Metallogenic Prediction of Magnetite in the Pandian Area at the Northwest Margin of Luxi Uplift, China: Constraints of Wide-Field Electromagnetic Data
Abstract
1. Introduction
2. Geological Setting
3. Data Acquisition and Processing
3.1. Data Acquisition
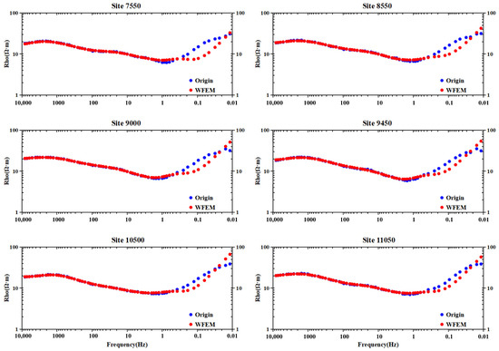
3.2. Data Processing
4. Electrical Model
4.1. Feasibility Analysis
4.2. Geological Interpretation
5. Discussion
5.1. Alteration Characteristics
5.2. Metallogenic Prediction
5.3. Metallogenic Mechanism
6. Conclusions
Author Contributions
Funding
Data Availability Statement
Acknowledgments
Conflicts of Interest
References
- Xu, J.Q.; Li, Z.; Shi, Y.H. Jurassic detrital zircon U-Pb and Hf isotopic geochronology of Luxi Uplift, eastern North China, and its provenance implications for tectonic-paleogeographic reconstruction. J. Asian Earth Sci. 2013, 78, 184–197. [Google Scholar] [CrossRef]
- Yin, Y.T.; Jin, S.; Wei, W.B.; Santosh, M.; Dong, H.; Xie, C.L. Construction and destruction of the North China Craton with implications for metallogeny: Magnetotelluric evidence from the Hengshan-Wutai-Fuping region within Trans-North China Orogen. Gondwana Res. 2016, 40, 21–42. [Google Scholar] [CrossRef]
- Ye, G.F.; Liu, C.; Luo, X.; Jin, S.; Wei, W.B.; Dong, H.; Yin, Y.T. Dynamical significance of the Tanlu Fault Zone in the destruction of the North China Craton: The evidence provided by the three-dimensional Magnetotelluric array study. Tectonophysics 2021, 813, 228910. [Google Scholar] [CrossRef]
- Hu, Q.Y.; Li, L.; Tang, Z.B.; Shi, X.P. Characteristics and mechanisms of Late Mesozoic extensional faults in west Shandong Uplift. Geol. China 2009, 36, 1233–1244. [Google Scholar]
- Hao, X.Z. Study on Metallogenic Regularities and Prognosis of Iron Deposits in Western Shandong Province. Ph.D. Dissertation, China University of Geosciences, Beijing, China, 2014. [Google Scholar]
- Yu, L.; Zhang, J.; Gao, L.J.; Dong, M. Gravity-magnetic anomalies and tectonic activities in Luxi uplift. Acta Seismol. Sin. 2017, 39, 694–707. [Google Scholar]
- Wu, C.P.; Yu, C.C.; Wang, W.P.; Ma, X.B.; Fan, Z.G.; Zhu, H.W. Physical characteristics of rocks and ores and their application in Qihe area, Western Shandong. Adv. Earth Sci. 2019, 34, 1099–1107. [Google Scholar]
- Hou, Z.; Chen, X.; Yu, C.C.; Wang, T.Y.; Zhou, M.L.; Li, Y.H. Characteristics of the geological deep structure in QiHe-Yucheng area of Shandong: Evidence from magnetotelluric method. Prog. Geophys. 2021, 36, 1070–1081. [Google Scholar]
- Li, Q.; Tian, S.Q. Geochemical characteristics of magnetite elements and its indication of mineralization of skarn type iron deposit in Qihe-Yucheng area in Shandong Province. Shandong Land Resour. 2021, 37, 1–9. [Google Scholar]
- Shen, L.J.; Zhu, Y.Z.; Gao, Z.J. Paimary study on geological characteristics of Litun rock mass in Qihe-Yucheng rich iron ore area in Shandong province. Shandong Land Resour. 2020, 36, 23–29. [Google Scholar]
- Hao, X.Z.; Yang, Y.H.; Liu, W. Geological characteristics and prospecting significance of skarn type iron deposit in Pandian area, Shandong province. Sci. Technol. Eng. 2018, 18, 51–58. [Google Scholar]
- Hao, X.Z.; Liu, W.; Zang, K.; Zhang, X.S. Primary study on metallogenic regularity of skarn type iron deposit in Pandian area in western Shandong province. Shandong Land Resour. 2018, 34, 27–33. [Google Scholar]
- Wang, R.S.; Hao, X.Z.; Chen, H.J.; Liu, H.; Chen, F.B.; Yu, L.; Liu, W.; Fang, L.; Kang, Y.M. Discovery of skarn iron-rich deposit based on heavy and magnet data in the Qihe-Yucheng, Shandong province and its enlightenment to prospecting of the super-deep coverage area. Geol. China 2021, 1–18. Available online: https://kns.cnki.net/kcms/detail/11.1167.P.20211109.1654.006.html (accessed on 22 November 2022).
- Shen, J.C.; Li, S.C.; Zhang, B. Analysis on the coupling relationship between Luxi Uplift and Jiyang depression in western Shandong Province. Geol. Resour. 2018, 27, 411–416. [Google Scholar]
- Wang, W.P.; Wu, C.P.; Ma, X.B. Aeromagnetic field feature and iron ore target prospecting in deep coverage area of Qihe in Shandong Province. Geol. Surv. China 2020, 7, 23–29. [Google Scholar]
- Zhu, Y.Z.; Zhou, M.L.; Gao, Z.J.; Zhang, X.B. The discovery of the Qihe-Yucheng skarn type rich iron deposit in Shandong and its exploration significance. Geol. Bull. China 2018, 37, 938–944. [Google Scholar]
- Zhou, M.L.; Ru, L.; Zhu, Y.Z.; Yu, C.C.; Wu, C.P.; Gao, Z.J.; Zhang, W.Y.; Shao, Y.B. Magnetic field characteristics and ore prediction in Qihe-Yucheng area of Shandong Province. Geophys. Geochem. Explor. 2021, 45, 301–307. [Google Scholar]
- Hao, X.Z.; Wang, R.S.; Wang, Q.Y.; Zhang, H.P.; Zhu, X.Q.; Liu, W.; Zhi, Y.B.; Wang, L.G.; Zhang, G.L. Exploration enlightenment of skarn type iron ore in geophysical anomaly of Pandian, northwest Shandong Province. Miner. Explor. 2022, 13, 453–459. [Google Scholar]
- Meng, G.X.; Lv, Q.T.; Yan, J.Y.; Deng, Z.; Qi, G.; Xue, R.H. The research and application of explorational technology of “Penetrating” to geology and mineral investigation in overburden area. Acta Geosci. Sin. 2019, 40, 637–650. [Google Scholar]
- Yadav, P.K.; Adhikari, P.K.; Srivastava, S.; Maurya, V.P.; Tripathi, A.; Singh, S.; Singh, R.K.; Bage, A.K. Lithologic boundaries from gravity and magnetic anomalies over Proterozoic Dalma volcanics. J. Earth Syst. Sci. 2018, 127, 17. [Google Scholar] [CrossRef]
- Mondal, S.; Guha, A.; Pal, S.K.; Porwal, A.; Chatterjee, S.; Rani, K.; Pour, A.B.; Kumar, K.V. Conjugate utilization of Landsat-8 OLI, ground gravity and magnetic data for targeting mafic cumulates within anorthositic-layered complex of Sittampundi, India. Geocarto Int. 2021, 36, 1855–1872. [Google Scholar] [CrossRef]
- Ding, W.X.; Yuan, F.; Li, X.H.; Sun, W.A.; Liu, G.X.; Yang, D. Deep geological structure analysis and metallogenic prediction of Zhonggu ore field in the south section of Ningwu basin based on gravity and magnetic joint inversion. Acta Geol. Sin. 2018, 92, 2301–2317. [Google Scholar]
- Streich, R.; Becken, M. Sensitivity of controlled-source electromagnetic fields in planarly layered media. Geophys. J. Int. 2011, 187, 705–728. [Google Scholar] [CrossRef]
- Xue, G.Q.; Gelius, L.J.; Sakyi, P.A.; Zhou, N.N.; Chen, W.Y.; Su, B.C.; Li, H.; Zhong, H.S.; Su, Y.P. Discovery of a hidden BIF deposit in Anhui province, China by integrated geological and geophysical investigations. Ore Geol. Rev. 2014, 63, 470–477. [Google Scholar] [CrossRef]
- Goldstein, M.A.; Strangway, D.W. Audio-frequency magnetotellurics with a grounded electric dipole source. Geophysics 1975, 40, 669–683. [Google Scholar] [CrossRef]
- Jiang, Q.Y. Study on the Key Technology of Wide Field Electromagnetic Sounding Instrument. Ph.D. Thesis, Central South University, Changsha, China, 2010. [Google Scholar]
- He, J.S. Wide field electromagnetic sounding methods. J. Cent. South Univ. Sci. Technol. 2010, 41, 1065–1072. [Google Scholar]
- Hu, Y.F.; Li, D.Q.; Yuan, B.; Suo, G.Y.; Liu, Z.J. Application of pseudo-random frequency domain electromagnetic method in mining areas with strong interferences. Trans. Nonferrous Met. Soc. China 2020, 30, 774–788. [Google Scholar] [CrossRef]
- Gu, Z.W.; Tian, H.J.; Wang, A.P.; Li, S.L. The application of wide-area electromagnetic method to the hot spring exploration in south Sichuan. Acta Geol. Sichuan 2021, 41, 662–666. [Google Scholar]
- Tian, H.J.; Feng, B.; Qin, L.Y.; Jiang, Y.F.; Yu, C.H.; Ye, H. Searching for deep hidden ore bodies based on wide field electromagnetic methods: Take the Longkou-Tudui gold mining area as example. J. Jilin Univ. (Earth Sci. Ed.) 2022, 1–15. Available online: https://kns.cnki.net/kcms/detail/22.1343.P.20220105.2044.002.html (accessed on 22 November 2022).
- Wei, Z.F.; Chen, H.Y.; Wu, X.Q. The application of wide field electromagnetic method to geothermal exploration in Yichun. Geophys. Geochem. Explor. 2020, 44, 1009–1018. [Google Scholar]
- Wang, H.Y.; Li, D.Q.; Liu, J.X.; Xue, G.Q.; Guo, W.B. Application of wide-field electromagnetic method in the detection of oil-rich enrichment areas in the southwestern margin of the Ordos basin. Prog. Geophys. 2020, 35, 1038–1047. (In Chinese) [Google Scholar]
- Yuan, B.; Li, D.Q.; Bayless, R.C. Wide Field Electromagnetic Method for Shale Gas Exploration in Southern China: A Case Study. J. Environ. Eng. Geophys. 2017, 22, 279–289. [Google Scholar] [CrossRef]
- Yu, Z.H.; Yan, L.Q.; Cai, Z.J.; Wang, J.H.; Xu, Y.F.; Lin, J.F.; Ma, L. Application of wide-field electromagnetic method in shale gas survey in Eastern Kunlun, Qinghai province, China. J. Cent. South Univ. 2020, 27, 3388–3397. [Google Scholar] [CrossRef]
- Wang, X.M.; Zhong, D.L.; Li, L.; Ding, Z.Y.; Li, S.; Zhang, R.Q. Relationship between NW faults of West Shandong and Yi-Shu fault zone in Late Mesozoic and their geotectonic setting operations. Earth Sci. Front. 2010, 17, 166–190. [Google Scholar]
- Zhao, Y.Q. Study on distribution law of mines in magmatic rocks erosion area in huanghebei coalfield-taking Pandian coalfied as an example. Shandong Land Resour. 2017, 33, 50–54. [Google Scholar]
- Wang, G.Z.; Liu, S.G.; Zou, C. Thermochronologic constraints on uplifting events since the early cretaceous in the north margin of the luxi rise, eastern china. J. Earth Sci. 2013, 24, 579–588. [Google Scholar] [CrossRef]
- Wang, S.J.; Wan, Y.S.; Zhang, C.J.; Yang, E.X.; Song, Z.Y.; Wang, L.F.; Zhang, F.Z. Major advanced development gained in studying early Cambrian geology in Luxi area. Shandong Land Resour. 2008, 24, 10–20. [Google Scholar]
- Xu, G.; Lin, X. Geology and geochemistry of the Changlongshan skarn iron deposit, Anhui Province, China. Ore Geol. Rev. 2000, 16, 91–106. [Google Scholar] [CrossRef]
- Suo, G.Y.; Li, D.C.; Hu, Y.F. One-dimension parallel constrained inversion of E-Ex wide field electromagnetic method based on analytical Jacobian matrix. Comput. Tech. Geophys. Geochem. Explor. 2019, 41, 55–61. [Google Scholar]
- Chen, H.Y.; Li, D.Q.; Ling, F.; Wu, X.Q.; Wei, Z.F.; Zhang, B.; Tian, H.J.; You, W.B.; Zou, Q.F.; Liu, X.M. Deep exploration of wide field electromagnetic method in Zhuxi W-Cu deposit. Chin. J. Nonferrous Met. 2022, 32, 17. [Google Scholar]
- Yang, Y.; He, J.S.; Ling, F.; Zhu, Y.Z. Distributed wide field electromagnetic method based on high-order 2n sequence pseudo random signal. Trans. Nonferrous Met. Soc. China 2022, 32, 1609–1622. [Google Scholar] [CrossRef]
- Nelson, P.H. Estimation of sulfifide content from induced polarization data. Geophysics 1983, 48, 62. [Google Scholar] [CrossRef]
- Qi, P.; Yin, Y.T.; Jin, S.; Wei, W.B.; Xu, L.Y.; Dong, H.; Huang, J.H. Three-Dimensional audio-magnetotelluric imaging including surface topography of the cimabanshuo porphyry copper deposit, Tibet. Minerals 2021, 11, 1424. [Google Scholar] [CrossRef]
- Yu, M.; Feng, C.Y.; Bao, G.Y.; Liu, H.C.; Zhao, Y.M.; Li, D.X.; Xiao, Y.; Liu, J.N. Characteristics and zonation of skarn minerals in Galinge iron deposit, Qinghai Province. Miner. Depos. 2013, 32, 55–76. [Google Scholar]
- Chen, B.; Tian, W.; Jahn, B.M.; Chen, Z.C. Zircon SHRIMP U-Pb ages and in-situ Hf isotopic analysis for the Mesozoic intrusions in South Taihang, North China craton: Evidence for hybridization between mantle-derived magmas and crustal components. Lithos 2008, 102, 118–137. [Google Scholar] [CrossRef]
- Deng, X.D.; Li, J.W.; Wen, G. Dating iron skarn mineralization using hydrothermal allanite-(La) U-Th-Pb isotopes by laser ablation ICP-MS. Chem. Geol. 2014, 382, 95–110. [Google Scholar] [CrossRef]
- Xie, G.Q.; Mao, J.W.; Zhu, Q.Q.; Yao, L.; Li, Y.H.; Li, W.; Zhao, H.J. Geochemical constraints on Cu-Fe and Fe skarn deposits in the Edong district, Middle-Lower Yangtze River metallogenic belt, China. Ore Geol. Rev. 2015, 64, 425–444. [Google Scholar] [CrossRef]
- Liu, C.G.; Jing, J.E.; Jin, S.; Wei, W.B. A study of deep metallogenic prediction and metallogenic mechanism of the Dachang deposit in Guangxi. Geophys. Geochem. Explor. 2021, 45, 337–345. [Google Scholar]
- Liu, S.F.; Hou, J.H.; Liu, X.R.; Sun, S.H. A case study on mineralization mechanism of contact metasomtic skarn-type iron deposit in Jinan, western Shandong area. J. Geol. 2021, 45, 122–137. [Google Scholar]
- Zhang, J.J.; Zhang, S.L.; Zhu, Y.K. Metallogenic geological conditions and metallogenic model of the Hekou Pb-Au deposit in the Wuhe area, Anhui Province. J. Geol. 2019, 43, 57–66. [Google Scholar]
- Duan, Z. The Mineralization and Mechanism of the Iron Skarn Deposits in Laiwu District, Shandong Province. Ph.D. Thesis, China University of Geosciences, Beijing, China, 2019. [Google Scholar]










Disclaimer/Publisher’s Note: The statements, opinions and data contained in all publications are solely those of the individual author(s) and contributor(s) and not of MDPI and/or the editor(s). MDPI and/or the editor(s) disclaim responsibility for any injury to people or property resulting from any ideas, methods, instructions or products referred to in the content. |
© 2023 by the authors. Licensee MDPI, Basel, Switzerland. This article is an open access article distributed under the terms and conditions of the Creative Commons Attribution (CC BY) license (https://creativecommons.org/licenses/by/4.0/).
Share and Cite
Liu, J.; Zhou, K.; Liu, H.; Guo, R.; Zhu, Y.; Zhang, Z.; Liu, R. Metallogenic Prediction of Magnetite in the Pandian Area at the Northwest Margin of Luxi Uplift, China: Constraints of Wide-Field Electromagnetic Data. Remote Sens. 2023, 15, 1217. https://doi.org/10.3390/rs15051217
Liu J, Zhou K, Liu H, Guo R, Zhu Y, Zhang Z, Liu R. Metallogenic Prediction of Magnetite in the Pandian Area at the Northwest Margin of Luxi Uplift, China: Constraints of Wide-Field Electromagnetic Data. Remote Sensing. 2023; 15(5):1217. https://doi.org/10.3390/rs15051217
Chicago/Turabian StyleLiu, Jianxin, Keke Zhou, Hongda Liu, Rongwen Guo, Yunqi Zhu, Zihao Zhang, and Rong Liu. 2023. "Metallogenic Prediction of Magnetite in the Pandian Area at the Northwest Margin of Luxi Uplift, China: Constraints of Wide-Field Electromagnetic Data" Remote Sensing 15, no. 5: 1217. https://doi.org/10.3390/rs15051217
APA StyleLiu, J., Zhou, K., Liu, H., Guo, R., Zhu, Y., Zhang, Z., & Liu, R. (2023). Metallogenic Prediction of Magnetite in the Pandian Area at the Northwest Margin of Luxi Uplift, China: Constraints of Wide-Field Electromagnetic Data. Remote Sensing, 15(5), 1217. https://doi.org/10.3390/rs15051217

