteorol. Soc. 2015, 96, 297–304. [Google Scholar] [CrossRef]
- Liang, S.; Wang, D.; He, T.; Yu, Y. Remote sensing of earth’s energy budget: Synthesis and review. Int. J. Digit. Earth 2019, 12, 737–780. [Google Scholar] [CrossRef]
- Cao, Q.; Liu, Y.; Sun, X.; Yang, L. Country-level evaluation of solar radiation data sets using ground measurements in China. Energy 2022, 241, 122938. [Google Scholar] [CrossRef]
- Jia, B.; Xie, Z.; Dai, A.; Shi, C.; Chen, F. Evaluation of satellite and reanalysis products of downward surface solar radiation over East Asia: Spatial and seasonal variations. J. Geophys. Res. Atmos. 2013, 118, 3431–3446. [Google Scholar] [CrossRef]
- Zhang, Y.; Rossow, W.B.; Lacis, A.A.; Oinas, V.; Mishchenko, M.I. Calculation of radiative fluxes from the surface to top of atmosphere based on ISCCP and other global data sets: Refinements of the radiative transfer model and the input data. J. Geophys. Res. Atmos. 2004, 109, D19105. [Google Scholar] [CrossRef]
- Wang, D.; Liang, S.; Zhang, Y.; Gao, X.; Brown, M.G.L.; Jia, A. A New Set of MODIS Land Products (MCD18): Downward Shortwave Radiation and Photosynthetically Active Radiation. Remote Sens. 2020, 12, 168. [Google Scholar] [CrossRef]
- Smith, G.; Priestley, K.; Loeb, N.; Wielicki, B.; Charlock, T.; Minnis, P.; Doelling, D.; Rutan, D.A. Clouds and Earth Radiant Energy System (CERES), a review: Past, present and future. Adv. Space Res. 2011, 48, 254–263. [Google Scholar] [CrossRef]
- Letu, H.; Yang, K.; Nakajima, T.Y.; Ishimoto, H.; Nagao, T.M.; Riedi, J.; Baran, A.J.; Ma, R.; Wang, T.; Shang, H.; et al. High-resolution retrieval of cloud microphysical properties and surface solar radiation using Himawari-8/AHI next-generation geostationary satellite. Remote Sens. Environ. 2020, 239, 111583. [Google Scholar] [CrossRef]
- Peng, Z.; Letu, H.; Wang, T.; Shi, C.; Zhao, C.; Tana, G.; Zhao, N.; Dai, T.; Tang, R.; Shang, H.; et al. Estimation of shortwave solar radiation using the artificial neural network from Himawari-8 satellite imagery over China. J. Quant. Spectrosc. Radiat. Transf. 2020, 240, 106672. [Google Scholar] [CrossRef]
- Liang, S.; Cheng, J.; Jia, K.; Jiang, B.; Liu, Q.; Xiao, Z.; Yao, Y.; Yuan, W.; Zhang, X.; Zhao, X.; et al. The Global Land Surface Satellite (GLASS) Product Suite. Bull. Am. Meteorol. Soc. 2021, 102, E323–E337. [Google Scholar] [CrossRef]
- Huang, C.; Shi, H.; Yang, D.; Gao, L.; Zhang, P.; Fu, D.; Xia, X.; Chen, Q.; Yuan, Y.; Liu, M.; et al. Retrieval of sub-kilometer resolution solar irradiance from Fengyun-4A satellite using a region-adapted Heliosat-2 method. Sol. Energy 2023, 264, 112038. [Google Scholar] [CrossRef]
- Polo, J.; Zarzalejo, L.F.; Ramírez, L. Solar Radiation Derived from Satellite Images. In Modeling Solar Radiation at the Earth’s Surface: Recent Advances; Badescu, V., Ed.; Springer: Berlin/Heidelberg, Germany, 2008; pp. 449–462. [Google Scholar]
- Carpentieri, A.; Folini, D.; Wild, M.; Vuilleumier, L.; Meyer, A. Satellite-derived solar radiation for intra-hour and intra-day applications: Biases and uncertainties by season and altitude. Sol. Energy 2023, 255, 274–284. [Google Scholar] [CrossRef]
- Yang, S.; Zhang, X.; Guan, S.; Zhao, W.; Duan, Y.; Yao, Y.; Jia, K.; Jiang, B. A review and comparison of surface incident shortwave radiation from multiple data sources: Satellite retrievals, reanalysis data and GCM simulations. Int. J. Digit. Earth 2023, 16, 1332–1357. [Google Scholar] [CrossRef]
- Wang, L.; Gao, Z.; Miao, S.; Guo, X.; Sun, T.; Liu, M.; Li, D. Contrasting characteristics of the surface energy balance between the urban and rural areas of Beijing. Adv. Atmos. Sci. 2015, 32, 505–514. [Google Scholar] [CrossRef]
- Tang, X.; Cui, Y.; Li, N.; Fu, Y.; Liu, X.; Run, Y.; Li, M.; Zhao, G.; Dong, J. Human Activities Enhance Radiation Forcing through Surface Albedo Associated with Vegetation in Beijing. Remote Sens. 2020, 12, 837. [Google Scholar] [CrossRef]
- Gong, C.; Xin, J.; Wang, S.; Wang, Y.; Wang, P.; Wang, L.; Li, P. The aerosol direct radiative forcing over the Beijing metropolitan area from 2004 to 2011. J. Aerosol Sci. 2014, 69, 62–70. [Google Scholar] [CrossRef]
- Zhou, M.; Chen, Z.; Huang, R.; Wang, Q.; Arimoto, R.; Parungo, F.; Lenschow, D.; Okada, K.; Wu, P. Effects of two dust storms on solar radiation in the Beijing-Tianjin area. Geophys. Res. Lett. 1994, 21, 2697–2700. [Google Scholar] [CrossRef]
- Che, H.; Xia, X.; Zhao, H.; Li, L.; Gui, K.; Zheng, Y.; Song, J.; Qi, B.; Zhu, J.; Miao, Y.; et al. Aerosol optical and radiative properties and their environmental effects in China: A review. Earth-Sci. Rev. 2024, 248, 104634. [Google Scholar] [CrossRef]
- Zhong, J.; Zhang, X.; Wang, Y.; Liu, C.; Dong, Y. Heavy aerosol pollution episodes in winter Beijing enhanced by radiative cooling effects of aerosols. Atmos. Res. 2018, 209, 59–64. [Google Scholar] [CrossRef]
- Si-Ya, S.; Jing, Z. All-Sky Direct Radiative Effects of Urban Aerosols in Beijing and Shanghai, China. Atmos. Ocean. Sci. Lett. 2015, 8, 295–300. [Google Scholar] [CrossRef]
- Hu, B.; Wang, Y.; Liu, G. Variation characteristics of ultraviolet radiation derived from measurement and reconstruction in Beijing, China. Tellus B Chem. Phys. Meteorol. 2010, 62, 100–108. [Google Scholar] [CrossRef]
- Wang, Y.; Yang, S.; Sanchez-Lorenzo, A.; Yuan, W.; Wild, M. A Revisit of Direct and Diffuse Solar Radiation in China Based on Homogeneous Surface Observations: Climatology, Trends, and Their Probable Causes. J. Geophys. Res. Atmos. 2020, 125, e2020JD032634. [Google Scholar] [CrossRef]
- Yang, X.; Zhao, C.; Zhou, L.; Wang, Y.; Liu, X. Distinct impact of different types of aerosols on surface solar radiation in China. J. Geophys. Res. Atmos. 2016, 121, 6459–6471. [Google Scholar] [CrossRef]
- He, Y.; Wang, K.; Zhou, C.; Wild, M. A Revisit of Global Dimming and Brightening Based on the Sunshine Duration. Geophys. Res. Lett. 2018, 45, 4281–4289. [Google Scholar] [CrossRef]
- Che, H.Z.; Shi, G.Y.; Zhang, X.Y.; Arimoto, R.; Zhao, J.Q.; Xu, L.; Wang, B.; Chen, Z.H. Analysis of 40 years of solar radiation data from China, 1961–2000. Geophys. Res. Lett 2005, 32, 2341–2352. [Google Scholar] [CrossRef]
- Hou, N.; Zhang, X.; Zhang, W.; Xu, J.; Feng, C.; Yang, S.; Jia, K.; Yao, Y.; Cheng, J.; Jiang, B.J.S. A new long-term downward surface solar radiation dataset over China from 1958 to 2015. Sensors 2020, 20, 6167. [Google Scholar] [CrossRef]
- Stanhill, G.; Cohen, S. Global dimming: A review of the evidence for a widespread and significant reduction in global radiation with discussion of its probable causes and possible agricultural consequences. Agric. For. Meteorol. 2001, 107, 255–278. [Google Scholar] [CrossRef]
- Liepert, B.G. Observed reductions of surface solar radiation at sites in the United States and worldwide from 1961 to 1990. Geophys. Res. Lett. 2002, 29, 61–64. [Google Scholar] [CrossRef]
- Tang, W.; Yang, K.; Qin, J.; Cheng, C.C.K.; He, J. Solar radiation trend across China in recent decades: A revisit with quality-controlled data. Atmos. Chem. Phys. 2011, 11, 393–406. [Google Scholar] [CrossRef]
- García, R.D.; Cuevas, E.; Ramos, R.; Cachorro, V.E.; Redondas, A.; Moreno-Ruiz, J.A. Description of the Baseline Surface Radiation Network (BSRN) station at the Izaña Observatory (2009–2017): Measurements and quality control/assurance procedures. Geosci. Instrum. Methods Data Syst. 2019, 8, 77–96. [Google Scholar] [CrossRef]
- Ohmura, A.; Dutton, E.G.; Forgan, B.; Fröhlich, C.; Gilgen, H.; Hegner, H.; Heimo, A.; König-Langlo, G.; McArthur, B.; Müller, G.; et al. Baseline Surface Radiation Network (BSRN/WCRP): New precision radiometry for climate research. Clim. Res. Bull. Am. Meteorol. Soc. 1998, 79, 2115–2136. [Google Scholar] [CrossRef]
- Liu, M.; Fan, X.; Xia, X.; Zhang, J.; Li, J. Value-Added Products Derived from 15 Years of High-Quality Surface Solar Radiation Measurements at Xianghe, a Suburban Site in the North China Plain. Adv. Atmos. Sci. 2023, 40, 1132–1141. [Google Scholar] [CrossRef]
- Quan, W.; Wang, Z.; Qiao, L.; Zheng, X.; Jin, J.; Li, Y.; Yin, X.; Ma, Z.; Wild, M. A quality-assured dataset of nine radiation components observed at the Shangdianzi regional GAW station in China (2013–2022). Earth Syst. Sci. Data 2024, 16, 961–983. [Google Scholar] [CrossRef]
- Long, C.; Shi, Y. The QCRad value added product: Surface radiation measurement quality control testing, including climatology configurable limits. Atmos. Radiat. Meas. Program Tech. Rep. 2006. [Google Scholar] [CrossRef]
- Long, C.N.; Dutton, E.G. BSRN Global Network Recommended QC Tests, V2.x; PANGAEA: Bremerhaven, Germany, 2002. [Google Scholar]
- Philipona, R. Underestimation of solar global and diffuse radiation measured at Earth’s surface. J. Geophys. Res. Atmos. 2002, 107, ACL 15-1–ACL 15-8. [Google Scholar] [CrossRef]
- Kratz, D.P.; Gupta, S.K.; Wilber, A.C.; Sothcott, V.E. Validation of the CERES edition 2B surface-only flux algorithms. J. Appl. Meteorol. Climatol. 2010, 49, 164–180. [Google Scholar] [CrossRef]
- Damiani, A.; Irie, H.; Horio, T.; Takamura, T.; Khatri, P.; Takenaka, H.; Nagao, T.; Nakajima, T.Y.; Cordero, R.R. Evaluation of Himawari-8 surface downwelling solar radiation by ground-based measurements. Atmos. Meas. Tech. 2018, 11, 2501–2521. [Google Scholar] [CrossRef]
- Yu, Y.; Shi, J.; Wang, T.; Letu, H.; Yuan, P.; Zhou, W.; Hu, L. Evaluation of the himawari-8 shortwave downward radiation (swdr) product and its comparison with the ceres-syn, merra-2, and era-interim datasets. IEEE J. Sel. Top. Appl. Earth Obs. Remote Sens. 2018, 12, 519–532. [Google Scholar] [CrossRef]
- Bessho, K.; Date, K.; Hayashi, M.; Ikeda, A.; Imai, T.; Inoue, H.; Kumagai, Y.; Miyakawa, T.; Murata, H.; Ohno, T.; et al. An Introduction to Himawari-8/9-Japan’s New-Generation Geostationary Meteorological Satellites. J. Meteorol. Soc. Japan. Ser. II 2016, 94, 151–183. [Google Scholar] [CrossRef]
- Shi, H.; Li, W.; Fan, X.; Zhang, J.; Hu, B.; Husi, L.; Shang, H.; Han, X.; Song, Z.; Zhang, Y.J.S.E. First assessment of surface solar irradiance derived from Himawari-8 across China. Sol. Energy 2018, 174, 164–170. [Google Scholar] [CrossRef]
- Qin, Y.; Huang, J.; McVicar, T.R.; West, S.; Khan, M.; Steven, A.D.J.S.E. Estimating surface solar irradiance from geostationary Himawari-8 over Australia: A physics-based method with calibration. Sol. Energy 2021, 220, 119–129. [Google Scholar] [CrossRef]
- Zhang, Y.; Chen, L.; Liu, J. Estimation of Daily Global Solar Irradiance from HIMAWARI-8 Products Over China. In XXIV ISPRS Congress Imaging Today Foreseeing Tomorrow Commission III; ISPRS: Baton Rouge, LA, USA, 2022; Volume 3, pp. 493–500. [Google Scholar]
- Frouin, R.; Murakami, H. Estimating photosynthetically available radiation at the ocean surface from ADEOS-II global imager data. J. Oceanogr. 2007, 63, 493–503. [Google Scholar] [CrossRef]
- Li, R.; Wang, D.; Liang, S. Comprehensive assessment of five global daily downward shortwave radiation satellite products. Sci. Remote Sens. 2021, 4, 100028. [Google Scholar] [CrossRef]
- Tong, L.; He, T.; Ma, Y.; Zhang, X. Evaluation and intercomparison of multiple satellite-derived and reanalysis downward shortwave radiation products in China. Int. J. Digit. Earth 2023, 16, 1853–1884. [Google Scholar] [CrossRef]
- Li, P.; Zhong, L.; Ma, Y.; Fu, Y.; Cheng, M.; Wang, X.; Qi, Y.; Wang, Z.J.A.C.; Discussions, P. Estimation of 1 km downwelling shortwave radiation over the Tibetan Plateau under all-sky conditions. Atmos. Chem. Phys. 2023, 23, 9265–9285. [Google Scholar] [CrossRef]
- Tian, Q.; Zhang, S.; Duan, W.; Ming, G. Evaluation of Downward Shortwave Radiation Products Over the Loess Plateau. IEEE J. Sel. Top. Appl. Earth Obs. Remote Sens. 2024, 17, 3167–3180. [Google Scholar] [CrossRef]
- Liu, R.; Liang, S.; He, H.; Liu, J.; Zheng, T. Mapping incident photosynthetically active radiation from MODIS data over China. Remote Sens. Environ. 2008, 112, 998–1009. [Google Scholar]
- Liang, S.; Wang, D. Moderate Resolution Imaging Spectroradiometer (MODIS) Downward Shortwave Radiation (MCD18A1) and Photosynthetically Active Radiation (MCD18A2) Algorithm Theoretical Basis Document. 2017. Available online: https://modis-land.gsfc.nasa.gov/pdf/mcd18_user_guide_C61_v3.pdf (accessed on 19 April 2024).
- Li, T.; Xin, X.; Zhang, H.; Yu, S.; Li, L.; Ye, Z.; Liu, Q.; Cai, H. Evaluation of Six Data Products of Surface Downward Shortwave Radiation in Tibetan Plateau Region. Remote Sens. 2024, 16, 791. [Google Scholar] [CrossRef]
- Polo, J.; Wilbert, S.; Ruiz-Arias, J.A.; Meyer, R.; Gueymard, C.; Súri, M.; Martín, L.; Mieslinger, T.; Blanc, P.; Grant, I.; et al. Preliminary survey on site-adaptation techniques for satellite-derived and reanalysis solar radiation datasets. SoEn 2016, 132, 25–37. [Google Scholar] [CrossRef]
- Jia, A.; Liang, S.; Jiang, B.; Zhang, X.; Wang, G. Comprehensive Assessment of Global Surface Net Radiation Products and Uncertainty Analysis. J. Geophys. Res. Atmos. 2018, 123, 1970–1989. [Google Scholar] [CrossRef]









| Component | Instrument | Spectral Range (nm) | Sensitivity (μV/W·m−2) | Time Period | Manufacturer |
|---|---|---|---|---|---|
| GHI | CMP | 200–4000 | 7~14 | 1 January 2020–22 March 2022 | Kipp & Zonen |
| DNI | CHP1 | ||||
| DHI | CMP |
| Components | Lower Limit (W m−2) | Upper Limit (W m −2) (μ > 0) | Upper Limit (W m −2) (μ < 0) |
|---|---|---|---|
| GHI | −4 | 1.5 × SC × μ1.2 + 100 | 50 |
| DNI | −4 | SC × μ | 50 |
| DHI | −4 | 0.95 × SC × μ1.2 + 50 | 50 |
| Year | Components | Sample Size | Missing Rate | Physically Possible Limits Test | Solar Tracker Malfunction Test | Comparison Test |
|---|---|---|---|---|---|---|
| 2020 | GHI | 527,040 | 0 | 0 | 0.92% | 0.98% |
| DNI | 0 | |||||
| DHI | 0 | |||||
| 2021 | GHI | 525,527 | 0.01% | 0.02% | 1.49% | 9.78% |
| DNI | 0 | |||||
| DHI | 0 | |||||
| 2022 | GHI | 116,640 | 77.69 | 0.01% | 0.61% | 18.76 |
| DNI | 0 | |||||
| DHI | 0 |
Disclaimer/Publisher’s Note: The statements, opinions and data contained in all publications are solely those of the individual author(s) and contributor(s) and not of MDPI and/or the editor(s). MDPI and/or the editor(s) disclaim responsibility for any injury to people or property resulting from any ideas, methods, instructions or products referred to in the content. |
© 2024 by the authors. Licensee MDPI, Basel, Switzerland. This article is an open access article distributed under the terms and conditions of the Creative Commons Attribution (CC BY) license (https://creativecommons.org/licenses/by/4.0/).
Share and Cite
Xu, L.; Mao, Y. Evaluation of Two Satellite Surface Solar Radiation Products in the Urban Region in Beijing, China. Remote Sens. 2024, 16, 2030. https://doi.org/10.3390/rs16112030
Xu L, Mao Y. Evaluation of Two Satellite Surface Solar Radiation Products in the Urban Region in Beijing, China. Remote Sensing. 2024; 16(11):2030. https://doi.org/10.3390/rs16112030
Chicago/Turabian StyleXu, Lin, and Yuna Mao. 2024. "Evaluation of Two Satellite Surface Solar Radiation Products in the Urban Region in Beijing, China" Remote Sensing 16, no. 11: 2030. https://doi.org/10.3390/rs16112030
APA StyleXu, L., & Mao, Y. (2024). Evaluation of Two Satellite Surface Solar Radiation Products in the Urban Region in Beijing, China. Remote Sensing, 16(11), 2030. https://doi.org/10.3390/rs16112030

