Landslide Identification in Human-Modified Alpine and Canyon Area of the Niulan River Basin Based on SBAS-InSAR and Optical Images
Abstract
1. Introduction
2. Study Area and Data
2.1. Study Area
2.2. Data
3. Methods
3.1. Terrain Visibility Analysis
3.2. SBAS-InSAR Method
- (1)
- Connection Graph: The purpose is to pair multi-temporal SAR data and analyze the relationship between interference image pairs in time and space.
- (2)
- (3)
- Refinement and Re-Flattening: Estimate and remove the residual constant phase and phase ramp that still exists after unwrapping. The purpose of this process is to use DEM, ground control points (GCPs), etc. to remove the residual terrain phase, reduce unwrapping errors, and ensure the accuracy of surface deformation inversion.
- (4)
- Inversion: There are two inversions in this process, and the deformation rate and residual topography of the study area are obtained from the results of the first inversion. Based on the deformation rate obtained from the first inversion, a customized atmospheric filter is performed to estimate and remove the atmospheric phase and obtain a more accurate final displacement result on the time series.
- (5)
- Geocoding: The phase result obtained by inversion is converted into elevation, the image is geocoded to convert the SAR coordinate system into a geographic coordinate system, and the surface deformation information of the radar line of sight in the study area is obtained.
3.3. Optical Image Interpretation
4. Results
4.1. Terrain Visibility Analysis Result
4.2. SBAS-InSAR Deformation Results Analysis
4.3. Optical Image Identification Result
4.4. Final Landslide Identification
5. Analysis of Typical Landslide
5.1. Landslide Characteristics
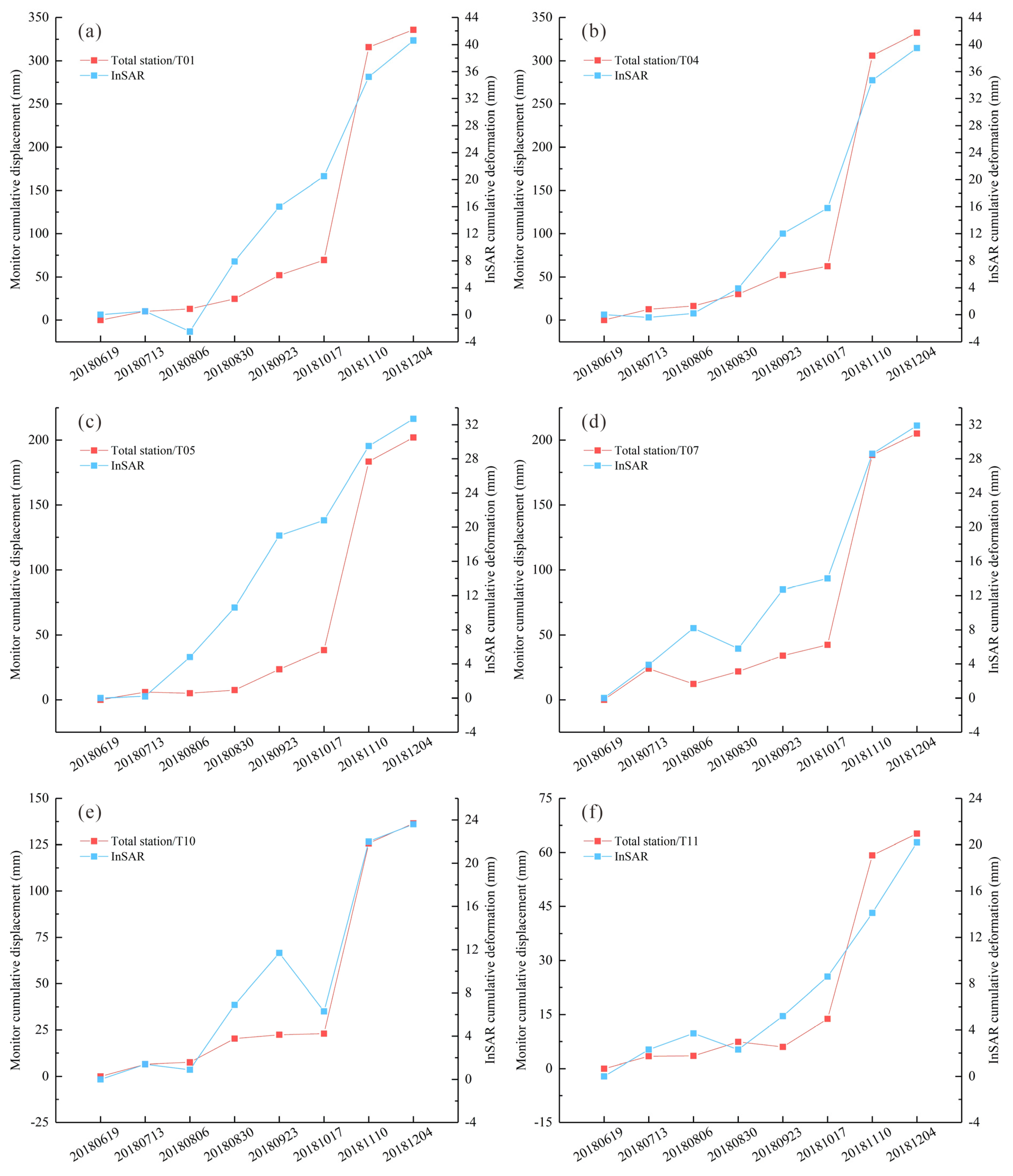
5.2. Validation of SBAS-InSAR Result
5.3. Influencing Factors of Landslide Deformation
6. Discussion
6.1. Limitations of SBAS-InSAR Identification in Alpine and Canyon Areas
6.2. Comprehensive Landslide Identification with Multi-Source Data in Alpine and Canyon Areas
7. Conclusions
- (1)
- The study highlights that visibility analysis is necessary for landslide identification by the SBAS-InSAR technology in alpine and canyon regions. The proposed comprehensive landslide identification method combining SBAS-InSAR technology, optical images and field surveys proved valuable to the application of landslide identification in the alpine and canyon areas. Together, 13 landslides were identified by SBAS-InSAR, 8 by optical image and 7 by field survey. Multi-source data and multi-method joint identification can alleviate the defects of a single identification method to efficiently and quickly identify landslides with acceptable accuracy in the study area.
- (2)
- The comparison and verification of typical landslide monitoring data and SBAS-InSAR deformation manifested the high accuracy of SBAS-InSAR technology. Both monitoring methods showed a large deformation of the landslide from October 2018 to November 2018.
- (3)
- The research results indicate that construction and operation of reservoirs have a great impact on the development of landslides in the alpine and canyon area. In order to balance the development of landslides and the economic and environmental benefits of the reservoirs, it is necessary to pay attention to adjustments in the reservoir water level, especially the decline rate of reservoir water, which has a strong correlation with landslide stability.
Author Contributions
Funding
Institutional Review Board Statement
Informed Consent Statement
Data Availability Statement
Conflicts of Interest
References
- Chen, X.; Zhou, Q.; Ran, H.; Dong, R. Earthquake-triggered landslides in southwest China. Nat. Hazards Earth Syst. Sci. 2012, 12, 351–363. [Google Scholar] [CrossRef]
- Zhang, L.; Dai, K.; Deng, J.; Ge, D.; Liang, R.; Li, W.; Xu, Q. Identifying Potential Landslides by Stacking-InSAR in Southwestern China and Its Performance Comparison with SBAS-InSAR. Remote Sens. 2021, 13, 3662. [Google Scholar] [CrossRef]
- Montgomery, D.R.; Brandon, M.T. Topographic Controls on Erosion Rates in Tectonically Active Mountain Ranges. Earth Planet. Sci. Lett. 2002, 201, 481–489. [Google Scholar] [CrossRef]
- Korup, O.; Densmore, A.L.; Schlunegger, F. The Role of Landslides in Mountain Range Evolution. Geomorphology 2010, 120, 77–90. [Google Scholar] [CrossRef]
- Ouimet, W.B.; Whipple, K.X.; Royden, L.H.; Sun, Z.; Chen, Z. The Influence of Large Landslides on River Incision in a Transient Landscape: Eastern Margin of the Tibetan Plateau (Sichuan, China). Geol. Soc. Am. Bull. 2007, 119, 1462–1476. [Google Scholar] [CrossRef]
- Cao, C.; Zhu, K.; Song, T.; Bai, J.; Zhang, W.; Chen, J.; Song, S. Comparative Study on Potential Landslide Identification with ALOS-2 and Sentinel-1A Data in Heavy Forest Reach, Upstream of the Jinsha River. Remote Sens. 2022, 14, 1962. [Google Scholar] [CrossRef]
- Manoutsoglou, E.; Lazos, I.; Steiakakis, E.; Vafeidis, A. The Geomorphological and Geological Structure of the Samaria Gorge, Crete, Greece—Geological Models Comprehensive Review and the Link with the Geomorphological Evolution. Appl. Sci. 2022, 12, 10670. [Google Scholar] [CrossRef]
- Morelli, D.; Locatelli, M.; Corradi, N.; Cianfarra, P.; Crispini, L.; Federico, L.; Migeon, S. Morpho-Structural Setting of the Ligurian Sea: The Role of Structural Heritage and Neotectonic Inversion. J. Mar. Sci. Eng. 2022, 10, 1176. [Google Scholar] [CrossRef]
- Guzzetti, F.; Mondini, A.C.; Cardinali, M.; Fiorucci, F.; Santangelo, M.; Chang, K.-T. Landslide Inventory Maps: New Tools for an Old Problem. Earth-Sci. Rev. 2012, 112, 42–66. [Google Scholar] [CrossRef]
- Lima, P.; Steger, S.; Glade, T. Counteracting flawed landslide data in statistically based landslide susceptibility modelling for very large areas: A national-scale assessment for Austria. Landslides 2021, 18, 3531–3546. [Google Scholar] [CrossRef]
- Miao, F.; Zhao, F.; Wu, Y.; Li, L.; Török, Á. Landslide Susceptibility Mapping in Three Gorges Reservoir Area Based on GIS and Boosting Decision Tree Model. Stoch. Environ. Res. Risk Assess. 2023, 1, 21. [Google Scholar] [CrossRef]
- Domakinis, C.; Oikonomidis, D.; Astaras, T. Landslide Mapping in the Coastal Area between the Strymonic Gulf and Kavala (Macedonia, Greece) with the Aid of Remote Sensing and Geographical Information Systems. Int. J. Remote Sens. 2008, 29, 6893–6915. [Google Scholar] [CrossRef]
- Cheng, G.; Guo, L.; Zhao, T.; Han, J.; Li, H.; Fang, J. Automatic Landslide Detection from Remote-Sensing Imagery Using a Scene Classification Method Based on BoVW and PLSA. Int. J. Remote Sens. 2013, 34, 45–59. [Google Scholar] [CrossRef]
- Fu, R.; He, J.; Liu, G.; Li, W.; Mao, J.; He, M.; Lin, Y. Fast Seismic Landslide Detection Based on Improved Mask R-CNN. Remote Sens. 2022, 14, 3928. [Google Scholar] [CrossRef]
- Deligiannakis, G.; Pallikarakis, A.; Papanikolaou, I.; Alexiou, S.; Reicherter, K. Detecting and Monitoring Early Post-Fire Sliding Phenomena Using UAV–SfM Photogrammetry and t-LiDAR-Derived Point Clouds. Fire 2021, 4, 87. [Google Scholar] [CrossRef]
- Dong, X.; Yin, T.; Dai, K.; Pirasteh, S.; Zhuo, G.; Li, Z.; Yu, B.; Xu, Q. Identifying Potential Landslides on Giant Niexia Slope (China) Based on Integrated Multi-Remote Sensing Technologies. Remote Sens. 2022, 14, 6328. [Google Scholar] [CrossRef]
- Pellicani, R.; Argentiero, I.; Manzari, P.; Spilotro, G.; Marzo, C.; Ermini, R.; Apollonio, C. UAV and Airborne LiDAR Data for Interpreting Kinematic Evolution of Landslide Movements: The Case Study of the Montescaglioso Landslide (Southern Italy). Geosciences 2019, 9, 248. [Google Scholar] [CrossRef]
- Su, X.; Zhang, Y.; Meng, X.; Rehman, M.U.; Khalid, Z.; Yue, D. Updating Inventory, Deformation, and Development Characteristics of Landslides in Hunza Valley, NW Karakoram, Pakistan by SBAS-InSAR. Remote Sens. 2022, 14, 4907. [Google Scholar] [CrossRef]
- Li, M.; Zhang, L.; Dong, J.; Tang, M.; Shi, X.; Liao, M.; Xu, Q. Characterization of Pre- and Post-Failure Displacements of the Huangnibazi Landslide in Li County with Multi-Source Satellite Observations. Eng. Geol. 2019, 257, 105140. [Google Scholar] [CrossRef]
- Rosi, A.; Tofani, V.; Tanteri, L.; Tacconi Stefanelli, C.; Agostini, A.; Catani, F.; Casagli, N. The new landslide inventory of Tuscany (Italy) updated with PS-InSAR: Geomorphological features and landslide distribution. Landslides 2018, 15, 5–19. [Google Scholar] [CrossRef]
- Hu, X.; Lu, Z.; Pierson, T.C.; Kramer, R.; George, D.L. Combining InSAR and GPS to Determine Transient Movement and Thickness of a Seasonally Active Low-Gradient Translational Landslide. Geophys. Res. Lett. 2018, 45, 1453–1462. [Google Scholar] [CrossRef]
- Lu, H.; Li, W.; Xu, Q.; Dong, X.; Dai, C.; Wang, D. Early Identification of Hidden Hazards in the Upstream and Downstream of the Baige Landslide on the Jinsha River Based on the Combination of Optical Remote Sensing and InSAR. Geomat. Inf. Sci. Wuhan Univ. 2019, 44, 1342–1354. [Google Scholar] [CrossRef]
- Li, Y.; Zuo, X.; Zhu, D.; Wu, W.; Yang, X.; Guo, S.; Shi, C.; Huang, C.; Li, F.; Liu, X. Identification and Analysis of Landslides in the Ahai Reservoir Area of the Jinsha River Basin Using a Combination of DS-InSAR, Optical Images, and Field Surveys. Remote Sens. 2022, 14, 6274. [Google Scholar] [CrossRef]
- Li, M.; Zhang, L.; Shi, X.; Liao, M.; Yang, M. Monitoring Active Motion of the Guobu Landslide near the Laxiwa Hydropower Station in China by Time-Series Point-like Targets Offset Tracking. Remote Sens. Environ. 2019, 221, 80–93. [Google Scholar] [CrossRef]
- Colesanti, C.; Wasowski, J. Investigating Landslides with Space-Borne Synthetic Aperture Radar (SAR) Interferometry. Eng. Geol. 2006, 88, 173–199. [Google Scholar] [CrossRef]
- Notti, D.; Herrera, G.; Bianchini, S.; Meisina, C.; García-Davalillo, J.C.; Zucca, F. A methodology for improving landslide PSI data analysis. Int. J. Remote Sens. 2014, 35, 2186–2214. [Google Scholar] [CrossRef]
- Cigna, F.; Bateson, L.B.; Jordan, C.J.; Dashwood, C. Simulating SAR Geometric Distortions and Predicting Persistent Scatterer Densities for ERS-1/2 and ENVISAT C-Band SAR and InSAR Applications: Nationwide Feasibility Assessment to Monitor the Landmass of Great Britain with SAR Imagery. Remote Sens. Environ. 2014, 152, 441–466. [Google Scholar] [CrossRef]
- Dai, K.; Zhang, L.; Song, C.; Li, Z.; Zhuo, G.; Xu, Q. Quantitative Analysis of Sentinel-1 Imagery Geometric Distortion and Their Suitability Along Sichuan-Tibet Railway. Geomat. Inf. Sci. Wuhan Univ. 2021, 46, 1450–1460. [Google Scholar] [CrossRef]
- Zhang, R.; Wu, B. Environmental Impacts of High Water Turbidity of the Niulan River to Dianchi Lake Water Diversion Project. J. Environ. Eng. 2020, 146, 05019006. [Google Scholar] [CrossRef]
- Li, D.; Yan, L.; Wu, L.; Yin, K.; Leo, C. The Hejiapingzi landslide in Weining County, Guizhou Province, Southwest China: A recent slow-moving landslide triggered by reservoir drawdown. Landslides 2019, 16, 1353–1365. [Google Scholar] [CrossRef]
- Corominas, J.; van Westen, C.; Frattini, P.; Cascini, L.; Malet, J.P.; Fotopoulou, S.; Catani, F.; Van Den Eeckhaut, M.; Mavrouli, O.; Agliardi, F.; et al. Recommendations for the quantitative analysis of landslide risk. Bull. Eng. Geol. Environ. 2013, 73, 209–263. [Google Scholar] [CrossRef]
- Steger, S.; Brenning, A.; Bell, R.; Glade, T. The Propagation of Inventory-Based Positional Errors into Statistical Landslide Susceptibility Models. Nat. Hazards Earth Syst. Sci. 2016, 16, 2729–2745. [Google Scholar] [CrossRef]
- Fabbri, A.G.; Chung, C.J.F.; Cendrero, A.; Remondo, J. Is Prediction of Future Landslides Possible with a GIS? Nat. Hazards 2003, 30, 487–503. [Google Scholar] [CrossRef]
- Van Westen, C.J.; Castellanos, E.; Kuriakose, S.L. Spatial Data for Landslide Susceptibility, Hazard, and Vulnerability Assessment: An Overview. Eng. Geol. 2008, 102, 112–131. [Google Scholar] [CrossRef]
- Budimir, M.E.A.; Atkinson, P.M.; Lewis, H.G. A systematic review of landslide probability mapping using logistic regression. Landslides 2015, 12, 419–436. [Google Scholar] [CrossRef]
- Hooper, A.; Bekaert, D.; Spaans, K.; Arıkan, M. Recent Advances in SAR Interferometry Time Series Analysis for Measuring Crustal Deformation. Tectonophysics 2012, 514–517, 1–13. [Google Scholar] [CrossRef]
- Yao, J.; Yao, X.; Liu, X. Landslide Detection and Mapping Based on SBAS-InSAR and PS-InSAR: A Case Study in Gongjue County, Tibet, China. Remote Sens. 2022, 14, 4728. [Google Scholar] [CrossRef]
- Dun, J.; Feng, W.; Yi, X.; Zhang, G.; Wu, M. Detection and Mapping of Active landslides before Impoundment in the Baihetan Reservoir Area (China) based on the Time-Series InSAR method. Remote Sens. 2021, 13, 3213. [Google Scholar] [CrossRef]
- Tizzani, P.; Berardino, P.; Casu, F.; Euillades, P.; Manzo, M.; Ricciardi, G.; Zeni, G.; Lanari, R. Surface deformation of Long Valley caldera and Mono Basin, California, investigated with the SBAS-InSAR approach. Remote Sens. Environ. 2007, 108, 277–289. [Google Scholar] [CrossRef]
- Dong, S.; Samsonov, S.; Yin, H.; Ye, S.; Cao, Y. Time-series analysis of subsidence associated with rapid urbanization in Shanghai, China measured with SBAS InSAR method. Environ. Earth Sci. 2013, 72, 677–691. [Google Scholar] [CrossRef]
- Li, Z.; Ding, X.; Huang, C.; Zhu, J.; Chen, Y. Improved filtering parameter determination for the Goldstein radar interferogram filter. ISPRS J. Photogramm. Remote Sens. 2008, 63, 621–634. [Google Scholar] [CrossRef]
- Davis, J.; Herring, T.; Shapiro, I.; Rogers, A.E.; Elgered, G. Geodesy by radio interferometry: Effects of atmospheric modeling errors on estimates of baseline length. Radio Sci. 1985, 20, 1593–1607. [Google Scholar] [CrossRef]
- Miao, F.; Wu, Y.; Xie, Y.; Li, Y. Prediction of Landslide Displacement with Step-like Behavior Based on Multialgorithm Optimization and a Support Vector Regression Model. Landslides 2018, 15, 475–488. [Google Scholar] [CrossRef]
- Miao, F.; Zhao, F.; Wu, Y.; Li, L.; Xue, Y.; Meng, J. A Novel Seepage Device and Ring-Shear Test on Slip Zone Soils of Landslide in the Three Gorges Reservoir Area. Eng. Geol. 2022, 307, 106779. [Google Scholar] [CrossRef]
- Miao, F.; Wu, Y.; Török, Á.; Li, L.; Xue, Y. Centrifugal model test on a riverine landslide in the Three Gorges Reservoir induced by rainfall and water level fluctuation. Geosci. Front. 2022, 13, 101378. [Google Scholar] [CrossRef]
















| Satellite Orbit | Wavelength | Revisit Period | Angle of Incidence | Angele of Heading | Imaging Method | Polarization Mode |
|---|---|---|---|---|---|---|
| Ascending | 5.6 cm/C-band | 12 days | 39.31° | −6.7° | IW | VV |
| Descending | 5.6 cm/C-band | 12 days | 39.24° | 6.7° | IW | VV |
Disclaimer/Publisher’s Note: The statements, opinions and data contained in all publications are solely those of the individual author(s) and contributor(s) and not of MDPI and/or the editor(s). MDPI and/or the editor(s) disclaim responsibility for any injury to people or property resulting from any ideas, methods, instructions or products referred to in the content. |
© 2023 by the authors. Licensee MDPI, Basel, Switzerland. This article is an open access article distributed under the terms and conditions of the Creative Commons Attribution (CC BY) license (https://creativecommons.org/licenses/by/4.0/).
Share and Cite
Yang, S.; Li, D.; Liu, Y.; Xu, Z.; Sun, Y.; She, X. Landslide Identification in Human-Modified Alpine and Canyon Area of the Niulan River Basin Based on SBAS-InSAR and Optical Images. Remote Sens. 2023, 15, 1998. https://doi.org/10.3390/rs15081998
Yang S, Li D, Liu Y, Xu Z, Sun Y, She X. Landslide Identification in Human-Modified Alpine and Canyon Area of the Niulan River Basin Based on SBAS-InSAR and Optical Images. Remote Sensing. 2023; 15(8):1998. https://doi.org/10.3390/rs15081998
Chicago/Turabian StyleYang, Shuo, Deying Li, Yujie Liu, Zhihui Xu, Yiqing Sun, and Xiangjie She. 2023. "Landslide Identification in Human-Modified Alpine and Canyon Area of the Niulan River Basin Based on SBAS-InSAR and Optical Images" Remote Sensing 15, no. 8: 1998. https://doi.org/10.3390/rs15081998
APA StyleYang, S., Li, D., Liu, Y., Xu, Z., Sun, Y., & She, X. (2023). Landslide Identification in Human-Modified Alpine and Canyon Area of the Niulan River Basin Based on SBAS-InSAR and Optical Images. Remote Sensing, 15(8), 1998. https://doi.org/10.3390/rs15081998
