Superior Clone Selection in a Eucalyptus Trial Using Forest Phenotyping Technology via UAV-Based DAP Point Clouds and Multispectral Images
Abstract
1. Introduction
2. Materials and Methods
2.1. Site Description
2.2. Data Acquisition
2.2.1. Field Data Collection
2.2.2. UAV Data Acquisition
2.2.3. Backpack LiDAR Data Acquisition
2.3. Data Processing
2.3.1. UAV and Backpack LiDAR Data Pre-Processing
2.3.2. Individual Tree Segmentation
2.3.3. Phenotypic Traits Extraction
| Traits | Description | Reference |
|---|---|---|
| H | Total tree height, maximum photogrammetric point cloud height within the boundary of individual tree boundaries. | [69] |
| DBH | Diameter at 1.3 m, derived from a quadratic function model using tree height. | [40] |
| CW | Crown width, assuming the crown is circular, calculated by dividing the area of the projected polygon (shapefile) describing the ground cover of the canopy by and multiplied by 4. | [31] |
| NDVI | [53] | |
| RVI | [52] | |
| DVI | [70] | |
| EVI | [71] | |
| SAVI | [72] | |
| MSAVI | [73] | |
| NRI | [60] | |
| GNDVI | [62] | |
| ARI | [74] | |
| RECI | [75] | |
| NDRE | [76] | |
| mNDI | [77] |
2.3.4. Statistical Analysis
- Statistical Model of Variance Analysis
- 2.
- Genetic parameters estimation
- 3.
- Superior clone selection
3. Results
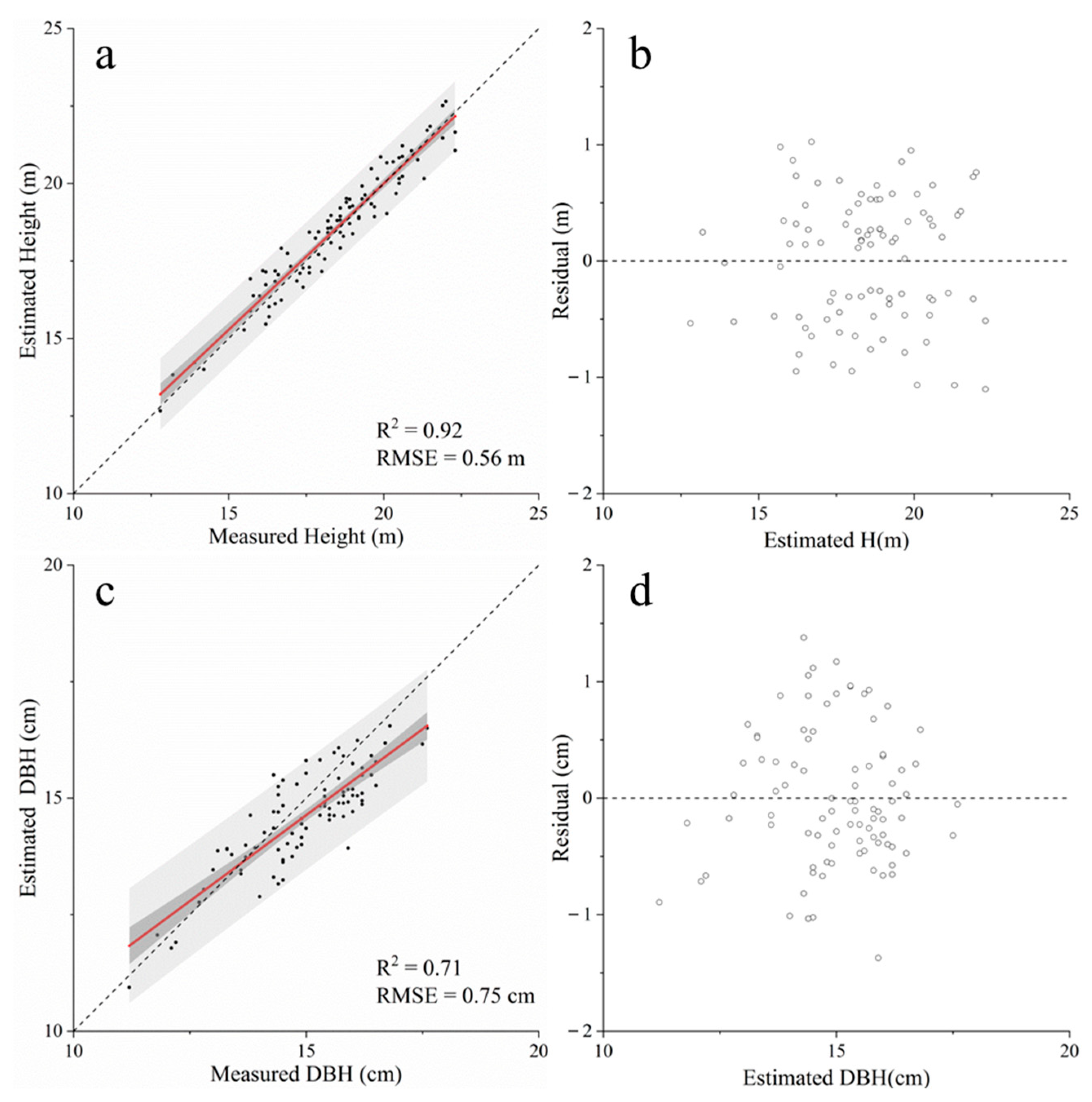
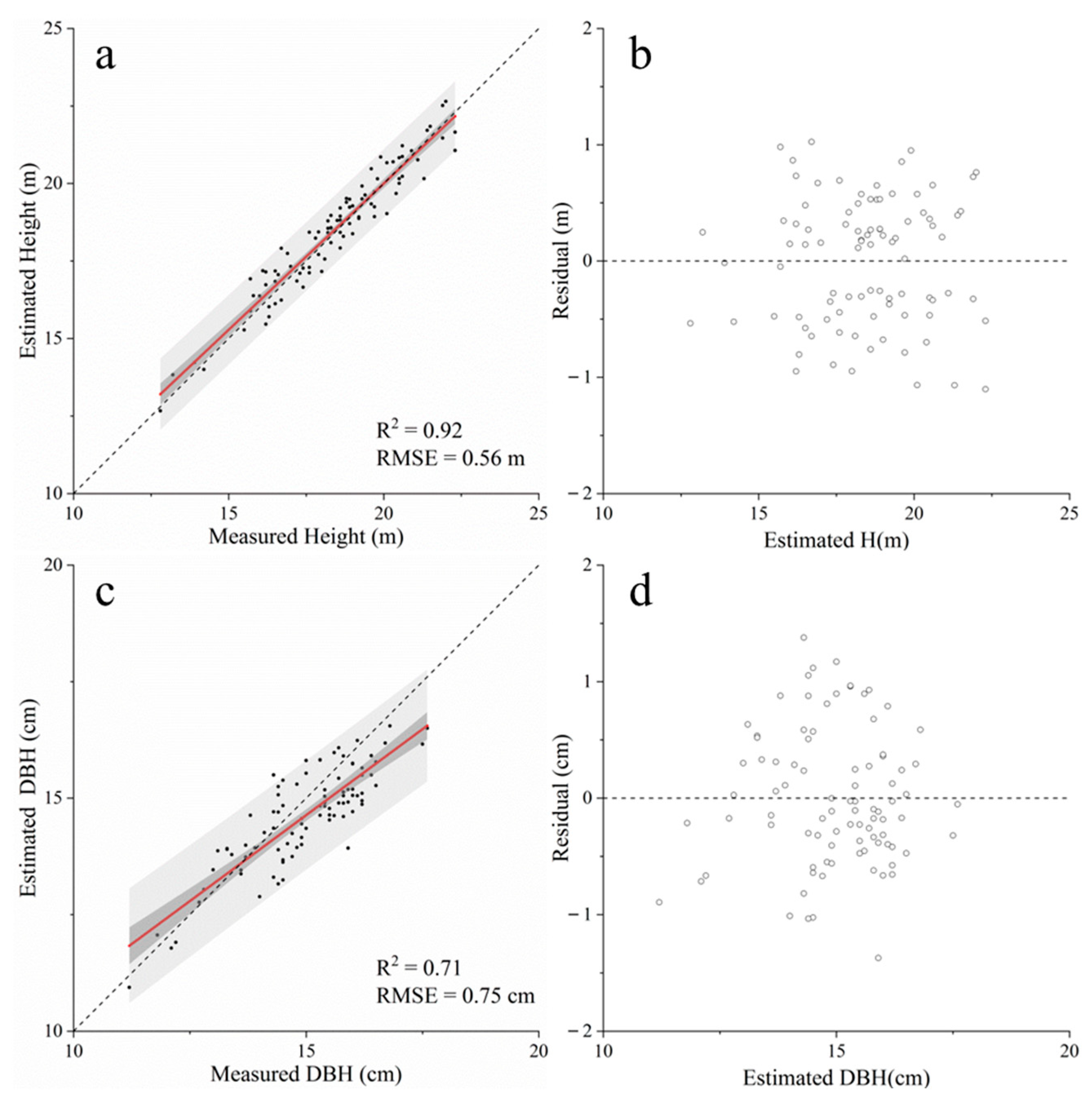
3.1. Traits Extraction and Accuracy Assessment
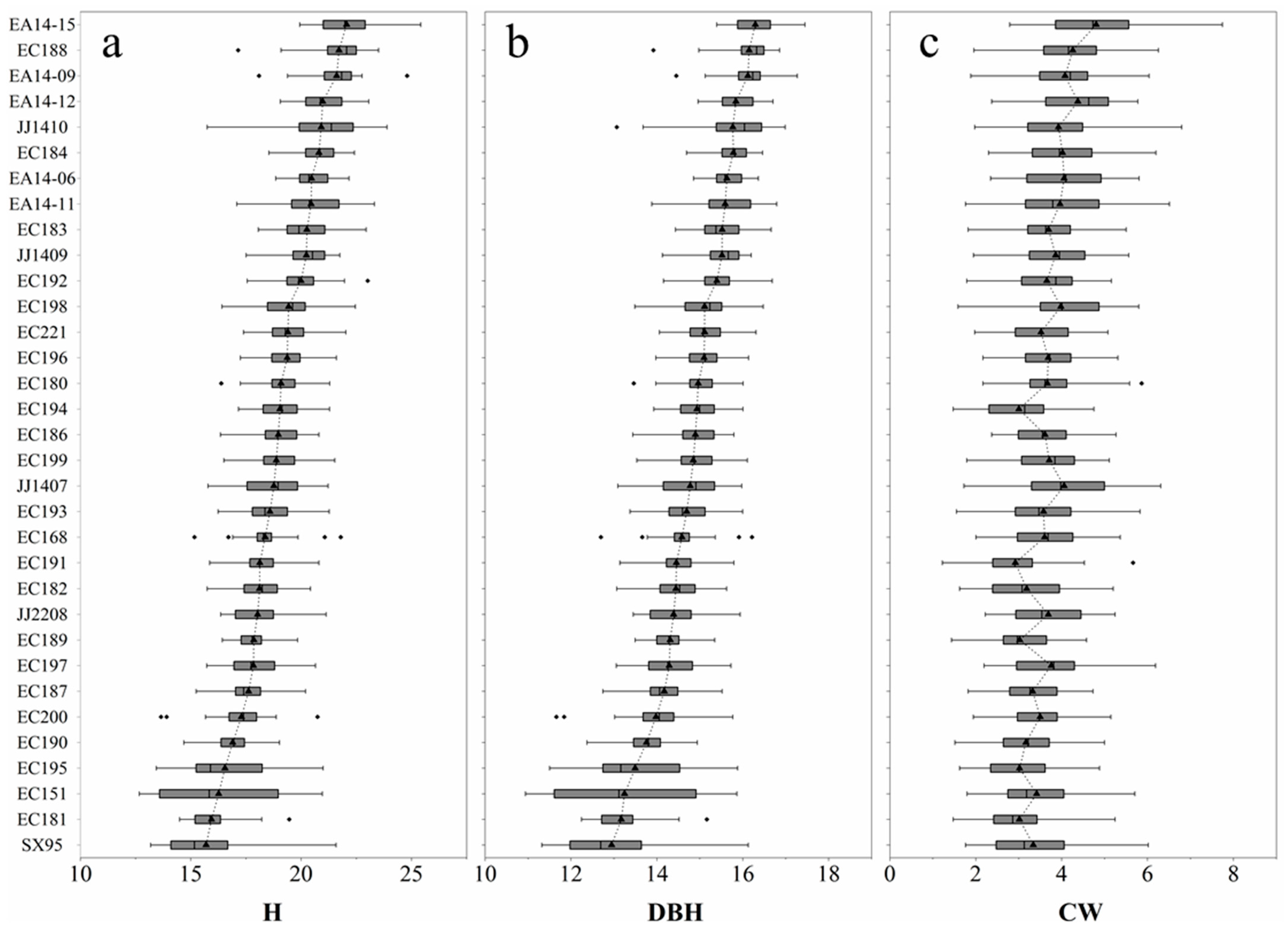
3.2. Genetic Parameters Estimation
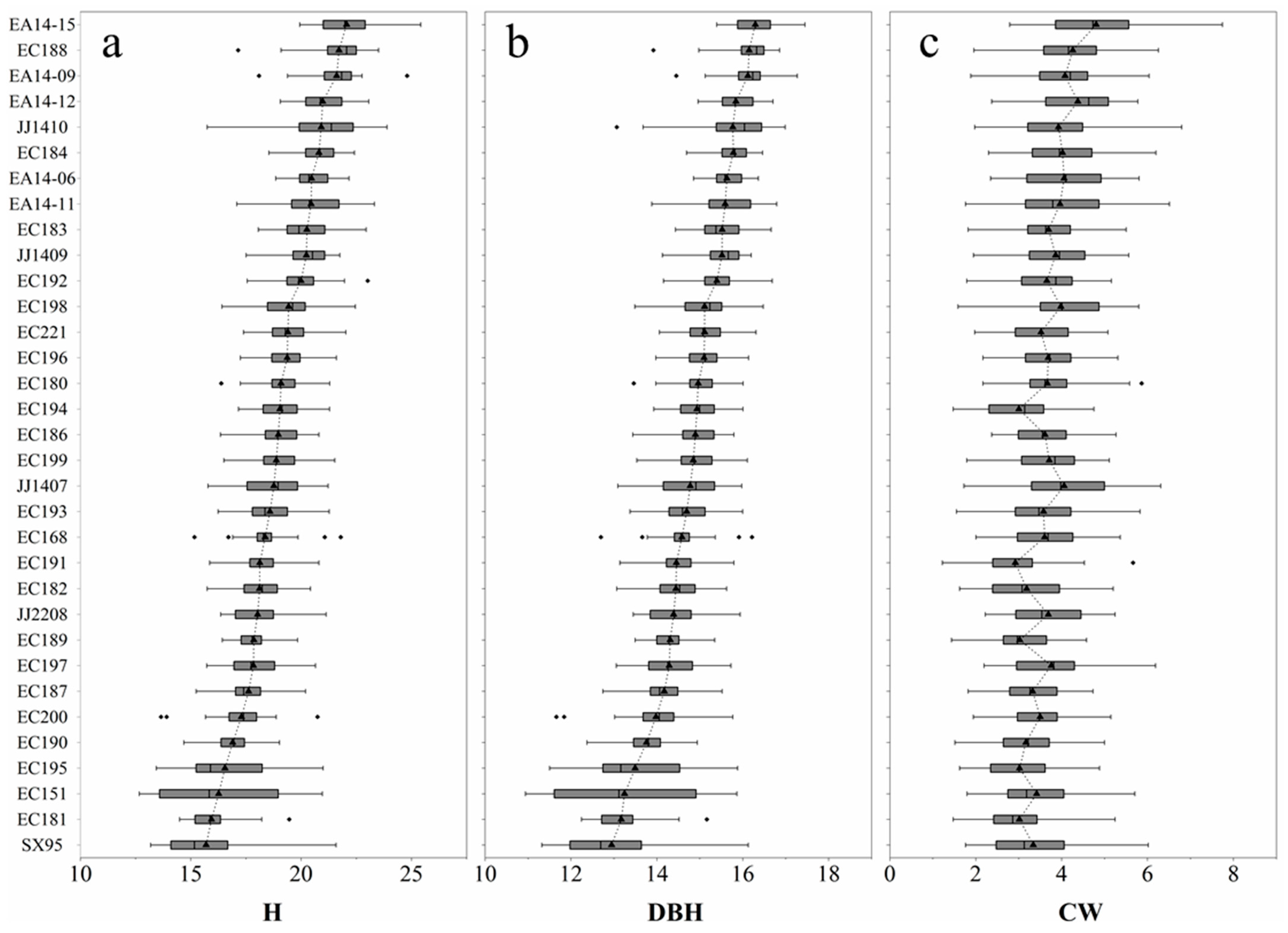
3.3. Evaluation and Selection of Clones
4. Discussion
4.1. Phenotypic Trait Extraction
4.2. Genetic Parameters Estimation and Clone Evaluation
5. Conclusions
Author Contributions
Funding
Acknowledgments
Conflicts of Interest
References
- Gurevitch, J. Managing forests for competing goals. Science 2022, 376, 792–793. [Google Scholar] [CrossRef] [PubMed]
- Wen, Y.; Zhou, X.; Yu, S.; Zhu, H. The Predicament and Countermeasures of Development of Global Eucalyptus Plantations. Guangxi Sci. 2018, 25, 107–116. [Google Scholar] [CrossRef]
- Zhang, S.; Mo, X. Study on Crown Growth Law of Eucalyptus urophylla × E. grandis Clones. Eucalypt Sci. Technol. 2022, 39, 45–49. [Google Scholar] [CrossRef]
- Iglesias-Trabado, G.; Wilstermann, D. Eucalyptus Universalis, Global Cultivated Eucalypt Forests Map 2008. Version 1.0.1. 2008. Available online: http://www.mfkp.org/INRMM/article/13780278 (accessed on 2 December 2022).
- Zhang, Y.; Wang, X. Geographical spatial distribution and productivity dynamic change of eucalyptus plantations in China. Sci. Rep. 2021, 11, 19764. [Google Scholar] [CrossRef] [PubMed]
- Luo, J.; Arnold, R.; Cao, J.G.; Lu, W.; Ren, S.; Xie, Y.J. Variation in pulp wood traits between eucalypt clones across sites and implications for deployment strategies. J. Trop. For. Sci. 2012, 24, 70–82. [Google Scholar] [CrossRef]
- Turnbull, J.W. Development of Sustainable Forestry Plantations in China: A Review; Australian Centre for International Agricultural Research: Canberra, ACT, Australia, 2007; pp. 43–46. [Google Scholar] [CrossRef]
- Chen, S.; Li, C.; Xu, C.; Deng, Z.; Guo, D.; Tang, Q.; Ren, S.; Lu, C.; Liu, Y.; Wu, Q.; et al. Genetic analysis and selection of Eucalyptus clones growth. J. Cent. South Univ. For. Technol. 2020, 40, 25–30. [Google Scholar] [CrossRef]
- Lu, Z.; Xu, J.; Li, G.; Bai, J.; Huang, H.; Hu, Y. Study on Multi-characters Genetic Analysis and Selection Index of 93 Eucalyptus urophylla Clones. Eucalypt Sci. Technol. 2010, 27, 1–8. [Google Scholar] [CrossRef]
- Wu, S.; Zhu, Y.; Xu, J.; Lu, Z.; Chen, G.; Song, P.; Guo, W. Genetic variation and genetic gain for energy production, growth traits and wood properties in Eucalyptus hybrid clones in China. Aust. For. 2017, 80, 57–65. [Google Scholar] [CrossRef]
- Xie, Y.; Mo, X.; Peng, S.; Deng, H.; Liu, L. Genetic variation analysis and early comprehensive selection of 21 Eucalyptus clones in western Guangdong Province, China. J. Nanjing For. Univ. Nat. Sci. 2018, 42, 73–80. [Google Scholar] [CrossRef]
- Zhou, J.; Francois, T.; Tony, P.; John, D.; Daniel, R.; Neil, H.; Simon, G.; Cheng, T.; Zhu, Y.; Wang, X.; et al. Plant phenomics: History, present status and challenges. J. Nanjing Agric. Univ. 2018, 41, 580–588. [Google Scholar]
- Peper, P.J.; Alzate, C.P.; McNeil, J.W.; Hashemi, J. Allometric equations for urban ash trees (Fraxinus spp.) in Oakville, Southern Ontario, Canada. Urban For. Urban Green. 2014, 13, 175–183. [Google Scholar] [CrossRef]
- Chmura, D.J.; Rahman, M.S.; Tjoelker, M.G. Crown structure and biomass allocation patterns modulate aboveground productivity in young loblolly pine and slash pine. For. Ecol. Manag. 2007, 243, 219–230. [Google Scholar] [CrossRef]
- Arzai, A.; Aliyu, B. The relationship between canopy width, height and trunk size in some tree species growing in the Savana zone of Nigeria. Bayero J. Pure Appl. Sci. 2010, 3, 260–263. [Google Scholar] [CrossRef]
- Sharma, R.P.; Bílek, L.; Vacek, Z.; Vacek, S. Modelling crown width–diameter relationship for Scots pine in the central Europe. Trees 2017, 31, 1875–1889. [Google Scholar] [CrossRef]
- Sangjan, W.; Sankaran, S. Phenotyping Architecture Traits of Tree Species Using Remote Sensing Techniques. Trans. ASABE 2021, 64, 1611–1624. [Google Scholar] [CrossRef]
- Neale, D.B.; Ingvarsson, P.K. Population, quantitative and comparative genomics of adaptation in forest trees. Curr. Opin. Plant Biol. 2008, 11, 149–155. [Google Scholar] [CrossRef]
- Houle, D.; Govindaraju, D.R.; Omholt, S. Phenomics: The next challenge. Nat. Rev. Genet. 2010, 11, 855–866. [Google Scholar] [CrossRef]
- Yang, G.; Liu, J.; Zhao, C.; Li, Z.; Huang, Y.; Yu, H.; Xu, B.; Yang, X.; Zhu, D.; Zhang, X.; et al. Unmanned Aerial Vehicle Remote Sensing for Field-Based Crop Phenotyping: Current Status and Perspectives. Front. Plant Sci. 2017, 8, 1111. [Google Scholar] [CrossRef]
- Madec, S.; Baret, F.; De Solan, B.; Thomas, S.; Dutartre, D.; Jezequel, S.; Hemmerlé, M.; Colombeau, G.; Comar, A. High-Throughput Phenotyping of Plant Height: Comparing Unmanned Aerial Vehicles and Ground LiDAR Estimates. Front. Plant Sci. 2017, 8, 2002. [Google Scholar] [CrossRef]
- White, J.W.; Andrade-Sanchez, P.; Gore, M.A.; Bronson, K.F.; Coffelt, T.A.; Conley, M.M.; Feldmann, K.A.; French, A.N.; Heun, J.T.; Hunsaker, D.J.; et al. Field-based phenomics for plant genetics research. Field Crop. Res. 2012, 133, 101–112. [Google Scholar] [CrossRef]
- Dungey, H.S.; Dash, J.P.; Pont, D.; Clinton, P.W.; Watt, M.S.; Telfer, E.J. Phenotyping Whole Forests Will Help to Track Genetic Performance. Trends Plant Sci. 2018, 23, 854–864. [Google Scholar] [CrossRef] [PubMed]
- Kellner, J.R.; Albert, L.P.; Burley, J.T.; Cushman, K.C. The case for remote sensing of individual plants. Am. J. Bot. 2019, 106, 1139–1142. [Google Scholar] [CrossRef] [PubMed]
- Krause, S.; Sanders, T.G.M.; Mund, J.-P.; Greve, K. UAV-Based Photogrammetric Tree Height Measurement for Intensive Forest Monitoring. Remote Sens. 2019, 11, 758. [Google Scholar] [CrossRef]
- Iizuka, K.; Yonehara, T.; Itoh, M.; Kosugi, Y. Estimating Tree Height and Diameter at Breast Height (DBH) from Digital Surface Models and Orthophotos Obtained with an Unmanned Aerial System for a Japanese Cypress (Chamaecyparis obtusa) Forest. Remote Sens. 2018, 10, 13. [Google Scholar] [CrossRef]
- Berninger, A.; Lohberger, S.; Zhang, D.; Siegert, F. Canopy Height and Above-Ground Biomass Retrieval in Tropical Forests Using Multi-Pass X- and C-Band Pol-InSAR Data. Remote Sens. 2019, 11, 2105. [Google Scholar] [CrossRef]
- Nezami, S.; Khoramshahi, E.; Nevalainen, O.; Pölönen, I.; Honkavaara, E. Tree Species Classification of Drone Hyperspectral and RGB Imagery with Deep Learning Convolutional Neural Networks. Remote Sens. 2020, 12, 1070. [Google Scholar] [CrossRef]
- Nevalainen, O.; Honkavaara, E.; Tuominen, S.; Viljanen, N.; Hakala, T.; Yu, X.; Hyyppä, J.; Saari, H.; Pölönen, I.; Imai, N.N.; et al. Individual Tree Detection and Classification with UAV-Based Photogrammetric Point Clouds and Hyperspectral Imaging. Remote Sens. 2017, 9, 185. [Google Scholar] [CrossRef]
- Constantinescu, S.G.; Niculescu, M. Experimental and numerical research of lift force produced by Coanda? In AIP Conference Proceedings; American Institute of Physics: College Park, MA, USA, 2013. [Google Scholar] [CrossRef]
- Camarretta, N.; Harrison, P.A.; Lucieer, A.; Potts, B.M.; Davidson, N.; Hunt, M. From Drones to Phenotype: Using UAV-LiDAR to Detect Species and Provenance Variation in Tree Productivity and Structure. Remote Sens. 2020, 12, 3184. [Google Scholar] [CrossRef]
- Kim, J.; Kim, K.-S.; Kim, Y.; Chung, Y.S. A short review: Comparisons of high-throughput phenotyping methods for detecting drought tolerance. Sci. Agric. 2021, 78. [Google Scholar] [CrossRef]
- Chang, A.; Yeom, J.; Jung, J.; Landivar, J. Comparison of Canopy Shape and Vegetation Indices of Citrus Trees Derived from UAV Multispectral Images for Characterization of Citrus Greening Disease. Remote Sens. 2020, 12, 4122. [Google Scholar] [CrossRef]
- Im, J.; Jensen, J.R. Hyperspectral Remote Sensing of Vegetation. Geogr. Compass 2008, 2, 1943–1961. [Google Scholar] [CrossRef]
- Xue, J.; Su, B. Significant remote sensing vegetation indices: A review of developments and applications. J. Sens. 2017, 2017, 1353691. [Google Scholar] [CrossRef]
- Tayade, R.; Yoon, J.; Lay, L.; Khan, A.L.; Yoon, Y.; Kim, Y. Utilization of Spectral Indices for High-Throughput Phenotyping. Plants 2022, 11, 1712. [Google Scholar] [CrossRef] [PubMed]
- Han, L. Study on High-Throughput Maize Phenotyping Analysis and Evaluation Based on UAV Quantitative Remote Sensing. Ph.D. Thesis, China University of Mining & Technology, Beijing, China, 2019. [Google Scholar]
- Anche, M.T.; Kaczmar, N.S.; Morales, N.; Clohessy, J.W.; Ilut, D.C.; Gore, M.A.; Robbins, K.R. Temporal covariance structure of multi-spectral phenotypes and their predictive ability for end-of-season traits in maize. Theor. Appl. Genet. 2020, 133, 2853–2868. [Google Scholar] [CrossRef]
- Rabab, S.; Breen, E.; Gebremedhin, A.; Shi, F.; Badenhorst, P.; Chen, Y.-P.; Daetwyler, H. A New Method for Extracting Individual Plant Bio-Characteristics from High-Resolution Digital Images. Remote Sens. 2021, 13, 1212. [Google Scholar] [CrossRef]
- Liao, L.; Cao, L.; Xie, Y.; Luo, J.; Wang, G. Phenotypic Traits Extraction and Genetic Characteristics Assessment of Eucalyptus Trials Based on UAV-Borne LiDAR and RGB Images. Remote Sens. 2022, 14, 765. [Google Scholar] [CrossRef]
- Liziniewicz, M.; Ene, L.T.; Malm, J.; Lindberg, J.; Helmersson, A.; Karlsson, B. Estimation of Genetic Parameters and Selection of Superior Genotypes in a 12-Year-Old Clonal Norway Spruce Field Trial after Phenotypic Assessment Using a UAV. Forests 2020, 11, 992. [Google Scholar] [CrossRef]
- Pont, D.; Dungey, H.S.; Suontama, M.; Stovold, G.T. Spatial Models With Inter-Tree Competition From Airborne Laser Scanning Improve Estimates of Genetic Variance. Front. Plant Sci. 2021, 11, 596315. [Google Scholar] [CrossRef]
- Tao, X.; Li, Y.; Yan, W.; Wang, M.; Tan, Z.; Jiang, J.; Luan, Q. Heritable variation in tree growth and needle vegetation indices of slash pine (Pinus elliottii) using unmanned aerial vehicles (UAVs). Ind. Crop. Prod. 2021, 173, 114073. [Google Scholar] [CrossRef]
- Wu, S.; Lu, Z.; Xu, J.; Chen, G.; Zhu, Y.; Li, G. Genetic variation in growth traits and stem–branch characteristics and their relationships to Eucalyptus clones. J. For. Res. 2015, 26, 957–962. [Google Scholar] [CrossRef]
- Andrade, M.C.; Fernandes, A.C.M.; de Siqueira, L.; Tambarussi, E.V. THE USE OF GENETIC DISTANCE AND GROUPING METHODS TO PREDICT Eucalyptus Pellita F. MUELL GENITORS FOR HYBRIDIZATION. Cerne 2020, 26, 414–426. [Google Scholar] [CrossRef]
- Zhang, L.; Xiong, T.; Wang, J.; Shi, Q.; Li, L.; Chen, D.; Tang, Z.; Lan, J. Eucalyptus Clonal Breeding at Guangxi Dongmen Forest Farm. Eucalypt Sci. Technol. 2015, 32, 45–49. [Google Scholar] [CrossRef]
- Mo, J.; Wu, Y.; Lan, J.; Li, H.; Wu, B.; Deng, H. Present Status of Forest Resources and Sustainable Development in Dongmen Forest Farm, Guangxi. Eucalypt Sci. Technol. 2011, 28, 53–56. [Google Scholar] [CrossRef]
- Zhao, X.; Guo, Q.; Su, Y.; Xue, B. Improved progressive TIN densification filtering algorithm for airborne LiDAR data in forested areas. ISPRS J. Photogramm. Remote Sens. 2016, 117, 79–91. [Google Scholar] [CrossRef]
- Chen, Q.; Baldocchi, D.; Gong, P.; Kelly, M. Isolating Individual Trees in a Savanna Woodland Using Small Footprint Lidar Data. Photogramm. Eng. Remote Sens. 2006, 72, 923–932. [Google Scholar] [CrossRef]
- Zhang, Y.; Chen, Q.; Tian, X.; Shi, X.; Zhang, C. Individual Tree Crown Extraction based on UAV Visible Light Remote Sensing Technology. J. West China For. Sci. 2022, 51, 49–59. [Google Scholar] [CrossRef]
- Goutte, C.; Gaussier, E. A probabilistic interpretation of precision, recall and F-score, with implication for evaluation. In Proceedings of the European Conference on Information Retrieval, Santiago de Compostela, Spain, 21–23 March 2005; Springer: Berlin/Heidelberg, Germany, 2005; pp. 345–359. [Google Scholar]
- Jordan, C.F. Derivation of Leaf-Area Index from Quality of Light on the Forest Floor. Ecology 1969, 50, 663–666. [Google Scholar] [CrossRef]
- Rouse, J.W.; Haas, R.H.; Schell, J.A.; Deering, D.W. Monitoring Vegetation Systems in the Great Plains with ERTS; NASA Special Publications: Washington, DC, USA, 1973. [Google Scholar]
- Nielsen, A.A.; Conradsen, K.; Simpson, J.J. Multivariate Alteration Detection (MAD) and MAF Postprocessing in Multispectral, Bitemporal Image Data: New Approaches to Change Detection Studies. Remote Sens. Environ. 1998, 64, 1–19. [Google Scholar] [CrossRef]
- Zhou, M.; Li, C.; Dai, H. Monitoring annual forest change in Eucalyptus plantation based on RGB-NDVI detection of remote sensing imagery. J. Nanjing For. Univ. Nat. Sci. 2017, 41, 65–71. [Google Scholar] [CrossRef]
- Becker, F.; Choudhury, B.J. Relative sensitivity of normalized difference vegetation Index (NDVI) and microwave polarization difference Index (MPDI) for vegetation and desertification monitoring. Remote Sens. Environ. 1988, 24, 297–311. [Google Scholar] [CrossRef]
- Li, Z.; Hu, D.; Zhao, D.; Xiang, D. Research Advance of Broadband Vegetation Index Using Remotely Sensed Images. J. Yangtze River Sci. Res. 2015, 32, 125–130. [Google Scholar] [CrossRef]
- Huete, A.; Hua, G.; Qi, J.; Chehbouni, A.; van Leeuwen, W. Normalization of multidirectional red and NIR reflectances with the SAVI. Remote Sens. Environ. 1992, 41, 143–154. [Google Scholar] [CrossRef]
- Lu, X.; Huang, Y.; Yan, H.; Wei, W.; Li, Z. Research on Eucalyptus Extraction Based on Automatic Threshold Decision Tree Classification. For. Resour. Manag. 2020, 4, 117–126. [Google Scholar] [CrossRef]
- Bausch, W.C.; Duke, H.R. Remote Sensing of Plant Nitrogen Status in Corn. Trans. ASAE 1996, 39, 1869–1875. [Google Scholar] [CrossRef]
- Diker, K.; Bausch, W.C. Potential Use of Nitrogen Reflectance Index to estimate Plant Parameters and Yield of Maize. Biosyst. Eng. 2003, 85, 437–447. [Google Scholar] [CrossRef]
- Gitelson, A.A.; Kaufman, Y.J.; Merzlyak, M.N. Use of a green channel in remote sensing of global vegetation from EOS-MODIS. Remote Sens. Environ. 1996, 58, 289–298. [Google Scholar] [CrossRef]
- Coops, N.C.; Stone, C.; Culvenor, D.S.; Chisholm, L. Assessment of Crown Condition in Eucalypt Vegetation by Remotely Sensed Optical Indices. J. Environ. Qual. 2004, 33, 956–964. [Google Scholar] [CrossRef]
- Barry, K.M.; Stone, C.; Mohammed, C. Crown-scale evaluation of spectral indices for defoliated and discoloured eucalypts. Int. J. Remote Sens. 2008, 29, 47–69. [Google Scholar] [CrossRef]
- Zhang, L. Research on Remote Sensing Biomass Estimate of Eucalyptus Plantation; Guangxi University: Nanning, China, 2012. [Google Scholar]
- De Oliveira, L.F.R.; Gomes, F.S.; Santana, R. Estimating foliar nitrogen in Eucalyptus using vegetation indexes. Sci. Agricola 2017, 74, 142–147. [Google Scholar] [CrossRef]
- Liao, K.; Yang, F.; Dang, H.; Wu, Y.; Luo, K.; Li, G. Detection of Eucalyptus Leaf Disease with UAV Multispectral Imagery. Forests 2022, 13, 1322. [Google Scholar] [CrossRef]
- Duarte, A.; Acevedo-Muñoz, L.; Gonçalves, C.I.; Mota, L.; Sarmento, A.; Silva, M.; Fabres, S.; Borralho, N.; Valente, C. Detection of Longhorned Borer Attack and Assessment in Eucalyptus Plantations Using UAV Imagery. Remote Sens. 2020, 12, 3153. [Google Scholar] [CrossRef]
- Shen, X.; Cao, L.; Yang, B.; Xu, Z.; Wang, G. Estimation of Forest Structural Attributes Using Spectral Indices and Point Clouds from UAS-Based Multispectral and RGB Imageries. Remote Sens. 2019, 11, 800. [Google Scholar] [CrossRef]
- Richardsons, A.J.; Wiegand, A. Distinguishing vegetation from soil background information. Photogramm. Eng. Remote Sens. 1977, 43, 1541–1552. [Google Scholar] [CrossRef]
- Huete, A.; Didan, K.; Miura, T.; Rodriguez, E.P.; Gao, X.; Ferreira, L.G. Overview of the radiometric and biophysical performance of the MODIS vegetation indices. Remote Sens. Environ. 2002, 83, 195–213. [Google Scholar] [CrossRef]
- Huete, A.R. A soil-adjusted vegetation index (SAVI). Remote Sens. Environ. 1988, 25, 295–309. [Google Scholar] [CrossRef]
- Qi, J.; Chehbouni, A.; Huete, A.R.; Kerr, Y.H.; Sorooshian, S. A modified soil adjusted vegetation index. Remote Sens. Environ. 1994, 48, 119–126. [Google Scholar] [CrossRef]
- Gitelson, A.A.; Merzlyak, M.N.; Chivkunova, O.B. Optical properties and nondestructive estimation of anthocyanin content in plant leaves. Photochem. Photobiol. 2001, 74, 38–45. [Google Scholar] [CrossRef] [PubMed]
- Gitelson, A.A.; Gritz, Y.; Merzlyak, M.N. Relationships between leaf chlorophyll content and spectral reflectance and algorithms for non-destructive chlorophyll assessment in higher plant leaves. J. Plant Physiol. 2003, 160, 271–282. [Google Scholar] [CrossRef]
- Gitelson, A.A.; Merzlyak, M.N. Quantitative estimation of chlorophyll-a using reflectance spectra: Experiments with autumn chestnut and maple leaves. J. Photochem. Photobiol. B Biol. 1994, 22, 247–252. [Google Scholar] [CrossRef]
- Sims, D.A.; Gamon, J.A. Relationships between leaf pigment content and spectral reflectance across a wide range of species, leaf structures and developmental stages. Remote Sens. Environ. 2002, 81, 337–354. [Google Scholar] [CrossRef]
- Otsu, N. A threshold selection method from gray-level histograms. IEEE Trans. Syst. Man Cybern. 1979, 9, 62–66. [Google Scholar] [CrossRef]
- Li, S.; Su, J.; Lang, X.; Huang, X.; Mou, Y.; Yang, L. Genetic Variation and Early Selection Analysis of Open-pollinated Families of Pinus kesiya var. langbianensis. For. Res. 2017, 30, 929–935. [Google Scholar] [CrossRef]
- Xu, J. Quantitative Genetics in Forestry; China Forestry Publishing House: Beijing, China, 2006; ISBN 9787040189513. [Google Scholar]
- Xu, J. Application of Repeatability in Tree Breeding. J. Beijing for. Univ. 1988, 10, 97–102. [Google Scholar]
- Wang, F.; Zhang, S. Calculation and application of phenotypic correlation coefficient and genetic correlation coefficient. Liaoning Agric. Sci. 1982, 1, 20–25. [Google Scholar]
- Wang, D. Statistical Analysis and Softw are Development of Genetic Model for Half-sib Progeny Test in Forest Trees; Nanjing Forestry University: Nanjing, China, 2015. [Google Scholar]
- Wang, H.; Zeng, J.; Luo, B.; Guo, J.; Wang, C.; Zhao, Z.; Zeng, J. Multiple- trait combined selection of superior Betula alnoides clones in eastern Guangdong. J. Cent. South Univ. For. Technol. 2017, 37, 72–75. [Google Scholar] [CrossRef]
- Xu, J.M.; Lu, Z.H.; Li, G.Y.; Bai, J.Y. Study on integrated selection of provenances-families of Eucalytus tereticornis. For. Res. 2003, 16, 1–7. [Google Scholar]
- Luo, S.; Jiang, X.; Yang, K.; Li, Y.; Fang, S. Multispectral remote sensing for accurate acquisition of rice phenotypes: Impacts of radiometric calibration and unmanned aerial vehicle flying altitudes. Front. Plant Sci. 2022, 13, 958106. [Google Scholar] [CrossRef]
- Yun, T.; Jiang, K.; Li, G.; Eichhorn, M.P.; Fan, J.; Liu, F.; Chen, B.; An, F.; Cao, L. Individual tree crown segmentation from airborne LiDAR data using a novel Gaussian filter and energy function minimization-based approach. Remote Sens. Environ. 2021, 256, 112307. [Google Scholar] [CrossRef]
- Kang, K.-S.; Han, M.-S.; Kim, I.-S.; Nam, S.-H. Estimation of Genetic Parameters for Growth Performance and Survival Rate in a Clonal Test of Peronema canescens. Plant Breed. Biotechnol. 2013, 1, 245–252. [Google Scholar] [CrossRef]
- Braga, R.C.; Paludeto, J.G.Z.; de Souza, B.M.; Aguiar, A.V.; Pollnow, M.F.M.; Carvalho, A.G.M.; Tambarussi, E.V. Genetic parameters and genotype × environment interaction in Pinus taeda clonal tests. For. Ecol. Manag. 2020, 474, 118342. [Google Scholar] [CrossRef]
- Baltunis, B.S.; Wu, H.X.; Dungey, H.S.; Mullin, T.J.; Brawner, J.T. Comparisons of genetic parameters and clonal value predictions from clonal trials and seedling base population trials of radiata pine. Tree Genet. Genomes 2008, 5, 269–278. [Google Scholar] [CrossRef]
- Pei, X.; Jiang, L.; Ahmed, A.K.M.; Yu, H.; Chong, R.; You, X.; Zhao, X. Growth variations and stability analyses of seven poplar clones at three sites in northeast China. J. For. Res. 2020, 32, 1673–1680. [Google Scholar] [CrossRef]
- Ignacio-Sanchez, E.; Vargas-Hernandez, J.J.; Lopez-Upton, J.; Borja-De La Rosa, A. Genetic parameters for growth and wood density in juvenile Eucalyptus urophylla S. T. Blake. Agrociencia 2005, 39, 469–479. [Google Scholar]
- Wang, J.; Mo, Y.; Shen, L.; Fu, C.; Li, C.; Wei, G. Genetic Variation Analysis and Selection of 23 Eucalyptus Clones in Southern Guangxi. Southwest China J. Agric. Sci. 2019, 32, 2174–2179. [Google Scholar] [CrossRef]
- Li, C.; Wu, B.; Chen, D.; Tang, Q.; Zhang, Z.; Wu, X.; Lan, J. Comprehensive Analysis of Multiple Traits of Eucalyptus urophylla x Eucalyptus grangdis Clones. J. West China For. Sci. 2014, 43, 37–43. [Google Scholar] [CrossRef]
- Santini, F.; Serrano, L.; Kefauver, S.C.; Abdullah-Al, M.; Aguilera, M.; Sin, E.; Voltas, J. Morpho-physiological variability of Pinus nigra populations reveals climate-driven local adaptation but weak water use differentiation. Environ. Exp. Bot. 2019, 166, 103828. [Google Scholar] [CrossRef]
- Coupel-Ledru, A.; Pallas, B.; Delalande, M.; Boudon, F.; Carrié, E.; Martinez, S.; Regnard, J.-L.; Costes, E. Multi-scale high-throughput phenotyping of apple architectural and functional traits in orchard reveals genotypic variability under contrasted watering regimes. Hortic. Res. 2019, 6, 52. [Google Scholar] [CrossRef] [PubMed]
- Li, C. Studies on Clone Selection and Silviculture Effect for Sawlog of E. Urophylla×E. Grangdis. Master’s Thesis, Guangxi University, Nanning, China, 2007. [Google Scholar]
- Natarajan, S.; Basnayake, J.; Wei, X.; Lakshmanan, P. High-Throughput Phenotyping of Indirect Traits for Early-Stage Selection in Sugarcane Breeding. Remote Sens. 2019, 11, 2952. [Google Scholar] [CrossRef]
- Resende, R.T.; De Resende, M.D.V.; Silva, F.F.E.; Takahashi, E.K. Acurácia preditiva de testes clonais de Eucalyptus spp. utilizando efeitos aditivos do parentesco e validação cruzada. Sci. For. 2017, 45, 39–47. [Google Scholar] [CrossRef]
- Henery, M.L. The constraints of selecting for insect resistance in plantation trees. Agric. For. Èntomol. 2010, 13, 111–120. [Google Scholar] [CrossRef]
- Gylander, T.; Hamann, A.; Brouard, J.S.; Thomas, B.R. The Potential of Aspen Clonal Forestry in Alberta: Breeding Regions and Estimates of Genetic Gain from Selection. PLoS ONE 2012, 7, e44303. [Google Scholar] [CrossRef] [PubMed]
- Zobel, B.J.; Talbert, J. Applied Forest Tree Improvement; John Wiley & Sons: Hoboken, NJ, USA, 1984. [Google Scholar]









| Criteria | UAV |
|---|---|
| Ground sampling distance | (Height/18.9) cm/pixel |
| Camera filter wavelength range | Blue: 450 nm ± 16 nm |
| Green: 560 nm ± 16 nm | |
| Red: 650 nm ± 16 nm | |
| Red edge: 730 nm ± 16 nm | |
| NIR: 840 nm ± 26 nm | |
| FOV | 62.7° |
| Focal length | 5.74 mm |
| Aperture | f/2.2 |
| ISO range for color sensors | 200–800 |
| Monochrome sensor gain | 1–8 times |
| Electronic global shutter | 1/100–1/20,000 s (visible light imaging) |
| 1/100–1/10,000 s (multispectral imaging) |
| Criteria | Backpack LiDAR |
|---|---|
| Number of lasers | 2 |
| FOV | Vertical: 180° (−90°~90°) Horizontal: 360° |
| Scanning mode | 16 lines repeat scanning |
| Laser ranging distance | 100 m (20% reflectance) |
| Number of echoes | 1 |
| GNSS accuracy | 1 cm + 1 ppm |
| Trait | ANOVA F-Statistics | Component of Variance | Rc | Ri | ||||
|---|---|---|---|---|---|---|---|---|
| Block | Clone | Block Clone * | Clone | Block Clone * | Error | |||
| H | 63.8986 ** | 85.6103 ** | 3.7984 ** | 2.4011 | 0.2978 | 1.1139 | 0.96 | 0.63 |
| DBH | 63.5232 ** | 84.2521 ** | 3.9086 ** | 0.6431 | 0.084 | 0.3022 | 0.95 | 0.62 |
| CW | 0.1539 | 10.6119 ** | 2.0881 ** | 0.1484 | 0.0786 | 0.7561 | 0.78 | 0.15 |
| NDVI | 111.7678 ** | 159.1202 ** | 12.4319 ** | 0.0005 | 0.0001 | 0.0001 | 0.92 | 0.65 |
| RVI | 95.7626 ** | 154.6755 ** | 10.1028 ** | 1.1684 | 0.2704 | 0.311 | 0.93 | 0.67 |
| DVI | 53.2738 ** | 120.9143 ** | 5.0305 ** | 0.0016 | 0.0002 | 0.0005 | 0.96 | 0.68 |
| EVI | 100.1138 ** | 170.6675 ** | 6.6433 ** | 0.0031 | 0.0004 | 0.0008 | 0.96 | 0.73 |
| SAVI | 99.2175 ** | 183.123 ** | 6.8266 ** | 0.001 | 0.0001 | 0.0002 | 0.96 | 0.74 |
| MSAVI | 116.0216 ** | 197.367 ** | 7.9924 ** | 0.0012 | 0.0002 | 0.0003 | 0.96 | 0.74 |
| NRI | 42.1776 ** | 197.1244 ** | 8.2089 ** | 0.2576 | 0.0353 | 0.0513 | 0.96 | 0.75 |
| GNDVI | 50.5064 ** | 212.3308 ** | 9.9897 ** | 0.0009 | 0.0001 | 0.0002 | 0.95 | 0.74 |
| ARI | 6.1389 ** | 83.94 ** | 6.3866 ** | 0.5034 | 0.1235 | 0.2399 | 0.93 | 0.58 |
| RECI | 56.287 ** | 156.1518 ** | 11.5513 ** | 0.0024 | 0.0006 | 0.0006 | 0.93 | 0.66 |
| NDRE | 59.473 ** | 157.8481 ** | 12.0811 ** | 0.0002 | 0.0001 | 0.0001 | 0.92 | 0.66 |
| mNDI | 49.9884 ** | 145.3982 ** | 11.9951 ** | 0.0003 | 0.0001 | 0.0001 | 0.92 | 0.64 |
| Selection Rate | Number of Selected | Genetic Gain (%) | ||||||||||||||
|---|---|---|---|---|---|---|---|---|---|---|---|---|---|---|---|---|
| H | DBH | CW | NDVI | RVI | DVI | EVI | SAVI | MSAVI | NRI | GNDVI | ARI | RECI | NDRE | mNDI | ||
| Top 10% | 4 | 10.55 | 6.63 | 11.30 | 3.57 | 17.00 | 11.17 | 7.73 | 6.89 | 7.27 | 15.47 | 6.20 | 10.15 | 11.63 | 8.96 | 6.97 |
| Top 20% | 7 | 9.91 | 6.28 | 13.06 | −0.39 | −2.96 | −1.93 | −3.41 | −1.18 | −1.25 | 3.11 | 1.77 | 5.16 | 5.00 | 4.04 | 3.54 |
| Top 30% | 10 | 1.87 | 1.51 | 1.26 | 2.39 | 10.09 | 4.48 | 4.20 | 3.36 | 3.85 | 7.06 | 3.04 | 6.93 | 3.43 | 2.77 | 1.85 |
Disclaimer/Publisher’s Note: The statements, opinions and data contained in all publications are solely those of the individual author(s) and contributor(s) and not of MDPI and/or the editor(s). MDPI and/or the editor(s) disclaim responsibility for any injury to people or property resulting from any ideas, methods, instructions or products referred to in the content. |
© 2023 by the authors. Licensee MDPI, Basel, Switzerland. This article is an open access article distributed under the terms and conditions of the Creative Commons Attribution (CC BY) license (https://creativecommons.org/licenses/by/4.0/).
Share and Cite
Tao, S.; Xie, Y.; Luo, J.; Wang, J.; Zhang, L.; Wang, G.; Cao, L. Superior Clone Selection in a Eucalyptus Trial Using Forest Phenotyping Technology via UAV-Based DAP Point Clouds and Multispectral Images. Remote Sens. 2023, 15, 899. https://doi.org/10.3390/rs15040899
Tao S, Xie Y, Luo J, Wang J, Zhang L, Wang G, Cao L. Superior Clone Selection in a Eucalyptus Trial Using Forest Phenotyping Technology via UAV-Based DAP Point Clouds and Multispectral Images. Remote Sensing. 2023; 15(4):899. https://doi.org/10.3390/rs15040899
Chicago/Turabian StyleTao, Shiyue, Yaojian Xie, Jianzhong Luo, Jianzhong Wang, Lei Zhang, Guibin Wang, and Lin Cao. 2023. "Superior Clone Selection in a Eucalyptus Trial Using Forest Phenotyping Technology via UAV-Based DAP Point Clouds and Multispectral Images" Remote Sensing 15, no. 4: 899. https://doi.org/10.3390/rs15040899
APA StyleTao, S., Xie, Y., Luo, J., Wang, J., Zhang, L., Wang, G., & Cao, L. (2023). Superior Clone Selection in a Eucalyptus Trial Using Forest Phenotyping Technology via UAV-Based DAP Point Clouds and Multispectral Images. Remote Sensing, 15(4), 899. https://doi.org/10.3390/rs15040899

