A Spatial–Temporal Joint Radar-Communication Waveform Design Method with Low Sidelobe Level of Beampattern
Abstract
:1. Introduction
2. Signal Model
2.1. Multibeam Waveform Strategy
2.2. Spatial Waveform Distribution
| Parameter | Value |
|---|---|
| Array number | 10 |
| Element spacing | /2 |
| Carrier frequency | 3 GHz |
| Sampling number | 1024 |
| Radar direction | 36.87 |
| Radar 3dB beam width | 12.69 |
| Desired radar waveform | LFM |
| Baseband bandwidth | 100 MHz |
| Pulse width | 5.12 s |
| Communication direction | −45 |
| Communication 3dB beam width | 14.36 |
| Modulation | QPSK |
| Symbol number | 64 |
| PSLR upper bounder | −6 dB |
| PSLR lower bounder | −11 dB |
| Main beam power difference | 3 dB |
| Main beams region | |
| Sidelobe region | |
| Iteration number | 300 |
3. Integrated Waveform Design
3.1. Integrated Waveform Design Model with Beamforming Algorithm
3.2. Waveform Covariance Matrix Design with Beampattern Constraint
3.3. Integrated Waveform Optimization with Alternating Projection Algorithm

4. Performance Metrics
4.1. Beampattern Performance Metrics
4.2. Radar Performance Metrics
4.3. Communication Performance Metrics
4.4. Convergence and Computational Complexity Performance
5. Numerical Results
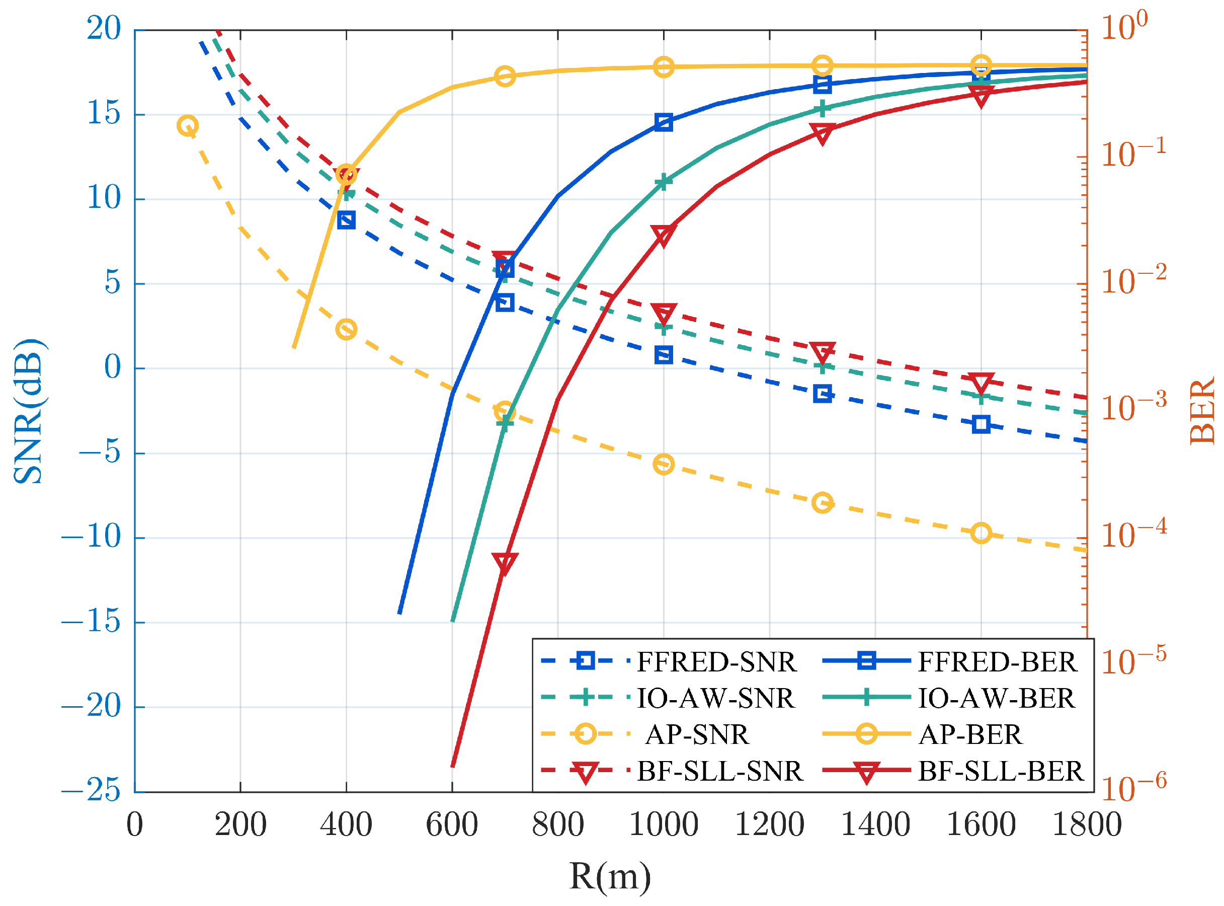
5.1. Simulation Results
| Method | Radar Peak (dB) | Comm. Peak (dB) | Radar Beam Width | Comm. Beam Width | PSLR (dB) | ISLR (dB) |
|---|---|---|---|---|---|---|
| FFRED | 14.72 | 11.72 | 15.60 | 28.70 | −2.16 | −3.72 |
| IO-AW | 16.37 | 13.37 | 15.90 | 17.80 | −1.79 | −11.08 |
| AP | 8.27 | 5.27 | 29.00 | 59.50 | 13.59 | 16.78 |
| BF-SLL | 17.29 | 14.29 | 13.20 | 15.60 | −7.33 | −13.42 |
5.2. Semi-Physical Results
| Parameter | Value |
|---|---|
| Array number | 8 |
| Element spacing | 0.045 m |
| Carrier frequency | 3 GHz |
| Radar direction | |
| Radar 3dB beam width | |
| Desired radar waveform | LFM |
| Baseband bandwidth | 300 MHz |
| Pulse width | 2.048 s |
| Communication direction | |
| Communication 3dB beam width | |
| Modulation | QPSK |
| Symbol number | 64 |
| PSLR upper bounder | −4 dB |
| PSLR lower bounder | −12 dB |
| Main beam power difference | 3 dB |
| Main beam region | |
| Sidelobe region | |
| Iteration number | 300 |
6. Discussion
7. Conclusions
Author Contributions
Funding
Data Availability Statement
Conflicts of Interest
Abbreviations
| BER | Bit error ratio |
| CA | Cyclic algorithm |
| FH | Frequency-hopping |
| FFRED | Far-field radiated emission design |
| IO-AW | Iterative optimization with amplitude weighting |
| IRW | Impulse response width |
| ISLR | Integrated sidelobe ratio |
| JRC | Joint radar-communication |
| KKT | Karush–Kuhn–Tucker |
| LFM | Linear frequency modulation |
| MF-ISLR | Matched filtering integrated sidelobe ratio |
| MF-PSLR | Matched filtering peak sidelobe ratio |
| MUI | Multi-user interference |
| NESZ | Noise equivalent sigma zero |
| OFDM | Orthogonal frequency division multiplexing |
| OPP | Orthogonal Procrustes Problem |
| PAPR | Peak-to-average ratio |
| PSLR | Peak sidelobe ratio |
| QPSK | Quadrature phase shift keying |
| SINR | Signal-to-interference-plus-noise ratio |
| SLL | Sidelobe level |
| SNR | Signal-to-noise ratio |
| SVD | Single Value Decomposition |
| ULA | Uniform linear array |
References
- Axell, E.; Leus, G.; Larsson, E.; Poor, H. Spectrum sensing for cognitive radio : State-of-the-art and recent advances. IEEE Signal Process. Mag. 2012, 29, 101–116. [Google Scholar]
- Geng, Z.; Deng, H.; Himed, B. Adaptive radar beamforming for interference mitigation in radar-wireless spectrum sharing. IEEE Signal Process. Lett. 2015, 22, 484–488. [Google Scholar]
- Labib, M.; Marojevic, V.; Martone, A.F.; Reed, J.H.; Zaghloui, A.I. Coexistence between communications and radar systems: A survey. Radio Sci. Bull. 2017, 2017, 74–82. [Google Scholar]
- Zheng, L.; Lops, M.; Eldar, Y.C.; Wang, X. Radar and communication coexistence: An overview: A review of recent methods. IEEE Signal Process. Mag. 2019, 36, 85–99. [Google Scholar]
- Alaee-Kerahroodi, M.; Raei, E.; Kumar, S.; Shankar, B. Cognitive Radar Waveform Design and Prototype for Coexistence with Communications. IEEE Sens. J. 2022, 22, 9787–9802. [Google Scholar]
- Li, B.; Petropulu, A.P.; Trappe, W. Optimum co-design for spectrum sharing between matrix completion based MIMO radars and a MIMO communication system. IEEE Trans. Signal Process. 2016, 64, 4562–4575. [Google Scholar]
- Qian, J.; Liu, Z.; Lu, Y.; Zheng, L.; Zhang, A.; Han, F. Radar and communication spectral coexistence on moving platform with interference suppression. Remote Sens. 2022, 14, 5018. [Google Scholar]
- Sodagari, S.; Khawar, A.; Clancy, T.C.; McGwier, R. A projection based approach for radar and telecommunication systems coexistence. In Proceedings of the 2012 IEEE Global Communications Conference (GLOBECOM), Anaheim, CA, USA, 3–7 December 2012. [Google Scholar]
- Mahal, J.A.; Khawar, A.; Abdelhadi, A.; Clancy, T.C. Spectral Coexistence of MIMO Radar and MIMO Cellular System. IEEE Trans. Aerosp. Electron. Syst. 2017, 53, 655–668. [Google Scholar]
- Ma, D.; Shlezinger, N.; Huang, T.; Liu, Y.; Eldar, Y.C. Joint radar-communication strategies for autonomous vehicles: Combining two key automotive technologies. IEEE Signal Process. Mag. 2020, 37, 85–97. [Google Scholar]
- He, Q.; Wang, Z.; Hu, J.; Blum, R.S. Performance gains from cooperative MIMO radar and MIMO communication systems. IEEE Signal Process. Lett. 2019, 26, 194–198. [Google Scholar]
- Chalise, B.K.; Amin, M.G.; Himed, B. Performance Tradeoff in a Unified Passive Radar and Communications System. IEEE Signal Process. Lett. 2017, 24, 1275–1279. [Google Scholar]
- Zhang, J.A.; Rahman, M.L.; Wu, K.; Huang, X.; Guo, Y.J.; Chen, S.; Yuan, J. Enabling joint communication and radar sensing in mobile networks—A survey. IEEE Commun. Surv. Tutor. 2022, 24, 306–345. [Google Scholar]
- Zhang, Z.; Chang, Q.; Yang, S.; Xing, J. Sensing-communication bandwidth allocation in vehicular links based on reinforcement learning. IEEE Wirel. Commun. Lett. 2022, 12, 1. [Google Scholar]
- Liyanaarachchi, S.D.; Riihonen, T.; Barneto, C.B.; Valkama, M. Optimized waveforms for 5G–6G communication with sensing: Theory, simulations and experiments. IEEE Trans. Wirel. Commun. 2021, 20, 8301–8315. [Google Scholar]
- Wild, T.; Braun, V.; Viswanathan, H. Joint design of communication and sensing for beyond 5G and 6G systems. IEEE Access 2021, 9, 30845–30857. [Google Scholar]
- Liu, Y.; Liao, G.; Yang, Zh. Robust OFDM Integrated Radar and Communications Waveform Design Based on Information Theory. Signal Process. 2019, 162, 317–329. [Google Scholar]
- Zhang, Q.; Sun, H.; Wei, Z.; Feng, Z. Sensing and communication integrated system for autonomous driving vehicles. In Proceedings of the IEEE INFOCOM 2020-IEEE Conference on Computer Communications Workshops (INFOCOM WKSHPS), Online, 6–9 July 2020. [Google Scholar]
- Wang, J.; Liang, X.D.; Chen, L.Y.; Wang, L.N.; Li, K. First demonstration of joint wireless communication and high-resolution SAR imaging using airborne MIMO radar system. IEEE Trans. Geosci. Remote Sens. 2019, 57, 6619–6632. [Google Scholar]
- Hassanien, A.; Amin, M.G.; Zhang, Y.D.; Ahmad, F. Signaling strategies for dual-function radar communications: an overview. IEEE Aerosp. Electron. Syst. Mag. 2016, 31, 36–45. [Google Scholar]
- Li, Q.; Dai, K.; Zhang, Y.; Zhang, H. Integrated waveform for a joint radar-communication system with high-speed transmission. IEEE Wirel. Commun. Lett. 2019, 8, 1208–1211. [Google Scholar]
- Nowak, M.J.; Zhang, Z.; LoMonte, L.; Wicks, M.; Wu, Z. Mixed-modulated linear frequency modulated radar-communications. IET Radar Sonar Navig. 2017, 11, 313–320. [Google Scholar]
- Zhang, Z.; Nowak, M.J.; Wicks, M.; Wu, Z. Bio-inspired RF steganography via linear chirp radar signals. IEEE Commun. Mag. 2016, 54, 82–86. [Google Scholar]
- Zhang, Z.; Qu, Y.; Wu, Z.; Nowak, M.J.; Ellinger, J.; Wicks, M.C. RF Steganography via LFM Chirp Radar Signals. IEEE Trans. Aerosp. Electron. Syst. 2018, 54, 1221–1236. [Google Scholar]
- Liu, Y.; Liao, G.; Xu, J.; Yang, Z.; Zhang, Y. Adaptive OFDM integrated radar and communications waveform design based on information theory. IEEE Commun. Lett. 2017, 21, 2174–2177. [Google Scholar]
- Liu, Y.; Liao, G.; Chen, Y.; Xu, J.; Yin, Y. Super-resolution range and velocity estimations with OFDM integrated radar and communications waveform. IEEE Trans. Veh. Technol. 2020, 69, 11659–11672. [Google Scholar]
- Sturm, C.; Zwick, T.; Wiesbeck, W. An OFDM System Concept for Joint Radar and Communications Operations. In Proceedings of the VTC Spring 2009-IEEE 69th Vehicular Technology Conference, Barcelona, Spain, 26–29 April 2009. [Google Scholar]
- Rong, J.; Liu, F.; Miao, Y. Integrated Radar and Communications Waveform Design Based on Multi-Symbol OFDM. Remote Sens 2022, 14, 1–22. [Google Scholar]
- Ahmed, A.; Zhang, Y.D.; Hassanien, A. Joint Radar-communications exploiting optimized OFDM waveforms. Remote Sens. 2021, 13, 4376. [Google Scholar]
- Hassanien, A.; Aboutanios, E.; Amin, M.G.; Fabrizio, G.A. A dual-function MIMO radar-communication system via waveform permutation. Digit. Signal Process. 2018, 83, 118–128. [Google Scholar]
- Hassanien, A.; Amin, M.G.; Zhang, Y.D.; Ahmad, F. Phase-modulation based dualfunction radar-communications. IET Radar Sonar Navig 2017, 10, 1411–1421. [Google Scholar]
- Hassanien, A.; Himed, B.; Rigling, B.D. A dual-function MIMO radar communications system using frequency-hopping waveforms. In Proceedings of the IEEE National Conference on Radar, Seattle, WA, USA, 8–12 May 2017; pp. 1721–1725. [Google Scholar]
- Zhang, Q.; Zhou, Y.; Zhang, L.; Gu, Y.; Chen, Z. Application of LFM-CPM signal into a DFRC system based on circulating code array. Digit. Signal Process 2020, 101, 102712. [Google Scholar]
- Zhang, Q.; Zhou, Y.; Zhang, L.; Gu, Y.; Zhang, J. Circulating code array for a dual-function radar-communications system. IEEE Sens. J. 2020, 20, 786–798. [Google Scholar]
- Zhang, Q.; Feng, C.; Gu, Y.; Zhang, L.; Zhou, Y.; Chen, Z. Transmit beampattern design for joint radar-communications system with circulating code array. Digit. Signal Process. 2022, 127, 103591. [Google Scholar]
- Hassanien, A.; Amin, M.G.; Zhang, Y.D.; Ahmad, F. Dual-function radar-communications: Information embedding using sidelobe control and waveform diversity. IEEE Trans. Signal Process. 2016, 64, 2168–2181. [Google Scholar]
- Ji, S.; Chen, H.; Hu, Q.; Pan, Y.; Shao, H. A dual-function radar-communication system using FDA. In Proceedings of the 2018 IEEE Radar Conference (RadarConf18), Oklahoma, OH, USA, 23–27 April 2018. [Google Scholar]
- Nusenu, S.Y.; Huaizong, S.; Ye, P.; Xuehan, W.; Basit, A. Dual-function radarcommunication system design via sidelobe manipulation based on FDA butler matrix. IEEE Antennas Wirel. Propag. Lett 2019, 18, 452–456. [Google Scholar]
- Liu, F.; Zhou, L.; Masouros, C.; Li, A.; Luo, W.; Petropulu, A. Toward dual-functional radar-communication systems: Optimal waveform design. IEEE Trans. Signal Process. 2018, 66, 4264–4279. [Google Scholar]
- Liu, F.; Masouros, C.; Griffiths, H. Dual-functional radar-communication waveform design under constant-modulus and orthogonality constraints. In Proceedings of the 2019 Sensor Signal Processing for Defence Conference (SSPD), Brighton, UK, 9–10 May 2019. [Google Scholar]
- Liu, F.; Masouros, C.; Ratnarajah, T.; Petropulu, A. On Range Sidelobe Reduction for Dual-Functional Radar-Communication Waveforms. IEEE Wirel. Commun. Lett. 2020, 9, 1572–1576. [Google Scholar]
- Liu, X.; Huang, T.; Shlezinger, N.; Liu, Y.; Zhou, J.; Eldar, Y.C. Joint Transmit Beamforming for Multiuser MIMO Communications and MIMO Radar. IEEE Trans. Signal Process. 2020, 68, 3929–3944. [Google Scholar]
- Liu, X.; Huang, T.; Liu, Y.; Zhou, J. Constant Modulus Waveform Design for Joint Multiuser MIMO Communication and MIMO Radar. In Proceedings of the Wireless Communications and Networking Conference Workshops (WCNCW), Nanjing, China, 29 March 2021; pp. 1–5. [Google Scholar]
- McCormick, P.M.; Blunt, S.D.; Metcalf, J.G. Simultaneous radar and communications emissions from a common aperture, Part I: Theory. In Proceedings of the 2017 IEEE Radar Conference (RadarConf), Seattle, WA, USA, 8–12 May 2017. [Google Scholar]
- McCormick, P.M.; Ravenscroft, B.; Blunt, S.D.; Duly, A.J.; Metcalf, J.G. Simultaneous radar and communication emissions from a common aperture, Part II: Experimentation. In Proceedings of the 2017 IEEE Radar Conference (RadarConf), Seattle, WA, USA, 8–12 May 2017. [Google Scholar]
- Jiang, M.; Liao, G.; Yang, Z.; Liu, Y.; Chen, Y.; Li, H. Integrated waveform design for an Integrated Radar and Communication System with a Uniform Linear Array. In Proceedings of the 2020 IEEE 11th Sensor Array and Multichannel Signal Processing Workshop (SAM), Hangzhou, China, 8–11 June 2020. [Google Scholar]
- Jiang, M.; Liao, G.; Yang, Z.; Liu, Y.; Chen, Y. Integrated radar and communication waveform design based on a shared array. Signal Process. 2021, 182, 107956. [Google Scholar]
- Stoica, P.; He, H.; Li, J. New algorithms for designing unimodular sequences with good correlation properties. IEEE Trans. Signal Process. 2009, 57, 1415–1425. [Google Scholar]
- Viklands, T. Algorithms for the Weighted Orthogonal Procrustes Problem and Other Least Squares Problems. Ph.D. Thesis, Umea University, Umea, Sweden, 2008. [Google Scholar]
- Jiang, T.; Wu, Y. An overview: Peak-to-average power ratio reduction techniques for OFDM signals. IEEE Trans. Broadcast. 2008, 54, 257–268. [Google Scholar]
- Bauschke, H.H.; Combettes, P.L.; Luke, D.R. Phase retrieval, error reduction algorithm, and Fienup variants: A view from convex optimization. J. Opt. Soc. Am. A Opt. Image Sci. Vis. 2002, 19, 1334–1345. [Google Scholar]
















Disclaimer/Publisher’s Note: The statements, opinions and data contained in all publications are solely those of the individual author(s) and contributor(s) and not of MDPI and/or the editor(s). MDPI and/or the editor(s) disclaim responsibility for any injury to people or property resulting from any ideas, methods, instructions or products referred to in the content. |
© 2023 by the authors. Licensee MDPI, Basel, Switzerland. This article is an open access article distributed under the terms and conditions of the Creative Commons Attribution (CC BY) license (https://creativecommons.org/licenses/by/4.0/).
Share and Cite
Liu, L.; Liang, X.; Li, Y.; Liu, Y.; Bu, X.; Wang, M. A Spatial–Temporal Joint Radar-Communication Waveform Design Method with Low Sidelobe Level of Beampattern. Remote Sens. 2023, 15, 1167. https://doi.org/10.3390/rs15041167
Liu L, Liang X, Li Y, Liu Y, Bu X, Wang M. A Spatial–Temporal Joint Radar-Communication Waveform Design Method with Low Sidelobe Level of Beampattern. Remote Sensing. 2023; 15(4):1167. https://doi.org/10.3390/rs15041167
Chicago/Turabian StyleLiu, Liu, Xingdong Liang, Yanlei Li, Yunlong Liu, Xiangxi Bu, and Mingming Wang. 2023. "A Spatial–Temporal Joint Radar-Communication Waveform Design Method with Low Sidelobe Level of Beampattern" Remote Sensing 15, no. 4: 1167. https://doi.org/10.3390/rs15041167
APA StyleLiu, L., Liang, X., Li, Y., Liu, Y., Bu, X., & Wang, M. (2023). A Spatial–Temporal Joint Radar-Communication Waveform Design Method with Low Sidelobe Level of Beampattern. Remote Sensing, 15(4), 1167. https://doi.org/10.3390/rs15041167

